Next Article in Journal
Characterization of Technosols for Urban Agriculture
Previous Article in Journal
Fostering Customer Loyalty in Kitesurfing: The Case of a Nautical Sports Centre in Portugal
Previous Article in Special Issue
Cobalt Ferrite (CoFe2O4) Spinel as a New Efficient Magnetic Heterogeneous Fenton-like Catalyst for Wastewater Treatment
 
 
Font Type:
Arial Georgia Verdana
Font Size:
Aa Aa Aa
Line Spacing:
Column Width:
Background:
Article

TiO2/Arabic Gum for Degradation of Pollutants in Water

by
Anderson Lopes
1,
Francisca P. Araújo
1,
Dihego Damasceno
1,
Luzia M. C. Honório
1,
Alan I. S. Morais
1,
Luciano C. Almeida
2,
Ramón Peña Garcia
3,
Edson C. Silva-Filho
1,
Marcelo B. Furtini
1 and
Josy A. Osajima
1,*
1
Interdisciplinary Laboratory Advanced Materials (LIMAv), Federal of University of Piauí, Teresina 64049-550, PI, Brazil
2
Chemical Engineering Department, Federal University of Pernambuco, Recife 52171-900, PE, Brazil
3
Academic Unit of Cabo de Santo Agostinho, Federal University of Rural Pernambuco, Cabo de Santo Agostinho 50670-901, PE, Brazil
*
Author to whom correspondence should be addressed.
Sustainability 2023, 15(22), 15768; https://doi.org/10.3390/su152215768
Submission received: 4 September 2023 / Revised: 21 September 2023 / Accepted: 23 September 2023 / Published: 9 November 2023

Abstract

:
Emerging contaminants and pollution are environmental problems threatening public health. Antibiotic ciprofloxacin and methylene blue dye are pollutants frequently detected in water systems worldwide. Photocatalysis is a process for water treatment. TiO2-based catalysts synthesized with natural gums show improved photocatalytic properties. Here, the sol–gel method synthesized TiO2/Arabic gum for photocatalytic performance. The innovation of this work was synthesized at 400 °C and investigated their photocatalytic proprieties using methylene blue and ciprofloxacin as model pollutants. XRD showed that the photocatalyst was in the anatase phase. The result showed that TiO2 with a band gap of 3.29 eV was achieved at a calcination temperature of 400 °C. Corresponding FTIR results suggest only the existence of functional groups related to TiO2. The SEM and BET method characterization indicated that TiO2/Arabic gum were spherical-shaped nanoparticles arranged in clusters with a mesoporous structure, contributing to photocatalytic performance. In addition, photocatalytic studies showed that the methylene blue dye and ciprofloxacin antibiotic degradation rates reached 99% and 94% under UV light, respectively. The hole (h+) and O H   radicals are essential in photodegradation. The synthesized material showed excellent photostability and maintained almost the same degradation percentage in the three consecutive cycles tested on the different pollutants. The TiO2/Arabic gum is an excellent candidate for future use in treating contaminants in aqueous media using photocatalysis. Therefore, TiO2/Arabic gum nanoparticles are a promising material for wastewater treatment.

Graphical Abstract

1. Introduction

Since mid-March 2020, the SARS-CoV-2 pandemic has significantly changed different people’s habits and health conditions worldwide. Researchers of various nationalities began investigating existing drug use to combat the specific symptoms caused by COVID-19 [1,2,3]. The redefinition of drugs tested in these new health protocols caused an increase in drug consumption [4,5,6]. The excessive use of pharmaceutical compounds has brought several adverse effects to the environment, caused by improper disposal of drugs in water sources or the lack of adequate management of wastewater treatment [7,8,9].
However, detecting drugs in high concentrations in effluents from wastewater treatment systems and surface and groundwater affluents has always been a public health problem. Ciprofloxacin (CIP), sulfamethoxazole, and trimethoprim are frequently detected antibiotics in aquatic environments and reported worldwide [10,11,12,13,14]. Antibiotics are substances classified as emerging contaminants, as well as pesticides, personal care products, certain natural pollutants, and industrial dyes (methylene blue) [15]. As polluting contaminants in the textile and pharmaceutical industries, dyes and pharmaceuticals and their metabolites found in different environmental matrices have been a cause of ecological concern worldwide [16]. Ciprofloxacin is a type of synthetic antibiotic from the quinolone group that is widely found in water bodies and has a broad spectrum that exhibits antibacterial activity not only against a variety of bacteria [17,18] but is also widely used in clinical treatments. Unfortunately, due to their structural stability, inappropriate use, and persistent metabolic resistance, these compounds cannot be thoroughly degraded, thus slightly diffusing into water bodies, or absorbed by minerals and organic matter after spreading in the soil and accumulating in the form of hydrochloride, presenting an ecotoxicological effect [19] and consequently a negative impact on the ecosystem, as these bioaccumulates present threats at all levels of the biological hierarchy. Thus, their elimination becomes challenging [20,21]. Table 1 summarizes studies using different photocatalysts against the importance of ciprofloxacin. Methylene blue is a cationic dye with an aromatic heterocyclic formula that has been widely reported in the literature as a model pollutant in photocatalytic decolorization tests [22,23,24]. Given its multiple applications, it has essential characteristics when assessing the light spectrum, as it has three absorption maximums: 246 nm, 291 nm, and 663 nm, which refer to degradation and discoloration [25].
Therefore, due to the increasing concern regarding the presence of these contaminants in the environment and their possible effects, researchers are constantly investigating ways to minimize the disposal of these pollutants because, despite numerous conventional biological and chemical treatment processes, little is known about their effects and relationships in the environment over the years. Thus, the growing presence of contaminants in the environment justifies the need to develop suitable materials that help treat these contaminants in wastewater treatment systems.
Wastewater treatment systems divide the operating phases into primary, secondary, and tertiary treatment, carried out optionally [31]. The primary treatment consists of physical-chemical processes through flocculation and coagulation, driven by adding chemical products [32,33]. Secondary treatment consists of removing organic matter through biochemical reactions [34]. However, the primary and secondary treatments do not completely degrade the chemical products in the effluents, and small amounts of contaminants are discarded directly into surface water [35].
In Brazil, the Resolution of the National Environmental Council (CONAMA) n°430 establishes maximum permissible values for disposing of contaminants in water receptors. The resolution also establishes that effluents from health services must be released directly into the surface water after special treatment, not to mention acceptable amounts of emergent contaminants such as pharmaceutical compounds and dye. Therefore, tertiary treatment is an attractive alternative for the degradation of drugs and the inactivation of pathogens not carried out in primary and secondary effluent treatments. Tertiary treatment can be carried out using advanced wastewater decontamination methods, including reported adsorption techniques, photolysis, photo-Fenton, and photocatalysis [36,37,38,39,40,41,42,43]. Photocatalysis is widely used for the mineralization of contaminants in aqueous solutions, such as industrial dyes, pharmaceutical compounds, and pathogens. A recent study showed the efficiency of the advanced oxidation process (AOP) in treating industrial wastewater [44]. The successful application of the effluent decontamination process by reactive oxygen species (ROS) destroys the molecular structure of contaminants. TiO2 is the most researched metal oxide for photocatalysis due to its low cost, non-toxicity, biocompatibility, chemical stability, easy immobilization on various surfaces, high oxidizing abilities, and faster reaction rates [45,46,47]. However, several studies have been reported aiming to regulate the size, shape, and crystalline structure of TiO2 [48].
In recent years, efforts have been made to obtain new materials from environmentally friendly synthesis. From the point of view of green synthesis, using naturally abundant and non-toxic precursors contributes to sustainable development. Furthermore, knowing that nanoparticles tend to agglomerate can hinder photocatalysis, using gums has demonstrated an effect in stabilizing nanoparticles, improving the general properties of semiconductor oxides, and their applications in environmental remediation [49]. Different studies have shown the efficiency of obtaining TiO2 nanoparticles using gums [24,50,51,52]. Saranya et al. demonstrated that the green synthesis of TiO2 nanostructures using Kondagogu gum resulted in excellent photocatalytic activity toward methylene blue dye degradation [50]. Alwared et al. reported the immobilization of TiO2 in Xanthan gum and applied the material to remove dye using solar radiation to activate the semiconductor. According to these authors, the high surface area and low band gap contributed to the improved photocatalytic capacity of the material [51]. Inamudim also observed a lowering of the band gap energy value for TiO2 synthesized in the presence of Xanthan gum and a high capacity for removing methyl orange dye. Another study reported that TiO2 structures obtained with Arabic and Karaya gums showed a high surface area, which contributed to removing methylene blue dye using photocatalysis. Furthermore, the authors also reported a more significant suppression of electron-hole pair recombination for TiO2 synthesized with Arabic gum [24].
Karaya and Arabic gums are natural polysaccharides obtained from plant exudates. Arabic gum is the oldest industrial gum among exuded gums, obtained from the Acacia Senegal tree and used in the food and non-food industry due to its properties, such as viscosity, stabilization, thickening, emulsification, nutrition, and surface properties [53,54]. Our group recently reported the efficiency of TiO2, synthesized from natural gums, which showed excellent antibacterial activity. TiO2 was synthesized by sol–gel and stabilized with Karaya gum (TiO2/Karaya), which presented biological activity against bacteria Gram-positive and Gram-negative [55]. Araújo et al. [24] synthesized TiO2 with natural gums (Karaya gum and Arabic gum) by the sol–gel method, calcining the samples at 200 °C. The photocatalytic performance was evaluated for methylene blue degradation [24]. However, the low temperature adopted in the calcination process resulted in solids with low crystallinity. The formation of crystalline structures with well-defined peaks can be interfered with by adjusting reaction parameters such as precursor type, solvent, reaction time, and temperature of calcination. TiO2 was calcined at temperatures of 400 °C or below and showed improvement in photocatalytic activities [56,57,58,59,60,61,62].
In this work, we synthesize using the sol–gel method the composite TiO2/Arabic gum with a calcination temperature of 400 °C to promote the formation of crystalline structures with better photocatalytic proprieties. The innovation of this work was synthesized at 400 °C and investigated their photocatalytic proprieties using methylene blue and ciprofloxacin as model pollutants due to frequent reports of detecting these contaminants in aquatic environments. In addition, the leading radical species involved in the photocatalytic process, the reuse, and the photostability of photocatalysts were also investigated.

2. Materials and Methods

2.1. Materials

The reagents used were silver nitrate 99.9% (vetec), ciprofloxacin (Farmafórmula), Arabic gum (AG)—SLBP5629V (Aldrich, St. Louis, MO, USA), ethylenediaminetetraacetic acid 99% (Dinâmica), ethyl alcohol 99.8% (Aldrich), ultrapure water, titanium isopropoxide 97% (Aldrich), and methyl alcohol 99.5% (Dinâmica). The Arabic Gum is registered in SisGen number ABD61DA.

2.2. Synthesis of TiO2/Arabic Gum

The oxide was synthesized using the sol–gel procedure with some adaptations [24]. To prepare the semiconductor: 2% AG was mixed in proportion to the titanium volume in 100.0 mL of ethyl alcohol. After it was stirred for 30 min. In the gum solution was added 6.0 mL of titanium isopropoxide under magnetic stirring. Then, 6.0 mL of water was slowly added and stirred (30 min). Finally, the solution was kept overnight and dried at 75 °C. The calcination was 400 °C, and the material was called TiO2/Arabic gum, as shown in Figure 1.

2.3. Physico-Chemical Characterization

X-ray diffractometer model XRD-6000 Shimadzu was used to obtain X-ray diffraction analysis (XRD), configured to operate with a copper target (Kα = 1.5406 Å), voltage 40 kV, current of 30 mA, and it was used in powdered form in θ–2θ scan mode coupled in an interval 2θ = 3° to 85°, step size 0.02° with a speed of 1 degree/min.
Quantitative analysis of the TiO2 sample was performed using the Rietveld method, aided by the Panalytical Plus HighScore version 5.2 software. The crystal structure information was extracted from the Crystal Information File (CIF) of the Inorganic Crystal Structure Database (ICSD) and the database of the Joint Committee for Powder Diffraction Standards (JCPDS). Four structure parameters of refined phases were used to identify the anatase, rutile, brookite, and titanium phases. The order adopted for refinement was: Zero shift corrections, scale factor, unit cell, profile variables (W left), asymmetry, and preferred orientation. The choice of CIF file followed as a selection criterion the value closest to the network parameter indicated in the JCPDS file for indexing the peaks corresponding to each phase. The numbering of the JCPDS and CIF files is identified in Table 2.
Crystallite sizes (LC) and micro-stress (ε) values were measured using the Williamson–Hall method [63]. Equation (1) was used to determine the interplanar distance (d) according to Bragg’s Law [64]. Equation (2) was used to calculate the lattice parameters (a and c) of anatase with the planes (200) and (101) for the tetragonal crystalline system and space group I41/amd corresponding to the analyzed phase. The interplanar distance of planes (200) and (101) was used, defined by Bragg’s law (Equation (1)).
d = η λ 2 s e n θ
1 d 2 = h 2 + k 2 a 2 + l 2 c 2
The morphology was observed by scanning electron microscopy (SEM) in FEI Quanta FEG 250 equipment coupled with EDS Apllo XSDD, with a voltage of 10 KV. Fourier transform infrared spectroscopy by Perkin Elmer SPECTRUM 400 (FTIR/FT-NIR) has a scan range of 4000 to 400 cm−1. Nitrogen adsorption–desorption isotherms were performed using Quantachrome results (Autosorb-iQ Instruments). The textural propriety was calculated by the BET technique and gaseous adsorption and desorption isotherms. A Shimadzu Model UV-3600 spectrophotometer with diffuse reflectance was used to determine the band gap (Eg) of the material, as proposed in the Kubelka–Munk method.

2.4. Photocatalytic Performance

The photocatalytic principle presents a green route to mitigate environmental and energy issues [65,66]. It is a green technology with important application attributes in different areas and boasts the advantages of non-toxicity, economic viability, and environmental sustainability. The main requirements of this technology are related to photocatalyst synthesis, which depends on several important characteristics, such as light absorption capacity, density of active sites, redox capacity, and photoinduced electron-hole recombination rate [65,67]. Several strategies have been adopted to design new and efficient photocatalysts for various applications.
Methylene blue (MB) and antibiotic ciprofloxacin (CIP) were used to evaluate the photocatalytic capacity of the material. Briefly, 1.5 × 10−5 mol L −1 of MB and 10 mg of CIP were diluted in 80 mL of distilled water, respectively. The concentration was followed by the previous work [24]. The pollutant solution was under constant agitation for 48 h for complete dissolution. The photodegradation of pollutants was carried out in a radiation box containing a borosilicate reactor coupled to a thermostatic bath to maintain the temperature at 25 ± 1 °C. Irradiation was performed using a 160 W mercury vapor lamp without a bulb as the UV light source. The degradation kinetics were monitored at specific intervals (0, 5, 10, 20, 30, 60, 90, 120, and 150 min). The mass of TiO2/Arabic gum was 0.125 g L−1, 0.5 g L−1, and 1.0 g L−1. The suspension in the dark was stirred for 60 min to obtain the adsorption–desorption equilibrium. The procedure was performed in triplicate. Changes in pollutant concentration were monitored using an Agilent Technologies Cary 60 UV–vis spectrophotometer. The MB was monitored at 663 nm and the CIP at 274 nm wavelength, corresponding to the maximum absorption. To calculate the degradation rate, Equation (3) was used, where A0 and A correspond to the absorbances of the pollutant solution before and after irradiation, respectively.
%   Degradation = A A 0 A  
Furthermore, ethylenediamine acid–EDTA, methyl alcohol, or AgNO3 were used to determine the principal reactive oxygen species (ROS). The scavenger concentration was the same in the previous study [68]. The scavengers were added in the dark before the adsorption equilibrium and tested separately, respecting the same photocatalytic process described before [68].

2.5. Reuse Test ans Photostability of Phocatalystic

Reuse tests were also performed for the TiO2/Arabic gum material. The procedure for photocatalysis is the same as described in Section 2.4. After the photocatalysis was completed, the photocatalysis after radiation was dried at 160 °C for 180 min. Then, the material was weighed and reused under the same experimental conditions. The pollutant degradation rate was determined in each case. The same procedure was performed three times. Finally, the material after the last reuse was characterized by XRD to evaluate its photostability after the photocatalytic process [26].

3. Results and Discussion

3.1. Characterization

The reflection of peaks corresponding to the diffracted planes of the analyzed sample is indicated in Figure 2. The indexed peaks and the respective planes relative to the anatase phase are equivalent to 2θ(°) and (hkl) = 25.62 (101); 38.18 (004); 48.28 (200); 54.3 (105); 55.1 (211); 63.12 (204); 69.08 (116); 70.34 (220); 75.36 (215); and 83.1 (224). Only a low-intensity peak at 2θ = 30.88°, which is the plane (121) indexed for the brookite phase.
Table 3 shows the values obtained in the quantitative analysis. In the TiO2 analyzed, impurities derived as a by-product of the sol–gel synthesis were not observed. Using the Rietveld method, the values measured for the anatase and brookite phases were 89.6% and 10.4%, respectively. The rutile phase or pure titanium was not observed. The reason for the predominance of the anatase phase may be related to the lower surface energy of the planes of that phase, which makes the anatase more stable for crystallites of small size [69].
The surface energy favoring the stabilization of the anatase phase outweighs the mass thermodynamic energy following the transformation to rutile because of the lower free energy. The anatase phase presents a free energy (volume and surface) smaller than the critical crystallite size [69].
Regarding the structural parameters of anatase, the crystallite size (LC) found by the Willmanson–Hall method was approximately 67.28 Å, and the micro-stress value (ε) was −13.9 × 10−4, indicating compressive stresses in the structure. The second work developed by Lafjah et al. [69], which sought to develop TiO2 and subsequently calcined the samples at different temperatures, 350 °C to 750 °C at a variable rate of 50 °C, managed to obtain values similar to this work, between 80 and 230 Å. Using the sol–gel technique and calcination temperature of 450 °C, Ates [70] was able to reach similar values in crystallite size, between 200.0 and 240.0 Å.
Concerning the interplanar distance, in the direction normal to the plane (101), it corresponds to 3.48 Å, while for the plane (200), it is 1.88 Å. The lattice parameters were measured using plane (200), and the values found for a and c were 3.7679 Å and 9.0537 Å. The values found are close to those theoretically defined by the JCPDS forms 00-021-1272 and CIF 5000223, as shown in Table 4. Shi et al. found similar values of lattice parameters for anatase–TiO2, and a slight distortion in the c parameter [71]. The distortion in the value of c may be related to compressive forces caused by the presence of other elements in the polycrystal microstructure, as observed by Kim et al. [72]. As the presence of impurities was not followed through the analysis, the brookite phase may be the reason for the reduction of parameter c.
Figure 3a shows the FTIR spectrum of TiO2/Arabic gum, indicating the variation of functional groups and their chemical bonds. The broad bands between 3100 and 3500 cm−1 and the sharp band around 1620 cm−1 are attributed to the stretching and deformation vibration of the hydroxyl groups. Between 900 and 400 cm−1 is related to the Ti–O and Ti–O–Ti bridge elongation modes [73,74]. The band gap value shown in Figure 3b was 3.29 eV, determined from measurements performed by diffuse reflectance spectroscopy. The value of the sample band gap is compatible with values reported in previous studies [75].
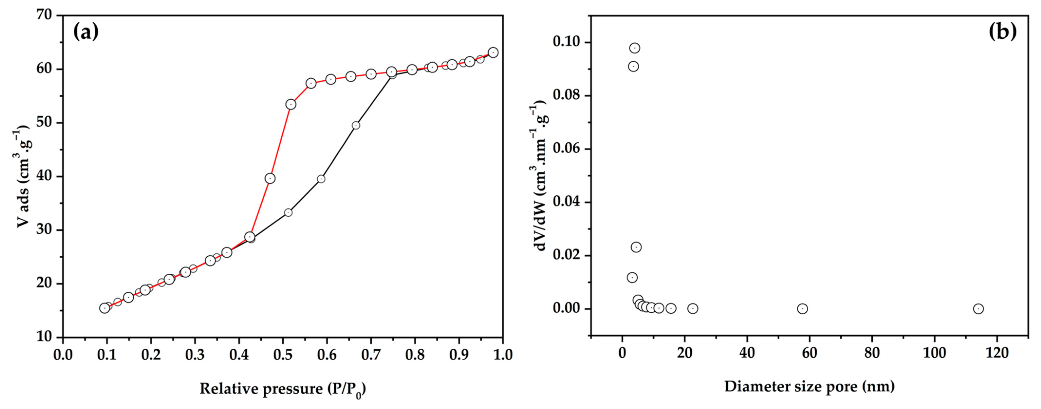
The adsorption and desorption isotherms were used to investigate the surface area, pore volume, and pore size of the TiO2/Arabic gum, as shown in Figure 4a,b. According to the IUPAC classification, isotherms have a type IV classification, indicating materials with a mesoporous structure [76]. The surface area was 50.5 m2 g−1, pore size was 5.18 ηm, and the pore volume value was 0.091 cm3 g−1. The results are consistent with previously reported studies suggesting that the synthesis of TiO2 from natural gums does not substantially change the porosity of the composite. In addition, the pore diameter variation between 2 and 50 nm corroborates the indication of mesoporous materials, as shown in Figure 4b [55].
The SEM images of the sample and the EDS spectrum are shown in Figure 5. Figure 5a shows the pore diameter with a dimension of 100 ηm ± 5. The synthesis of the material resulted in spherical-shaped nanoparticles arranged in clusters. Figure 5b shows the EDS spectrum containing only Ti, O, C, and Au. The carbon atoms are related to the adhesive tape used to deposit the samples. The Au peaks are associated with the thin layer of conductive material necessary for imaging. The Ti and O atoms in the spectrum suggest no material contamination during the sol–gel process and that the Arabic gum was completely calcined during the synthesis.

3.2. Photocatalytic Activities

Figure 6a,b shows the photodegradation rate using TiO2/Arabic gum to degrade methylene blue and ciprofloxacin under UV light. Firstly, the solution was stirred without light to activate the equilibrium. Figure 6c,d shows the percentages of photodegradation for pollutants. The photocatalyst concentrations were 0.125 g L−1, 0.5 g L−1, and 1.0 g L−1. TiO2/Arabic gum showed catalytic activity for the two contaminants tested. The photocatalyst concentration of 1.0 g/L−1 could degrade 99% MB and 94% of CIP under UV light in 150 min. The effect of the photocatalyst concentration considers that the photocatalyst used absorbs light on its surface and thus releases radical species that attack the contaminant. Initially, it was observed that at a concentration of 0.5 g L−1, the photocatalyst effectively absorbs light on its surface and releases radical species that attack methylene blue. Usually, higher concentration ranges contribute to more significant activity due to more excellent radiation absorption and the creation of radicals (an example that occurs with ciprofloxacin) [67]. However, the high photocatalyst concentration can cause aggregation, inhibiting light penetration into the effluent solution [77]. The interaction between the photocatalyst and the contaminating molecule is a decisive factor in determining the optimal concentration of the catalyst and the pollutant, and depending on the structure of the molecule, the concentration of the photocatalyst may be different for each system investigated, as is the case with the degradation of CIP. In addition, after reaching the critical concentration value, that is, the maximum value for the photocatalyst load, the degradation rate is reduced due to the formation of many layers by the adsorption of the contaminant on the photocatalyst surface, preventing the production of radicals. There is a growing need for strategies, especially in modifying the photocatalyst’s surface structures, to favor this contaminant/photocatalyst ratio [78,79].
Lopes et al. synthesized TiO2/Karaya (natural gum) by the sol–gel method and simulated the photocatalytic degradation of MB. The photocatalytic efficiency of the produced TiO2/karaya was 95% [55]. Previously, Araujo et al. synthesized TiO2 with Arabic gum (AGTi) and Karaya gum (KGTi). The samples were calcined at 200 °C. The photocatalytic performance was investigated for methylene blue, as shown in Table 5 [24]. Yang et al. [80] investigated ciprofloxacin degradation using P25 and pure TiO2. The results showed low efficiency of the photocatalysts P25 and TiO2 for degradation of CIP, indicating 54.4 % and 68.1 %, respectively [80]. The degradation of CIP using TiO2/Arabic gum reached promising results, corresponding to 94% for drug degradation. Parmar and Srivastava synthesized TiO2 nanoparticles by the same method and simulated CIP photodegradation, and the efficiency was 87.95% [81]. TiO2/Arabic gum reached values higher than similar materials for photocatalytic performance previously reported. The 1.0 g L−1 of TiO2/Arabic gum showed the best degradation of CIP. The more significant amount of photocatalyst can be justified considering the greater number of active sites and, consequently, the more significant formation of radical species responsible for the pollutant’s degradation.
Other studies used the same concentration of photocatalyst. Park et al. used TiO2 for the degradation of several antibiotics, reporting a value of 1.0 g L−1 as the most efficient concentration to degrade pharmaceuticals [82]. Bennemla et al. used the same amount of catalyst to obtain the best degradation efficiency [83].
The photocatalytic degradation of CIP occurs due to reactive oxygen species ( O 2 , H O 2 , O H , H 2 O 2 ). Several studies have been developed in recent years to understand heterogeneous photocatalysis’s reaction mechanism. Photocatalysis consists of irradiating a semiconductor with energy ( h ν ) higher than that of the band gap so that the electron in the valence band (VB) is excited to the conduction band (CB) (Equation (4)) [84].
T i O 2 h ν h B V + + h B C
The electron leaves the valence band to the conduction band, generating a gap with sufficient energy capable of reacting with water adsorbed on the semiconductor, generating hydroxyl free radicals and hydrogen protons (Equation (5)) [85]. Likewise, the photogenerated gap reacts with the O H anion on the surface of the TiO2 particle, forming a hydroxyl radical (Equation (6)) [86].
H 2 O a d s . + h B V + O H + H +
O H ( sup e r f . ) + h B V + O H
During photocatalysis, superoxide anion radicals are generated because the free electrons in the CB react with oxygen molecules (Equation (7)). The generated superoxide radicals react with hydrogen protons, forming hydroperoxyl (Equation (8)). Hydroperoxide radicals react with each other, including hydrogen peroxide (Equation (9)). Hydrogen peroxide is also formed by reactions of superoxides with hydroxyperoxyl (Equations (10) and (11)). Equations (12)–(14) represent the secondary reactions of hydrogen peroxide, resulting in reactive oxygen species that facilitate the photocatalysis process [87,88,89].
O 2 + e B C O 2
O 2 + H +     H O 2
H O 2 + H O 2     H 2 O 2 + O 2
O 2 + H O 2     H O 2 + O 2
H O 2 + H +     H 2 O 2
H 2 O 2 + e C B   O H + O H
H 2 O 2 + O 2 O H + O H + O 2
H 2 O 2   h ν 2 O H
The scavenger test was carried out to identify which reactive oxygen species (ROS) most affected the degradation of pollutants. Figure 7a,b shows the ROS that influenced the degradation of MB and CIP. The EDTA, methanol, and AgNO3 scavengers inhibit the action of the hole (h+), the O H radicals and electrons ( e ) in the photodegradation process, respectively. The result shows that the hole (h+) represented an inhibition percentage of 38.75% in the degradation of CIP. Otherwise, the O H radicals represented an inhibition percentage of 55.40% in the degradation of MB. However, the O H radicals played a slight role in CIP degradation, and the electrons ( e ) played a small role in MB degradation. The result demonstrates that the electrons did not play directly in the photocatalytic process for the degradation of CIP [90].

3.3. Recycling and Stability of Photocatalytic

Recycle is a vital parameter to verify the catalyst’s reuse for consecutive cycles. This strategy is essential for a material used in water treatments. Figure 8 shows the reuse of TiO2/Arabic gum using the two pollutants (MB and CIP). As seen in the second reuse cycle, it was observed at a degradation rate of 98.85 ± 0.95 to MB and 93.99 ± 0.76 to CIP after 150 min of UV irradiation. In the third photocatalytic, the degradation rate found was 98.12 ± 0.92 for MB and 92.33 ± 0.69 for CIP, indicating that the material maintains its capacity to remove pollutants after your recovery. The reuse of photocatalysts is related to the stability of the material. In both systems, it is believed that the slight decrease in removal may be due to intermediates absorbed on the surface of ca, as well as agglomerations (which can reduce the effective surface area and the number of active sites) that may arise from particles and consequently favor the process of recombination and/or separation of charge carriers in the reaction medium [91,92,93].
The photostability of the material was also studied, as well as reusability, as it is a crucial factor in choosing the synthesis method, cost-benefit, and feasibility in future environmental remediation systems [91]. The results indicate excellent photostability because no changes in the crystalline structure were observed after the irradiation process with three consecutive cycles. In the diffractogram, stable and characteristic phases of the anatase phase of TiO2 are identified by XRD. As shown in Figure 9, the diffractograms of the sample before and after the photocatalytic reuse test demonstrated a similar profile, proving that the crystalline structure of the material was not affected, and this justifies the excellent ability to remove MB and CIP pollutants in consecutive cycles of reuse. TiO2/Arabic Gum is a promising material due to its photocatalytic efficiency. A previous study by the group, Freitas et al. [26], also evaluated the stability of another catalyst against CIP degradation. The authors also assessed the catalyst using the XRD technique and concluded that the structure of the photocatalyst was maintained by the characteristic planes of the oxide.

4. Conclusions

TiO2/Arabic gum was successfully synthesized to efficiently degrade methylene blue and ciprofloxacin under UV light. Characterization confirmed the formation and crystallinity of TiO2/Arabic gum, while significant improvements were explored in terms of photocatalytic performance. The optimized system proved to be a highly effective catalyst due to the band gap value. The mesoporous structure of the material was confirmed by nitrogen adsorption and desorption isotherms, favoring the degradation process. The degradation percentage reached 99% for MB and 94% for CIP. The elucidation of the active species during the process was obtained using scavengers, in which hydroxyl radicals and holes were the predominant species in the degradation performance of MB and CIP, respectively. Overall, the study provides new insights and strategies for the straightforward synthesis of new gum-based photocatalysts aimed at the remediation of organic pollutants.

Author Contributions

A.L. writing—original draft; F.P.A.: methodology; D.D. formal analysis; L.M.C.H. conception, A.I.S.M. conceptualization; L.C.A. methodology; R.P.G. methodology; E.C.S.-F. writing—review and editing; M.B.F. funding; J.A.O. supervision and project administration. All authors have read and agreed to the published version of the manuscript.

Funding

Convênio UFPI-IFPI 45-2018.

Institutional Review Board Statement

Not applicable.

Informed Consent Statement

Not applicable.

Data Availability Statement

Not applicable.

Acknowledgments

CAPES and CNPq agencies.

Conflicts of Interest

The authors declare no conflict of interest.

References

  1. Popescu, V.; Corina, I.; Angel, J.; Martin, S.; Kanhaiya, K.; Florea, D.; Gavril, G.; Tusa, M.I.; Pacioglu, O.; Popa, L.I.; et al. Network Analytics for Drug Repurposing in COVID-19. Brief. Bioinform. 2022, 23, bbab490. [Google Scholar]
  2. Saha, S.; Kumar, A.; Sekhar, S.; Chatterjee, P.; Nasipuri, M.; Bose, D.; Basu, S. Drug Repurposing for COVID-19 Using Computational Screening: Is Fostamatinib/R406 a Potential Candidate ? Methods 2023, 203, 564–574. [Google Scholar] [CrossRef]
  3. Bhatia, A. Role of Drugs in COVID 19 Patient: A Review. J. Pharm. Res. Int. 2021, 33, 99–105. [Google Scholar] [CrossRef]
  4. Gwenzi, W.; Selvasembian, R.; Offiong, N.A.O.; Mahmoud, A.E.D.; Sanganyado, E.; Mal, J. COVID-19 Drugs in Aquatic Systems: A Review. Environ. Chem. Lett. 2022, 20, 1275–1294. [Google Scholar] [CrossRef]
  5. Seethalakshmi, P.S.; Charity, O.J.; Giakoumis, T.; Kiran, G.S.; Sriskandan, S.; Voulvoulis, N.; Selvin, J. Delineating the Impact of COVID-19 on Antimicrobial Resistance: An Indian Perspective. Sci. Total Environ. 2022, 818, 151702. [Google Scholar] [CrossRef]
  6. Diaz-Camal, N.; Cardoso-Vera, J.D.; Islas-Flores, H.; Gómez-Oliván, L.M.; Mejía-García, A. Consumption and Ocurrence of Antidepressants (SSRIs) in Pre- and Post-COVID-19 Pandemic, Their Environmental Impact and Innovative Removal Methods: A Review. Sci. Total Environ. 2022, 829, 154656. [Google Scholar] [CrossRef]
  7. Wojcieszyńska, D.; Guzik, H.; Guzik, U. Non-Steroidal Anti-Inflammatory Drugs in the Era of the Covid-19 Pandemic in the Context of the Human and the Environment. Sci. Total Environ. 2022, 834, 155317. [Google Scholar] [CrossRef]
  8. Morales-Paredes, C.A.; Rodríguez-Díaz, J.M.; Boluda-Botella, N. Pharmaceutical Compounds Used in the COVID-19 Pandemic: A Review of Their Presence in Water and Treatment Techniques for Their Elimination. Sci. Total Environ. 2022, 814, 152691. [Google Scholar] [CrossRef]
  9. Morin, N.; Eric, C.; Marc, L.; Ana, F.; Lado, R. Removal of Emerging Contaminants from Wastewater Using Advanced Treatments. A Review. Environ. Chem. Lett. 2022, 20, 1333–1375. [Google Scholar]
  10. Pereira, A.; Silva, L.; Laranjeiro, C.; Pena, A. Assessment of Human Pharmaceuticals in Drinking Water Catchments, Tap and Drinking Fountain Waters. Appl. Sci. 2021, 11, 7062. [Google Scholar] [CrossRef]
  11. Nieto-Juárez, J.I.; Torres-Palma, R.A.; Botero-Coy, A.M.; Hernández, F. Pharmaceuticals and Environmental Risk Assessment in Municipal Wastewater Treatment Plants and Rivers from Peru. Environ. Int. 2021, 155, 106674. [Google Scholar] [CrossRef] [PubMed]
  12. Rodriguez-Mozaz, S.; Vaz-Moreira, I.; Varela Della Giustina, S.; Llorca, M.; Barceló, D.; Schubert, S.; Berendonk, T.U.; Michael-Kordatou, I.; Fatta-Kassinos, D.; Martinez, J.L.; et al. Antibiotic Residues in Final Effluents of European Wastewater Treatment Plants and Their Impact on the Aquatic Environment. Environ. Int. 2020, 140, 105733. [Google Scholar] [CrossRef] [PubMed]
  13. Prajapati, D.; Shah, M.; Yadav, A.; Panchal, J. A Critical Review on Emerging Contaminants: Origin, Discernment, and Remedies. Sustain. Water Resour. Manag. 2023, 9, 69. [Google Scholar] [CrossRef]
  14. Kumar, M.; Das, N.; Tripathi, S.; Verma, A.; Jha, P.K.; Bhattacharya, P.; Mahlknecht, J. Global Co-Occurrences of Multi-(Emerging)-Contaminants in the Hotspots of Arsenic Polluted Groundwater: A Pattern of Menace. Curr. Opin. Environ. Sci. Heal. 2023, 34, 100483. [Google Scholar] [CrossRef]
  15. Puri, M.; Gandhi, K.; Kumar, M.S. Emerging Environmental Contaminants: A Global Perspective on Policies and Regulations. J. Environ. Manag. 2023, 332, 117344. [Google Scholar] [CrossRef]
  16. Chopra, L. Photocatalytic Activity of Zinc Oxide for Dye and Drug Degradation: A Review. Mater. Today Proc. 2022, 52, 1653–1656. [Google Scholar] [CrossRef]
  17. Li, L.; Liu, J.; Zeng, J.; Li, J.; Liu, Y.; Sun, X.; Xu, L.; Li, L. Complete Degradation and Detoxification of Ciprofloxacin by a Micro-/Nanostructured Biogenic Mn Oxide Composite from a Highly Active Mn(2+)-Oxidizing Pseudomonas Strain. Nanomaterials 2021, 11, 1660. [Google Scholar] [CrossRef]
  18. Martins, P.; Kappert, S.; Le, H.N.; Sebastian, V.; Kühn, K.; Alves, M.; Pereira, L.; Cuniberti, G.; Melle-Franco, M.; Lanceros-Méndez, S. Enhanced Photocatalytic Activity of Au/TiO2 Nanoparticles against Ciprofloxacin. Catalysts 2020, 10, 234. [Google Scholar] [CrossRef]
  19. Girardi, C.; Greve, J.; Lamshöft, M.; Fetzer, I.; Miltner, A.; Schäffer, A.; Kästner, M. Biodegradation of Ciprofloxacin in Water and Soil and Its Effects on the Microbial Communities. J. Hazard. Mater. 2011, 198, 22–30. [Google Scholar] [CrossRef]
  20. Kumar, A.; Rana, A.; Sharma, G.; Naushad, M.; Dhiman, P.; Kumari, A.; Stadler, F.J. Recent Advances in Nano-Fenton Catalytic Degradation of Emerging Pharmaceutical Contaminants. J. Mol. Liq. 2019, 290, 111177. [Google Scholar] [CrossRef]
  21. Jallouli, N.; Pastrana-Martínez, L.M.; Ribeiro, A.R.; Moreira, N.F.F.; Faria, J.L.; Hentati, O.; Silva, A.M.T.; Ksibi, M. Heterogeneous Photocatalytic Degradation of Ibuprofen in Ultrapure Water, Municipal and Pharmaceutical Industry Wastewaters Using a TiO2/UV-LED System. Chem. Eng. J. 2018, 334, 976–984. [Google Scholar] [CrossRef]
  22. Song, C.; Shang, C.; Li, S.; Wang, W.; Qi, M.; Chen, J.; Liu, H. Efficient Visible-Light-Responsive Ag3PO4/g-C3N4/Hydroxyapatite Photocatalyst (from Oyster Shells) for the Degradation of Methylene Blue: Preparation, Properties and Mechanism. Catalysts 2022, 12, 115. [Google Scholar] [CrossRef]
  23. Pereira Rocha, R.L.; Silva, T.L.; Araujo, F.P.; Vieira, E.G.; Honório, L.M.; Furtini, M.B.; da Fonseca, M.G.; da Silva-Filho, E.C.; Osajima, J.A. Gallium-Containing Hydroxyapatite as a Promising Material for Photocatalytic Performance. Minerals 2021, 11, 1347. [Google Scholar] [CrossRef]
  24. Araujo, F.P.; Honorio, L.M.C.; Lima, I.S.; Trigueiro, P.; Almeida, L.C.; Fechine, P.B.A.; Santos, F.E.P.; Peña-Garcia, R.; Silva-Filho, E.C.; Osajima, J.A. New Composite TiO2/Naturals Gums for High Efficiency in Photodiscoloration Process. Ceram. Int. 2020, 46, 15534–15543. [Google Scholar] [CrossRef]
  25. Waghchaure, R.H.; Adole, V.A.; Jagdale, B.S. Photocatalytic Degradation of Methylene Blue, Rhodamine B, Methyl Orange and Eriochrome Black T Dyes by Modified ZnO Nanocatalysts: A Concise Review. Inorg. Chem. Commun. 2022, 143, 109764. [Google Scholar] [CrossRef]
  26. Freitas, W.A.; Soares, B.E.C.F.; Rodrigues, M.S.; Trigueiro, P.; Honorio, L.M.C.; Peña-Garcia, R.; Alcântara, A.C.S.; Silva-Filho, E.C.; Fonseca, M.G.; Furtini, M.B.; et al. Facile Synthesis of ZnO-Clay Minerals Composites Using an Ultrasonic Approach for Photocatalytic Performance. J. Photochem. Photobiol. A Chem. 2022, 429, 113934. [Google Scholar] [CrossRef]
  27. Machín, A.; Soto-Vázquez, L.; García, D.; Cotto, M.C.; Ortiz, D.; Berríos-Rolón, P.J.; Fontánez, K.; Resto, E.; Morant, C.; Petrescu, F.; et al. Photodegradation of Ciprofloxacin and Levofloxacin by Au@ZnONPs-MoS2-RGO Nanocomposites. Catalysts 2023, 13, 538. [Google Scholar] [CrossRef]
  28. Raja, A.; Rajasekaran, P.; Selvakumar, K.; Arunpandian, M.; Kaviyarasu, K.; Asath Bahadur, S.; Swaminathan, M. Visible Active Reduced Graphene Oxide-BiVO4-ZnO Ternary Photocatalyst for Efficient Removal of Ciprofloxacin. Sep. Purif. Technol. 2020, 233, 115996. [Google Scholar] [CrossRef]
  29. Van Thuan, D.; Nguyen, T.B.H.; Pham, T.H.; Kim, J.; Hien Chu, T.T.; Nguyen, M.V.; Nguyen, K.D.; Al-Onazi, W.A.; Elshikh, M.S. Photodegradation of Ciprofloxacin Antibiotic in Water by Using ZnO-Doped g-C(3)N(4) Photocatalyst. Chemosphere 2022, 308, 136408. [Google Scholar] [CrossRef]
  30. Damacena, D.H.; Macedo, V.H.; Silva, A.S.; Honorio, C.; Silva-Filho, L.M.; Osajima, E.C. Ag@ZnO-Saponite Nanocomposite for Photodegradation of 2 Ciprofloxacin. Chem. Proc 2021, 3, 1–5. [Google Scholar]
  31. Bai, L.; Dong, X.; Wang, F.; Ding, X.; Diao, Z.; Chen, D. A Review on the Removal of Phthalate Acid Esters in Wastewater Treatment Plants: From the Conventional Wastewater Treatment to Combined Processes. Environ. Sci. Pollut. Res. 2022, 29, 51339–51353. [Google Scholar] [CrossRef]
  32. Shewa, W.A.; Dagnew, M. Revisiting Chemically Enhanced Primary Treatment of Wastewater: A Review. Sustainability 2020, 12, 5928. [Google Scholar]
  33. Sylwan, I.; Thorin, E. Removal of Heavy Metals during Primary Treatment of Municipal Wastewater and Possibilities of Enhanced Removal: A Review. Water 2021, 13, 1121. [Google Scholar]
  34. Krzeminski, P.; Concetta, M.; Karaolia, P.; Langenhoff, A.; Almeida, C.M.R.; Felis, E.; Gritten, F.; Rasmus, H.; Fernandes, T.; Manaia, C.M.; et al. Science of the Total Environment Performance of Secondary Wastewater Treatment Methods for the Removal of Contaminants of Emerging Concern Implicated in Crop Uptake and Antibiotic Resistance Spread: A Review. Sci. Total Environ. 2019, 648, 1052–1081. [Google Scholar] [CrossRef] [PubMed]
  35. Angeles, L.F.; Mullen, R.A.; Huang, I.J.; Wilson, C.; Khunjar, W.; Sirotkin, H.I.; McElroy, A.E.; Aga, D.S. Assessing Pharmaceutical Removal and Reduction in Toxicity Provided by Advanced Wastewater Treatment Systems. Environ. Sci. Water Res. Technol. 2020, 6, 62–77. [Google Scholar] [CrossRef]
  36. Parimelazhagan, V.; Natarajan, K.; Shanbhag, S.; Madivada, S.; Kumar, H.S. Effective Adsorptive Removal of Coomassie Violet Dye from Aqueous Solutions Using Green Synthesized Zinc Hydroxide Nanoparticles Prepared from Calotropis Gigantea Leaf Extract. ChemEngineering 2023, 7, 31. [Google Scholar] [CrossRef]
  37. Vairavel, P.; Rampal, N. Continuous Fixed-Bed Column Study for Removal of Congo Red Dye from Aqueous Solutions Using Nelumbo Nucifera Leaf Adsorbent. Int. J. Environ. Anal. Chem. 2021, 1–20. [Google Scholar] [CrossRef]
  38. Parimelazhagan, V.; Yashwath, P.; Arukkani Pushparajan, D.; Carpenter, J. Rapid Removal of Toxic Remazol Brilliant Blue-R Dye from Aqueous Solutions Using Juglans Nigra Shell Biomass Activated Carbon as Potential Adsorbent: Optimization, Isotherm, Kinetic, and Thermodynamic Investigation. Int. J. Mol. Sci. 2022, 23, 12484. [Google Scholar] [CrossRef]
  39. Tomaz, A.T.; Barthus, R.C.; Costa, C.R.; Ribeiro, J. Decontamination of Wastewater Containing Organic Pollutants: A Review. Rev. Virtual Química. 2022, 15, 183–199. [Google Scholar] [CrossRef]
  40. Eniola, J.O.; Kumar, R.; Barakat, M.A.; Rashid, J. A Review on Conventional and Advanced Hybrid Technologies for Pharmaceutical Wastewater Treatment. J. Clean. Prod. 2022, 356, 131826. [Google Scholar] [CrossRef]
  41. Pal, S.; Ahamed, Z.; Pal, P. Removal of Antibiotics and Pharmaceutically Active Compounds from Water Environment: Experiments towards Industrial Scale Up. Sep. Purif. Technol. 2023, 295, 121249. [Google Scholar] [CrossRef]
  42. Soliman, A.I.A.; Abdel-Wahab, A.M.A.; Abdelhamid, H.N. Hierarchical Porous Zeolitic Imidazolate Frameworks (ZIF-8) and ZnO@N-Doped Carbon for Selective Adsorption and Photocatalytic Degradation of Organic Pollutants. RSC Adv. 2022, 12, 7075–7084. [Google Scholar] [CrossRef] [PubMed]
  43. Abdellatif, A.B.A.; El-Bery, H.M.; Abdelhamid, H.N.; El-Gyar, S.A. ZIF-67 and Cobalt-Based@heteroatom-Doped Carbon Nanomaterials for Hydrogen Production and Dyes Removal via Adsorption and Catalytic Degradation. J. Environ. Chem. Eng. 2022, 10, 108848. [Google Scholar] [CrossRef]
  44. Sun, J.; Mu, Q.; Kimura, H.; Murugadoss, V.; He, M.; Du, W.; Hou, C. Oxidative Degradation of Phenols and Substituted Phenols in the Water and Atmosphere: A Review. Adv. Compos. Hybrid Mater. 2022, 5, 627–640. [Google Scholar] [CrossRef]
  45. Zeshan, M.; Bhatti, I.A.; Mohsin, M.; Iqbal, M.; Amjed, N.; Nisar, J.; AlMasoud, N.; Alomar, T.S. Remediation of Pesticides Using TiO2 Based Photocatalytic Strategies: A Review. Chemosphere 2022, 300, 134525. [Google Scholar] [CrossRef]
  46. Sendão, R.M.S.; Esteves da Silva, J.C.G.; Pinto da Silva, L. Photocatalytic Removal of Pharmaceutical Water Pollutants by TiO2—Carbon Dots Nanocomposites: A Review. Chemosphere 2022, 301, 134731. [Google Scholar] [CrossRef]
  47. Nur, A.S.M.; Sultana, M.; Mondal, A.; Islam, S.; Robel, F.N.; Islam, A.; Sumi, M.S.A. A Review on the Development of Elemental and Codoped TiO2 Photocatalysts for Enhanced Dye Degradation under UV–Vis Irradiation. J. Water Process Eng. 2022, 47, 102728. [Google Scholar] [CrossRef]
  48. Verma, V.; Al-Dossari, M.; Singh, J.; Rawat, M.; Kordy, M.G.M.; Shaban, M. A Review on Green Synthesis of TiO2 NPs: Photocatalysis and Antimicrobial Applications. Polymers 2022, 14, 1444. [Google Scholar] [CrossRef]
  49. Manickam, A.; Selvakumaran, D.; Narendran, K.; Abdul Razack, S.; Selvakumar, S.; Krishnamurthy, B. Fabrication of Gum Acacia Protected Zinc Oxide Nanoparticles for UV Assisted Photocatalysis of Methyl Green Textile Dye. Chem. Phys. Lett. 2022, 800, 139662. [Google Scholar] [CrossRef]
  50. Saranya, S.K.S.K.S.; Padil, V.V.T.; Senan, C.; Pilankatta, R.; Saranya, S.K.K.; George, B.; Wacławek, S.; Černík, M. Green Synthesis of High Temperature Stable Anatase Titanium Dioxide Nanoparticles Using Gum Kondagogu: Characterization and Solar Driven Photocatalytic Degradation of Organic Dye. Nanomaterials 2018, 8, 1002. [Google Scholar] [CrossRef]
  51. Alwared, A.I.; Mohammed, N.A.; Al-Musawi, T.J.; Mohammed, A.A. Solar-Induced Photocatalytic Degradation of Reactive Red and Turquoise Dyes Using a Titanium Oxide/Xanthan Gum Composite. Sustainability 2023, 15, 10815. [Google Scholar] [CrossRef]
  52. Inamuddin. Xanthan Gum/Titanium Dioxide Nanocomposite for Photocatalytic Degradation of Methyl Orange Dye. Int. J. Biol. Macromol. 2019, 121, 1046–1053. [Google Scholar] [CrossRef]
  53. Barak, S.; Mudgil, D.; Taneja, S. Exudate Gums: Chemistry, Properties and Food Applications—A Review. J. Sci. Food Agric. 2020, 100, 2828–2835. [Google Scholar] [CrossRef] [PubMed]
  54. Sanchez, C.; Nigen, M.; Mejia Tamayo, V.; Doco, T.; Williams, P.; Amine, C.; Renard, D. Acacia Gum: History of the Future. Food Hydrocoll. 2018, 78, 140–160. [Google Scholar] [CrossRef]
  55. Lopes, A.C.B.; Araujo, F.P.; Morais, A.I.S.; de Lima, I.S.; Honorio, L.M.C.; Almeida, L.C.; Garcia, R.P.; Silva, E.C.; Furtini, M.B.; Osajima, J.A. TiO2/Karaya Composite for Photoinactivation of Bacteria. Materials 2022, 15, 4559. [Google Scholar] [CrossRef]
  56. Parvathiraja, C.; Katheria, S.; Siddiqui, M.R.; Wabaidur, S.M.; Islam, M.A.; Lai, W.C. Activated Carbon-Loaded Titanium Dioxide Nanoparticles and Their Photocatalytic and Antibacterial Investigations. Catalysts 2022, 12, 834. [Google Scholar] [CrossRef]
  57. Miditana, S.R.; Tirukkovalluri, S.R.; Raju, I.M. Synthesis and Antibacterial Activity of Transition Metal (Ni/Mn) Co-Doped TiO2 Nanophotocatalyst on Different Pathogens under Visible Light Irradiation. Nanosyst. Chem. Math. 2022, 13, 104–114. [Google Scholar] [CrossRef]
  58. Ashfaq, A.; Ikram, M.; Haider, A.; Ul-Hamid, A.; Shahzadi, I.; Haider, J. Nitrogen and Carbon Nitride-Doped TiO2 for Multiple Catalysis and Its Antimicrobial Activity. Nanoscale Res. Lett. 2021, 16, 119. [Google Scholar] [CrossRef]
  59. Helmy, E.T.; Abouellef, E.M.; Soliman, U.A.; Pan, J.H. Novel Green Synthesis of S-Doped TiO2 Nanoparticles Using Malva Parviflora Plant Extract and Their Photocatalytic, Antimicrobial and Antioxidant Activities under Sunlight Illumination. Chemosphere 2021, 271, 129524. [Google Scholar] [CrossRef]
  60. Priyadarshini, S.; Mainal, A.; Sonsudin, F.; Yahya, R.; Alyousef, A.A.; Mohammed, A. Biosynthesis of TiO2 Nanoparticles and Their Superior Antibacterial Effect against Human Nosocomial Bacterial Pathogens. Res. Chem. Intermed. 2020, 46, 1077–1089. [Google Scholar] [CrossRef]
  61. Ngoepe, N.M.; Mathipa, M.M.; Hintsho-Mbita, N.C. Biosynthesis of Titanium Dioxide Nanoparticles for the Photodegradation of Dyes and Removal of Bacteria. Optik 2020, 224, 165728. [Google Scholar] [CrossRef]
  62. Sanitnon, P.; Chiarakorn, S.; Chawengkijwanich, C.; Chuangchote, S.; Pongprayoon, T. Synergistic Effects of Zirconium and Silver Co-Dopants in TiO2 Nanoparticles for Photocatalytic Degradation of an Organic Dye and Antibacterial Activity. J. Aust. Ceram. Soc. 2020, 56, 579–590. [Google Scholar] [CrossRef]
  63. Desai, K.R.; Alone, S.T.; Wadgane, S.R.; Shirsath, S.E.; Batoo, K.M.; Imran, A.; Raslan, E.H.; Hadi, M.; Ijaz, M.F.; Kadam, R.H. X-Ray Diffraction Based Williamson–Hall Analysis and Rietveld Refinement for Strain Mechanism in Mg–Mn Co-Substituted CdFe2O4 Nanoparticles. Phys. B Condens. Matter 2021, 614, 413054. [Google Scholar] [CrossRef]
  64. Ajoyan, Z.; Copeman, C.; Bicalho, H.A.; Do, J.L.; Te, T.; Romero, J.; Howarth, A.J. A Simple Method for Teaching Bragg’s Law in an Undergraduate Teaching Laboratory with the Use of Metal-Organic Frameworks. J. Chem. Educ. 2023, 100, 1990–1996. [Google Scholar] [CrossRef]
  65. Ahmad, I.; Zou, Y.; Yan, J.; Liu, Y.; Shukrullah, S.; Naz, M.Y.; Hussain, H.; Khan, W.Q.; Khalid, N.R. Semiconductor Photocatalysts: A Critical Review Highlighting the Various Strategies to Boost the Photocatalytic Performances for Diverse Applications. Adv. Colloid Interface Sci. 2023, 311, 102830. [Google Scholar] [CrossRef]
  66. Yang, M.; Ma, G.; Yang, H.; Xiaoqiang, Z.; Yang, W.; Hou, H. Advanced Strategies for Promoting the Photocatalytic Performance of FeVO4 Based Photocatalysts: A Review of Recent Progress. J. Alloys Compd. 2023, 941. [Google Scholar] [CrossRef]
  67. Osajima, J.A.; Sá, A.S.; Feitosa, R.P.; Furtini, M.B.; Honorio, L.M.C.; Fonseca, M.G.; Trigueiro, P.; Caregnato, P.; Triboni, E.R.; Silva-Filho, E.C. Improved Remediation of Contaminated Water Using ZnO Systems via Chemical Treatment: Applications, Implications and Toxicological Mitigation. Sustain. Water Resour. Manag. 2023, 9, 42. [Google Scholar] [CrossRef]
  68. Sá, A.S.; Feitosa, R.P.; Honório, L.; Peña-Garcia, R.; Almeida, L.C.; Dias, J.S.; Brazuna, L.P.; Tabuti, T.G.; Triboni, E.R.; Osajima, J.A.; et al. A Brief Photocatalytic Study of Zno Containing Cerium towards Ibuprofen Degradation. Materials 2021, 14, 5891. [Google Scholar] [CrossRef]
  69. Lafjah, M.; Mayoufi, A.; Schaal, E.; Djafri, F.; Bengueddach, A.; Keller, N.; Keller, V. TiO2 Nanorods for Gas Phase Photocatalytic Applications. Catal. Today 2014, 235, 193–200. [Google Scholar] [CrossRef]
  70. Ates, A. Activity and Stability of TiO2 Samples with Different Phase Compositions in the Decomposition of Formaldehyde in SCW. Int. J. Hydrogen Energy 2021, 46, 1842–1856. [Google Scholar] [CrossRef]
  71. Shi, J.W.; Zheng, J.T.; Wu, P. Preparation, Characterization and Photocatalytic Activities of Holmium-Doped Titanium Dioxide Nanoparticles. J. Hazard. Mater. 2009, 161, 416–422. [Google Scholar] [CrossRef] [PubMed]
  72. Kim, M.G.; Kang, J.M.; Lee, J.E.; Kim, K.S.; Kim, K.H.; Cho, M.; Lee, S.G. Effects of Calcination Temperature on the Phase Composition, Photocatalytic Degradation, and Virucidal Activities of TiO2Nanoparticles. ACS Omega 2021, 6, 10668–10678. [Google Scholar] [CrossRef] [PubMed]
  73. Dao, T.B.T.; Ha, T.T.L.; Do Nguyen, T.; Le, H.N.; Ha-Thuc, C.N.; Nguyen, T.M.L.; Perre, P.; Nguyen, D.M. Effectiveness of Photocatalysis of MMT-Supported TiO2 and TiO2 Nanotubes for Rhodamine B Degradation. Chemosphere 2021, 280, 130802. [Google Scholar] [CrossRef] [PubMed]
  74. Vakhrushev, A.Y.; Boitsova, T.B. TiO2 and TiO2/Ag Nanofibers: Template Synthesis, Structure, and Photocatalytic Properties. J. Porous Mater. 2021, 28, 1023–1030. [Google Scholar] [CrossRef]
  75. Abdelnasser, S.; Al Sakkaf, R.; Palmisano, G. Environmental and Energy Applications of TiO2 photoanodes Modified with Alkali Metals and Polymers. J. Environ. Chem. Eng. 2021, 9, 104873. [Google Scholar] [CrossRef]
  76. Marinho, J.Z.; Nascimento, L.L.; Santos, A.L.R.; Faria, A.M.; Machado, A.E.H.; Patrocinio, A.O.T. On the Influence of Hydrothermal Treatment PH on the Performance of Bi2WO6 as Photocatalyst in the Glycerol Photoreforming. Photochem. Photobiol. Sci. 2022, 21, 1659–1675. [Google Scholar] [CrossRef]
  77. Chen, D.; Cheng, Y.; Zhou, N.; Chen, P.; Wang, Y.; Li, K.; Huo, S.; Cheng, P.; Peng, P.; Zhang, R.; et al. Photocatalytic Degradation of Organic Pollutants Using TiO2-Based Photocatalysts: A Review. J. Clean. Prod. 2020, 268, 121725. [Google Scholar] [CrossRef]
  78. Rauf, M.A.; Meetani, M.A.; Hisaindee, S. An Overview on the Photocatalytic Degradation of Azo Dyes in the Presence of TiO2 Doped with Selective Transition Metals. Desalination 2011, 276, 13–27. [Google Scholar] [CrossRef]
  79. Honorio, L.M.C.; Trigueiro, P.A.; Viana, B.C.; Ribeiro, A.B.; Osajima, J.A. Nanostructured Materials for the Photocatalytic Degradation of Organic Pollutants in Water BT. In Nanostructured Materials for Treating Aquatic Pollution; Gonçalves, G.A.B., Marques, P., Eds.; Springer International Publishing: Cham, Switzerland, 2019; pp. 65–90. ISBN 978-3-030-33745-2. [Google Scholar]
  80. Yang, Z.; Yan, J.; Jiabiao, L.; Hui, X.; She, X.; Li, H. G-C3N4/TiO2 Nanocomposites for Degradation of Ciprofloxacin under Visible Light Irradiation. ChemistrySelect 2016, 1, 5679–5685. [Google Scholar] [CrossRef]
  81. Parmar, N.; Srivastava, J.K. Degradation of Pharmaceutical Antibiotic (Ciprofloxacin) by Photocatalysis Process Using Sol-Gel Based Titanium Dioxide Nanoparticles. Int. J. Chem. React. Eng. 2021, 19, 929–938. [Google Scholar] [CrossRef]
  82. Park, Y.; Kim, S.; Kim, J.; Khan, S.; Han, C. UV/TiO2 Photocatalysis as an Efficient Livestock Wastewater Quaternary Treatment for Antibiotics Removal. Water 2022, 14, 958. [Google Scholar] [CrossRef]
  83. Bennemla, M.; Bouafia-Chergui, S.; Amrane, A.; Chabani, M. The Photocatalytic Degradation Kinetics of the Anti-Inflammatory Drug Ibuprofen in Aqueous Solution under UV/TiO2 System and Neural Networks Modeling. Int. J. Chem. React. Eng. 2022, 20, 1149–1161. [Google Scholar] [CrossRef]
  84. Guo, Q.; Zhou, C.; Ma, Z.; Yang, X. Fundamentals of TiO2 Photocatalysis: Concepts, Mechanisms, and Challenges. Adv. Mater. 2019, 31, 1901997. [Google Scholar] [CrossRef]
  85. Al-Mamun, M.R.; Kader, S.; Islam, M.S.; Khan, M.Z.H. Photocatalytic Activity Improvement and Application of UV-TiO2 Photocatalysis in Textile Wastewater Treatment: A Review. J. Environ. Chem. Eng. 2019, 7, 103248. [Google Scholar] [CrossRef]
  86. Peiris, S.; de Silva, H.B.; Ranasinghe, K.N.; Bandara, S.V.; Perera, I.R. Recent Development and Future Prospects of TiO2 Photocatalysis. J. Chinese Chem. Soc. 2021, 68, 738–769. [Google Scholar] [CrossRef]
  87. Liu, Y.; Li, Z.; Green, M.; Just, M.; Li, Y.Y.; Chen, X. Titanium Dioxide Nanomaterials for Photocatalysis. J. Phys. D Appl. Phys. 2017, 50, 193003. [Google Scholar] [CrossRef]
  88. Kutuzova, A.; Dontsova, T.; Kwapinski, W. Application of TiO2-based Photocatalysts to Antibiotics Degradation: Cases of Sulfamethoxazole, Trimethoprim and Ciprofloxacin. Catalysts 2021, 11, 728. [Google Scholar] [CrossRef]
  89. Magaña-López, R.; Zaragoza-Sánchez, P.I.; Jiménez-Cisneros, B.E.; Chávez-Mejía, A.C. The Use of TiO2 as a Disinfectant in Water Sanitation Applications. Water 2021, 13, 1641. [Google Scholar] [CrossRef]
  90. Denisov, N.; Yoo, J.E.; Schmuki, P. Effect of Different Hole Scavengers on the Photoelectrochemical Properties and Photocatalytic Hydrogen Evolution Performance of Pristine and Pt-Decorated TiO2 Nanotubes. Electrochim. Acta 2019, 319, 61–71. [Google Scholar] [CrossRef]
  91. Tumbelaka, R.M.; Istiqomah, N.I.; Kato, T.; Oshima, D.; Suharyadi, E. High Reusability of Green-Synthesized Fe3O4/TiO2 Photocatalyst Nanoparticles for Efficient Degradation of Methylene Blue Dye. Mater. Today Commun. 2022, 33, 104450. [Google Scholar] [CrossRef]
  92. Nguyen, C.H.; Van Tran, T.T.; Tran, M.L.; Juang, R.S. Facile Synthesis of Reusable Ag/TiO2 Composites for Efficient Removal of Antibiotic Oxytetracycline under UV and Solar Light Irradiation. J. Taiwan Inst. Chem. Eng. 2023, 145, 104825. [Google Scholar] [CrossRef]
  93. Nguyen, C.H.; Fu, C.C.; Juang, R.S. Degradation of Methylene Blue and Methyl Orange by Palladium-Doped TiO2 Photocatalysis for Water Reuse: Efficiency and Degradation Pathways. J. Clean. Prod. 2018, 202, 413–427. [Google Scholar] [CrossRef]
Figure 1. Synthesis of TiO2/Arabic gum.
Figure 1. Synthesis of TiO2/Arabic gum.
Sustainability 15 15768 g001
Figure 2. XRD pattern of TiO2/Arabic gum calcinated at 400 °C.
Figure 2. XRD pattern of TiO2/Arabic gum calcinated at 400 °C.
Sustainability 15 15768 g002
Figure 3. (a) FTIR and (b) energy of band gap value of TiO2/Arabic gum.
Figure 3. (a) FTIR and (b) energy of band gap value of TiO2/Arabic gum.
Sustainability 15 15768 g003
Figure 4. Textural properties of TiO2/Arabic gum (a) N2 adsorption–desorption, with adsorption represented in the black line and desorption in red; (b) pore size distribution.
Figure 4. Textural properties of TiO2/Arabic gum (a) N2 adsorption–desorption, with adsorption represented in the black line and desorption in red; (b) pore size distribution.
Sustainability 15 15768 g004
Figure 5. TiO2/Arabic gum (a) scanning electron microscopy and (b) energy dispersive spectroscopy mapping.
Figure 5. TiO2/Arabic gum (a) scanning electron microscopy and (b) energy dispersive spectroscopy mapping.
Sustainability 15 15768 g005
Figure 6. A/A0 (a) methylene blue and (b) ciprofloxacin in function of irradiation time; (c) percent degradation of methylene blue and (d) ciprofloxacin using different photocatalyst concentrations.
Figure 6. A/A0 (a) methylene blue and (b) ciprofloxacin in function of irradiation time; (c) percent degradation of methylene blue and (d) ciprofloxacin using different photocatalyst concentrations.
Sustainability 15 15768 g006
Figure 7. Photodegradation percent by TiO2/Arabic gum using scavenger: (a) methylene blue and (b) ciprofloxacin.
Figure 7. Photodegradation percent by TiO2/Arabic gum using scavenger: (a) methylene blue and (b) ciprofloxacin.
Sustainability 15 15768 g007
Figure 8. Reuse test for MB and CIP degradation for three cycles using TiO2/Arabic gum.
Figure 8. Reuse test for MB and CIP degradation for three cycles using TiO2/Arabic gum.
Sustainability 15 15768 g008
Figure 9. Photostability of TiO2/Arabic gum after the reuse test using different pollutants.
Figure 9. Photostability of TiO2/Arabic gum after the reuse test using different pollutants.
Sustainability 15 15768 g009
Table 1. Photocatalytic antibiotic removal performance.
Table 1. Photocatalytic antibiotic removal performance.
Photocatalyst% Degradation of CiprofloxacinRef.
ZnO-clay mineralsZnO-Hal = 83% ZnO-Pal = 85%
ZnO-Pal/Hal = 91%
[26]
Au@ZnONPs-MoS2-rGO1%Au@ZnONPs-3%MoS 2-1%rGO = 96%
5%Au@ZnONPs-3%MoS 2-1%rGO = 99.8%.
[27]
rGO-BiVO4-ZnO98.4%[28]
ZnO-doped g-C3N493.8% under pH 8.0[29]
Ag@ZnO-saponite90%[30]
Table 2. JCPDS and CIF forms selected for refinement.
Table 2. JCPDS and CIF forms selected for refinement.
Sample PhasesN° JCPDSN° CIF
TiO2–anatase00-021-12725000223
TiO2–rutile00-021-12768104269
TiO2–brookite00-016-06179015662
Ti–titanium00-044-12949012924
Table 3. Percentage of phase present in the TiO2/Arabic gum.
Table 3. Percentage of phase present in the TiO2/Arabic gum.
PhasePhase Percentage (%wt)
TiO2–anatase89.6
TiO2–rutile0
TiO2–brookite10.4
Ti–titanium0
Table 4. Lattice parameters a, c, and volume (v) determined experimentally compared to their respective theoretical values.
Table 4. Lattice parameters a, c, and volume (v) determined experimentally compared to their respective theoretical values.
ParameterExperimentalJCPDSCIF
a3.7679 Å3.7852 Å3.7892 Å
c9.0537 Å9.5139 Å9.5370 Å
Table 5. Photocatalytic performance using TiO2 in serval studies.
Table 5. Photocatalytic performance using TiO2 in serval studies.
PhotocatalystPollutant%PhotodegradationRef.
AGTiMethylene blue95.00[24]
KGTiMethylene blue90.00[24]
TiO2Methylene blue95.00[55]
P25Ciprofloxacin54.40[80]
TiO2Ciprofloxacin68.10[80]
TiO2 NanoparticlesCiprofloxacin87.95[81]
Disclaimer/Publisher’s Note: The statements, opinions and data contained in all publications are solely those of the individual author(s) and contributor(s) and not of MDPI and/or the editor(s). MDPI and/or the editor(s) disclaim responsibility for any injury to people or property resulting from any ideas, methods, instructions or products referred to in the content.

Share and Cite

MDPI and ACS Style

Lopes, A.; Araújo, F.P.; Damasceno, D.; Honório, L.M.C.; Morais, A.I.S.; Almeida, L.C.; Garcia, R.P.; Silva-Filho, E.C.; Furtini, M.B.; Osajima, J.A. TiO2/Arabic Gum for Degradation of Pollutants in Water. Sustainability 2023, 15, 15768. https://doi.org/10.3390/su152215768

AMA Style

Lopes A, Araújo FP, Damasceno D, Honório LMC, Morais AIS, Almeida LC, Garcia RP, Silva-Filho EC, Furtini MB, Osajima JA. TiO2/Arabic Gum for Degradation of Pollutants in Water. Sustainability. 2023; 15(22):15768. https://doi.org/10.3390/su152215768

Chicago/Turabian Style

Lopes, Anderson, Francisca P. Araújo, Dihego Damasceno, Luzia M. C. Honório, Alan I. S. Morais, Luciano C. Almeida, Ramón Peña Garcia, Edson C. Silva-Filho, Marcelo B. Furtini, and Josy A. Osajima. 2023. "TiO2/Arabic Gum for Degradation of Pollutants in Water" Sustainability 15, no. 22: 15768. https://doi.org/10.3390/su152215768

APA Style

Lopes, A., Araújo, F. P., Damasceno, D., Honório, L. M. C., Morais, A. I. S., Almeida, L. C., Garcia, R. P., Silva-Filho, E. C., Furtini, M. B., & Osajima, J. A. (2023). TiO2/Arabic Gum for Degradation of Pollutants in Water. Sustainability, 15(22), 15768. https://doi.org/10.3390/su152215768

Note that from the first issue of 2016, this journal uses article numbers instead of page numbers. See further details here.

Article Metrics

Back to TopTop