Drinking Water Resources Suitability Assessment Based on Pollution Index of Groundwater Using Improved Explainable Artificial Intelligence
Abstract
:1. Introduction
2. Study Area, Climate, and Measurement
3. Methods
3.1. Random Forest (RF)
3.2. Decision Trees (DT)
3.3. XGBoost (Extreme Gradient Boosting)
3.4. CatBoost Algorithm
3.5. Linear Regression Model
3.6. Support Vector Machines (SVMs)
3.7. Performance Validation and Data Processing
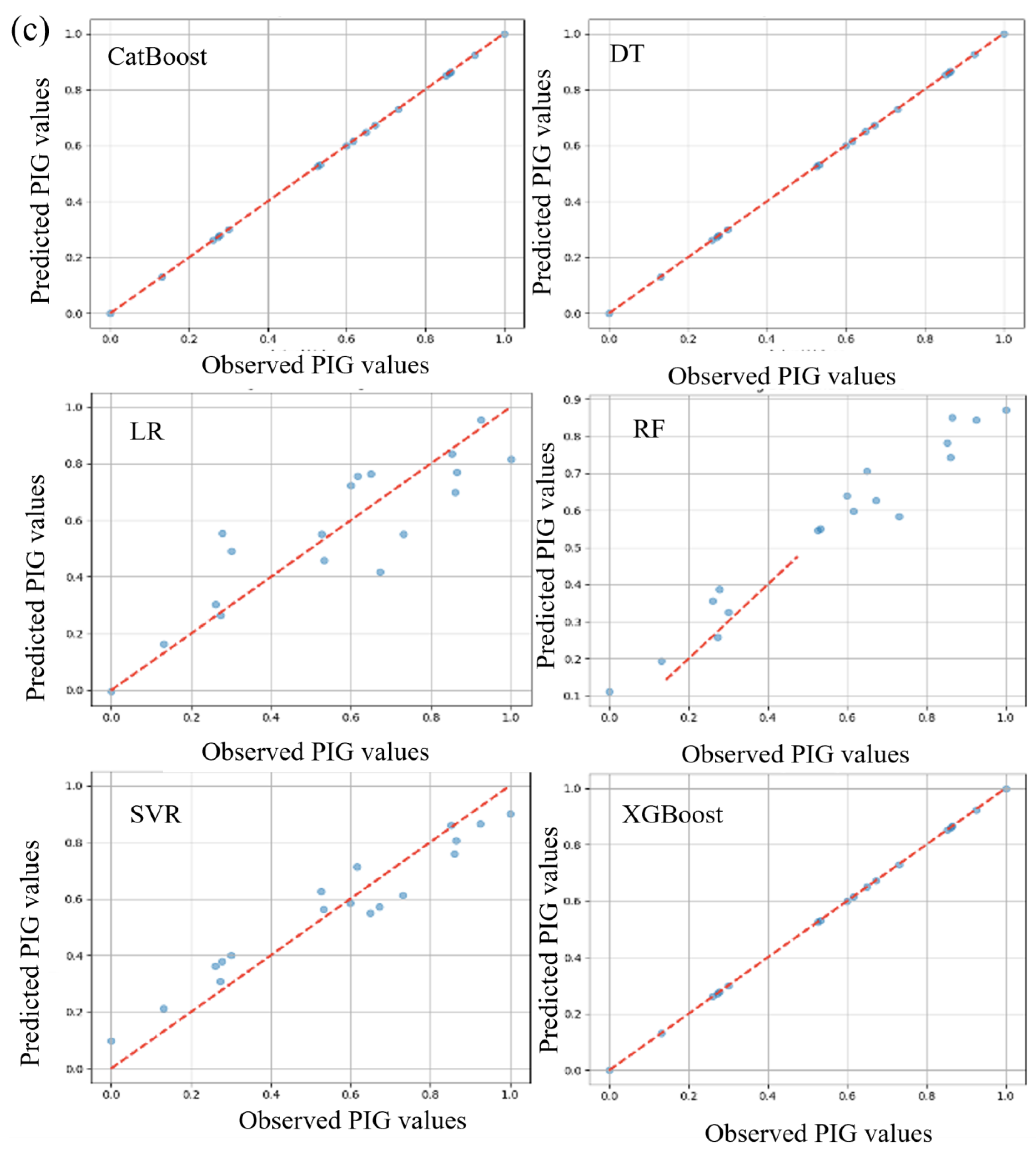
4. Application of Results
5. Conclusions
6. Recommendations
- Wider deployment of the employed ML models and SHAP should be explored in different geographical locales and various types of water bodies to validate their efficacy and adaptability.
- Formulation and enforcement of stringent water quality regulations should be advanced to mitigate the contamination at source points.
- Policymakers and planners should leverage the insights provided by the model to formulate, implement, and monitor strategic interventions aimed at safeguarding water quality.
- Programs should be initiated to raise awareness among local communities regarding water conservation and the impact of contamination on health and the environment.
- Communities should be engaged in water monitoring programs, ensuring a decentralized and participative approach to water management.
- Investments should be made in the development and upgrading of water treatment facilities to ensure the accessibility of safe drinking water for the population, even when natural resources are compromised.
- Further research should delve into devising feasible, eco-friendly, and economically viable solutions to manage and reverse groundwater contamination.
- Other predictive models and methodologies that can be amalgamated with the existing system to enhance prediction accuracy and applicability should be explored.
7. Limitations
- While the models demonstrated high predictive accuracy, their performance is intrinsically tied to the quality and quantity of the data upon which they are trained and validated. Therefore, potential inconsistencies or gaps in data could affect predictions.
- The models were specifically tailored and validated for the Al-Hassa region, and their direct applicability to other regions, with different hydro-geological and contamination contexts, may be limited without further adaptations and validations.
- While the study achieved an accuracy of over 90%, it is paramount to acknowledge that ML models might sometimes overly adapt to the training data (overfitting), potentially limiting their generalization to new, unseen data.
- The study largely focuses on the technical and scientific aspects of water contamination and does not delve deeply into the socio-economic implications or mitigation strategies, which are crucial for holistic water resource management.
- The study does not directly address the long-term impacts of contamination on environmental and public health, which would be pivotal in understanding the broader implications and in strategizing remediation efforts.
Author Contributions
Funding
Institutional Review Board Statement
Informed Consent Statement
Data Availability Statement
Acknowledgments
Conflicts of Interest
References
- United Nations. The Human Right to Water and Sanitation Media Brief. UN-Water Decade Programme on Advocacy and Communication and Water Supply and Sanitation Collaborative Council; United Nations: New York, NY, USA, 2011. [Google Scholar]
- Tiyasha, T.; Tung, T.M.; Yaseen, Z.M. Deep Learning for Prediction of Water Quality Index Classification: Tropical Catchment Environmental Assessment. Nat. Resour. Res. 2021, 30, 4235–4254. [Google Scholar] [CrossRef]
- Yaseen, Z.M. The next generation of soil and water bodies heavy metals prediction and detection: New expert system based Edge Cloud Server and Federated Learning technology. Environ. Pollut. 2022, 313, 120081. [Google Scholar] [CrossRef] [PubMed]
- Yaseen, Z.M.; Ghareb, M.I.; Bonakdari, H.; Ebtehaj, I. Rainfall Pattern Forecasting Using Novel Hybrid Intelligent Model Based ANFIS-FFA. Water Resour. Manag. 2017, 32, 105–122. [Google Scholar] [CrossRef]
- Bhagat, S.K.; Tiyasha, T.; Kumar, A.; Malik, T.; Jawad, A.H.; Khedher, K.M.; Deo, R.C.; Yaseen, Z.M. Integrative artificial intelligence models for Australian coastal sediment lead prediction: An investigation of in-situ measurements and meteorological parameters effects. J. Environ. Manag. 2022, 309, 114711. [Google Scholar] [CrossRef] [PubMed]
- Abba, S.I.; Egbueri, J.C.; Benaafi, M.; Usman, J.; Usman, A.G.; Aljundi, I.H. Chemosphere Fluoride and nitrate enrichment in coastal aquifers of the Eastern Province, Saudi Arabia: The influencing factors, toxicity, and human health risks. Chemosphere 2023, 336, 139083. [Google Scholar] [CrossRef] [PubMed]
- JJannat, N.; Khan, M.S.I.; Islam, H.M.T.; Islam, M.S.; Khan, R.; Siddique, M.A.B.; Varol, M.; Tokatli, C.; Pal, S.C.; Islam, A.; et al. Hydro-chemical assessment of fluoride and nitrate in groundwater from east and west coasts of Bangladesh and India. J. Clean. Prod. 2022, 372, 133675. [Google Scholar] [CrossRef]
- Jamei, M.; Karbasi, M.; Malik, A.; Abualigah, L.; Islam, A.R.M.T.; Yaseen, Z.M. Computational assessment of groundwater salinity distribution within coastal multi-aquifers of Bangladesh. Sci. Rep. 2022, 12, 11165. [Google Scholar] [CrossRef]
- Deepika, B.V.; Ramakrishnaiah, C.R.; Naganna, S.R. Spatial variability of ground water quality: A case study of Udupi district, Karnataka State, India. J. Earth Syst. Sci. 2020, 129, 221. [Google Scholar] [CrossRef]
- Gleeson, T.; Befus, K.M.; Jasechko, S.; Luijendijk, E.; Cardenas, M.B. The global volume and distribution of modern groundwater. Nat. Geosci. 2016, 9, 161–164. [Google Scholar] [CrossRef]
- Al-Omran, A.M.; Aly, A.A.; Al-Wabel, M.I.; Sallam, A.S.; Al-Shayaa, M.S. Hydrochemical characterization of groundwater under agricultural land in arid environment: A case study of Al-Kharj, Saudi Arabia. Arab. J. Geosci. 2016, 9, 68. [Google Scholar] [CrossRef]
- Marghade, D.; Malpe, D.B.; Rao, N.S.; Sunitha, B. Geochemical assessment of fluoride enriched groundwater and health implications from a part of Yavtmal District, India. Hum. Ecol. Risk Assess. Int. J. 2020, 26, 673–694. [Google Scholar] [CrossRef]
- Egbueri, J.C. Groundwater quality assessment using pollution index of groundwater (PIG), ecological risk index (ERI) and hierarchical cluster analysis (HCA): A case study. Groundw. Sustain. Dev. 2020, 10, 100292. [Google Scholar] [CrossRef]
- Egbueri, J.C.; Ameh, P.D.; Enyigwe, M.T.; Unigwe, C.O. Entropy-Based Analysis of the Impact of Environmentally Sensitive Elements on Groundwater Quality of the Ameka Region of Southeast Nigeria: Medical Geology Implications. Anal. Lett. 2020, 54, 1193–1223. [Google Scholar] [CrossRef]
- Adimalla, N.; Qian, H.; Nandan, M.J. Groundwater chemistry integrating the pollution index of groundwater and evaluation of potential human health risk: A case study from hard rock terrain of south India. Ecotoxicol. Environ. Saf. 2020, 206, 111217. [Google Scholar] [CrossRef] [PubMed]
- Shukla, S.; Saxena, A. Appraisal of Groundwater Quality with Human Health Risk Assessment in Parts of Indo-Gangetic Alluvial Plain, North India. Arch. Environ. Contam. Toxicol. 2021, 80, 55–73. [Google Scholar] [CrossRef]
- Nath, A.V.; Selvam, S.; Reghunath, R.; Jesuraja, K. Groundwater quality assessment based on groundwater pollution index using Geographic Information System at Thettiyar watershed, Thiruvananthapuram district, Kerala, India. Arab. J. Geosci. 2021, 14, 557. [Google Scholar] [CrossRef]
- Adimalla, N. Application of the Entropy Weighted Water Quality Index (EWQI) and the Pollution Index of Groundwater (PIG) to Assess Groundwater Quality for Drinking Purposes: A Case Study in a Rural Area of Telangana State, India. Arch. Environ. Contam. Toxicol. 2021, 80, 31–40. [Google Scholar] [CrossRef] [PubMed]
- Zhao, X.; Wang, D.; Xu, H.; Ding, Z.; Shi, Y.; Lu, Z.; Cheng, Z. Groundwater pollution risk assessment based on groundwater vulnerability and pollution load on an isolated island. Chemosphere 2022, 289, 133134. [Google Scholar] [CrossRef]
- Tahmasebi, P.; Kamrava, S.; Bai, T.; Sahimi, M. Machine learning in geo-and environmental sciences: From small to large scale. Adv. Water Resour. 2020, 142, 103619. [Google Scholar] [CrossRef]
- Wang, H.; Fu, T.; Du, Y.; Gao, W.; Huang, K.; Liu, Z.; Zitnik, M. Scientific discovery in the age of artificial intelligence. Nature 2023, 620, 47–60. [Google Scholar] [CrossRef]
- Sun, A.Y.; Scanlon, B.R. How can Big Data and machine learning benefit environment and water management: A survey of methods, applications, and future directions. Environ. Res. Lett. 2019, 14, 073001. [Google Scholar] [CrossRef]
- Derdour, A.; Abdo, H.G.; Almohamad, H.; Alodah, A.; Al Dughairi, A.A.; Ghoneim, S.S.M.; Ali, E. Prediction of Groundwater Quality Index Using Classification Techniques in Arid Environments. Sustainability 2023, 15, 9687. [Google Scholar] [CrossRef]
- Kulisz, M.; Kujawska, J.; Przysucha, B.; Cel, W. Forecasting water quality index in groundwater using artificial neural network. Energies 2021, 14, 5875. [Google Scholar] [CrossRef]
- Saha, S.; Gayen, A.; Mukherjee, K.; Proughasemi, H.R.; Santosh, M. Spatial Prediction of Groundwater Potentiality Mapping Using Machine Learning Algorithms. Res. Sq. 2021, 610, 127977. [Google Scholar]
- Kumari, S.; Kumar, D.; Kumar, M.; Pande, C.B. Modeling of standardized groundwater index of Bihar using machine learning techniques. Phys. Chem. Earth 2023, 130, 103395. [Google Scholar] [CrossRef]
- Mohammed, M.A.A.; Khleel, N.A.A.; Szabó, N.P.; Szűcs, P. Modeling of groundwater quality index by using artificial intelligence algorithms in northern Khartoum State, Sudan. Model. Earth Syst. Environ. 2023, 9, 2501–2516. [Google Scholar] [CrossRef]
- Al-Adhaileh, M.H.; Aldhyani, T.H.H.; Alsaade, F.W.; Al-Yaari, M.; Albaggar, A.K.A. Groundwater Quality: The Application of Artificial Intelligence. J. Environ. Public Health 2022, 2022, 8425798. [Google Scholar] [CrossRef]
- Javidan, R.; Javidan, N. A novel artificial intelligence-based approach for mapping groundwater nitrate pollution in the Andimeshk-Dezful plain, Iran. Geocarto Int. 2022, 37, 10434–10458. [Google Scholar] [CrossRef]
- Taşan, S. Estimation of groundwater quality using an integration of water quality index, artificial intelligence methods and GIS: Case study, Central Mediterranean Region of Turkey. Appl. Water Sci. 2023, 13, 15. [Google Scholar] [CrossRef]
- El-mahmoudi, A.S.; Hussein, A.A.; Hofouf, A. Hydrochemical Studies of Groundwater at Al Hassa Oasis, Eastern Region, Saudi Arabia. Adsorption 2017, 6, 20–32. [Google Scholar]
- Al Tokhais, A.S.; Rausch, R. The Hydrogeology of Al Hassa Springs. In Proceedings of the 3rd International Conference on Water Resources and Arid Environments & 1st Arab Water Forum, Riyadh, Saudi Arabia, 16–19 November 2008. [Google Scholar]
- Al-Omran, A.M.; Mousa, M.A.; AlHarbi, M.M.; Nadeem, M.E.A. Hydrogeochemical characterization and groundwater quality assessment in Al-Hasa, Saudi Arabia. Arab. J. Geosci. 2018, 11, 4. [Google Scholar] [CrossRef]
- Pavlov, Y.L. Random Forests; De Gruyter: Boston, MA, USA, 2019; pp. 1–122. [Google Scholar]
- Al-Khafaji, Z.; Heddam, S.; Kim, S.; Denouwe, D.D. State-of-Art: Artificial Intelligence Models Era in Modeling Beam Shear Strength. Knowl. Based Eng. Sci. 2022, 3, 1–63. [Google Scholar]
- Mienye, I.D.; Sun, Y.; Wang, Z. Prediction performance of improved decision tree-based algorithms: A review. Procedia Manuf. 2019, 35, 698–703. [Google Scholar] [CrossRef]
- Basilio, S.A.; Goliatt, L. Gradient Boosting Hybridized with Exponential Natural Evolution Strategies for Estimating the Strength of Geopolymer Self-Compacting Concrete. Knowl. Based Eng. Sci 2022, 3, 1–16. [Google Scholar] [CrossRef]
- Szczepanek, R. Daily Streamflow Forecasting in Mountainous Catchment Using XGBoost, LightGBM and CatBoost. Hydrology 2022, 9, 226. [Google Scholar] [CrossRef]
- Hancock, J.T.; Khoshgoftaar, T.M. CatBoost for big data: An interdisciplinary review. J. Big Data 2020, 7, 94. [Google Scholar] [CrossRef]
- Baig, N.; Abba, S.I.; Usman, J.; Benaafi, M.; Aljundi, I.H. Ensemble hybrid machine learning to simulate dye / divalent salt fractionation using a loose nano filtration membrane. Environ. Sci. Adv. 2023, 2, 1446–1459. [Google Scholar] [CrossRef]
- Baig, N.; Usman, J.; Abba, S.I.; Benaafi, M.; Aljundi, I.H. Fractionation of dyes/salts using loose nanofiltration membranes: Insight from machine learning prediction. J. Clean. Prod. 2023, 418, 138193. [Google Scholar] [CrossRef]
- Núñez, J.; Cortés, C.B.; Yáñez, M.A. Explainable Artificial Intelligence in Hydrology: Interpreting Black-Box Snowmelt-Driven Streamflow Predictions in an Arid Andean Basin of North-Central Chile. Water 2023, 15, 3369. [Google Scholar] [CrossRef]
- Iban, M.C. An explainable model for the mass appraisal of residences: The application of tree-based Machine Learning algorithms and interpretation of value determinants. Habitat Int. 2022, 128, 102660. [Google Scholar] [CrossRef]









| Equation | Ranges |
|---|---|
| R2 | (∞ < R2 ≤ 1) |
| (0 < MSE < ∞) | |
| (0 < MAE < ∞) |
| Applied Models | MAE | MSE | R2 |
|---|---|---|---|
| RF-C1 | 0.0331 | 0.0016 | 0.9804 |
| DT-C1 | 0 | 0 | 1 |
| XGBoost-C1 | 0.0006 | 0 | 1 |
| CatBoost-C1 | 0.0021 | 0 | 0.9999 |
| SVR-C1 | 0.0732 | 0.0075 | 0.9084 |
| LR-C1 | 0.0624 | 0.0054 | 0.9339 |
| RF-C2 | 0.0417 | 0.0023 | 0.9713 |
| DT-C2 | 0.0783 | 0.0093 | 0.886 |
| XGBoost-C2 | 0.0006 | 0 | 1 |
| CatBoost-C2 | 0.0008 | 0 | 1 |
| SVR-C2 | 0.0812 | 0.0077 | 0.9051 |
| LR-C2 | 0.0794 | 0.0088 | 0.8914 |
| RF-C3 | 0.0651 | 0.0061 | 0.9257 |
| DT-C3 | 0 | 0 | 1 |
| XGBoost-C3 | 0.0004 | 0 | 1 |
| CatBoost-C3 | 0.0008 | 0 | 1 |
| SVR-C3 | 0.0781 | 0.0072 | 0.9116 |
| LR-C3 | 0.1082 | 0.0187 | 0.771 |
| Applied Models | MAE | MSE | R2 |
|---|---|---|---|
| RF-C1 | 0.0521 | 0.0029 | 0.9754 |
| DT-C1 | 0.0962 | 0.0153 | 0.995 |
| XGBoost-C1 | 0.0906 | 0.0126 | 0.995 |
| CatBoost-C1 | 0.0362 | 0.0027 | 0.9949 |
| SVR-C1 | 0.0699 | 0.0051 | 0.9034 |
| LR-C1 | 0.0482 | 0.0034 | 0.9289 |
| RF-C2 | 0.0949 | 0.0109 | 0.9673 |
| DT-C2 | 0.0781 | 0.0137 | 0.882 |
| XGBoost-C2 | 0.1046 | 0.0151 | 0.996 |
| CatBoost-C2 | 0.1179 | 0.0207 | 0.996 |
| SVR-C2 | 0.1063 | 0.0123 | 0.9011 |
| LR-C2 | 0.0988 | 0.01 | 0.8874 |
| RF-C3 | 0.1252 | 0.0239 | 0.9227 |
| DT-C3 | 0.1047 | 0.0148 | 0.997 |
| XGBoost-C3 | 0.0997 | 0.0155 | 0.997 |
| CatBoost-C3 | 0.1179 | 0.0207 | 0.997 |
| SVR-C3 | 0.1341 | 0.0232 | 0.9086 |
| LR-C3 | 0.1067 | 0.0279 | 0.768 |
Disclaimer/Publisher’s Note: The statements, opinions and data contained in all publications are solely those of the individual author(s) and contributor(s) and not of MDPI and/or the editor(s). MDPI and/or the editor(s) disclaim responsibility for any injury to people or property resulting from any ideas, methods, instructions or products referred to in the content. |
© 2023 by the authors. Licensee MDPI, Basel, Switzerland. This article is an open access article distributed under the terms and conditions of the Creative Commons Attribution (CC BY) license (https://creativecommons.org/licenses/by/4.0/).
Share and Cite
Abba, S.I.; Yassin, M.A.; Mubarak, A.S.; Shah, S.M.H.; Usman, J.; Oudah, A.Y.; Naganna, S.R.; Aljundi, I.H. Drinking Water Resources Suitability Assessment Based on Pollution Index of Groundwater Using Improved Explainable Artificial Intelligence. Sustainability 2023, 15, 15655. https://doi.org/10.3390/su152115655
Abba SI, Yassin MA, Mubarak AS, Shah SMH, Usman J, Oudah AY, Naganna SR, Aljundi IH. Drinking Water Resources Suitability Assessment Based on Pollution Index of Groundwater Using Improved Explainable Artificial Intelligence. Sustainability. 2023; 15(21):15655. https://doi.org/10.3390/su152115655
Chicago/Turabian StyleAbba, Sani I., Mohamed A. Yassin, Auwalu Saleh Mubarak, Syed Muzzamil Hussain Shah, Jamilu Usman, Atheer Y. Oudah, Sujay Raghavendra Naganna, and Isam H. Aljundi. 2023. "Drinking Water Resources Suitability Assessment Based on Pollution Index of Groundwater Using Improved Explainable Artificial Intelligence" Sustainability 15, no. 21: 15655. https://doi.org/10.3390/su152115655
APA StyleAbba, S. I., Yassin, M. A., Mubarak, A. S., Shah, S. M. H., Usman, J., Oudah, A. Y., Naganna, S. R., & Aljundi, I. H. (2023). Drinking Water Resources Suitability Assessment Based on Pollution Index of Groundwater Using Improved Explainable Artificial Intelligence. Sustainability, 15(21), 15655. https://doi.org/10.3390/su152115655

