Abstract
Effective implementation of environmental education (EE) is to produce students who have experienced an attitudinal change so that they can evaluate and show their concern for sustainable development (SD). Environmental education (EE) was introduced as a compulsory subject for schoolchildren in 2003. In the present study, we conducted an offline survey on senior primary, middle, and high school students in one school in the north Indian city of Kanpur. The responses received for the offline questionnaire survey QS (including open-ended and closed-ended questions) from ~800 students reveal that schoolchildren have heard of climate change (CC) and perceive it as a significant threat. Most of them feel that temperature rise is the most notable consequence of CC and show great willingness for knowledge enhancement and action. However, there is a lack of understanding of the difference between EE and CCE (climate change education) in the Indian context. The results also indicate critical gaps related to the environmental dimension of education, and students overwhelmingly want increased school activities that will enhance awareness and build capacity. The need to integrate EE and CCE and spread information on the ESD (Education for Sustainable Development) initiative of UNESCO in urban India is urgent. Social media emerges as a significant player in awareness generation. Its use can help reach out to a broader audience. Students’ proactive engagement in awareness campaigns and energetic participation, already reported by several studies to have a positive impact, is essential for promoting climate action and sustainability. It sheds light on the status of the effectiveness of EE in the school curriculum of India with the aim of promoting environmental literacy. The recent G-20 Summit held in New Delhi, India, recognized the increased vulnerability of low-income countries to climate change and re-iterated its commitment to delivering quality education to all and following a green development path and highlighted the “green development path for a sustainable future” The paper outlines suggestions for educational interventions to enhance students’ comprehension of global critical environmental challenges and promote mitigation strategies.
1. Introduction
India is highly vulnerable to the negative impacts of climate change (CC), i.e., long-term shifts in temperatures and weather patterns, mainly caused by human activities. The increasing frequency of climate-related disasters, population growth, and distribution, especially increased population density and urbanization, and the limitation of resources increase vulnerability to disasters. The key drivers of this high vulnerability are the unsustainable landscape, a lack of infrastructure planning, and human-induced microclimate change [1]. Microclimatic conditions depend on factors such as temperature, humidity, wind, and turbulence. Geologic or artificial features that cause additional shading, heat pockets, and precipitation can cause these changes. Adaptive capacity to extreme hydro-met disasters in five out of six zones in India is stated to be low in a recent report (2021) by CEEW (the Council on Energy, Environment, and Water, a non-profit think tank and policy institution in India) [1]. According to the Children’s Climate Risk Index 2021 by the United Nations International Children’s Emergency Fund (UNICEF), India is ranked 26th out of 163 nations, highlighting its susceptibility to climate-related risks, particularly for its young population.
The design of climate policy is influenced by the differing ways that individuals and organizations perceive risks and uncertainties. According to a recent comprehensive global study [2], in numerous African and Asian nations, the perception of local temperature fluctuations emerged as the most significant predictor of climate risk perception. Individual risk can be understood as the risk to which a particular individual is exposed at a specific location in time and space. Individuals’ assessment of CC risks in Europe and Latin America exhibited the most substantial correlation with their comprehension of human-induced causes of CC. Recent studies [3,4] show that the global mean temperature has already surpassed a 1 °C increase. Going over 1.5 °C yearly for a decade or two would see far greater warming impacts, such as longer heat waves, more intense storms, and wildfires. For developing nations such as India, this implies increased health stress, affecting the poor and vulnerable, increased energy use, and biodiversity impacts, among other dire consequences. The need of the hour is to increase the adaptive capacity of affected communities and countries.
Through its Education for Sustainable Development (ESD) program [5], the United Nations Educational, Scientific, and Cultural Organization (UNESCO) works to make education a more central and visible part of the international response to climate change. Sustainability education is often referred to as ESD. UNESCO’s Global Action Programme (GAP) was launched at the World Conference on ESD in November 2014 in Aichi-Nagoya, Japan. ESD has been defined by UNESCO as a holistic approach to education that emphasizes the interconnectedness of society, environment, and economy. This approach promotes critical thinking, problem-solving, and active citizenship to address the challenges and opportunities of sustainable development (SD) in a collaborative way [6].
In 2015, the United Nations (UN) adopted the 2030 Agenda for SD, which includes 17 Sustainable Development Goals (SDGs). ESD is explicitly recognized in the SD as part of Target 4.7. SDG 4 seeks to “ensure that all learners acquire knowledge and skills needed to promote SD, including, among others, through ESD sustainable lifestyles”. ESD plays a crucial role in achieving these goals as it helps people understand and address the challenges of sustainable development. Through ESD, learners are empowered to take transformative actions to create a more sustainable world. The importance of promoting ESD is highlighted when we note that 47% of national curriculum frameworks in 100 countries in a UNESCO survey did not reference CC, and educators found it challenging to provide guidance on measures for addressing CC mitigation [5].
Geographical location and socioeconomic status influence public awareness and perceptions of CC. Rising temperatures have been noted as the main issue of concern by students in rural areas in three Indian states, as noted in a recent report by UNICEF (2022) [7]. Information on the awareness of young Indians about the causes and effects of climate change is not readily available. This data scarcity creates a significant gap in implementing policies and schemes aimed at climate change management strategies.
To address this data gap, we present an analysis of responses to a short questionnaire survey (QS) conducted by a school in Northern India for students in grades 6 to 12 (middle and high school students) as part of their recently launched the “Climate-smart school” initiative. The cross-sectional study was designed to collect data from many individuals simultaneously and aims to evaluate young minds’ awareness and interest in action on CC in urban North India. This article examines results from global studies among school students, develops a rationale for this survey in urban India, and presents the critical gaps in the Indian system related to environmental education (EE). The first-hand information gained from this project is critical for designing necessary changes to the EE curriculum.
Interrelationship between EE, ESD, and CCE
EE, ESD, and climate change education (CCE) are deeply interconnected domains that collectively aim to shape a responsible, informed, and proactive global citizenry. At its core, EE provides learners with insights into the relationship between humans and their environment, emphasizing the need for balance and stewardship [8]. ESD, a broader construct, expands on this by addressing the necessity of educating individuals on creating an equitable and sustainable future for all, encompassing socio-cultural, economic, and environmental dimensions [9]. Among these dimensions, the urgent challenge posed by climate change has given rise to CCE, which is a specialized subset of ESD that specifically hones in on the causes, impacts, and mitigation strategies related to global CC and empowers people with the knowledge, skills, values, and attitudes needed to act as agents of change [10].
It is important to understand that ESD acts as an intermediary between EE and CCE. Together, these three domains promote a holistic understanding of our planet’s challenges and the necessary individual and collective actions required. They encourage learners to adopt sustainable lifestyles, advocate for policies that protect the environment, and understand the intricacies of global interdependencies in the face of climate change.
The UNESCO 2017 report [5] on ESD learning objectives provides guidelines on “how to use education, and in particular ESD, in achieving the SDGs, suggests topics and learning activities for each SDG, among other things”. Competencies identified by UNESCO to achieve the SDGs are summarized in Table 1. The competencies describe the specific attributes individuals need for action and self-organization in various complex contexts and situations and are generally seen as crucial to advancing to SD. Table S1 (Supporting Information) provides the definitions of terms used in this collation of definitions of terms used in this research article (from an international perspective).
Table 1.
Competencies for achieving the Sustainable Development Goals (the table content has been adapted from Box 1.1 in the UNESCO 2017 report [5].
2. Outreach of EE among School Students
This section examines students’ awareness of CC and the efficacy of EE in formal curricula worldwide and in the Indian system.
2.1. Worldwide
Evaluation of CC knowledge, concern, and behavior change has shown varying results among schoolchildren. Di Giusto et al. [11], in their cross-sectional survey among students of nine universities across Taiwan, found that a significant proportion of respondents expressed varying degrees of concern about CC, with 65% stating they were “somewhat concerned” and 28% saying they were “very concerned”. The authors established that the student’s level of concern did not translate into behavior change. Surprisingly, a slight negative correlation was observed between students’ knowledge levels and behavior change. Similar results are reported from central Portugal in a study on high school students (i.e., classes 10 to 12) to assess their perception and understanding of CC [12]. The study involved an online survey with open-ended and closed-ended questions. Results showed that almost 76% of students recognized human activities as the primary source of CC and thought it was already in existence, and 74% of the students had not made any attempts to lessen the effects of CC. The study to track the rise in CC awareness among schoolchildren aged ten to twelve in the United States Trott [13] highlights using interactive methods that encourage students to act more. The interactive approach increases schoolchildren’s awareness and comprehension of CC. Christensen and Knezek provided evidence demonstrating that practical classes and activities focusing on energy and climate had a discernible impact on middle school students’ perceptions of CC [14].
A review of earlier research on young people’s perceptions of CC was conducted by Lee et al. [15]. This study explores the potential explanations for the differences in perception among young people in different locations across various age groups. They linked differences in age- and location-related findings to the ideas and theories of developmental psychology. In a survey conducted among the general public in three cities in the United States, Sullivan and White [16] revealed that 60% of individuals perceived a personal risk associated with CC. In a study, Siegner and Stapert [17] found that class 6 students (maximum age: 15 years) displayed heightened concern regarding the effects of CC on future generations.
The location, student age, and learning setting influence the students’ understanding. Sjöblom et al. [18] studied primary school students in Tanzania and Finland to assess the divergent opinions on CC held by students in these two nations, which differ greatly in terms of the severity of the problem, educational awareness, and cultural and natural resources. The most exciting finding of this study was that Tanzanian students were less aware of CC than Finnish students but were more motivated to act. The authors concluded that educating people about the environment depends heavily on the context and involves humans and the natural world. A study in Germany on school teenagers by Körfgen et al. [19] examined students in two separate learning environments: an in-school learning setting and an out-of-school learning setting (a high mountain environment). The study’s results show that the choice of the learning setting influences the topics students connect with. Christensen and Knezek provided evidence demonstrating that practical classes and activities focusing on energy and climate had a discernible impact on middle school students’ perception of CC [14].
Studies also suggest that more effort by government authorities is desirable, and students demand upgrading EE curricula and associated activities in school. The study from Portugal [12] showed that students felt their training had focused on CC and its relationships to anthropogenic activities moderately enough. However, most respondents said that the government should lead in taking essential measures to combat CC. The study’s findings from Taiwan [11] argue that the crucial need is for policy leadership and not more education. They suggest a notable research gap between Asian and Western countries in this field.
An article by Reid [20] on CC and research possibilities examines aspects of CCE that are likely to affect its prospects in the immediate future. Examining the perception of CC among middle school students, Hestness et al. [21] observed that community involvement and interactions with various media platforms significantly influenced the students’ ideas. Kolenatý et al. [22] conducted a study in 47 schools in the Czech Republic. This study supports the idea that students’ ability to comprehend CC and its root causes is critical in motivating them to take climate action. A study by Bofferding and Kloser [23] examined middle and high school students’ awareness of mitigation and adaptation tactics. Their results highlighted the significance of including CCE in the curriculum. The responses demonstrate education’s beneficial effects on students’ CC awareness and comprehension.
The results clearly show that most studies have focused on evaluating school students’ perceptions of CC, which school activities seem to impact significantly. Pedagogical approaches are vital in enhancing students’ interest in CCE and EE. However, studies conducted on ESD and CCE are limited. Experiential learning at selected locations/thought-out themes gives good results. Government involvement through policies and incentivized interventions also needs to be explored further.
2.2. Environmental Education (EE) in Indian Schools
EE in India was made compulsory in formal school education through a Supreme Court judgment in 2003 [24]. Following the directive, the National Council of Educational Research and Training (NCERT) has developed a class-wise EE syllabus for classes 1 to 12. Table 2 summarizes the introduction to EE imparted to Indian schoolchildren. The infusion model that integrates environmental themes with the curriculum is adopted for imparting EE at the secondary school level. The infusion approach helps to build environmental leadership in students. Praveen and Nasreen [25] analyze the effectiveness of the infusion model for classes 9 and 10 (age range: 14–17 years) and make recommendations for making EE more effective.
Table 2.
An overview of environmental education curricula for Indian schoolchildren. (Source: Data for methods used in classrooms is adapted from the UNICEF Report [7] and Praveen and Nasreen [25]. The ages of children in specific classes are as per Indian norms).
The programs related to EE were operational in Indian schools before the Supreme Court judgment. Comprehensive review articles by Sonowal [26] and Almeida [24] provide detailed insights into different EE programs in India. Almeida [24] shed light on EE’s historical, present, and future directions in India. The authors identify a theory-practice gap and a dire lack of research on major issues facing the effectiveness of EE in India. This article also discusses possible directions to address these issues.
Students’ willingness to participate actively in climate-related aspects appears to be an outcome of the strong link between the environment and the cultural aspects of Indians. Educating children about the environment and its interlinkage with our daily lives has been integral to the Indian lifestyle. Sonowal [26] presents an evaluation of one of the Government of India’s (GoI) centrally sponsored schemes, “Environmental Orientation to School Education (EOSE)”, aimed to promote EE in schools and communities. This program taught schoolchildren to adapt to their immediate environment using locale-specific examples and materials. A study by Zeeshan et al. [27] examined CC awareness and participation among school students in the vulnerable Himalayan region of Rajouri, India. Out of the 717 students surveyed, 27% demonstrated high awareness of CC, 60% were proactive in advocating for environmental issues, and 88% expressed a willingness to engage in environmental actions.
A survey conducted by Brainly, an online learning platform, reflects the influence EE has on students’ mindsets. The online survey sample (1781) revealed that 79% of Indian students believe studying CC and environmental conservation is essential [28]. This observation provides valuable insights into the opinions and behaviors of young Indians regarding CC and the need for ecological restoration. Very few studies examine the EE framework in India, and the need for field-based studies that outline the effectiveness of EE curricula in schools is urgently needed.
3. Significant Gaps in the Indian Education System towards EE and CCE
Information about school students’ awareness and understanding of CC and its impacts and motivation to act on CC mitigation/adaptation is lacking. We have discussed some significant factors that need addressing, drawing from existing studies.
- Unfamiliarity of students and educators with ESD and SDGs.
ESD is UNESCO’s education sector response to the planet’s urgent and dramatic challenges. By 2030, it aims to empower people through knowledge, skills, and values to protect the planet. A study by Bhatia (2020) [29] examined the national curriculum and pedagogical approaches related to the EE curriculum in India. The findings revealed that while the EE curriculum covers concepts that impart knowledge about certain SDGs at the elementary level, several other SDGs lack representation.
- 2.
- Curriculum inadequacy regarding ESD and CCE.
The concepts of ESD and CCE are poorly understood and not included explicitly in the curriculum. CCE is a new proposal for training, teaching, and learning focused on SD. A recent study from IIT Madras [30] used critical discourse analysis to examine environmental studies textbooks published by the NCERT to shed light on issues such as methods of addressing the environment in the text and the nature of proposed solutions. The article highlighted that the emphasis in textbooks is anthropocentric, with the environment serving as a secondary concern. Gender, caste, cleanliness, culture, equality, and discrimination emerged as more powerful themes than sustainability issues such as biodiversity, conservation, and global warming. The authors advocate for a greater understanding of environmental catastrophes and remedial measures. These observations on the need for change in curriculum agree well with the outcomes of the UNICEF study in rural areas of three Indian states [7].
- 3.
- The teacher’s capacity to introduce and teach the concept of CCE is not known.
Capacity building regarding teacher training and resources for effective education is urgently needed.
- 4.
- Limited knowledge of the effectiveness of GOI and state efforts on people’s understanding/awareness/willingness to step forth to be leaders for change.
- 5.
- Other issues. Limited resources, institutional barriers, and limited access to education also affect effective information dissemination. Schools play a pivotal role in educating young people.
Insight into people’s attitudes and beliefs towards CC is crucial in fostering practical actions for adaptation and mitigation. As indicated earlier, this study aims to evaluate young minds’ awareness and interest in action on CC in schools in urban North India. This knowledge ties in nicely with the targets of UN SDG-13 (“Take urgent action to prevent CC and its repercussions”) and should assist the country in climate action. It also supports the objectives of the Paris Agreement and other SDGs, such as SDG 4 (quality education) and SDG 11 (sustainable cities and communities) [31].
4. Methods
This paper aims to evaluate the awareness and interest in action on CC among schoolchildren in urban North India. The school undertook a voluntary survey over a day during the summer of 2023. The cross-sectional study was designed to collect data from many individuals (middle and high school students) simultaneously. We anticipate that the results of this study will act as a snapshot of what students in urban India know, what students should know, and what students do not yet know about the cause and effect of CC. The subsequent analysis enables the school to tailor their teaching methods to better address students’ needs. When teachers, educators, and planners understand this data, they are positioned to make decisions about the content of the EE curriculum in India and the approach needed in terms of pedagogy to affect student outcomes positively. Figure 1 shows the methodological framework adopted in this study.
Figure 1.
Methodological framework adopted in this study.
4.1. School Description and Data Collection
The school in this study is part of a system of central government schools in India instituted under the Education Ministry’s aegis. The school, located inside the academic campus of the institute, a technical institute in Kanpur City, India, has 2100 students from Class 1 to Class 12 (ages 6 to 18). Under their Climate Smart School program, the school administered the questionnaire to students in grades 6 through 12 aged 11 to 19 years (excluding class 11) in May 2023. As part of this initiative, the school plans to incorporate eco-friendly activities into the school curriculum. The school aims to develop climate-resilient future generations by promoting curriculum-based teaching and hands-on experiences. In the long run, school authorities envisage teaching modules about environmental and CC issues and implementing practical demonstration activities. A climate clock has been installed at the school’s entrance to raise students’ awareness of the urgency of reaching the net-zero emissions goal.
More than 450 students participated in a seminar related to CC mitigation efforts that the school organized. These initiatives by the school authorities mark their commitment to support the institution’s goal of becoming a carbon-neutral campus by 2030 [32].
In consultation with our research group, the school authorities developed the self-completion QS that the respondents could complete without the assistance of an interviewer. Since Class 11th students had not joined the school after the Class 10th exams during the survey deployment, this study does not cover them. The survey was voluntary. A copy of the survey is available in supporting information (SI, Figure S2). The QS comprised 17 questions, 15 closed-ended (mainly yes/no, multiple choice), and two open questions (respondent details provided in Table 3). The QS provided a glimpse into students’ perceptions, beliefs, attitudes, and awareness relating to the topic of CC. Questions also gauged students understanding of their involvement in mitigation/adaptation activities. 786 responses were received (age of the participants: 11 to 18 years; male: 54%; females: 46%). Researchers used the post-survey hard copy for analysis and evaluation.
Table 3.
Summary of total responses received from the school and their segregation based on gender and class.
4.2. Data Analysis
QS were digitized using Google Surveys to import responses into an Excel spreadsheet. The acquired data was statistically analyzed using relevant techniques. Descriptive statistics such as frequency distribution summarize the participant’s responses to each question. We summarized the data into the proportion of students who answered “yes” or “no” to each question to better understand their responses’ overall trends and patterns.
In addition to descriptive statistics, we performed a Chi-square analysis to investigate the associations between the dependent variable (e.g., belief in the impact of CC) and the independent factors (gender, class level, and information sources). We used the statistical software tool SPSS (version 27) for data analysis. The acceptance for statistical significance was p < 0.05. The results report statistically significant patterns or trends in the data.
5. Results and Discussion
The respondents of the survey (n = 786 students) represent different education levels in the following order: upper primary (47.1%) > higher secondary (40.3%) > senior secondary (12.6%). The low percentage of students from higher secondary is due to the absence of Class 11 students (minimum age: 16 years) from school on the survey day. The number of female respondents was marginally less than that of males (<10% difference), as depicted in Figure 2 (the total number of responses segregated based on gender from classes 6–12). This section summarizes the information gathered from the QS related to students’ familiarity with CC, steps toward mitigation, and their reported self-efforts toward resource conservation.
Figure 2.
Segregation of student participants in the study based on class level and gender. The age of students in the survey ranged from 11 to 18 years. Class-wise age details are listed in Table 2.
5.1. Overview of Students’ Awareness of the Concept of CC
Figure 3 represents the responses received from the students in the form of a bar chart segregated based on gender and education level. Most students (96%, n = 756) had heard of the term “global warming”, followed by “CC” (95%, n = 751), and three-quarters of the respondents (75%, n = 593) were familiar with the term “SD”. Only 43% of students (n = 341) were familiar with the term “carbon footprint”. In general, students in higher and senior secondary classes (classes 9 to 10 and class 12) reflected greater awareness of the terms related to the leading cause of human-induced CC. The fact that students have “heard” of these terms reflects their familiarity with them. It does not imply complete understanding but suggests that the students have some awareness of the CC concept and SD issues. We want to point out here that there is a distinct difference between awareness and knowledge. Awareness is perceiving, knowing, feeling, or being conscious of events, objects, thoughts, emotions, or sensory patterns. Knowledge is facts, information, and skills acquired through experience or education. ESD aims to reduce the impacts of CC that affect the environment and society [33] in several ways [34,35] and includes both knowledge and awareness.

Figure 3.
Responses to questions about familiarity among Indian schoolchildren of different educational levels about CC-related issues and sustainability. The age of students in the survey ranged from 11 to 18 years. Class-wise age details are listed in Table 2. (A) Class-wise student response if they heard “Global Warming”. (B) Class-wise student response if they heard “Climate Change”. (C) Class-wise student response if they heard “Sustainable Development”. (D) Class-wise student response if they heard “Carbon Footprint”.
5.1.1. Does CC Impact Our Lives, and Can We Make a Difference?
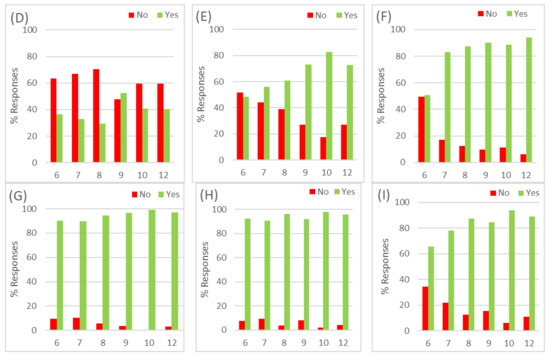
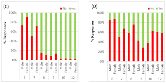
A significant fraction, 93% of the students, believed that CC impacts their daily lives (Figure 4A. Q6 in QS). More than four-fifths (84%, 661) of the respondents agreed that their daily activities could make a difference in tackling and combating CC (Figure 4F. Q13 in QS), and 80% (629) feel that they recognize the causes of CC (Figure 4B. Q7 in QS). In a follow-up question, 91% (721) of the students agreed with the observation that the temperature on Earth has been rising over the past years (Q10, Figure 4C). This observation of rising temperatures is in keeping with the observations over the past decade. Since 1940, when the European Centre for Medium-Range Weather Forecast (ECMWF) started recording global temperatures, the world has breached the 1.5 °C limit (for the increase in global mean temperature) on 279 days. A disturbing aspect of this trend is that all such instances occurred within the past 15 years, with the earliest occurrence on 13 March 2010. An analysis of data provided by the ECMWF shows that the average daily temperature exceeded the threshold of 1.5 °C 20 times in 2023 itself (i.e., until June 2023) [33].

Figure 4.
Responses to closed-ended questions (yes/no) in the survey from students of different education levels. The age of students in the survey ranged from 11 to 18 years. Class-wise age details are listed in Table 2. (A) Class-wise response if students believe that CC impacts their daily lives. (B) Class-wise response if they know what causes CC. (C) Class-wise response if students think the temperature of the earth is rising. (D) Class-wise response if students participate in sustainability-related events. (E) Class-wise response if students participate in any tree plantation events. (F) Class-wise response if daily activities can make a difference in tackling CC. (G) Class student response if they turn off lights and electronics when not in use. (H) Class student response if they turn off the water tap while brushing their teeth. (I) Class-wise student response if they think sustainability-related and CC activities should be increased in schools.
5.1.2. Student Participation in Events, School Initiatives, and Behavioral Responses to Mitigate CC Impacts
- Event participation. Two-thirds (66%) of the students (n = 525) reported that they participated in the tree plantation event (Q12), and 39% (309) participated in sustainability/CC-related events/initiatives (presented in Figure 4D,E);
- School initiatives toward climate-smart students. The school authorities regularly organize tree-planting activities and relevant seminars and workshops. Section 4.1 provides details of initiatives at the school level;
- Behavioral response of students. Developing countries are more severely affected by CC, mainly because they rely heavily on natural resources and are less prepared for adaptation. Queries related to behavioral responsibility in the survey (Q14 and Q15) revealed an overwhelming response. School students were quite particular in taking small steps towards resource conservation, such as turning off the lights 95% (n = 746) when not in use (Figure 4G) and 94% (n = 741) turning off the water tap while brushing their teeth (Figure 4H). ESD is a crucial element of quality education. It enhances the cognitive, socio-emotional, and behavioral dimensions of learning and encompasses learning content and outcomes. School students’ current environmentally responsible attitude supports positive outcomes from implementing ESD in school curricula.
5.1.3. Mode of Information Acquisition Preferred by Students
Through the responses received, the following trend for the source of data gathering emerged:
The School (67%, n = 537) > Social Media (36%, n = 286) > Newspaper (26%, n = 205) > TV (25%, 199) > Parents (21%, n = 171) > Friends/Relatives (9%, n = 71) > Others (energy literacy courses, books, and magazines). The observations highlight the importance of social media and curriculum content for relevant information dissemination in urban locations.
5.1.4. Do Students Desire Increased Environmental Activities at School to Promote Student Knowledge and to Encourage Sustainability?
Students across all classes (Figure 4I) voted for increased activities in school to enhance awareness. More than 80% (84% (n = 661)) of the students want increased emphasis on the content of the CC-related syllabus (or CCE) and increased activities. The school in this study has made continuous efforts, as presented in Section 4.1.
5.2. Association between Education Level and Students’ Understanding of CC-Related Issues
Examining trends in Figure 3 indicates awareness’s dependence on students’ class levels. A statistical analysis of the data confirms the trend. A Chi-square test reveals that students in higher classes are more aware of the terms “carbon footprint”, “CC”, and “SD” [(Carbon Footprint: χ2 = 71.012, p < 0.01, Phi Coeff = 0.304), CC: (χ2 = 46.198, p < 0.01, Phi Coeff = 0.243), SD: (χ2 = 345.51, p < 0.01, Phi Coeff = 0.665)]. Surprisingly, the relationship between the cause of these changes/concerns, “global warming”, and awareness is insignificant, as p > 0.05 (0.159).
An overwhelming number of valid responses, 94.6% of students, accepted that CC affects their daily lives. Among these, agreement was more likely from students of higher and senior secondary (χ2 = 23.4222, p < 0.01, Phi Coeff = 0.173). (Table 4). Similarly, senior students were more likely to agree that the Earth’s temperature has risen over the past years (χ2 = 27.382, p < 0.01, Phi Coeff = 0.188). (Supporting Information, Table S2).
Table 4.
Variation in response related to the closed-ended question about the impact of CC on our daily lives with student education level. (N (% of the valid responses obtained from students present in a class during the survey)).
Similarly, students of senior classes agreed more strongly that daily habits/activities could significantly impact environmental protection (χ2 = 89.926, p < 0.01, Phi Coeff = 0.343) (Supporting Information, Table S2). A meaningful connection between students’ education level and their support for increased lectures related to sustainability (i.e., lectures that deal with topics on ESD) was observed (χ2 = 47.703, df = 5, p < 0.01, Phi Coeff = 0.232). (Table 5).
Table 5.
Variation in response related to the closed-ended question about support for sustainability-related lectures/sessions among students in school with student education level. (N (% of the valid responses obtained from students present in a class during the survey)).
5.3. Discussion
The present case study from a school in urban north India highlights the need for improvement in the knowledge level of schoolchildren. Students’ responses in this study echo the similar point made by Bhatia [29], who suggested restructuring the approach of the EE curriculum in India towards fostering an understanding of climate solutions in schools by providing SD-related knowledge. This section summarizes the main highlights of this study in India. It includes students’ opinions, our interpretation of their responses, and views reported in the literature.
5.3.1. Students Understand the Importance of Raising Awareness about Environmental Issues and Opine about Raising Public Awareness
- Upgradation of curriculum and school activities. School-based experiential activities have shown a remarkable change in students’ knowledge and willingness to deal with the CC repercussions [36]. Increased knowledge-sharing in Indian schools and problem-solving exercises may persuade them to change their behavior and get them involved to “participate” in making the change;
- Effective methods to raise public awareness. Views about effective ways to make people aware of CC (Q9) were shared by 777 out of 786 students surveyed (Figure 5). More than two-thirds of the respondents, 71% of the students (n = 560), answered that social media campaigns are the most effective way to raise public awareness about CC, followed by educational programs.
Figure 5. Number of responses for the opinion about the best effective methods to raise public awareness about environment issues.
Support for different options followed the order of social media campaigns (71%, n = 560) > educational programs (26%, n = 210) > newspaper campaigns (23%, n = 181) > organizing more lectures and talks (26%, n = 210) (Figure 5). Eighteen students suggested the effectiveness of combining all options in making people understand the environment and its problems. Some respondents believed that a combination of three out of all four would be best.
5.3.2. Confusion between the ‘Causes’ and ‘Consequences’ of CC
As a response to the question (Q8) about the one consequence of CC, most students suggested global warming. Other responses were pollution and temperature increases. A “Word Cloud” was used to analyze the responses presented in Figure 6. The size of the word in the cloud shows its frequency. Readers must note that global warming caused by the increase in anthropogenic activities is the leading cause of CC and temperature rise. Students stated the opposite (i.e., consequence as cause). Answers to this open-ended question among the students surveyed demonstrated that they could not differentiate between causes and consequences. Similar confusion in students’ minds was reported in the UNICEF Report (2022), conducted primarily in rural India (in 3 states: Kerala, Bihar, and Odisha) [7]. This observation of a lack of knowledge about terms related to CC and sustainability, more so in upper primary, is supported by the results presented in Figure 3. Only 43% of students (n = 341) were familiar with the term “carbon footprint”. Although a total of three-quarters of the respondents (75%, n = 593) were familiar with the term “SD”, the fraction was much higher in senior secondary. The need to introduce ESD in schools, at least at the upper primary level, is the need of the hour to meet the targets of the SDGs.
Figure 6.
Word Cloud for all responses to “one consequence of CC” from class 6th to class 12th (generated from WordItOut).
6. Strategies for Improving the Effectiveness of Teaching and Student Learning in Urban Indian Schools
Redressal of several challenges is vital to achieving the desired goals for education planning for SD in India. In this section, we look at ways to integrate ESD and CCE in the curricula and promote the efficacy of EE education in Indian schools. In addition to their suggestions, the authors conducted an online review of topics listed in sub-headings and noted that the studies’ recommendations aligned with these findings.
6.1. Schools in Urban India Need a Different Pedagogical Approach to Help Students Understand and Effectively and Take Knowledge-Based Decisions
- Need to dispel misunderstandings and promote an accurate understanding of CC.
A study by McNeill and Vaughn [37] reports that introducing an urban ecology curriculum significantly eliminated urban high school students’ misconceptions about CC. It demonstrated the transformative power of education.
- 2.
- Need to reconsider the local and regional strategies followed at the school level to promote knowledge about adaptation to and mitigation of CC.
It is clear from the student responses that the three pedagogical approaches in India—infusion, separate subject, and extra-curricular activities—are not enough, and schools in India should adopt pedagogical practices that involve practical, experiential, and activity-based learning in EE [29]. Updating the pedagogical approach and understanding the interplay between culture and learning methods is vital for successfully imparting knowledge. An educator’s teaching beliefs form pedagogy (the method of how teachers teach in theory and practice) and need to be updated/refined as per the requirement. A suggestion by scholars (D’Souza et al. [30]) is to make the curriculum more engaging and involve real-life examples. The outcome is that students better understand and develop pro-environmental attitudes, empathetic behaviors, and problem-solving skills.
- 3.
- Teacher capacity building.
Preparing future generations better by highlighting the need to take urgent action to combat CC and its impacts is a huge responsibility of teachers at all levels, including primary and secondary schools and higher education. Concerned authorities should promote field-based and project-based learning activities and use local resources to educate students hands-on. Project-based learning (PBL) imparts hands-on learning by engaging students actively in real-world and personally meaningful projects. It refers to an inquiry-based instructional method that engages learners in knowledge construction by having them accomplish meaningful projects and develop real-world products. A review of this hands-on approach toward student outcomes conducted by Guo [38] concludes with the need for more empirical measurement studies in this field. Table S3 summarizes some such ideas, which we also collated through the literature. Participatory learning [39] aims to unite our world through global learning. Global networks such as the Network for International Policies and Cooperation in Education and Training (NORRAG) have been active for more than five decades in international policies and cooperation in education and training [40]. Through their publications and active social media involvement, NORRAG contributes to creating the conditions for more participatory, evidence-informed decisions that improve equal access to and quality of education and training.
- 4.
- Inclusion of informal education methods and experiential learning in EE
The efficacy of informal education methods, such as filmmaking, in increasing awareness and a sense of responsibility among the youth is observed in a study by Littrell et al. [41]. They conducted an informal science education program through place-based filmmaking to increase students’ awareness of the local relevance of CC and their responsibility in addressing it. The program successfully enhanced students’ understanding and engagement with environmental issues. By attempting to integrate experiential-based CC education into teaching and learning secondary school biology lessons on endangered ecosystems in Malaysia, researchers found improved students’ knowledge and motivation to care for the environment among students in the test group compared to the control group. Results from this study again support the usefulness of incorporating experiential learning into school curricula [42]. Experiential-based CC education activities are hands-on and foster a sense of responsibility and stewardship among students.
- 5.
- Community involvement and interactive media platforms Social media plays a crucial role in raising the awareness of urban school students. Most students in the present study from an urban school in Uttar Pradesh are familiar with the terms “CC” and “global warming,” although there is confusion about the cause and effect of CC. Results from this case study highlighted the significant role that social media platforms can play in the knowledge acquisition and dissemination exercise. Hestness et al. [21] reported similar ideas about CC interpretation among middle school students in a suburban community on the US East Coast. Through an 18-item multiple-choice Climate Science Knowledge Assessment Instrument (CSKAI), the authors observed that community involvement and interactions with various media platforms significantly influenced the students’ ideas about the cause of CC.
6.2. Role of Central and State Government in Promoting EE
The role of the government is critical to driving curricula and capacity-building for teachers. It also brings all schools within the country on the same level playing field regarding curricular needs. The GoI, through the MoEFCC (Ministry of Environment, Forest, and Climate Change), initiated and developed several programs to promote people’s knowledge and skills. These include incentivizing school participation, promoting student participation, and teacher training. Details of several such programs, collected from government online portals, are summarized in Table S4 (Supporting Information). The last column of the table includes our interpretation of the projects focused on in an international context (EE, CCE, or ESD). Interestingly, the focus has primarily been on EE, which is a vast field, and programs related to CCE and ESD are beginning to be encouraged.
Many state governments have launched awareness campaigns and promoted participation through competitions on environmental conservation. These initiatives aim to engage students in creative activities such as problem-solving sessions, poster making, essay writing, and debates, thereby increasing their understanding of environmental issues and fostering a sense of urgency to address CC. Table S5 (Supporting Information) lists initiatives some states took in the north and eastern parts of India.
6.3. Child and Youth Engagement and Action
It is crucial to empower students to actively address the adverse effects of CC. Schools can facilitate real-world experiences and platforms for public advocacy by establishing various clubs, such as eco/nature clubs [43], where students can collaborate and take collective action. These clubs can engage in street dramas, photo exhibitions, and public rallies to raise awareness about environmental issues. Additionally, schools can organize special events to celebrate environmental days and engage in tree-planting initiatives. Creating school gardens and biodiversity parks further allows students to connect with nature and contribute to conservation efforts.
Students actively inform their peers and elders about these challenges, generating awareness and initiating conversations. While these efforts may seem small individually, they collectively contribute to making positive adjustments toward addressing climate and environmental issues.
In-Class Exercises
- Case study analysis. By examining real-world examples, students can gain a deeper understanding of how communities and organizations have successfully adapted to and mitigated the effects of CC. Students can develop critical thinking skills by studying case studies, identifying effective strategies, and generating innovative solutions to address CC challenges;
- Exploring CC handling examples through online web-based resources and class projects. Teachers can select specific examples from these web-based resources, such as scientific journals, research repositories, and environmental organizations’ websites, that align with the curriculum and the students’ interests. WWF has recently launched introductory CC resources to introduce the topic of CC to students aged 7–11. Secondary and primary school students with existing knowledge of CC can further explore their series of engaging “curriculum-linked programmes and activities” [36]. Details on “Use online tools to promote awareness and teach good practices for urban adaptation” are listed in SI;
- Engaging students in a multi-step process (video watching, reading, and cooperative group discussions). Starting with watching a video documentary/report highlighting an issue from their state so that they can relate to it emotionally, the students can move on to read relevant texts about the problem shown. They can investigate newspaper articles, journals, reports, and online information and gain a broader understanding of CC, its causes, and its effects on a global scale. The next step can be guided discussion, through which students can analyze and reflect upon the information presented, sharing their insights, questions, and concerns.
Incorporating this approach promotes a holistic understanding, encourages critical thinking, and enables students to generate examples and solutions actively.
In the recently concluded G20 Summit 2023 in New Delhi, India, climate action was a priority, and major points were covered in the G20 Delhi Declaration. For instance, the G20 New Delhi Declaration made commitments to achieve the SDGs and limit global warming [44]. Funding and support for educational entities is planned to raise awareness and promote active leadership. Figure 7 shows a framework summarizing the actionable points at different levels that bridges the gaps in the EE scenario in India. A combination of international and national efforts and following the recommendations for enhancing CCE by incorporating practical experiences will inspire proactive participation in developing effective adaptation strategies. Utilizing the transformative power of education is vital to nurturing responsible citizens willing to address environmental concerns proactively.
Figure 7.
Framework for improving students’ awareness of CC in urban India.
7. Conclusions and Suggestions for Future Research
In this study, an examination was conducted to gauge the perceptions of approximately 800 students regarding their comprehension of environmental education (EE)-related terminology, their behaviors, and their inclination to engage in sustainable development activities. This research endeavor serves as a preliminary undertaking aimed at facilitating a broader initiative focused on gathering insights into how students perceive the impact of climate change (CC) on their daily lives.
The findings derived from the questionnaire survey (QS) unequivocally underscored the imperative to augment the prominence of EE within educational institutions, particularly at the upper primary level. Furthermore, our study underscored the role of social media in influencing the dissemination and sharing of knowledge during the post-COVID era, with over 70% of surveyed students advocating social media platforms as optimal channels for propagating awareness concerning CC.
This study places significant emphasis on the necessity for continuous training, retraining, and empowerment initiatives. These endeavors are vital in ensuring that the public and stakeholders remain perpetually informed, updated, and cognizant of the ongoing crisis related to CC. It is noteworthy that schools emerge as the predominant source of knowledge acquisition, with over 65% of students citing their educational institutions as the primary means through which they familiarize themselves with EE-related terminology, followed by social media platforms at 37%. Moreover, the survey indicated that over 80% of students desire an amplification of CC and Sustainable Development (SD) events within their school.
The result highlights that it is essential to prioritize teacher training, given their influential role within the school environment. We must bear in mind that education and awareness represent the most efficacious strategies for addressing environmental concerns. Augmenting awareness, enhancing capacity, and nurturing a sense of responsibility among teachers can significantly contribute to collective action and the adoption of sustainable practices. Municipal and school officials’ active involvement is indispensable for providing essential support, resources, and an enabling environment conducive to effectively promoting Education for Sustainable Development (ESD) at the local and regional levels.
The article concludes by offering recommendations to enhance the effectiveness of teaching methodologies and student learning in urban Indian schools, offering a comprehensive perspective on this matter. However, it should be noted that this paper does not delve comprehensively into the discussion of pedagogical approaches.
The urgency of cultivating resilient future leaders finds succinct expression in Global Goal 13.3 of the Sustainable Development Goals (SDGs), which calls for “Improving education, awareness-raising, and human and institutional capacity on climate change mitigation, adaptation, impact reduction, and early warning”—a vital component of climate action. The process of educating individuals instills a sense of urgency, motivating proactive engagement. It nurtures critical thinking abilities and problem-solving skills and prepares the upcoming generation to actively confront the challenges posed by CC. Equipping schoolchildren with the requisite resources and experiential education holds paramount importance. We anticipate that the recommendations proposed in this study will contribute to affecting positive changes in the school curriculum, aligning it with the United Nations’ Sustainable Development Goals, to be achieved by 2030.
Supplementary Materials
The following supporting information can be downloaded at: https://www.mdpi.com/article/10.3390/su152115346/s1, Figure S1: Map of India showing study location (Kanpur), state of Odisha, Kerala, and Bihar, along with the land area and population. Figure S2: Sample QS was used in the present study. Table S1. Standard definitions of terms used in the present study. Table S2: Variation with student education level to response related to the closed-ended question about belief in the Earth’s temperature rise. Table S3: Variation with student education level to response about the closed-ended question about the view that our daily activities can help combat environmental issues. Table S4. Schemes for promotion of environmental literacy initiated by Govt. of India/ Central institutes. Table S5: Initiatives for the promotion of environmental awareness and community involvement by Northern states. Table S6: Benefits of upgradation of teaching strategies. References [45,46,47,48,49,50,51,52,53,54,55,56,57,58,59,60,61,62,63,64,65,66,67] are cited in the Supplementary Materials.
Author Contributions
Conceptualization, A.G., U.I.-R., S.J. and R.P.; Data curation, S.J., A.A. and S.R.; Formal analysis, A.G., S.J. and A.A.; Investigation, A.G. and A.A.; Methodology, A.G., S.J. and R.P.; Project administration, A.G., U.I.-R. and R.P.; Software, S.J. and A.A.; Supervision, A.G. and U.I.-R.; Validation, A.A.; Visualization, S.J. and A.A.; Writing—original draft, A.G., U.I.-R., S.J. and A.A.; Writing—review & editing, A.G., U.I.-R., S.J., A.A., S.S., R.P. and S.R. All authors have read and agreed to the published version of the manuscript.
Funding
This research received no external funding.
Institutional Review Board Statement
IIT Kanpur doesn’t take the ethics approval since School authority themselves took the questionnaire survey and no personal information recorded in the questionnaire survey.
Informed Consent Statement
The school authorities who conducted the survey informed all the subjects about the study and confirmed that ‘the students were not under duress to participate in this effort and could withdraw at any time’. We had taken all necessary measures to ensure that their participation in the survey was voluntary and their privacy protected. The letter from school authorities stating the details of the survey process is available on request.
Data Availability Statement
The availability of data presented in this study will be on request from the corresponding author on a case-by-case basis. The data are not publicly available due to the privacy of the survey respondents.
Acknowledgments
The authors sincerely acknowledge the efforts of the school teachers in surveying students and school authorities, making the hard copy available to the research team promptly for further analysis. The support provided by our students, Himanshu Berad, Ayush Anand, and Pankaj Chakravarti, in conducting the online literature survey is sincerely appreciated.
Conflicts of Interest
The authors declare no conflict of interest.
References
- Mohanty, A.; Wadhawan, S. Mapping India’s Climate Vulnerability—A District Level Assessment; Council on Energy, Environment and Water: New Delhi, India, 2021. [Google Scholar]
- Lee, T.M.; Markowitz, E.M.; Howe, P.D.; Ko, C.Y.; Leiserowitz, A.A. Predictors of public climate change awareness and risk perception around the world. Nat. Clim. Chang. 2015, 5, 1014–1020. [Google Scholar] [CrossRef]
- World Meteorological Organization. Global Annual to Decadal Climate Update. 2021. Available online: https://hadleyserver.metoffice.gov.uk/wmolc/WMO_GADCU_2019.pdf (accessed on 10 May 2023).
- Hermanson, L.; Smith, D.; Seabrook, M.; Bilbao, R.; Doblas-Reyes, F.; Tourigny, E.; Lapin, V.; Kharin, V.V.; Merryfield, W.J.; Sospedra-Alfonso, R.; et al. WMO global annual to decadal climate update: A prediction for 2021–25. Bull. Am. Meteorol. Soc. 2022, 103, E1117–E1129. [Google Scholar] [CrossRef]
- UNESCO. Education for Sustainable Development; UNESCO: Paris, France, 2017; ISBN 978-92-3-100209-0. Available online: https://www.unesco.org/en/education-sustainable-development (accessed on 10 September 2023).
- Kagawa, F. The Heat Is on! Towards a Climate Resilient Reduction System in India. UNICEF South Asia. 2022. Available online: https://www.unicef.org/rosa/reports/heat_is_on_India (accessed on 10 May 2023).
- Learning Today for Sustainable Future. UNESCO World Conference on Education for Sustainable Development. Available online: https://sustainabledevelopment.un.org/?page=view&nr=466&type=13&menu=218#:~:text=The%202014%20UNESCO%20World%20Conference,under%20the%20Global%20Action%20Programme (accessed on 29 September 2023).
- Karama, M.J. A comparative survey of environmental education goals between the unesco framework and 10th grade palestine curriculum. Int. J. Curric. Instr. 2016, 8, 1–17. [Google Scholar]
- UNSECO. What You Need to Know about Education for Sustainable Development. Available online: https://www.unesco.org/en/education-sustainable-development/need-know (accessed on 7 October 2023).
- United Nation. Climate Change Education. United Nation. 2022. Available online: https://www.unssc.org/news-and-insights/blog/climate-change-education-key-advancing-climate-action (accessed on 10 September 2023).
- Di Giusto, B.; Lavallee, J.P.; Yu, T.Y. Towards an East Asian model of climate change awareness: A questionnaire study among university students in Taiwan. PLoS ONE 2018, 13, e0206298. [Google Scholar] [CrossRef]
- Azeiteiro, U.M.; Bacelar-Nicolau, P.; Santos, P.T.; Bacelar-Nicolau, L.; Morgado, F. Assessing high school student perceptions and comprehension of climate change. In Handbook of Climate Change Communication: Vol. 3: Case Studies in Climate Change Communication; Springer: Berlin/Heidelberg, Germany, 2018; pp. 21–34. [Google Scholar]
- Trott, C.D. Children’s constructive climate change engagement: Empowering awareness, agency, and action. Environ. Educ. Res. 2020, 26, 532–554. [Google Scholar] [CrossRef]
- Voogt, J.; Knezek, G.; Christensen, R.; Lai, K.W. Second Handbook of Information Technology in Primary and Secondary Education; Springer: Berlin/Heidelberg, Germany, 2018. [Google Scholar]
- Lee, R. How are Young People in the UK Experiencing and Engaging with Concerns around Climate Change? Ph.D. Thesis, University of Sheffield, Sheffield, UK, 2023. [Google Scholar]
- Sullivan, A.; White, D.D. An assessment of public perceptions of climate change risk in three western US cities. Weather. Clim. Soc. 2019, 11, 449–463. [Google Scholar] [CrossRef]
- Siegner, A.; Stapert, N. Climate change education in the humanities classroom: A case study of the Lowell school curriculum pilot. Environ. Educ. Res. 2020, 26, 511–531. [Google Scholar] [CrossRef]
- Sjöblom, P.; Wolff, L.A.; Vuorenpää, S.; Grahn, R. Primary school students and climate change—An interview study in Finland and Tanzania. J. Clean. Prod. 2022, 380, 135099. [Google Scholar] [CrossRef]
- Körfgen, A.; Keller, L.; Kuthe, A.; Oberrauch, A.; Stötter, H. (Climate) Change in young people’s minds—From categories towards interconnections between the anthroposphere and natural sphere. Sci. Total Environ. 2017, 580, 178–187. [Google Scholar] [CrossRef]
- Reid, A. Climate change education and research: Possibilities and potentials versus problems and perils? Environ. Educ. Res. 2019, 25, 767–790. [Google Scholar] [CrossRef]
- Hestness, E.; McGinnis, J.R.; Breslyn, W. Examining the relationship between middle school students’ sociocultural participation and their ideas about climate change. Environ. Educ. Res. 2019, 25, 912–924. [Google Scholar] [CrossRef]
- Kolenatý, M.; Kroufek, R.; Činčera, J. What triggers climate action: The impact of a climate change education program on students’ climate literacy and their willingness to act. Sustainability 2022, 14, 10365. [Google Scholar] [CrossRef]
- Bofferding, L.; Kloser, M. Middle and high school students’ conceptions of climate change mitigation and adaptation strategies. Environ. Educ. Res. 2015, 21, 275–294. [Google Scholar] [CrossRef]
- Almeida, S.; Cutter-Mackenzie, A. The historical, present, and future ness of environmental education in India. Aust. J. Environ. Educ. 2011, 27, 122–133. [Google Scholar] [CrossRef]
- Praveen, H.; Nasreen, N. Status of Environmental Education at Secondary School Level in India. 2016. Available online: https://www.semanticscholar.org/paper/STATUS-OF-ENVIRONMENTAL-EDUCATION-AT-SECONDARY-IN-Praveen-Nasreen/b31a399001c203f546c080169927960b4065ed07 (accessed on 10 September 2023).
- Sonowal, C.J. Environmental education in schools: The Indian scenario. J. Hum. Ecol. 2009, 28, 15–36. [Google Scholar] [CrossRef]
- Zeeshan, M.; Sha, L.; Tomlinson, K.W.; Azeez, P.A. Factors shaping students’ perception of climate change in the western Himalayas, Jammu & Kashmir, India. Curr. Res. Environ. Sustain. 2021, 3, 100035. [Google Scholar]
- Brainly, 79% of Indian Students Feel Studying Climate Change and Environmental Conservation is Important: Survey, India Today. Available online: https://www.indiatoday.in/education-today/latest-studies/story/79-of-indian-students-feel-that-it-s-important-to-study-climate-change-and-environmental-conservation-survey-1814708-2021-06-14 (accessed on 19 July 2023).
- Bhatia, N. Environmental Education in India: Analysis of National Curriculum and Pedagogical Approaches. Master’s Thesis, York University, Toronto, ON, Canada, 2020. Available online: https://yorkspace.library.yorku.ca/server/api/core/bitstreams/646eff2f-b332-48f1-b8bd-ff4901d55221/content (accessed on 10 April 2023).
- D’Souza, C.; Brahme, M.; Babu, M.S. Environment education in Indian schools: The search for a new language. J. Educ. Sustain. Dev. 2020, 14, 174–189. [Google Scholar] [CrossRef]
- United Nations-The General Assembly. Transforming our world: The 2030 Agenda for Sustainable Development. 2015. Available online: https://www.un.org/ga/search/view_doc.asp?symbol=A/RES/70/1&Lang=E (accessed on 10 March 2023).
- Chandrakanta Kesavan Centre for Energy Policy and Climate Solutions (CKCEPCS), Indian Institute of Technology, Kanpur (IIT K). 2021. Available online: https://iitk.ac.in/ckc/data/NetZero_onepage.pdf (accessed on 4 March 2023).
- World Breached the 1.5 °C Limit 279 Times Since 1940, Shows DTE Analysis of ECMWF Data, Down-to-Earth. 2023. Available online: http://ptimes.cmsvatavaran.org/newsportal/news-details.php?nid=523 (accessed on 7 July 2023).
- Tol, R.S. The Economic Impacts of Climate Change. Rev. Environ. Econ. Policy 2018, 12, 4–25. [Google Scholar] [CrossRef]
- Zhenmin, L.; Espinosa, P. Tackling climate change to accelerate sustainable Development. Nat. Clim. Chang. 2019, 9, 494–496. [Google Scholar] [CrossRef]
- Climate Action Project (CAP). Climate Change Resources for Schools|WWF. 2021. Available online: https://www.wwf.org.uk/get-involved/schools/resources/climate-change-resources (accessed on 2 June 2023).
- McNeill, K.L.; Vaughn, M.H. Urban high school students critical science agency: Conceptual understandings and environmental actions around climate change. Res. Sci. Educ. 2012, 42, 373–399. [Google Scholar] [CrossRef]
- Guo, P.; Saab, N.; Post, L.S.; Admiraal, W. A review of project-based learning in higher education: Student outcomes and measures. Int. J. Educ. Res. 2020, 102, 101586. [Google Scholar] [CrossRef]
- Weeks, C. Four Reasons to Teach the Sustainable Development Goals (20 April 2020) Editors Pick. Blog on Participate Learning. Reasons to Teach the Sustainable Development Goals. Available online: https://www.participatelearning.com/blog/4-reasons-to-teach-the-sustainable-development-goals/ (accessed on 15 April 2023).
- NORRAG. Network for International Policies and Cooperation in Education and Training. Available online: https://www.norrag.org/ (accessed on 10 September 2023).
- Littrell, M.K.; Tayne, K.; Okochi, C.; Leckey, E.; Gold, A.U.; Lynds, S. Student perspectives on climate change through place-based film-making. Environ. Educ. Res. 2020, 26, 594–610. [Google Scholar] [CrossRef]
- Karpudewan, M.; Mohd Ali Khan, N.S. Experiential-based climate change education: Fostering students’ knowledge and motivation towards the environment. Int. Res. Geogr. Environ. Educ. 2017, 26, 207–222. [Google Scholar] [CrossRef]
- Department of School Education and Literacy (DoSEL). Constitution of Youth Club and Eco Club. Available online: https://samagra.education.gov.in/youth.html (accessed on 5 July 2023).
- G20. G20 New Delhi Leaders’ Declaration. 2023. Available online: https://www.g20.org/content/dam/gtwenty/gtwenty_new/document/G20-New-Delhi-Leaders-Declaration.pdf (accessed on 7 October 2023).
- United Nations. Climate Change. Available online: https://www.un.org/en/climatechange/what-is-climate-change (accessed on 10 September 2023).
- Deeb, A.; French, A.; Heiss, J.; Jabbour, J.; LaRochelle, D.; Levintanus, A.; Kontorov, A.; Markku, R.; Martinez, G.S.; McKeown, R.; et al. Climate Change Starter’s Guidebook: An Issues Guide for Education Planners and Practitioners; UNEP: Nairobi, Kenya, 2011. [Google Scholar]
- Center for Sustainable Systems, University of Michigan. Carbon Footprint Factsheet; Pub. No. CSS09-05; Center for Sustainable Systems, University of Michigan: Ann Arbor, MI, USA, 2022. [Google Scholar]
- Leeming, F.C.; Porter, B.E.; Dwyer, W.O.; Cobern, M.K.; Oliver, D.P. Effects of participation in class activities on children’s environmental attitudes and knowledge. J. Environ. Educ. 1997, 28, 33–42. [Google Scholar] [CrossRef]
- Sustainability, United Nations. Available online: https://www.un.org/en/academic-impact/sustainability#:~:text=In%201987%2C%20the%20United%20Nations,development%20needs%2C%20but%20with%20 (accessed on 10 September 2023).
- Sustainable Development, International Institute for Sustainable Development. Available online: https://www.iisd.org/mission-and-goals/sustainable-development (accessed on 10 September 2023).
- The Sustainable Development Agenda. Available online: https://www.un.org/sustainabledevelopment/development-agenda (accessed on 10 September 2023).
- United Nations. The 17 Goals—Sustainable Development Goals. Available online: https://sdgs.un.org/goals (accessed on 2 June 2023).
- Pradhan, P.; Costa, L.; Rybski, D.; Lucht, W.; Kropp, J.P. A systematic study of sustainable development goal (SDG) interactions. Earth’s Future 2017, 5, 1169–1179. [Google Scholar] [CrossRef]
- Strengthening Environment Education in School System (StrEESS). 2003. Available online: https://www.ceeindia.org/strengthening-environment-education-in-school-system-streess- (accessed on 7 June 2023).
- Environment Education Program (EEP)’, Ministry of Education (GoI). Available online: karnataka.gov.in (accessed on 5 June 2023).
- Ministry of Environment, Forest, and Climate Change (MoEF &CC). Environment Education, Awareness, Research, and Skill Development Scheme. 2022. Available online: Guidelines-of-EEP-English.pdf (accessed on 24 June 2023).
- Ministry of Environment, Forest, and Climate Change (MoEF & CC). National Green Corps Programme (NGC-ECO-Club). 2001. Available online: hp.gov.in (accessed on 20 June 2023).
- Department of School Education and Literacy (DoSEL). National Initiative for School Heads’ Teachers’ Holistic Advancement (NISHTHA). 2019. Available online: https://dsel.education.gov.in/sites/default/files/2019-09/scan.pdf (accessed on 21 June 2023).
- Ministry of Environment, Forest, and Climate Change, (MoEF & CC). Prayavaran Mitra-Action towards Sustainability. 2007. Available online: paryavaranmitra.in (accessed on 11 June 2023).
- Centre for Environment Education (CEE); Uttar Pradesh Pollution Control Board (UPPCB). Uttar Pradesh Paryavaran Leader Program. Available online: https://www.ceeindia.org/ceenario_archive/ceenario109.html#:~:text=The%20Yuva%20Paryavaran%20Leader%20programme,Teachers%2C%20and%205%20Best%20Schools (accessed on 7 June 2023).
- Centre for Environment Education (CEE). Environment Education for School Children-Uttar Pradesh. Available online: https://www.ceeindia.org/environment-education-for-school-children-uttarpradesh (accessed on 1 June 2023).
- Centre for Environment Education (CEE). School Programmes-Bihar. Available online: https://www.ceeindia.org/school-programmes-bihar (accessed on 5 June 2023).
- Centre for Environment Education (CEE). School-Based Programmes—West Bengal. Available online: https://www.ceeindia.org/school-based-programmes-west-bengal (accessed on 5 June 2023).
- US Agency for International Development (USAID); Government of Odisha. Trees Outside Forest in India (TOFI). 2023. Available online: https://www.cifor-icraf.org/tofi/ (accessed on 1 June 2023).
- The Energy and Resource Institute (TERI); Tata Steel. The Green School Project. 2017. Available online: https://www.indiatoday.in/education-today/news/story/tata-steel-teri-green-school-project-odisha-1049387-2017-09-21 (accessed on 25 June 2023).
- The Delhi Government. Environmental Leadership Bootcamp. 2023. Available online: https://www.millenniumpost.in/nation/govt-launches-environmental-leadership-bootcamp-for-students-521029 (accessed on 10 July 2023).
- Project for the Inclusion of Biodiversity in the School Curriculum. Available online: https://earthcharter.org/project-for-the-inclusion-of-biodiversity-in-the-school-curriculum/ (accessed on 10 July 2023).
Disclaimer/Publisher’s Note: The statements, opinions and data contained in all publications are solely those of the individual author(s) and contributor(s) and not of MDPI and/or the editor(s). MDPI and/or the editor(s) disclaim responsibility for any injury to people or property resulting from any ideas, methods, instructions or products referred to in the content. |
© 2023 by the authors. Licensee MDPI, Basel, Switzerland. This article is an open access article distributed under the terms and conditions of the Creative Commons Attribution (CC BY) license (https://creativecommons.org/licenses/by/4.0/).