Abstract
This study investigates the degradation characteristics of chlorpyrifos under individual exposure and compound exposure to multiple pesticides in both traditional constructed wetlands and electrochemically constructed wetland coupled systems, while also analyzing the microbial communities within the systems using high-throughput sequencing technology. The results show that the electric field can enhance the degradation performance of the system. The degradation effect of the coupled electrochemically constructed wetland coupled system is better than that of the traditional constructed wetland, while the compound exposure to multiple pesticides inhibits the degradation efficiency. Under the influence of pesticides, the diversity of microbial communities decreases towards the end of the system operation, and the electrochemically constructed wetland coupled system exhibits lower diversity compared to the traditional constructed wetland. Proteobacteria is the dominant phylum under compound exposure to multiple pesticides, while Firmicutes, Fusobacteria, Verrucomicrobia, Aeromonas, and Methylophilus are the dominant electrochemically active phyla and genera in the electrochemically constructed wetland coupled system. The impact of pesticides and the electric field results in a decrease in amino acid metabolism and carbohydrate metabolism functions, while membrane transport functions increase. The compound exposure to multiple pesticides has a more significant impact on the microbial community structure and functionality than the electric field. The results also lay a theoretical foundation for the expansion of pesticide degradation technology and constructed wetland treatment technology to new fields, which is of great significance in realizing the “zero direct discharge” of agricultural production wastewater, solving the problem of agricultural non-point source pollution and ensuring the availability of agricultural production.
1. Introduction
With the development of modern agriculture, pesticides are commonly used. While the use of pesticides is effective in controlling crop pests and diseases and increasing yields, it also has a negative impact on the environment. The problem of pesticide surface pollution in rivers and streams worldwide has become one of the prominent water environmental problems in countries around the world. The vast majority of pesticides are compounds composed of a variety of difficult-to-degrade substances with complex structures, not easily degraded in the environment, high toxicity, long half-life and poor biochemical properties. Therefore, even if pesticides are used in low concentrations, the long-term use of a variety of pesticides, along with rainfall or irrigation runoff into nearby water bodies, in different forms of enrichment residues in water bodies, pose a significant risk to human and water environment health.
As an ecological wastewater treatment technology, constructed wetland (CW) has received wide attention both at home and abroad due to its many advantages, such as simple construction, low construction and operation costs, convenient management and maintenance, and good ecological and environmental benefits. Especially in the field of pesticide treatment, constructed wetland has gradually been recognized as one of the “Best Management Practices (BMPs)” in pesticide surface pollution prevention [1]. Based on research, constructed wetlands have shown a certain capacity to treat pesticides. However, most of these studies have dealt with a single pesticide, while in the environment, pesticides mostly exist in the form of compound exposure to multiple pesticides. The compound exposure to pesticides is bound to affect the treatment efficiency of traditionally constructed wetlands [2]. Simply by changing the constituent elements, operating parameters, operating mode and flow pattern of the wetland, the treatment effect of pesticides in the constructed wetland can not be “qualitatively” improved. In view of this, this paper proposes to improve the treatment effect of pesticides through the coupling of constructed wetland and other treatment technologies.
Electrochemical oxidation is a high-efficiency water treatment technology that treats organic pollutants in wastewater by using strong oxidation radicals generated by the anode in a specific reactor with a certain voltage and current applied at both ends of the electrodes. Owing to its features of strong oxidizing ability, easy controllability, and low pollution, it is widely used in the treatment of difficult-to-decompose pollutants such as heterocyclic compounds [3], printing and dyeing wastewater [4,5], phenol wastewater [6], heavy metals [7,8], and pesticides [9,10]. Therefore, this paper draws on the respective advantages of constructed wetland and electrochemical oxidation methods, based on the organic combination of the two, making full use of the ecological, microbiological and electrochemical multiple action mechanism, and integrates them to develop a novel pesticide treatment technology, the Electrochemically Constructed Wetland Coupled System (ECW). This system is designed to address the treatment of chlorpyrifos, comparing its efficiency under individual exposure and compound exposure to multiple pesticides. The degradation characteristics of chlorpyrifos by traditionally constructed wetlands and the electrochemically constructed wetland coupled system, as well as the changes in the microbial community within the system, are studied. This was undertaken in order to understand the energy efficiency of the electrochemically constructed wetland coupling system in the field of pesticide treatment, so as to lay a foundation for the research and development of an “efficient, environmentally friendly” pesticide degradation and treatment technology, which is also conducive to the development of an agricultural surface pollution control technology, and is of great practical significance in solving the problem of agricultural surface pollution and in guaranteeing the sustainable development of agricultural production.
2. Materials and Methods
2.1. Experimental Device
As shown in Figure 1, the experimental device consisted of a polyvinyl chloride bucket with a diameter of 30 cm, height of 22 cm, and effective volume of 15.5 L. Combining the results of previous studies, the device was filled with 2 cm of pebbles (particle size 10–30 mm), 3 cm of gravel (particle size 4–8 mm), and 15 cm of soil mixed with natural soil (sand/natural soil 1:4) from the bottom to the top. Calamus was used as the test plant, which was evenly planted in the system at 85 plants/m2. A graphite carbon anode plate and a stainless steel cathode plate (electrode plate length × width × thickness: 200 × 100 × 2 mm) were vertically positioned on both sides of the device, 15 cm apart, which were connected to a stabilized DC power source through wires. When the system’s power source was in an open-circuit state, the system operated in the traditionally constructed wetland mode. When the power source was in a closed-circuit state, the system switched to the electrochemically constructed wetland coupled system mode.
Figure 1.
Experimental setup.
2.2. Experimental Water
Simulated wastewater was used to test chlorpyrifos degradation in the system, consisting of chlorpyrifos as the main pollutant, along with glucose, potassium nitrate, and other trace elements for microbial growth. Chlorpyrifos was the only pesticide in the water for individual exposure conditions. At this point, the initial concentration of chlorpyrifos was 0.28 g/L. whereas the water for compound exposure conditions was further treated with insecticides (thiamethoxam and chlorobenzamide), herbicides (atrazine, butachlor, and glyphosate), and fungicides (azoxystrobin, chlorothalonil, and captan) on a water basis for individual exposure conditions. At this time, the initial concentrations of various pesticides in the wastewater were chlorpyrifos 0.28 g/L, thiamethoxam 0.14 g/L, chlorobenzamide 0.07 g/L, atrazine 0.28 g/L, butachlor 0.42 g/L, glyphosate 0.7 g/L, azoxystrobin 0.14 g/L, chlorothalonil 0.28 g/L, and captan 0.056 g/L.
2.3. Experimental Design
To investigate the degradation efficiency of chlorpyrifos in the electrochemically constructed wetland coupled system under different exposure conditions, this study established two experimental groups: one with chlorpyrifos under individual exposure (In) and the other under compound exposure (Co). Simultaneously, to investigate the influence of the electric field in the electrochemically constructed wetland coupled system on the degradation efficiency, two experimental groups were established: the traditional constructed wetland (CW) and the electrochemically constructed wetland coupled system (ECW).Thus, the experiment involved four distinct experimental groups: the electrochemically constructed wetland coupled system group under the condition of chlorpyrifos individual exposure (ECW−In), the traditionally constructed wetland group (CW−In), the electrochemically constructed wetland coupled system group under the condition of compound exposure (ECW−Co), and the traditionally constructed wetland group (CW−Co). Each of these experimental groups was replicated three times. The experiment was conducted using a one-time water inflow mode, with the water level maintained 2 cm above the substrate. The experiment lasted for 56 days. The laboratory temperature was maintained at 22–25 °C, and the current density in the system was kept at 0.07 mA/cm2.
2.4. Sample Collection
At the end of the experiment, water samples, substrates, and plants were collected to measure the chlorpyrifos content in the water, substrate, and plant tissues. In both the initial and final stages of the experiment, substrate samples were obtained from the experimental setup for the analysis of the microbial community.
The chlorpyrifos assay substrate was sampled 3 cm below the surface layer of the substrate, and the microbial community analysis substrate was sampled at different heights of 0.5 cm, 7.5 cm, and 13 cm below the surface layer of the substrate. All samples of three replicate experimental groups at the three different heights were mixed in equal volume and analyzed as the standard sample.
2.5. Analysis and Data Processing Methods
For the determination of chlorpyrifos content, water samples, substrates, and plants were pretreated with petroleum ether [11], and then the absorbance was measured with ultraviolet spectrophotometry (293 nm) [12]. All measurements were taken as the average of three replicates.
The microbial community was assessed with high-throughput sequencing methods. The microbial DNA of the sample was extracted using the E.Z.N.ATM Mag-Bind Soil DNA kit. The first round of polymerase chain reaction (PCR) amplification was performed with the V3–V4 hypervariable region fragment universal primers 341F (CCTACGGGNGGCWGCAG) and 805R (GACTACHVGGGTATCTAATCC), and the second round of amplification included Illumina bridge PCR-compatible primers. The sequencing service was commissioned by Biology Bioengineering, Ltd. (Shanghai, China), which was completed on the Illumina MiSeq platform.
This study utilized Excel 2010 and SPSS 22.0 software for data processing, including cluster analysis and PCA. Graphs were created using Origin 2022.
3. Results and Discussion
3.1. Degradation of Chlorpyrifos
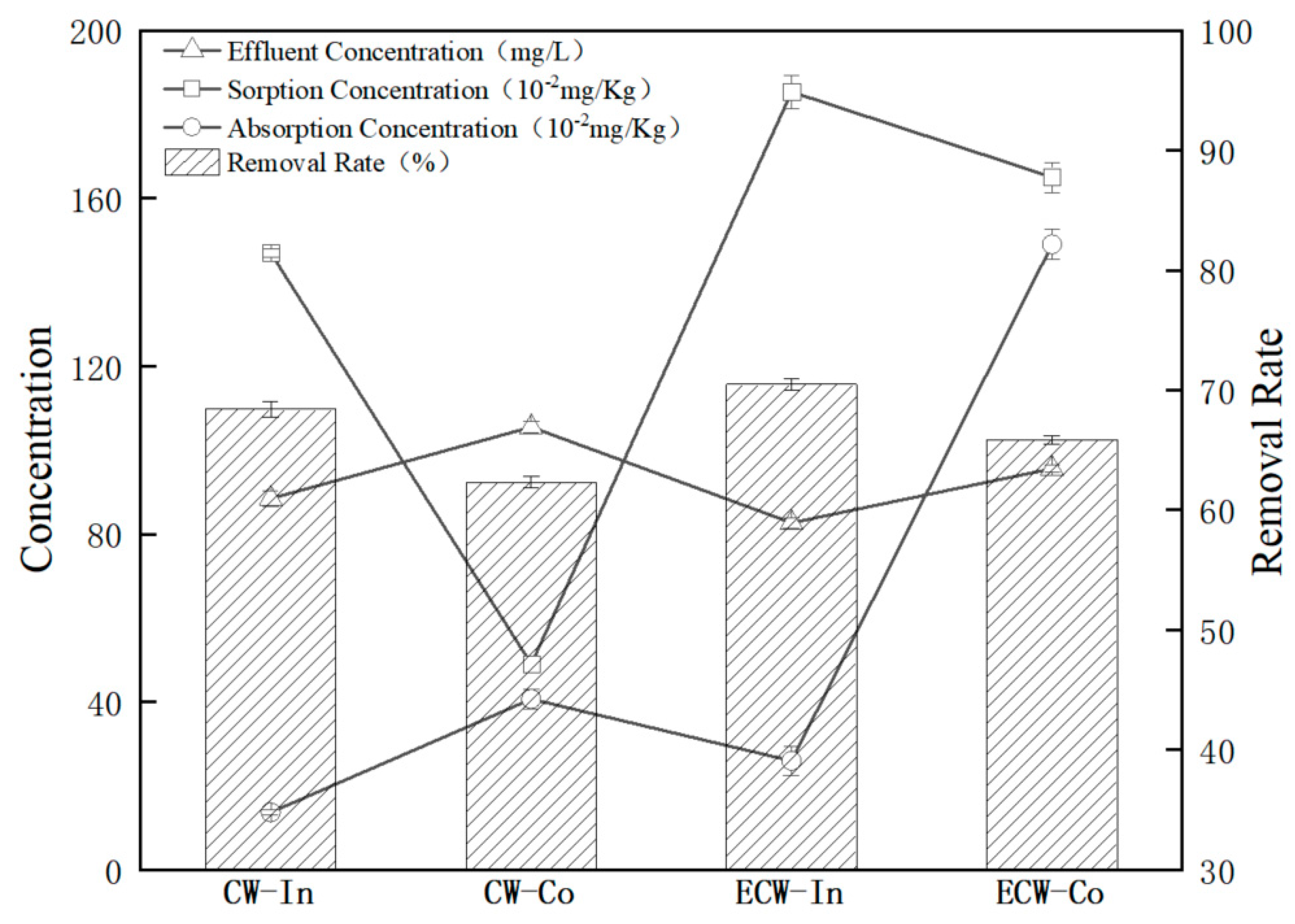
A wetland system is an ecological treatment that utilizes the physical, chemical, and biological effects of a substrate, plant, and microbes to efficiently purify pollutants. Therefore, the degradation of chlorpyrifos using the system was analyzed according to the extent of degradation of chlorpyrifos in the system and the concentration of chlorpyrifos in the substrate and plants. The results are shown in Figure 2 and Table 1.
Figure 2.
Chlorpyrifos content in the system, substrate, and plants with an electrochemically constructed wetland coupled system. ECW−In, electrochemically constructed wetland coupled system with individual chlorpyrifos exposure; CW−In, traditionally constructed wetland with individual chlorpyrifos exposure; ECW−Co, electrochemically constructed wetland coupled system with combined pesticide exposure; CW−Co, traditionally constructed wetland with combined pesticide exposure.
Table 1.
Chlorpyrifos concentration and removal rate in the system.
At the end of the operation period, the average effluent concentration of chlorpyrifos for CW−In, CW−Co, ECW−In, and ECW−Co systems were 88.4 mg/L, 105.6 mg/L, 82.7 mg/L, and 95.6 mg/L, respectively. The average degradation rates were 68.4%, 62.3%, 70.5%, and 65.9%, with significant differences observed among the experimental groups. The degradation rate of chlorpyrifos was higher under individual exposure conditions compared to compound exposure conditions, and the electrochemically constructed wetland coupled system exhibited higher degradation rates compared to traditionally constructed wetlands, indicating that the electric field can enhance the degradation effect of the system and that compound exposure of various pesticides inhibited the degradation ability of the system. The degradation of pesticides by microorganisms constitutes a vital pathway for pesticide removal within the system. However, under compound exposure conditions, microbial activity within the system was suppressed [13], leading to a reduced chlorpyrifos degradation capacity. Additionally, research findings from Alshawabkeh AN and Leong S Y [14,15] suggest that in an appropriate electric field environment, the electric field can stimulate microbial and plant activity within wetland systems, thus enhancing the system’s treatment efficiency. Simultaneously, the direct oxidation reactions induced by the electric field can degrade certain pollutants. Therefore, influenced by the stimulation of the electric field, the electrochemically constructed wetland coupled system demonstrates a higher chlorpyrifos degradation rate compared to traditional constructed wetlands.
The substrate in the system adsorbs pesticides through physical and chemical reactions, resulting in their degradation [16]. At the end of the operation period, the average concentration of chlorpyrifos in the substrates for CW−In, CW−Co, ECW−In, and ECW−Co systems were 1.47 mg/kg, 1.39 mg/kg, 1.85 mg/kg, and 1.65 mg/kg, respectively, with significant differences observed among the experimental groups. Therefore, the concentration of chlorpyrifos in the substrate was generally higher under individual exposure than that under compound exposure, in line with the results of Li et al. [17]. Since the sorption sites of pesticides on the substrate are limited, competition will occur among the different pesticides for these sites [18,19], leading to an overall reduction in the sorption capacity of the chlorpyrifos. The sorption of pesticides on the substrate is also affected by the nature of the pesticides themselves [20]. For example, pesticides with a larger octanol-water partition coefficient (Kow) and organic matter sorption coefficient (Koc) will be more easily adsorbed by the substrate. The Kow and Koc parameters of the chlorantraniliprole and chlorothalonil added in the compound exposure experiment were higher than those of chlorpyrifos, and they were in a dominant position in the sorption competition, which reduced the sorption capacity for chlorpyrifos of the substrate.
The concentration of chlorpyrifos in the substrate was also higher in the electrochemically constructed wetland coupled system mode than in traditionally constructed wetland. Previous studies have indicated that the organic matter content in the system also affects the sorption of pesticides on a substrate; that is, an increase in organic matter decreases the sorption capacity [21,22,23]. In the electrochemically constructed wetland coupled system, strong direct and indirect oxidation reactions of organic matter occurred in the system, which resulted in a decrease in the organic matter content to weaken the competitive sorption between substances, and thus increased the sorption capacity of the substrate for chlorpyrifos.
Plants also play an important role in the absorption and degradation of chlorpyrifos in this system. At the end of the operation period, the chlorpyrifos concentrations in plant tissues for CW−In, CW−Co, ECW−In, and ECW−Co systems were 0.16 mg/g, 0.41 mg/g, 0.26 mg/g, and 1.49 mg/g, respectively, with significant differences observed among the experimental groups. Previous studies have shown that the absorption of pesticides by plants depends on the concentration of pesticides in the environment and the physiological state of plants; that is, the higher the concentration of pesticides or the more vigorous the growth of plants, the more pesticides they will absorb. In addition, pesticides in plants undergo a series of reactions to ultimately become converted into other products. In closed-circuit mode, the electric field can increase the enzyme activity in the plant to accelerate the synthesis of enzymes, and thereby promote plant growth, contributing to the higher concentration [15,24,25,26,27]. The degradation rate of chlorpyrifos in the system was also lower under compound exposure conditions, resulting in a higher concentration of chlorpyrifos in the system. Consequently, the concentration of chlorpyrifos in plants under compound exposure was generally higher than that under individual exposure conditions. In addition, the rate of transformation of chlorpyrifos in plants will also affect its concentration. Under compound exposure conditions, the physiological state of plants is negatively affected by many pesticides, which restricts the ability of transforming chlorpyrifos in the tissue, resulting in more residue of chlorpyrifos in plants. However, the actual difference in the transformation of chlorpyrifos in plants under these conditions needs to be further verified experimentally.
3.2. High-Throughput Sequencing
3.2.1. Microbial Community Diversity
The high-throughput sequencing results of the samples collected before the experiment (Initial) and from the four experimental groups (ECW−In, ECW−Co, CW−In, and CW−Co) are shown in Table 2. A total of 299,848 sequences were obtained from the five groups of samples, and clustered at a similarity level of 97% to obtain 29,414 operational taxonomic units (OTUs) for species’ classification. All samples showed sufficiently deep sequence coverage suitable for microbial community analysis.
Table 2.
Microbial community diversity.
Microbial community diversity refers to both the richness and evenness of the community. The OTU count, Chao1, and ACE indices reflect microbial community richness [28], a larger index indicates a more species-rich community, whereas the Shannon and Simpson indices reflect microbial community evenness [29,30]. The higher the Shannon value and the lower the Simpson index value, the higher the microbial community diversity. Table 2 shows that the microbial community richness of the five groups was in the order Initial > CW−Co > CW−In > ECW−Co > ECW−In, and the evenness was in the order CW−In > Initial > ECW−In > CW−Co > ECW−Co. At the initial stage, microbial community diversity was relatively high. However, as the system operated, a portion of the microbial community was eliminated due to the inhibitory effects of pesticides, resulting in a reduction in microbial diversity. This finding aligns with the results of previous research, such as the study by Onneby K and others [13].
In addition, the electric field has a greater influence in the electrochemically constructed wetland coupled system; thus, the microbial community that is not well-suited for survival in an electric field environment will be further eliminated under this condition, resulting in a greater decrease in the diversity. The richness of the microbial community under compound exposure was higher than that of individual exposure, although the opposite trend was found for evenness. This can be explained by the fact that different kinds of pesticides present under compound exposure can provide different kinds of decomposition products for microorganisms through a series of degradation processes in the system, thus constantly changing the microbial growth environment.
In order to visually analyze the composition of the microbial communities among the samples, the number of shared and unique OTUs among the samples was counted by plotting the OTUs Wayne plots, as in Figure 3. The five groups of samples in Initial, CW−In, CW−Co, ECW−In, and ECW−Co produced 9016, 6417, 6671, 4336, and 2974 OTUs, respectively; among them, 278 OTUs were common to the five groups of samples, and the proportion of common OTUs in Initial, CW−In, CW−Co, ECW−In, and ECW−Co was 3.08%, 4.33%, 4.17%, 6.41%, and 9.35%, respectively. CW−In, CW−Co, ECW−In, and ECW−Co were 3.08%, 4.33%, 4.17%, 6.41%, and 9.35%, and the similarity of OTUs among the five groups of samples was low. The dominant phyla with greater than 5% of the total OTUs were Proteobacteria (49.28%), Actinobacteria (12.59%), Acidobacteria (10.43%), and Bacteroidetes (5.76%). Initial, CW−In, CW−Co, ECW−In, and ECW−Co were 6523, 4185, 4433, 2617, and 1748, accounting for 72.35%, 65.22%, 66.45%, 60.36%, and 58.78% of the total number of samples. Pesticides and electric fields had relatively large effects on microbial community diversity.
Figure 3.
Venn diagram of the OTUs detected. ECW−In, electrochemically constructed wetland coupled system with individual chlorpyrifos exposure; CW−In, traditionally constructed wetland with individual chlorpyrifos exposure; ECW−Co, electrochemically constructed wetland coupled system with combined pesticide exposure; CW−Co, traditionally constructed wetland with combined pesticide exposure.
Analyzing the number of shared OTUs between the two samples, the shared OTUs between the electrochemically constructed wetland coupled system alone and the composite exposure samples was 641, while the shared OTUs between the traditional constructed wetland alone and the composite exposure samples was 1003, which means that the different exposures to pesticides had a greater impact on the microbial community diversity in the electrochemically constructed wetland coupled system than in the traditionally constructed wetland system. The number of shared OTUs between the electrochemically constructed wetland coupled system and the traditional constructed wetland system under pesticide exposure alone was 1269, while the number of shared OTUs between the electrochemically constructed wetland coupled system and the traditionally constructed wetland system under pesticide composite exposure was 643. Thus, the different modes of operation of the system had a greater impact on the diversity of microbial communities under pesticide composite exposure than that under separate exposure.
Figure 4a shows the top eight dominant phyla and Figure 4b shows the top six most dominant genera in each sample as a bar graph for visual representation of the microbial community changes over time and under different conditions of the system. The relative abundances of the first eight dominant bacteria accounted for 93.02%, 94.52%, 97.74%, 92.82%, and 99.34% of the total bacteria in the Initial, CW−In, CW−Co, ECW−In, and ECW−Co group, and the relative abundance of Proteobacteria was the highest in all cases at 51.41%, 54.93%, 72.94%, 50.50%, and 91.71%, respectively. The abundance of Proteobacteria did not change significantly under the condition of individual exposure, but increased significantly under the condition of compound exposure, with the highest proportion detected under the electrochemically constructed wetland coupled system of compound exposure. Indeed, Proteobacteria was reported to be the dominant phylum affected by a variety of pesticides and electric fields. In addition, the abundance of Bacteroidetes and Acidobacteria in compound exposure conditions was lower than that in the individual exposure conditions, and the abundance was also lower in the electrochemically constructed wetland coupled system than in the traditionally constructed wetland. Under the influence of an electric field, the abundance of Firmicutes and Fusobacteria in ECW−In was higher than that of CW−In, and the abundance of Verrucomicrobia was higher in ECW−Co than in CW−Co, which was the dominant electrochemically active phylum.

Figure 4.
Microbial community at the (a) phyla and (b) genera level. Initial, sample collected prior to operating the system; ECW−In, electrochemically constructed wetland coupled system with individual chlorpyrifos exposure; CW−In, traditionally constructed wetland with individual chlorpyrifos exposure; ECW−Co, electrochemically constructed wetland coupled system with combined pesticide exposure; CW−Co, traditionally constructed wetland with combined pesticide exposure.
As shown in Figure 4b, the most abundant genera in the Initial, CW−In, CW−Co, ECW−In, and ECW−Co groups were Sphingomonas (19.33%), Sphingomonas (8.49%), Sphingomonas (16.84%), Aeromonas (14.54%), and Methylophilus (11.35%). Under the influence of pesticide exposure and an electric field, the abundance of Sphingomonas was lower in the later period of system operation than at any earlier period, and was also lower in the electrochemically constructed wetland coupled system than in traditionally constructed wetland. The abundance of Aeromonas and Methylophilus increased significantly in ECW−In and ECW−Co, indicating that an electric field could promote the growth of these dominant electrochemically active genera in the system.
To further understand the differences in microbial community structure under different operating modes, cluster analysis was performed on the results of the eight dominant phyla, as shown in Figure 5. The dissimilarity in microbial communities was influenced by the pesticide exposure mode. The compound exposure experimental groups, CW−Co and ECW−Co, clustered together, while the Initial and CW−In grouped together, and further, they clustered with ECW−In. This indicates that the impact of compound exposure to multiple pesticides on microbial community structure is greater than that of the electric field.
Figure 5.
Cluster analysis of phylum-level relative abundances; ECW−In, electrochemically constructed wetland coupled system with individual chlorpyrifos exposure; CW−In, traditionally constructed wetland with individual chlorpyrifos exposure; ECW−Co, electrochemically constructed wetland coupled system with combined pesticide exposure; CW−Co, traditionally constructed wetland with combined pesticide exposure.
3.2.2. PICRUSt Gene Prediction
PICRUSt was used to infer the function of the microbial community by comparing the data of microbial community abundance against the database. As shown in Figure 6, the PICRUSt genetic results of the five groups of samples indicated that the microbial community is mainly involved in six types of biological metabolic pathways, including metabolism, genetic information processing, and environmental information processing as the main components.
Figure 6.
Abundances of Kyoto Encyclopedia of Genes and Genomes pathways in level-2 of the functional prediction by PICRUSt. Initial, sample collected prior to operating the system; ECW−In, electrochemically constructed wetland coupled system with individual chlorpyrifos exposure; CW−In, traditionally constructed wetland with individual chlorpyrifos exposure; ECW−Co, electrochemically constructed wetland coupled system with combined pesticide exposure; CW−Co, traditionally constructed wetland with combined pesticide exposure.
The five groups of samples were related to a total of forty-one subfunctions, showing high functional richness in the communities. The main subfunctions included amino acid metabolism, carbohydrate metabolism, energy metabolism, replication and repair, and membrane transport, accounting for 43.72%, 43.11%, 44.79%, 44.27%, and 43.95% of the functions in the Initial, CW−In, CW−Co, ECW−In, and ECW−Co samples, respectively. These findings suggest that under the stress of pesticides and an electric field, the physiological stability of microorganisms in the system was destroyed, and the amino acid metabolism and carbohydrate metabolism were disturbed in the later period of operation, resulting in an overall decrease [31,32,33]. In addition, the replication and repair functions of microorganisms in the system were severely impaired and the expression of related genes decreased under the compound exposure condition. However, the effect of the electric field on the replication and repair functions of microorganisms was not significant. By contrast, the by-products of pesticide decomposition increased in the system, which can enhance the microbial transmembrane transport activities, resulting in an increase in the expression levels of related genes at the later stage of the operation. These decomposition products were more abundant in the system under compound exposure, and the abundance of membrane transport-related genes was higher than that detected under individual exposure. The changes in the abundance of all functional genes among the five groups of samples were less than 5%, which was not significant, indicating that despite subtle changes, the microorganisms still maintained similar functions. This is consistent with the findings of Gao et al. [34] and Yang et al. [35], who indicated that microbial communities can maintain their function by adapting to changing environments.
To further explore the effects of different conditions of the system on the overall microbial composition and function, principal component analysis (PCA) was conducted using the predicted genes. As shown in Figure 7, PCA1 accounted for 95.8% of the variation, and PCA2 accounted for only 2.64% of the total variation. The Initial, CW−In, and ECW−In groups clustered together at the extremes of PCA1 and PCA2, while CW−Co and ECW−Co clustered into another group, although the two were relatively more dispersed along PCA2 compared to the other cluster.
Figure 7.
Principal component analysis of differences in predicted functional genes between different samples. Initial, sample collected prior to operating the system; ECW−In, electrochemically constructed wetland coupled system with individual chlorpyrifos exposure; CW−In, traditionally constructed wetland with individual chlorpyrifos exposure; ECW−Co, electrochemically constructed wetland coupled system with combined pesticide exposure; CW−Co, traditionally constructed wetland with combined pesticide exposure.
4. Conclusions
This article conducted a comparative analysis of the degradation characteristics of chlorpyrifos under individual exposure and compound exposure to multiple pesticides in both traditionally constructed wetlands and electrochemically constructed wetland coupled systems, as well as the changes in the microbial community within the systems. The results are as follows.
There are significant differences in the degradation of chlorpyrifos, adsorption in substrates, and absorption in plants among different experimental groups. An electric field can strengthen the degradation of chlorpyrifos sorption by the substrate and its absorption by plants, while compound exposure of different pesticides inhibited the degradation of chlorpyrifos and the sorption by the substrate in the system.
Microbial community diversity decreased to some extent at the end of system operation due to the influence of pesticides, and under the impact of the electric field, the electrochemically constructed wetland coupled system exhibited lower diversity compared to traditionally constructed wetlands. In addition, the similarity between the OTUs of the five groups of samples affected by pesticides and electric fields was low, and the main dominant phyla in the shared OTUs were Proteobacteria, Actinobacteria and Acidobacteria. Proteobacteria emerged as the dominant phylum under compound exposure to multiple pesticides, particularly in the electrochemically constructed wetland coupled system under compound exposure, where its abundance reached 91.71%. Firmicutes, Fusobacteria, and Verrucomicrobia were the dominant electrochemically active phyla in the electrochemically constructed wetland coupled system, and Aeromonas and Methylophilus were the dominant electrochemically active genera in this system. The impact of compound exposure to multiple pesticides on microbial community structure was greater than that of the electric field.
The main functions of the microbial community involved metabolism, genetic information processing, and environmental information processing. There were no significant differences in microbial community functional profiles among the samples. However, both pesticides and the electric field had an impact, leading to a decrease in amino acid metabolism and carbohydrate metabolism functions, while membrane transport functions increased. Overall, these results show that compound effects of multiple pesticides influence the replication and repair functions of microorganisms, and that compound exposure of multiple pesticides has a greater impact on microbial community function than the electric field. In general, the electrochemically constructed wetland coupling system improves the degradation of pesticides in traditionally constructed wetlands, which is of great significance for pesticide residues in the environment.
In summary, the composite exposure of pesticides affects the treatment effect of the electrochemically constructed wetland coupled system and traditionally constructed wetland system compared with separate exposure, but most of the pesticides in the environment exist in the form of composite exposure to different pesticides, so discovering how to improve the effect of pesticide degradation is the key to solving agricultural surface pollution and guaranteeing the sustainable development of agricultural production. According to the results of the above study, in the electrochemically constructed wetland coupling system, microorganisms are affected by the electrocatalytic effect of the electric field, and some microbial activity is enhanced, which is conducive to the degradation of pesticides; at the same time, the pesticides can be converted into bioavailable intermediates under the electrochemical effect of the electric field, which improves their biochemical properties, so the degradation effect of the electrochemically constructed wetland coupling system is superior to that of the traditionally constructed wetland, and is more suitable for the field of efficient degradation of pollutants. Therefore, the degradation effect of the electrochemically constructed wetland coupling system is better than traditionally constructed wetland, and more suitable for the field of efficient pollutant degradation. The results of this paper also laid a theoretical foundation for the development of pesticide degradation technology and the expansion of constructed wetland treatment technology to new fields, which also promotes the development of agricultural surface pollution control technology. It is of great practical significance to achieve “zero direct discharge” of agricultural wastewater, solve the problem of agricultural surface pollution, reduce pollution and carbon, protect the water environment and ensure the sustainable development of agricultural production. Nevertheless, it is also essential to conduct optimization experiments to further enhance system performance in the future.
Author Contributions
Formal analysis, W.P.; Data curation, A.H.; Writing—original draft, Y.W.; Writing—review & editing, M.J.; Project administration, Y.Q. All authors have read and agreed to the published version of the manuscript.
Funding
The study was supported by the Key Laboratory of Industrial Ecology and Environmental Engineering (MOE). The authors would like to acknowledge the grant received from the Science and Technology Department of Jilin Province (No. 20210101089JC/No. 202002023JC) and the National Natural Science Foundation of China (No. 52000154) to support this project.
Institutional Review Board Statement
Not applicable.
Informed Consent Statement
Not applicable.
Data Availability Statement
Some or all of the data, models, or code generated or used during this study are available in a repository or online in accordance with funder data retention policies (Provide full citations that include URLs or DOIs.).
Conflicts of Interest
The authors declare no conflict of interest.
References
- Reichenberger, S.; Bach, M.; Skitschak, A.; Frede, H.G. Mitigation strategies to reduce pesticide inputs into ground- and surface water and their effectiveness—A state-of-the-art review. Sci. Total Environ. 2007, 384, 1–35. [Google Scholar] [CrossRef]
- Zhang, X.L.; Yu, Z.D.; Wang, S.; Li, Y.; Kong, F.L. Research advances in using constructed wetlands to remove pesticides in agricultural runoff. Chin. J. Appl. Ecol. 2019, 30, 1025–1034. [Google Scholar]
- Hu, W.J.; Niu, C.G.; Wang, Y.; Zeng, G.-M.; Wu, Z. Nitrogenous heterocyclic compounds degradation in the microbial fuel cells. Process Saf. Environ. Prot. 2011, 89, 133–140. [Google Scholar] [CrossRef]
- Wang, C.T.; Chou, W.L.; Kuo, Y.M.; Chang, F.-L. Paired removal of color and COD from textile dyeing wastewater by simultaneous anodic and indirect cathodic oxidation. J. Hazard. Mater. 2009, 169, 16–22. [Google Scholar] [CrossRef]
- Garcia-Segura, S.; Ocon, D.J.; Chong, N.M. Electrochemical oxidation remediation of real wastewater effluents—A review. Process Saf. Environ. Prot. 2018, 113, 48–67. [Google Scholar] [CrossRef]
- Liu, C.; Min, Y.; Zhang, A.; Si, Y.; Chen, J.-J.; Yu, H.-Q. Electrochemical treatment of phenol-containing wastewater by facet-tailored TiO2: Efficiency, characteristics and mechanisms. Water Res. 2019, 165, 114980. [Google Scholar] [CrossRef] [PubMed]
- Saylor, G.L.; Zhao, C.; Kupferle, M.J. Synergistic enhancement of oxidative degradation of atrazine using combined electrolysis and ozonation. J. Water Process Eng. 2018, 21, 154–162. [Google Scholar] [CrossRef]
- Tran, T.K.; Chiu, K.F.; Lin, C.Y.; Leu, H.-J. Electrochemical treatment of wastewater: Selectivity of the heavy metals removal process. Int. J. Hydrogen Energy 2017, 42, 27741–27748. [Google Scholar] [CrossRef]
- Cao, X.; Song, H.L.; Yu, C.Y.; Li, X.-N. Simultaneous degradation of toxic refractory organic pesticide and bioelectricity generation using a soil microbial fuel cell. Bioresour. Technol. 2015, 189, 87–93. [Google Scholar] [CrossRef] [PubMed]
- Domínguezgaray, A.; Boltes, K.; Estevenúñez, A. Cleaning-up atrazine-polluted soil by using Microbial Electroremediating Cells. Chemosphere 2016, 161, 365–371. [Google Scholar] [CrossRef]
- Valverde García, A.; Socías Viciana, M.; González Pradas, E.; Sánchez, M.V. Adsorption of chlorpyrifos on Almería soils. Sci. Total Environ. 1992, 123–124, 541–549. [Google Scholar] [CrossRef]
- Hebert, V.R.; Hoonhout, C.; Miller, G.C. Use of stable tracer studies to evaluate pesticide photolysis at elevated temperatures. J. Agric. Food Chem. 2000, 48, 1916–1921. [Google Scholar] [CrossRef] [PubMed]
- Onneby, K.; Jonsson, A.; Stenström, J. A new concept for reduction of diffuse contamination by simultaneous application of pesticide and pesticide-degrading microorganisms. Biodegradation 2010, 21, 21–29. [Google Scholar] [CrossRef] [PubMed]
- Alshawabkeh, A.N.; Maillacheruvu, K. Electrochemical and Biogeochemical Interactions under dc Electric Fields. In Physicochemical Groundwater Remediation; Springer: Greer, SC, USA, 2002; pp. 73–90. [Google Scholar]
- Leong, S.Y.; Burritt, D.J.; Oey, I. Utilising Pulsed Electric Fields Processing to Modify the Characteristics of Plant-Based Foods. In Reference Module in Food Science; Elsevier: Amsterdam, The Netherlands, 2018. [Google Scholar]
- Tomenko, V.; Ahmed, S.; Popov, V. Modeling constructed wetland treatment system performance. Ecol. Model. 2007, 205, 355. [Google Scholar] [CrossRef]
- Li, X.; Wang, C.; Zhang, L. Adsorption of Pesticide Compound Pollution in Soil. J. Southwest Univ. Sci. Technol. 2014, 29, 40–44. [Google Scholar]
- Conde-Cid, M.; Paradelo, R.; Fernández-Calviño, D.; Pérez-Novo, C.; Nóvoa-Múñoz, J.; Arias-Estévez, M. Retention of quaternary ammonium herbicides by acid vineyard soils with different organic matter and Cu contents. Geoderma 2017, 293, 26–33. [Google Scholar] [CrossRef]
- Parada, J.; Rubilar, O.; Diez, M.C.; Cea, M.; da Silva, A.S.; Rodríguez-Rodríguez, C.; Tortella, G. Combined pollution of copper nanoparticles and atrazine in soil: Effects on dissipation of the pesticide and on microbiological community profiles. J. Hazard. Mater. 2018, 361, 228–236. [Google Scholar] [CrossRef] [PubMed]
- Alfonso, L.F.; Germán, G.V.; Carmen, P.C.M.D.; Hossein, G. Adsorption of organophosphorus pesticides in tropical soils: The case of karst landscape of northwestern Yucatan. Chemosphere 2017, 166, 292–299. [Google Scholar] [CrossRef] [PubMed]
- Vryzas, Z. Pesticide fate in soil-sediment-water environment in relation to contamination preventing actions. Curr. Opin. Environ. Sci. Health 2018, 4, 5–9. [Google Scholar] [CrossRef]
- Carrizosa, M.J.; Calderón, M.J.; Hermosín, M.C.; Cornejo, J. Organosmectites as sorbent and carrier of the herbicide bentazone. Sci. Total Environ. 2000, 247, 285–293. [Google Scholar] [CrossRef] [PubMed]
- Kanazawa, J. Relationship between the soil sorption constants forpesticides and their physicochemical properties. Environ. Toxicol. Chem. 1989, 8, 477–484. [Google Scholar] [CrossRef]
- Cameselle, C.; Gouveia, S. Phytoremediation of mixed contaminated soil enhanced with electric current. J. Hazard. Mater. 2018, 361, 95. [Google Scholar] [CrossRef]
- Sherrard, R.M.; Bearr, J.S.; Murray-Gulde, C.L.; Rodgers, J.H., Jr.; Shah, Y.T. Feasibility of constructed wetlands for removing chlorothalonil and chlorpyrifos from aqueous mixtures. Environ. Pollut. 2004, 127, 385–394. [Google Scholar] [CrossRef]
- Dannehl, D. Effects of electricity on plant responses. Sci. Hortic. 2018, 234, 382–392. [Google Scholar] [CrossRef]
- Zhu, H.; Yu, X.; Xu, Y.; Yan, B.; Bañuelos, G.; Shutes, B.; Wen, Z. Removal of chlorpyrifos and its hydrolytic metabolite in microcosm-scale constructed wetlands under soda saline-alkaline condition: Mass balance and intensification strategies. Sci. Total Environ. 2021, 777, 145956. [Google Scholar] [CrossRef] [PubMed]
- Ebrahimi, S.; Gabus, S.; Rohrbachbrandt, E.; Hosseini, M.; Rossi, P.; Maillard, J.; Holliger, C. Performance and microbial community composition dynamics of aerobic granular sludge from sequencing batch bubble column reactors operated at 20 °C, 30 °C, and 35 °C. Appl. Microbiol. Biotechnol. 2010, 87, 1555–1568. [Google Scholar] [CrossRef]
- Ishii, S.; Sekiguchi, Y. Enhanced electrode-reducing rate during the enrichment process in an air-cathode microbial fuel cell. Appl. Microbiol. Biotechnol. 2012, 94, 1087–1094. [Google Scholar] [CrossRef] [PubMed]
- Sträuber, H.; Lucas, R.; Kleinsteuber, S. Metabolic and microbial community dynamics during the anaerobic digestion of maize silage in a two-phase process. Appl. Microbiol. Biotechnol. 2016, 100, 479–491. [Google Scholar] [CrossRef] [PubMed]
- Milan, M.; Ferraresso, S.; Ciofi, C.; Chelazzi, G.; Carrer, C.; Ferrari, G.; Pavan, L.; Patarnello, T.; Bargelloni, L. Exploring the effects of seasonality and chemical pollution on the hepatopancreas transcriptome of the Manila clam. Mol. Ecol. 2013, 22, 2157–2172. [Google Scholar] [CrossRef]
- Milan, M.; Pauletto, M.; Boffo, L.; Carrer, C.; Sorrentino, F.; Ferrari, G.; Pavan, L.; Patarnello, T.; Bargelloni, L. Transcriptomic resources for environmental risk assessment: A case study in the Venice lagoon. Environ. Pollut. 2015, 197, 90–98. [Google Scholar] [CrossRef]
- Milan, M.; Matozzo, V.; Pauletto, M.; Di Camillo, B.; Giacomazzo, M.; Boffo, L.; Binato, G.; Marin, M.G.; Patarnello, T.; Bargelloni, L. Can ecological history influence response to pollutants? Transcriptomomic analysis of Manila clam collected in different Venice lagoon areas and exposed to heavy metal. Aquat. Toxicol. 2016, 174, 123–133. [Google Scholar] [CrossRef] [PubMed]
- Gao, J.; Liu, G.; Li, H.; Xu, L.; Du, L.; Yang, B. Predictive functional profiling using marker gene sequences and community diversity analyses of microbes in full-scale anaerobic sludge digesters. Bioprocess Biosyst. Eng. 2016, 39, 1115–1127. [Google Scholar] [CrossRef] [PubMed]
- Yang, Y.; Yu, K.; Xia, Y.; Lau, F.T.K.; Tang, D.T.W.; Fung, W.C.; Fang, H.H.P.; Zhang, T. Metagenomic analysis of sludge from full-scale anaerobic digesters operated in municipal wastewater treatment plants. Appl. Microbiol. Biotechnol. 2014, 98, 5709–5718. [Google Scholar] [CrossRef] [PubMed]
Disclaimer/Publisher’s Note: The statements, opinions and data contained in all publications are solely those of the individual author(s) and contributor(s) and not of MDPI and/or the editor(s). MDPI and/or the editor(s) disclaim responsibility for any injury to people or property resulting from any ideas, methods, instructions or products referred to in the content. |
© 2023 by the authors. Licensee MDPI, Basel, Switzerland. This article is an open access article distributed under the terms and conditions of the Creative Commons Attribution (CC BY) license (https://creativecommons.org/licenses/by/4.0/).







