Next Article in Journal
Effects of Organic Fertilization on Biomass Production in Urochloa spp. Pastures and Soil Biological and Physical Properties in the Colombian Amazon Region
Previous Article in Journal
Quantifying the Impacts of Climate and Land Cover Changes on the Hydrological Regime of a Complex Dam Catchment Area
Previous Article in Special Issue
Exploring the Impact of Group Tourists’ Citizenship Behavior on Engagement: The Intimacy as a Mediating Variable
 
 
Font Type:
Arial Georgia Verdana
Font Size:
Aa Aa Aa
Line Spacing:
Column Width:
Background:
Article

Green Trust: How Consumer Demographics Moderate Environmental Commitment in Latin America

by
Yahaira Lisbeth Moreno Brito
1,
Jue Wang
2,* and
Hak-Seon Kim
3,4,*
1
Department of Global Business, Kyungsung University, Busan 48434, Republic of Korea
2
School of Global Studies, Kyungsung University, Busan 48434, Republic of Korea
3
School of Hospitality & Tourism Management, Kyungsung University, Busan 48434, Republic of Korea
4
Wellness & Tourism Big Data Research Institute, Kyungsung University, Busan 48434, Republic of Korea
*
Authors to whom correspondence should be addressed.
Sustainability 2023, 15(21), 15219; https://doi.org/10.3390/su152115219
Submission received: 23 August 2023 / Revised: 19 October 2023 / Accepted: 20 October 2023 / Published: 24 October 2023

Abstract

:
Trust in “green” practices emerges as a crucial determinant in consumer decision-making, reflecting the value placed on a hotel’s sustainability endeavors. This study investigates the factors influencing trust in green hotels by analyzing demographic data obtained from 172 participants in Latin America. Employing statistical methods, including ANOVA and SEM, the research explores the relationship between trust in green practices and demographic variables, with a focus on identifying potential significant differences. The findings highlight the pivotal role of age, particularly the 18–24 years old, in fostering greater environmental commitment. Additionally, the study reveals that prior experience, knowledge, and commitment significantly explain green trust levels. This study offers insights into the Latin American consumer profile, thereby aiding hoteliers and environmental practitioners in comprehending consumer behavior toward eco-friendly lodging options.

1. Introduction

There are several pressing issues facing our world today, such as global warming, the destruction of ecosystems, and social crises [1]. To tackle these problems, the agenda for sustainable development has established 17 indicators that guide economic and social entities in their development processes. The 2030 agenda is a universal call to action aimed at ending poverty, protecting the planet, and bettering the lives and prospects of people across the globe [2]. Furthermore, as more people become aware of the impact of climate change and environmental degradation, there has been a significant shift in consumer mentality and consumption preferences [3,4], and Latin Americans are no exception; according to statistics 68% of citizens of Latin America and Caribe (LAC) recognize that climate change constitutes a very serious threat to their country over the next 20 years [5].
In order to mitigate the environmental issues, the governments in LAC are facing and fostering more sustainable development practices [5]. Tourism is one of the industries that contribute to environmental overconsumption and degradation; 8% of greenhouse gas emissions and 75% of excess consumption of non-durable goods, energy, and water [6,7]. According to Han [8], the hotel industry is experiencing a change towards sustainability and environmental responsibility as more travelers are demanding it. A 2021 survey by Booking found that 85% of travelers are interested in reserving sustainable hotels [9]. It has become increasingly evident that hotels are becoming eco-friendly as consumers’ awareness of environmental issues and their knowledge of ecology increases. This has led many hotels to implement more ecological policies in their operations management to reach guest expectations [10,11]. In addition, adopting ecological initiatives brings extra benefits to hoteliers in the long term, such as cost savings, public funding, employee engagement, public scrutiny, investor relations, and improved overall well-being for society [12].
Hence, consumers are becoming more mindful of the environmental impact of hotels and value hoteliers’ sustainability initiatives [13]. This enhances customer satisfaction and creates positive intentions, indirectly improving business competitiveness [14]. However, even if hotels adopt eco-friendly practices, customers may only fully trust their commitment if they are aware of the changes. Having experience staying in eco-friendly hotels can significantly impact a person’s attitude, preference, and satisfaction toward green accommodations [11,15]. Additionally, a consumer’s knowledge of environmental practices can influence their perception of a hotel’s sincerity in promoting their ecological commitment [16]. Hence, sustainable practices are crucial in shaping consumer perception towards eco-friendly hotels. Furthermore, the socio-demographic profile of the guests can influence these factors [3].
Numerous studies have explored the complex relationship between demographic profile and environmental behavior [17]. Researchers mentioned that respondent age is the most significant feature related to environmentally friendly behaviors and eco-friendly intention formation [17,18,19]. While older individuals tend to exhibit more pro-environmental commitments, younger individuals display greater concern for the environment and thus engage in higher levels of green consumption [17,20]. Further, some exploration found that gender and income also have been identified as factors impacting green consumption behaviors [18,20,21].
It is undeniable that the level of environmental awareness, knowledge, and commitment can be associated with the distinct features of a population. The significance of eco-friendly consumption and ecologically responsible behavior is widely acknowledged in contemporary marketing literature [18]. Nonetheless, despite ongoing discussions on demographics and ecological practices in Latin America, it remains in its early stages. The bulk of the research is focused on comprehending the practices adopted by the tourism industry, social communities, and strategic development. Unfortunately, the attributes of environmentally conscious consumers and their influence on eco-friendly behaviors have yet to be fully explored. As per the preceding discussion, the following research inquiries were posited:
RQ1: How do the demographics profile (age, gender, education level, and income) affect trust in the green practices of Latin American hotels?
RQ2: How do knowledge, commitment, and previous experience affect guest trust in eco-hotels in Latin America?
Therefore, this study aims to examine and comprehend the relationship between four fundamental aspects (demographic profile, prior experience, ecological knowledge, and environmental commitment) that influence green trust in the hotel context in Latin America. The consumer’s demographic profile encompasses variables such as age, gender, level of education, and income, among others, that can significantly influence the perception and evaluation of a hotel’s sustainable practices. In contrast, prior experience with eco-friendly hotels can play a decisive role in shaping attitudes and preferences towards green accommodation. Additionally, the consumer’s ecological knowledge, i.e., their understanding of the importance of sustainability and environmental practices, can affect how they view a hotel’s reliability and authenticity when promoting their ecological commitment.
The study’s findings will provide insights and a comprehensive understanding of how consumers perceive and value eco-practices in hotels and how these perceptions are influenced by factors such as eco-knowledge and prior experiences. Moreover, the results will aid in the development of effective strategies to promote and consolidate green trust in the hotel sector in Latin America, benefiting both hotels aiming to stand out in the market and consumers who wish to make environmentally conscious choices through their consumption decisions.

2. Literature Review

2.1. Green Consumption in Latin America

LAC suffers disproportionately from the consequences of climate change: 13 of the 50 countries most affected by climate change in the world belong to the region [5]. Hence, an increasing number of individuals in Latin America are recognizing the importance of protecting the environment and opting for sustainable products and services. This trend, often referred to as “green consumption”, has contributed to the industry’s ongoing growth. Green consumption entails selecting options that cause less harm to the environment than conventional alternatives [22]. It is a component of a larger concept of sustainable living that encompasses various environmental practices in addition to consumption choices [20].
The decision to adopt ecological practices in consumption habits prioritizes the conservation of natural resources, reduction of pollution, minimization of waste, and promotion of sustainable practices throughout the life cycle of products and services [20,22]. This conscious decision significantly reduces the personal ecological footprint and positively impacts the protection and preservation of the environment. By choosing to consume in a sustainable manner, individuals are contributing towards a sustainable future for generations to come.
The hotel industry has increasingly adopted the concept of green consumption, which involves the integration of environmentally friendly practices and sustainable products and services by guests in green hotels [23]. This approach encompasses a range of measures, such as the use of energy-efficient lighting and appliances, water conservation, waste management, and the availability of organic or locally sourced food options [24,25]. Recent studies have shown that eco-conscious guests who engage in sustainable behaviors during their stay in eco-innovative hotels can significantly contribute to promoting green consumption practices in such establishments [7,23].
The concept of green consumption is gaining momentum in Latin America as more and more people are adopting eco-friendly practices and products. The region is moving towards a green economy, which is built on the ecological economy and sustainability principles [26]. Despite being a significant producer of renewable energy, several countries in the region are still grappling with promoting green consumption [5]. The Latin American Economic Outlook explores various options to reshape the energy matrix, transform production models, and encourage a green economy, which is essential for sustainable socio-economic growth [27]. Monitoring green growth indicators is considered essential for progress towards more sustainable economic growth and the exploitation of new socio-economic opportunities [28]. Latin American green consumption is constantly on the rise, mainly as a result of increased environmental awareness and knowledge, as well as the demand for products and practices that are sustainable and environmentally friendly.
Despite policies and regulations promoting eco-friendly and sustainable practices, the hotel industry is challenged by external factors outside of their control, including the level of knowledge, awareness, and socioeconomic status of the population. These factors are still in the early stages of development, and while practitioners and academics have studied the sociodemographic characteristics of the population regarding ecological consumption, research in the Latin American context remains limited.

2.2. Green Hotel

The accommodation industry is a major contributor to environmental pollution, with tourism leading to over-consumption of resources and negative environmental impacts [7,29]. Most tourist activities have ecological consequences as they require energy, water, food, and other resources despite providing excellent service [25]. As a result, governments worldwide are promoting sustainable economic development to address environmental degradation, prevent pollution, and reduce resource consumption [30]. Increasing environmental regulations and a greater awareness of the importance of the environment have led to the growth of eco-friendly hotels in place of traditional hotels in recent years [29,31]. Therefore, hotels are shifting their services towards being environmentally friendly.
In recent years, there has emerged a new trend in tourism that focuses on being “green, sustainable, or ecological”. This trend has gained attention from businesses and consumers [24,32]. The term “green” refers to actions taken to reduce environmental impact, such as green purchasing or recycling [31]. Therefore, a “green hotel” refers to a hotel that practices various environmentally-friendly measures to protect the natural environment and reduce operating costs [29,33]. These measures include saving water and energy, using green purchasing policies, and reducing emissions and waste. Hotels implement different environmental practices, but some noteworthy measures include reusing towels and sheets, using low-flow taps and showers to conserve water, adopting light sensors and individual air conditioning to reduce energy consumption, and promoting ecological purchases such as local foods and cleaning products [10,24,34,35].

2.3. Demographic Profile in Customer Behavior and Trust

Ecological research tends to concentrate on measuring behaviors from psychological, cognitive, and emotional viewpoints. While gathering demographic data, it is usually only descriptive and rarely analyzed in terms of its impact on consumer behavior, trust, and the market. However, some approaches have shown the significance of a thorough analysis of the consumer profile in ecological consumption trends. Samdahl and Robertson (1989) [36] argued that consumers who are more environmentally conscious tend to have below-average incomes and less education than the average American at that time. However, recent research suggests that high income and greater education do have a significant influence on tourists’ behavior [18,37], which is in contrast to the findings of the Samdahl and Robertson study [36].
According to Ibok and Etuk (2014) [18], their study conducted in Nigeria shows that younger generations, women, and clients with higher levels of education and income are more likely to choose and trust green hotels. The author believes that younger generations are more environmentally conscious and willing to use eco-friendly products and services. This could be due to the increased awareness and changes in the educational system and access to information in the current century. On the other hand, Chou and Chen (2014) [37] found that people over the age of 41 reported a lower environmental attitude, while those with higher education levels (college) showed a positive environmental attitude.
A study conducted in the Canary Islands found that older tourists (36 years and above) tend to have a stronger pro-environmental attitude when staying in hotel establishments compared to younger ones [38]. However, the age categories used in the analysis have significant gaps, spanning approximately 17 years. Additionally, the study conducted by Rodríguez et al. (2020) [38] confirmed that women are more likely than men to opt for green hotels, with women exhibiting more positive behavior in this regard [37,38]. Based on these findings from previous research and the need to update the landscape of green consumption in the demographic context, the hypothesis is proposed:
Hypothesis H1.
Socio-demographic profile has a positive influence on customer trust in a hotel’s eco-friendly practices.

2.4. Previous Experience, Ecological Knowledge, Commitment and Trust

Many people are becoming increasingly aware of environmental problems, the limited availability of natural resources, and the vulnerability of the environment [29]. These individuals hold strong environmentally friendly beliefs, actively seek opportunities to behave in eco-friendly ways, and often express concerns about environmental issues [39]. Research has shown that people’s green attitudes significantly impact their green purchasing behaviors [29,35,39]. One scholar discovered that consumers’ favorable attitudes towards environmentally friendly products are strongly linked to their willingness to pay more for them [40].
Furthermore, regarding services such as eco-hotels, trust is a crucial factor in consumer decision-making. This is especially important since there is often uncertainty before experiencing the service [41]. However, building trust between a hotel and its guests is crucial. This trust is formed when guests have their expectations met and have a positive experience during their stay. A guest’s memories of their previous stay can significantly impact their expectations and perception of the service provided during their current visit. Therefore, hotels must ensure that their guests have a satisfying experience every time they stay to foster a long-lasting relationship. Prior research in the eco-hotel context has primarily focused on investigating the moderating effect of prior experience on the association between behavior and trust. In contrast, the present study aims to explore the direct influence of prior experience on trust in ecological hotels.
Hypothesis H2.
Previous experience has a positive influence on customer trust in the hotel’s green practices.
In green marketing, consumers rely on “green trust” to feel less anxious about buying environmentally responsible products or services [42]. For tourists who choose eco-hotels, it is vital to have confidence in the measures the hotel takes to protect the environment. Tourists with high environmental knowledge would feel more confident in choosing a green hotel [37].
Environmental knowledge is defined as the degree of understanding that tourists have about the relevance of environmental conservation [43]. It is important to note that this environmental knowledge plays a fundamental role in creating environmental awareness, which in turn translates into favorable attitudes towards the environment, also known as environmental attitudes [44]. These attitudes, driven by acquired knowledge, tend to influence individuals’ adoption of pro-environmental behaviors. In summary, environmental knowledge acts as a catalyst that fosters knowledge and positive attitudes toward the natural environment, thus stimulating behaviors that contribute to protecting and conserving the environment.
Hypothesis H3.
Environmental knowledge has a positive influence on customer trust in a hotel’s eco-friendly practices.
Furthermore, the importance of eco-friendly initiatives in the hospitality industry has become increasingly apparent, and guests are gradually seeking out hotels that prioritize environmentally responsible practices. As such, hotels with a track record of implementing eco-friendly initiatives will likely be viewed more favorably by discerning travelers [32]. Past research indicates that customers’ commitment to preserving the environment is often linked to their psychological connection with nature; this connection plays a significant role in shaping individuals’ environmental attitudes and intentions [45,46]. It is worth noting that commitment reflects a mental state characterized by a strong connection or dedication to a particular behavior or action [45,47]. According to Yue et al. (2020) [4], when individuals prioritize their pro-environmental behaviors in alignment with their personal values, such as environmental commitment, their motivation to act increases. On the other hand, if their pro-environmental behaviors do not align with their personal commitment, they are less likely to engage in them. Making a commitment to the environment can significantly improve an individual’s attitude toward it, leading to greater respect [48].
Hypothesis H4.
An environmental commitment has a positive influence on customer trust in a hotel’s environmentally friendly practices.
The previous research findings and the need to update the understanding of green consumption in the demographic context led to the formulation of hypotheses. These hypotheses aimed to investigate the demographic characteristics that influence consumers’ current green behavior. Furthermore, to explore the relationship between these characteristics, their previous experiences, level of knowledge, and sense of responsibility toward strengthening trust, the following hypothesis was developed:
Hypothesis H5.
Demographic profiles moderate the effects of previous experience, ecological knowledge, and environmental commitment toward green trust.
According to the above, the research model was drawn (Figure 1).

3. Methodology

3.1. Data Sample and Collection

The present study employs a quantitative methodology to investigate the relationship between consumers’ trust in green practices within the hospitality industry and their demographic characteristics, level of knowledge, commitment, and prior experience. To obtain data on these variables, an online digital survey was administered using Google Forms. This approach is a highly efficient and convenient method of gathering responses, particularly when targeting a diverse and geographically dispersed audience. The survey was conducted over four months, from February to May 2023, to ensure data collection over an extended time frame. The survey was widely disseminated through social networks and the Click-Workers platform, which provides both standard and customized solutions for data-oriented projects, including text creation, surveys, and sentiment analysis. The Click-Workers platform has been certified in accordance with ISO 27001 for its Information Security Management System (ISMS) [49]. ISO 27001 is a certification that assists companies in enhancing their cybersecurity and privacy protection measures. International Organization for Standardization (ISO) is located in Geneva, Switzerland [50].
The survey conducted was entirely anonymously and did not require any personal information from the respondents, such as names, phone numbers, or email addresses. The purpose and conditions of the survey were explicitly communicated in the header or description of the form, and participants were given the option to decline their participation at any time. The respondents’ consent was entirely voluntary, and the survey form ensured the privacy of their data by not requesting any sensitive information or email addresses. Great care was taken in safeguarding the confidentiality of the respondents’ information.
The research aimed to survey individuals with a keen interest in the travel and tourism industry, as determined through the Click-Workers platform. A random sampling method was employed to select participants from all Latin American countries that satisfied the initial criteria, ensuring equal opportunities for participation and resulting in a diverse sample from multiple countries within the region. It is important to highlight that the study viewed the respondents as a collective representation of Latin America rather than considering their individual countries of origin. A total of 175 responses were gathered, with three responses being excluded due to inconsistent answers.

3.2. Variable Measurement

The survey questionnaire assessed various important aspects of green trust in the hospitality industry in Latin America. It included questions about the participants’ demographics, knowledge about green issues, commitment to the environment or ecological practices, and past experiences with green hotels. Those variables were categorized into groups, as displayed in Table 1. In regard to the query about “previous experience,” respondents were given the options of “no”, “yes”, and “I am not aware”, which were ranked on a scale of 0 to 2. The inclusion of “I am not aware” as a neutral choice was intentional, as some customers may not be certain if they stayed in eco-friendly hotels, especially if they did not make the reservation themselves. A comparable approach was also utilized for the question of “ecological knowledge”, where “somewhat” pertains to individuals who possess basic ecological knowledge but may not have a complete understanding of the topic. This method allowed respondents to accurately evaluate their level of experience and knowledge, especially in scenarios where customers may not have been the primary reservation-makers or were uncertain about their experiences. It also addressed situations where individuals had some ecological knowledge but lacked a comprehensive understanding of the subject.
To measure green trust, five items on a Likert scale were established (a common technique for measuring attitudes and opinions) ranging from one to five; 1 entails strongly disagree, and 5 strongly agree [51]. The items were based on the construct outlined by Bashir et al. (2020) [52] and included the following statements: (a) Green hotels can be trusted to fulfill their environmental commitments, (b) Green hotels are reliable in terms of their environmental performance, (c) Green hotels are trustworthy in terms of their arguments in favor of environmental conservation, (d) Green hotels meet my expectations when it comes to environmental concerns, and (e) Green hotels are genuine and truthful in their efforts to protect the environment. The variables’ coding method is shown in Table 1, which depicts the definition of each variable and its measurement indices.
All of the variables in this study were measured using categorical scales, including both the independent and demographic variables. Only the dependent variable was transformed into a numerical variable by calculating the mean of the five indicators. This allowed the performance of correlation analyses. Independent variables are described by a nonmetric measurement scale. The advantage of this type of attribute is that it can be discrete in the sense that by having one particular feature, all other features can be excluded, and there can be an amount of “present” or “absent” of the attribute. Measurement of dependent variables using metric techniques in order to better understand “green trust” under multivariate analysis [53]. The questionnaire was prepared in Spanish to ensure that participants could understand and answer the questions effectively and to avoid any potential linguistic barriers.

3.3. Data Analysis

For this study, initially, descriptive population data will be analyzed to understand the percentage distribution. Subsequently, ANOVA (Analysis of Variance), a statistical technique used to compare the means of two or more groups [54], will be employed to analyze the participants’ demographic profiles. This will enable the evaluation of the correlation between green trust and demographic variables, thereby assessing possible significant differences among participant groups. Additionally, ANOVA will also be conducted to determine whether there are differences in the social profiles of respondents concerning ecological knowledge, commitment, and prior experience.
In the third phase, Partial least squares structural equation modeling (PLS-SEM) was used to test the proposed hypotheses. SEM is a powerful statistical tool that allows the specification of complex inter-relationships between observed and latent variables [55]. The method used is PLS or partial least squares, also known as PLS-SEM. This has higher statistical power levels than CB-SEM, making it more suitable for small sample sizes or complex models. It is more flexible regarding model specifications and data requirements, allowing researchers to include reflective and formative measurement models in the same analysis [56]. It is important to highlight that this study is exploratory and performed with categorical predictors. Consequently, it does not provide inner and outer model assessment, as rigorous scholarship might suggest (measurement items’ reliability and validity, goodness of fit, tests to prevent endogeneity problems or collinearity) [53]. The software that was executed for running the PLS-SEM assessment is SMARTPLS, version 4. It has several advantages for PLS-SEM analysis, including its ease-of-use and frictionless design [55].

4. Results

4.1. Descriptive Demographic Profile

The survey results show the breakdown of the sample population based on various demographic categories, including gender, age, education, and income from Latin American participants. Table 2 reveals that the gender distribution is almost equal, with 51.2% men and 48.8% women. Most respondents fall within the 25–34 age group (33.1%), followed by the 35–44 age group (33.7%). The young ages (18 to 24 years) and adults (55 to 64 years and 65+) age groups are less represented, with 17.4%, 1.7%, and 0.6%, respectively. Regarding education level, over half of the surveyed population (57.6%) have completed university studies or possess a university degree. Only a small percentage (2.3%) reported having less than a secondary education. The secondary and postgraduate education levels have similar representation, at 20.3% and 19.8%, respectively. The income distribution shows that the majority of respondents fall under the category of “USD9999 or less”, representing 39.0% of those surveyed, tailed by the income range of “USD10,000–USD24,999” at 25.0% and “USD75,000 or more” at 18.6%. The income categories of “USD50,000–USD74,000” and “USD25,000–USD49,999” have a lower representation, at 5.2% and 12.2%, respectively.

4.2. Variable Descriptive Analysis

Table 3 displays the findings of a study involving 172 participants from Latin America. The data are divided into three main categories: “Previous Experience”, “Ecological Knowledge”, and “Ecological Commitment”, along with a score called “Green Trust”. The results indicate a relatively equal split between respondents with and without experience with eco-friendly hotels. Around 41% reported having stayed in eco-friendly hotels, while a similar percentage said they had not. However, about 17% were uncertain if they had. This implies that the hospitality industry’s demand for eco-friendly hotels is increasing as they become more visible and sought-after.
In terms of environmental knowledge, the majority of participants, that is, 50.6%, consider themselves to have a strong understanding of eco-friendly practices. This suggests that a significant percentage of respondents tend to be well-informed about the importance of protecting the environment, its issues, and possible actions to mitigate the negative effects [43]. Knowledge may play a decisive role in their intention to visit a green hotel. Additionally, 29.1% of Latin Americans surveyed admitted to being somewhat familiar with green policies in the hospitality industry.
Furthermore, 21.5% of the Latin American sample seek hotels with eco-friendly practices or green certification, showing a high commitment in terms of environmental consumption. According to Fauzi et al. (2022) [45], when people feel a strong emotional connection with nature, they tend to become more committed to protecting the environment [45]. This psychological attachment to nature can motivate individuals to take action and make environmentally conscious choices. Nonetheless, a significant majority (78.5%) did not consider eco-friendliness initiatives a top priority when selecting accommodations.
The “Green Trust” variable was developed to assess respondents’ trust in hotel green policies. The average score of 3.72 suggests a moderate level of trust and credibility towards accommodations concerning their eco-friendly policies. These findings underscore the importance of the hotel industry’s commitment to sustainability practices to promote environmentally responsible choices among consumers.

4.3. Analysis of Variations in Demogaphic Features

In order to answer the question RQ1, the first analysis procedure analysis of variance [57] results is presented in Table 4, which indicates whether significant differences exist between the categories of Latin American demographic features relating to previous experience, commitment, ecological knowledge, and trust. The analysis of the age variable revealed that there is no significant difference (p > 0.05) in trust, ecological knowledge, and previous experience among various age groups. However, when it comes to measuring people’s emotional, psychological, and conscious connection to environmental protection, which is the “Commitment” factor, age plays a significant role (p < 0.001).
Interestingly, despite being one of the most common ages in the survey, the age group of “25–34” has shown a low commitment towards the environment. Out of the 57 participants in this age group, 43 answered “no” when asked if they seek out hotels with ecological practices or green certification. This implies that 75.4% of Latin Americans surveyed do not feel a strong connection to environmental care. Similarly, respondents between 35–44 years old also disclosed a lack of commitment towards green consumption, with 91.4% not being very dedicated in this context. Conversely, individuals aged 18–24 years old (11 out of 30 participants) had higher levels of compromise regarding the environment. While some scholars have suggested that older individuals have greater pro-environmental commitment due to past experiences [17,20], the data suggests that younger people tend to be more concerned about the environment.
Additionally, according to ANOVA outcomes, demographic factors such as gender, education, and income level do not appear to significantly influence individuals’ attitudes and behaviors toward eco-friendly practices or initiatives in Latin America. This finding emerged from an analysis of data collected from a diverse group of participants with varying levels of education and income, as well as both male and female gender. As such, it may be concluded that demographic factors have a negligible effect on individuals’ pro-environmental behaviors.

4.4. Direct Relationship between Predictors toward Trust

For the purpose of answering RQ2, SEM is used for regression analysis and moderation testing. It is worth mentioning that the categorical item constructs employed in this research preclude their assessment in terms of validity and reliability. Hence, the models presented in this study, although limited in their scope, offer valuable insights into the various factors that contribute to the main purpose.
The first model examined is a regression study that examines the correlation between various predictor variables, including age, education, gender, income, previous experience (PE), commitment (EC), eco-knowledge (EK), and the outcome variable, green trust (GT), which pertains to trust in ecological practices. Results indicate that age (ß = −0.013; t = 0.181; p > 0.05), education (ß = −0.024; t = 0.364; p > 0.05), gender (ß = −0.233; t = 1.613; p > 0.05), and income (ß = 0.106; t = 1.495; p > 0.05) do not exhibit a significant relationship with green confidence levels. As a result, hypothesis (H1) is rejected, concluding that the demographic profile of Latin American participants has no effect on trust towards eco-friendly practices of green hotels. It can, therefore, be inferred that other factors have a greater impact on the increase in levels of green confidence.
Conversely, variables such as previous experience (ß = 0.155; t = 2.513; p < 0.01), commitment (ß = 0.538; t = 3.719; p < 0.001), and eco-knowledge (ß = 0.165; t = 2.446; p < 0.014) were discovered to have a significant positive influence on changes in green trust levels; thus, hypotheses 2–4 can be accepted (see Table 5). Additionally, the R2 value for the first model was 0.153, indicating that only 15% of the change in green confidence levels is accounted for by the predictor variables entered.

4.5. The Moderation Effect of the Latin America Demographic Profile

In model 2, the determination report R2 value stands at 0.216, indicating that 21.6% of the variation in green trust can be explained by using the independent variables and moderation variables that were considered during the analysis. The results of Table 6 and Figure 2 indicate the moderation effects of various demographic variables and the predictor variables (previous experience, commitment, and ecological knowledge) on green trust (GT). The findings of the second model suggest that demographic factors such as age, gender, education, and income do not significantly impact green trust (p > 0.05). This conclusion aligns with the observations of model 1. Nevertheless, unlike model 1, the analysis indicates that there is no substantial association between the level of previous experience and the level of green trust (ß = 0.078; t = 0.846; p < 0.05) in this specific interaction model. Consequently, the direct effect of prior experience cannot explain the changes in trust levels concerning green hotels among the Latin American sample. Therefore, this model rejects the first and second hypotheses. In contrast, the direct effects for EC -> GT (ß = 0.637; t = 2.999; p < 0.01) and EK -> GT (ß = 0.208; t = 2.431; p < 0.05) are noteworthy and lend support to Hypotheses 3 and 4.
Furthermore, the interaction of age between a previous experience (ß = −0.082; t = 0.965; p > 0.05), ecological knowledge (ß = −0.058; t = 0.731; p > 0.05), and commitment (ß = 0.087; t = 0.502; p > 0.05) towards green trust does not have a significant effect. This implies that the age of participants did not have a significant impact on the relationship between green trust and predictor variables. Additionally, a similar result is reflected in the moderation of gender and income, whose p-value is <0.05. However, it was observed that the education level (ß = 0.173; t = 2.216; p < 0.05) of Latino participants did have a moderating effect on the relationship between ecological knowledge and green trust. Hence, it seems that individuals with higher academic achievements are more likely to have a deeper understanding of environmental problems and policies, which can lead to a more trusting attitude towards eco-friendly practices promoted by green hotels. Although the ANOVA analysis revealed no differences between the education and ecological knowledge groups in terms of the degree of relationship between EK and GT, the interaction between the two groups did seem to strengthen the relationship between the two groups. Interaction plots are depicted in Appendix A. The illustration of the interaction between demographic profiles and ecological knowledge is provided in Figure A1. Figure A2 displays the interaction between previous experience and demographic profiles. Figure A3 illustrates the interaction between demographic profiles and environmental commitment.
Upon analyzing the data, it was discovered that demographic variables such as gender, age, and income do not significantly impact the relationship between predictors and green trust, with the exception of the Education x EK -> GT relationship. On their own, Latin Americans’ demographic variables do not directly affect green trust. However, their interaction with commitment (in the case of ANOVA) and ecological knowledge (in model 2) may be critical in comprehending differences in trust toward eco-friendly practices. Further examination of consumer behavior regarding green consumption issues is necessary, as prior research has demonstrated. Even in Latin America, more investigation is required due to its multicultural nature and varied natural resources, policies, and social currents that can influence behavior, acceptance, and understanding of ecological practices, environmental problems, and consumer intentions.

5. Discussion and Conclusions

5.1. Discussion

The approach of this study is to examine the link between demographics and factors such as environmental commitment (EC), knowledge (EK), previous experience (PE), and green trust (GT) among Latin American individuals. The findings indicate that variables such as age, education, gender, and income do not have a significant direct impact on GT. However, the study highlights intriguing moderation effects, where the level of education of the participants plays a moderating role in the relationships between eco-knowledge variables and GT.
According to the study, there were no notable variations in confidence, ecological knowledge, and prior experience across different age ranges. However, age has been identified as a significant factor in determining ecological commitment. The research indicates that individuals between the ages of 25 and 34 years (the average adult age) have lower levels of commitment towards environmental protection in terms of green consumption. In contrast, those between the ages of 18 and 24 years exhibit higher environmental awareness and a preference for ecological accommodations. These findings challenge the commonly held belief that older people are more engaged and committed to green consumption [20].
The research conducted a thorough analysis of personal characteristics and concluded that age plays a significant role in consumer behavior, corroborating previous research claims [17,20,29,58]. Those who prioritize eco-friendly accommodations often seek innovative information, and the younger generation tends to be more immersed in digital media [59], motivating them to choose environmentally conscious lodging options [60]. Younger individuals have a broader understanding of the benefits of staying in green environments, as evidenced by Han et al. (2011) [29]. However, the study did not reveal any significant difference in ecological knowledge across age groups.
The regression analysis results (models 1 and 2) indicate that demographic variables, including age, education, gender, and income, do not have a significant, direct impact on the level of trust in green hotels in Latin America. Essentially, these factors alone cannot account for why individuals trust green hotels. Instead, psychological factors such as past experiences, environmental commitment, and eco-knowledge are more influential in cultivating trust in hotel green practices. However, in this study approach, these variables only account for a small percentage of the change in green trust. Therefore, other internal or external factors, such as personal attitudes, attributes, norms, perceptions, communication, location, or hotel infrastructure, may impact trust development in green hotel practices.
Notably, environmental commitment and knowledge have a positive impact on green trust, suggesting that people who are more committed to environmental protection and have greater ecological knowledge tend to increase their trust in green hotel practices. Furthermore, it is observed that the relationship between ecological knowledge and green trust is strengthened by the Latin American educational level. This indicates that individuals in Latin America with higher education levels are more likely to trust green hotels due to their greater understanding of environmental policies and issues.

5.2. Implications

The study’s findings indicate a statistically significant correlation between Latin American individuals’ age and their level of environmental commitment, which consequently affects their inclination to adopt eco-friendly behaviors and choose environmentally responsible hotels. These results are consistent with the theories presented in prior research [17,18,19,20,29]. Thus, hotel companies seeking to encourage green consumption practices can derive strategic benefits from considering age-related factors as a critical element of their marketing strategies. This would entail implementing informative, educational, and promotional campaigns that underscore the company’s environmental commitment and engage customers in environmental issues. By following this approach, hotel companies can effectively promote eco-friendly practices and contribute to a green future.
Furthermore, comprehending how guests’ demographic profiles impact their trust in hotels’ eco-friendly practices presents significant opportunities to enhance strategic areas, such as property image, attributes, information dissemination, staff training, and other factors highlighted by scholars that directly influence trust generation and green consumption [7,22]. In practical terms, the study’s results emphasize the significance of marketing and communication strategies that concentrate on promoting environmental engagement and ecological knowledge among their target audience in Latin America.
To increase customer confidence in green practices, hotels must prioritize creating positive experiences that foster environmental care commitment. One effective approach is to promote ecological knowledge and environmental education among customers. Providing information on the positive impact of these practices and how clients can contribute can also be beneficial. By doing so, hoteliers can create a culture of environmental responsibility, increasing customer visiting intentions and promoting green practices in the wider community. Latin American consumers who possess ecological knowledge are more likely to trust in green practices claims. This trust is strengthened when companies are transparent about their environmental impact and take measures to reduce it.
Moreover, education also plays a significant role in reinforcing the relationship between ecological knowledge and trust in environmentally friendly practices. Hence, companies can benefit by targeting consumers according to education levels and providing a more accurate campaign. Since this study focused on Latin America as a region, it is important to recognize that attitudes and behaviors toward environmental care may be influenced by specific cultural factors. Strategies must be adapted to take these cultural differences into account.

5.3. Conclusions

In this study approach, data from 172 individuals residing in Latin America were examined. It was highlighted that when assessing green trust, it is important to evaluate the interaction between demographic variables and key predictors such as environmental commitment, knowledge, and previous experience, as well as their interplay with each other. Despite the fact that demographic variables alone cannot account for some of the variance in green trust, ecological knowledge, and commitment can have a noteworthy effect on trust towards environmentally friendly practices in a significant way. A critical aspect of these findings is to provide valuable insight into the ways in which Latin American consumers think about green consumption and how they behave.
A hotel that prioritizes the use of eco-friendly practices can appeal to a particular group of consumers who are environmentally conscious. This, in turn, may enhance the hotel’s reputation and instill confidence in its green initiatives, resulting in a surge in bookings for Latin America hotels. It is noteworthy that environmental concerns and ecological care play a significant role in consumers’ hotel choices. Consumers hold in high esteem hotels that actively strive to promote sustainability, and such hotels’ “green” trustworthiness is a critical factor in their accommodation selection. Moreover, a hotel’s genuine commitment to green practices and ecological knowledge of environmental issues can have a substantial impact on consumer confidence in its eco-friendly efforts.

6. Limitation and Future Studies

There are a few limitations to the present study that should be noted. First, the study is focused solely on Latin America and has a relatively small sample size of 172 respondents. Additionally, the questions used for analysis were limited to close-ended dichotomic categories or a maximum of three indicators, which may obscure the relationships between predictor variables and the outcome. In light of the different levels of measurement, it may be possible to explore metric data for independent variables in order to improve an operation with a constant unit of measurement [53]. As a result, the generalizability of the findings to other populations and geographic locations may be limited. Finally, it is worth noting that the data collection was not stratified, which means that the distribution of observations for gender is not equal for men and women. This may also impact the final findings.
In the hospitality industry, building trust with guests and promoting sustainable consumption are of paramount importance. However, it is imperative to note that a deeper understanding of the impact of intrinsic and extrinsic factors on guests’ attitudes and behaviors towards eco-friendly practices in the hospitality industry is necessary. Knowledge, commitment, and trust differ according to cultural context and socioeconomic level, opting for a larger sample and stratifying by age, gender, and nationality will be the first step on complex and holistic future analysis. Further research is therefore warranted to shed light on this important aspect, including external factors, a planned behavior theory approach, and a bigger sample size.

Author Contributions

Supervision, H.-S.K.; Writing—original draft, Y.L.M.B. and J.W. All authors have read and agreed to the published version of the manuscript.

Funding

This research was financially supported by the Ministry of Trade, Industry and Energy, Korea, under the “World Class Plus Program (R&D, P0020673)” supervised by the Korea Institute for Advancement of Technology (KIAT).

Institutional Review Board Statement

Ethical review and approval were waived for this study due to was conducted anonymously, optional, and did not involve the collection of personal data.

Informed Consent Statement

Informed consent was obtained from all subjects involved in the study. Additionally, the survey was anonymous and highlighted that returning a completed questionnaire constitutes consent to participate.

Data Availability Statement

Not applicable.

Conflicts of Interest

The authors declare no conflict of interest.

Appendix A

Figure A1. This is a figure describing ecological knowledge interaction among demographic profiles: (a) Interaction plots between age x Ecological knowledge to green trust. (b) Interaction plots between gender x Ecological knowledge to green trust. (c) Interaction plots between Education level x Ecological knowledge to green trust. (d) Interaction plots between incomes x Ecological knowledge to green trust.
Figure A1. This is a figure describing ecological knowledge interaction among demographic profiles: (a) Interaction plots between age x Ecological knowledge to green trust. (b) Interaction plots between gender x Ecological knowledge to green trust. (c) Interaction plots between Education level x Ecological knowledge to green trust. (d) Interaction plots between incomes x Ecological knowledge to green trust.
Sustainability 15 15219 g0a1
Figure A2. This is a figure describing previous experience interaction among demographic profiles: (a) Interaction plots between age x previous experience to green trust. (b) Interaction plots between gender x previous experience to green trust. (c) Interaction plots between Education level x previous experience to green trust. (d) Interaction plots between incomes x previous experience to green trust.
Figure A2. This is a figure describing previous experience interaction among demographic profiles: (a) Interaction plots between age x previous experience to green trust. (b) Interaction plots between gender x previous experience to green trust. (c) Interaction plots between Education level x previous experience to green trust. (d) Interaction plots between incomes x previous experience to green trust.
Sustainability 15 15219 g0a2aSustainability 15 15219 g0a2b
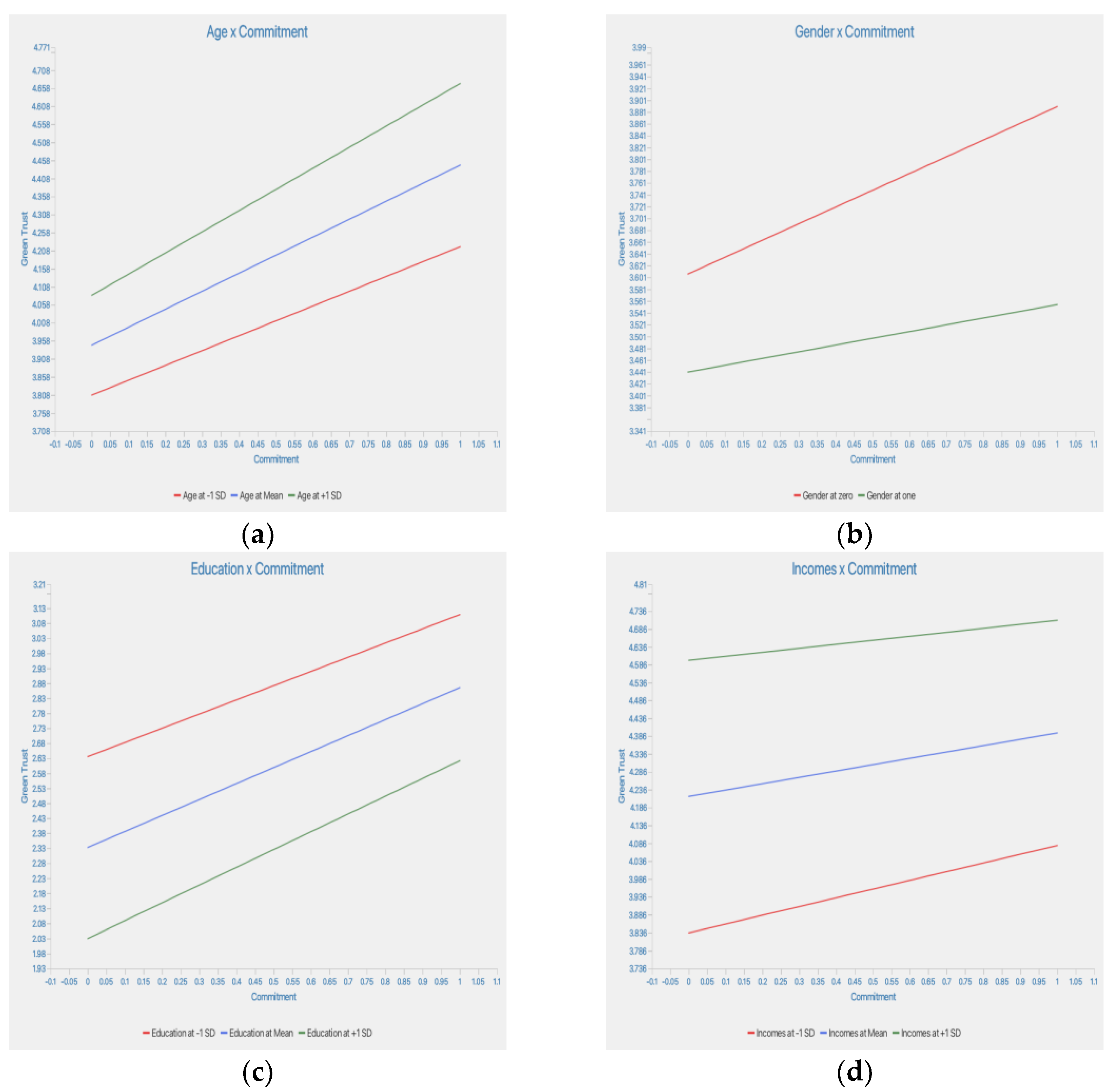
Figure A3. This is a figure describing environmental commitment interaction among demographic profiles: (a) Interaction plots between age x environmental commitment to green trust. (b) Interaction plots between gender x environmental commitment to green trust. (c) Interaction plots between Education level x environmental commitment to green trust. (d) Interaction plots between incomes x environmental commitment to green trust.
Figure A3. This is a figure describing environmental commitment interaction among demographic profiles: (a) Interaction plots between age x environmental commitment to green trust. (b) Interaction plots between gender x environmental commitment to green trust. (c) Interaction plots between Education level x environmental commitment to green trust. (d) Interaction plots between incomes x environmental commitment to green trust.
Sustainability 15 15219 g0a3

References

  1. Mammadli, M.; Sadik-Zada, E.; Gatto, A.; Huseynova, R. What Drives Public Debt Growth? A Focus on Natural Resources, Sustainability and Development. Int. J. Energy Econ. Policy 2021, 11, 614–621. [Google Scholar] [CrossRef]
  2. UN Transforming Our World: The 2030 Agenda for Sustainable Development. Available online: https://sdgs.un.org/2030agenda (accessed on 10 August 2023).
  3. Zeynalova, Z.; Namazova, N. Revealing Consumer Behavior toward Green Consumption. Sustainability 2022, 14, 5806. [Google Scholar] [CrossRef]
  4. Yue, B.; Sheng, G.; She, S.; Xu, J. Impact of Consumer Environmental Responsibility on Green Consumption Behavior in China: The Role of Environmental Concern and Price Sensitivity. Sustainability 2020, 12, 2074. [Google Scholar] [CrossRef]
  5. OECD Latin American Economic Outlook 2022: Towards a Green and Just Transition. Available online: https://repositorio.cepal.org/server/api/core/bitstreams/3f2d1169-2468-4e33-9d14-e553af4ab5cc/content (accessed on 13 August 2023).
  6. Lenzen, M.; Sun, Y.Y.; Faturay, F.; Ting, Y.P.; Geschke, A.; Malik, A. The carbon footprint of global tourism. Nat. Clim. Chang. 2018, 8, 522–528. [Google Scholar] [CrossRef]
  7. Wang, L. Determinants of Consumers Purchase Attitude and Intention Toward Green Hotel Selection. J. China Tour. Res. 2020, 18, 203–222. [Google Scholar] [CrossRef]
  8. Han, H. Consumer behavior and environmental sustainability in tourism and hospitality: A review of theories, concepts, and latest research. J. Sustain. Tour. 2021, 29, 1021–1042. [Google Scholar] [CrossRef]
  9. Booking Distribution of Global Travelers Intending to Stay at Least Once in an Eco-Friendly or Green Accommodation when Looking at the Year ahead from 2016 to 2022. Available online: https://www.statista.com/statistics/1055777/sustainable-travel-travelers-staying-in-green-lodging-in-the-next-year/ (accessed on 28 April 2023).
  10. Han, H.; Yu, J.; Lee, J.S.; Kim, W. Impact of hotels’ sustainability practices on guest attitudinal loyalty: Application of loyalty chain stages theory. J. Hosp. Mark. Manag. 2019, 28, 905–925. [Google Scholar] [CrossRef]
  11. Assaker, G. The effects of hotel green business practices on consumers’ loyalty intentions: An expanded multidimensional service model in the upscale segment. Int. J. Contemp. Hosp. Manag. 2020, 32, 3787–3807. [Google Scholar] [CrossRef]
  12. Balaji, M.S.; Jiang, Y.; Jha, S. Green hotel adoption: A personal choice or social pressure? Int. J. Contemp. Hosp. Manag. 2019, 31, 3287–3305. [Google Scholar] [CrossRef]
  13. Ardiansyah, I.; Iskandar, H. In Implementation of Green Hotel Management 5-Star Hotel in Jakarta, Case Study: The Dharmawangsa Hotel Jakarta, IOP Conference Series: Earth and Environmental Science; IOP Publishing: Bristol, UK, 2021; p. 012034. [Google Scholar]
  14. Acampora, A.; Preziosi, M.; Lucchetti, M.C.; Merli, R. The Role of Hotel Environmental Communication and Guests’ Environmental Concern in Determining Guests’ Behavioral Intentions. Sustainability 2022, 14, 11638. [Google Scholar] [CrossRef]
  15. Lee, W.H.; Cheng, C.C. Less is more: A new insight for measuring service quality of green hotels. Int. J. Hosp. Manag. 2018, 68, 32–40. [Google Scholar] [CrossRef]
  16. Sultana, N.; Amin, S.; Islam, A. Influence of perceived environmental knowledge and environmental concern on customers’ green hotel visit intention: Mediating role of green trust. Asia-Pac. J. Bus. Adm. 2022, 14, 223–243. [Google Scholar] [CrossRef]
  17. Gifford, R.; Nilsson, A. Personal and social factors that influence pro-environmental concern and behaviour. A review. Int. J. Psychol. 2014, 49, 141–157. [Google Scholar] [CrossRef]
  18. Ibok, N.I.; Etuk, S.G. Socio-economic and demographic determinants of green consumption. Int. J. Manag. Stud. Res. 2014, 2, 47–56. [Google Scholar]
  19. Kubickova, M.; Nusair, K.; Parsa, H. Does green hotel image influence guests’ behavior: The case of generation Y. J. Serv. Res. 2014, 14, 9–31. [Google Scholar]
  20. Gilg, A.; Barr, S.; Ford, N. Green consumption or sustainable lifestyles? Identifying the sustainable consumer. Futures 2005, 37, 481–504. [Google Scholar] [CrossRef]
  21. Golnaz, R. Consumers’ awareness and consumption intention towards green foods. Afr. J. Bus. Manag. 2012, 6, 4496–4503. [Google Scholar] [CrossRef]
  22. Nair, S.R.; Little, V.J. Context, Culture and Green Consumption: A New Framework. J. Int. Consum. Mark. 2016, 28, 169–184. [Google Scholar] [CrossRef]
  23. Sharma, T.; Chen, J.S.; Ramos, W.D.; Sharma, A. Visitors’ eco-innovation adoption and green consumption behavior: The case of green hotels. Int. J. Contemp. Hosp. Manag. 2023. ahead-of-print. [Google Scholar] [CrossRef]
  24. Han, H.; Yoon, H.J. Hotel customers’ environmentally responsible behavioral intention: Impact of key constructs on decision in green consumerism. Int. J. Hosp. Manag. 2015, 45, 22–33. [Google Scholar] [CrossRef]
  25. Lastra, X.; Casares, L. Clean technologies and green services’ implementation in accommodation establishments at the urban area of Otavalo, Ecuador. Rev. Interam. Ambiente Y Tur. RIAT 2020, 16, 23–34. [Google Scholar] [CrossRef]
  26. SELA, Spotlight on Publications: Pursuing a Green Economy in Latin America. Sistema Económico Latinoamerica United Kingdom. 2012. Available online: https://assets.publishing.service.gov.uk/media/57a08a3640f0b649740004a8/131113_ENV_TheGreEco_SPOTKNOW1.pdf (accessed on 16 June 2023).
  27. Herrera, C. Earth Day: How Green Are Latin American Countries? Available online: https://www.nrdc.org/bio/carolina-herrera/earth-day-how-green-are-latin-american-countries (accessed on 17 September 2023).
  28. OECD Monitoring Green Growth in the Latin America and the Caribbean (LAC) Region: Progress and Challenges. Available online: https://www.oecd.org/greengrowth/Booklet_English_LAT%202015.pdf (accessed on 17 September 2023).
  29. Han, H.; Hsu, L.T.J.; Lee, J.S.; Sheu, C. Are lodging customers ready to go green? An examination of attitudes, demographics, and eco-friendly intentions. Int. J. Hosp. Manag. 2011, 30, 345–355. [Google Scholar] [CrossRef]
  30. Fu, Y.; Kok, R.A.; Dankbaar, B.; Ligthrt, P.E.; van Riel, A.C. Factors affecting sustainable process technology adoption: A systematic literature review. J. Clean. Prod. 2018, 205, 226–251. [Google Scholar] [CrossRef]
  31. Wolfe, K.; Shanklin, C. Environmental Practices and Management Concerns of Conference Center Administrators. J. Hosp. Tour. Res. 2001, 25, 209–216. [Google Scholar] [CrossRef]
  32. Han, H.; Kim, Y. An investigation of green hotel customers’ decision formation: Developing an extended model of the theory of planned behavior. Int. J. Hosp. Manag. 2010, 29, 659–668. [Google Scholar] [CrossRef]
  33. GHA What Are Green Hotels? Available online: http://www.greenhotels.com (accessed on 11 August 2023).
  34. Yu, Y.; Li, X.; Jai, T.M. The impact of green experience on customer satisfaction: Evidence from TripAdvisor. Int. J. Contemp. Hosp. Manag. 2017, 29, 1340–1361. [Google Scholar] [CrossRef]
  35. Moise, M.S.; Gil-Saura, I.; Ruiz-Molina, M.E. Effects of green practices on guest satisfaction and loyalty. Eur. J. Tour. 2018, 20, 92–104. [Google Scholar] [CrossRef]
  36. Samdahl, D.; Robertson, R. Social Determinants of Environmental Concern: Specification and Test of the Model. Environ. Behav. 1989, 21, 57–81. [Google Scholar] [CrossRef]
  37. Chou, C.J.; Chen, P.C. Preferences and Willingness to Pay for Green Hotel Attributes in Tourist Choice Behavior: The Case of Taiwan. J.Travel Tour. Mark. 2014, 31, 937–957. [Google Scholar]
  38. Rodríguez, C.; Jacob, M.; Florido, C. Socioeconomic Profile of Tourists with a Greater Circular Attitude and Behaviour in Hotels of a Sun and Beach Destination. Int. J. Environ. Res. Public Health 2020, 17, 9392. [Google Scholar] [CrossRef]
  39. Kalafatis, S.P.; Pollard, M.; East, R.; Tsogas, M.H. Green marketing and Ajzen’s theory of planned behaviour: A cross-market examination. J. Consum. Mark. 1999, 16, 441–460. [Google Scholar] [CrossRef]
  40. Laroche, M.; Bergeron, J.; Barbaro-Forleo, G. Targeting consumers who are willing to pay more for environmentally friendly products. J. Consum. Mark. 2001, 18, 503–520. [Google Scholar] [CrossRef]
  41. Parasuraman, A.; Zeithaml, V.A.; Berry, L. SERVQUAL: A multiple-item scale for measuring consumer perceptions of service quality. J. Retail. 1988, 64, 12–40. [Google Scholar]
  42. Ponnapureddy, S.; Priskin, J.; Ohnmacht, T.; Vinzenz, F.; Wirth, W. The influence of trust perceptions on German tourists’ intention to book a sustainable hotel: A new approach to analysing marketing information. J. Sustain. Tour. 2017, 25, 970–988. [Google Scholar] [CrossRef]
  43. Kusumawati, A.; Utomo, H.S.; Suharyono, S.; Sunarti, S. Effects of sustainability on WoM intention and revisit intention, with environmental awareness as a moderator. Manag. Environ. Qual. 2020, 31, 273–288. [Google Scholar] [CrossRef]
  44. Antimova, R.; Nawijn, J.; Peeters, P. The awaremness/attitude-gap in sustainable tourism: A theoretical perspective. Tour. Rev. 2012, 67, 7–16. [Google Scholar] [CrossRef]
  45. Fauzi, M.A.; Hanafiah, M.H.; Kunjuraman, V. Tourists’ intention to visit green hotels: Building on the theory of planned behaviour and the value-belief-norm theory. J. Tour. Futures 2022. ahead-of-print. [Google Scholar] [CrossRef]
  46. Yusliza, M.Y.; Amirudin, A.; Rahadi, R.A.; Nik Sarah Athirah, N.A.; Ramayah, T.; Muhammad, Z.; Dal Mas, F.; Massaro, M.; Saputra, J.; Mokhlis, S. An investigation of pro-environmental behaviour and sustainable development in Malaysia. Sustainability 2020, 12, 7083. [Google Scholar] [CrossRef]
  47. Afsar, B.; Umrani, W.A. Corporate social responsibility and pro-environmental behavior at workplace: The role of moral reflectiveness, coworker advocacy, and environmental commitment. Corp. Soc. Responsib. Environ. 2020, 27, 109–125. [Google Scholar] [CrossRef]
  48. Cop, S.; Alola, U.V.; Alola, A.A. Perceived behavioral control as a mediator of hotels’ green training, environmental commitment, and organizational citizenship behavior: A sustainable environmental practice. Bus. Strategy Environ. 2020, 29, 3495–3508. [Google Scholar] [CrossRef]
  49. Clickworker.com. About Clickworker. 2005. Available online: https://www.clickworker.com/about-us/ (accessed on 9 May 2023).
  50. ISO 27001; Information security, cybersecurity, and privacy protection — Information security management systems — Requirements. ISO: Geneva, Switzerland, 2013.
  51. Friborg, O.; Martinussen, M.; Rosenvinge, J.H. Likert-based vs. semantic differential-based scorings of positive psychological constructs: A psychometric comparison of two versions of a scale measuring resilience. Personal. Individ. Differ. 2006, 40, 873–884. [Google Scholar] [CrossRef]
  52. Bashir, S.; Khwaja, M.G.; Rashid, Y.; Turi, J.A.; Waheed, T. Green brand benefits and brand outcomes: The mediating role of green brand image. Sage Open 2020, 10, 1–11. [Google Scholar] [CrossRef]
  53. Hair, J.F.; Black, W.C.; Babin, B.J.; Anderson, R.E. Multivariate Data Analysis, 8th ed.; Cengage Learning EMEA: Hampshire, UK, 2018. [Google Scholar]
  54. Cardinal, R.N.; Aitken, M.R. ANOVA for the Behavioral Sciences Researcher; Lawrence Erlbaum Associates, Inc.: Mahwah, NJ, USA, 2013. [Google Scholar]
  55. Sarstedt, M.; Cheah, J.H. Partial least squares structural equation modeling using SmartPLS: A software review. J. Mark. Anal. 2019, 7, 196–202. [Google Scholar] [CrossRef]
  56. Hair, J.F.; Ringle, C.M.; Sarstedt, M. PLS-SEM: Indeed a silver bullet. J. Mark. Theory Pract. 2011, 19, 139–152. [Google Scholar] [CrossRef]
  57. Kabakchieva, D.; Yordanova, S. Sentiment Classification of Hotel Reviews in Social Media with Decision Tree Learning. Int. J. Comput. Appl. 2017, 158, 1–7. [Google Scholar]
  58. Evanschitzky, H.; Wunderlich, M. An examination of moderator effects in the four-stage loyalty model. J. Serv. Res. 2006, 8, 330–345. [Google Scholar] [CrossRef]
  59. Bennett, S.; Maton, K.; Kervin, L. The ‘digital natives’ debate: A critical review of the evidence. Br. J. Educ. Technol. 2008, 39, 775–786. [Google Scholar] [CrossRef]
  60. Corbisiero, F.; Monaco, S.; Ruspini, E. Millennials, Generation Z and the Future of Tourism, 1st ed.; Channel View Publications: Bristol, UK, 2022; Volume 7. [Google Scholar]
Figure 1. Research model. The moderating hypothesis (H5) is indicated by a dotted line.
Figure 1. Research model. The moderating hypothesis (H5) is indicated by a dotted line.
Sustainability 15 15219 g001
Figure 2. Structural equation modeling with results. Source: Author creation.
Figure 2. Structural equation modeling with results. Source: Author creation.
Sustainability 15 15219 g002
Table 1. Variables and descriptive measurements.
Table 1. Variables and descriptive measurements.
VariablesDefinitionMeasurement
AgeCategorical variable1: 18–24 to 6: 65+
Gender Categorical variable0: Male, 1: Female
Education Categorical variable1: Less than high school, to
4: Postgraduate
IncomesCategorical variable1: USD 9999 or less to
5: USD75,000 or more
Previous experience (PE)
Have you ever visited a green hotel?
It refers to visits to places a person has been before.0: No, 1: yes, 2: I am not aware
Ecological Knowledge (EK)
Do you have any knowledge of environmental or ecological practices?
It refers to the level of tourists’ comprehension of the importance of conserving the environment [43].0: No, 1: yes, 2: Somewhat
Environmental Commitment (EC)
When you look for hotels do you check if they implement ecological practices or have any ecological certification?
It is the psychological attachment to a specific behavior. Environmental commitment increases when individuals feel connected to nature [45].0: No, 1: yes
Green Trust (GT)A willingness to depend on a product, service, or brand based on the belief or expectation resulting from its credibility, benevolence, and ability about its environmental performance [43].Likert scale
Table 2. Socio-demographic descriptive data.
Table 2. Socio-demographic descriptive data.
N = 172CategoriesFrequency(%)
GenderMale8851.2
Female8448.8
Age18–243017.4
25–345733.1
35–445833.7
45–542313.4
55–6431.7
65+10.6
EducationLess than high school42.3
High school3520.3
Some college/University9957.6
Postgraduate3419.8
IncomeUSD9999 or less6739.0
USD10,000–USD 24,9994325.0
USD25,000–USD 49,9992112.2
USD50,000–USD 74,00095.2
USD75,000 or more3218.6
Table 3. Variables descriptive data.
Table 3. Variables descriptive data.
N = 172CategoriesFrequency(%)
Previous Experience (PE)No7141.3
Yes7141.3
I am not sure3017.4
Ecological Knowledge (EK)No3520.3
Yes8750.6
Somewhat5029.1
Environmental Commitment (EC)No13578.5
Yes3721.5
Green Trust (GT)MeanMinMax
3.7215
Table 4. ANOVA results for demographic profile and trust, previous experience, eco-knowledge, and commitment.
Table 4. ANOVA results for demographic profile and trust, previous experience, eco-knowledge, and commitment.
VariablesCategoriesTrust MeanTrustEco-KnowPre_ExpCommitment
Age18–243.71F = 0.533/p > 0.05F = 0.811/p > 0.05F = 1.479/p > 0.05F = 2.942/p < 0.001 ***
25–343.85
35–443.57
45–543.83
55–643.67
65+4.20
GenderMale3.84F = 2.171/p > 0.05F = 0.022/p > 0.05F = 0.385/p > 0.05F = 0.118/p > 0.05
Female3.61
EducationLess than high school3.95F = 0.146/p > 0.05F = 0.815/p > 0.05F = 0.118/p > 0.05F = 0.029/p > 0.05
High school3.70
Some college/University3.75
Postgraduate3.65
IncomesUSD9999 or less3.68F = 1.224/p > 0.05F = 0.616/p > 0.05F = 1.436/p > 0.05F = 0.323/p > 0.05
USD10,000–USD 24,9993.67
USD25,000–USD 49,9993.48
USD50,000–USD 74,0004.22
USD75,000 or more3.92
*** p < 0.001 significant value.
Table 5. Direct relationship testing results (model 1).
Table 5. Direct relationship testing results (model 1).
Direct EffectsßtSig.
Age -> Green Trust−0.0130.1810.856
Education -> Green Trust−0.0240.3680.713
Gender -> Green Trust−0.2331.6130.107
Incomes -> Green Trust0.1061.4950.135
EC -> Green Trust0.5383.719 ***0.000
EK -> Green Trust0.1652.446 **0.014
PE -> Green Trust0.1552.513 **0.012
*** p < 0.001; ** p < 0.05; EK = eco-knowledge, PE = previous knowledge, EC = commitment.
Table 6. Moderation effect testing result (model 2).
Table 6. Moderation effect testing result (model 2).
Variablesβtp Values
Age -> GT−0.0390.3650.715
Education -> GT−0.0310.3740.708
Gender -> GT−0.1620.8860.376
Incomes -> GT0.1351.5580.119
EC -> GT0.6372.990 **0.003
EK -> GT0.2082.431 *0.015
PE -> GT0.0780.8460.397
Age x EK -> GT−0.0580.7310.465
Age x PE -> GT−0.0820.9650.335
Age x EC -> GT0.0870.5020.616
Gender x EC -> GT−0.1680.4810.631
Gender x EK -> GT−0.1300.9190.358
Gender x PE -> GT0.1961.2700.204
Education x EK -> GT0.1732.216 *0.027
Education x PE -> GT−0.0010.0200.984
Education x EC -> GT0.0590.3790.705
Incomes x EK -> GT−0.0710.8050.421
Incomes x PE -> GT−0.1271.7790.075
Incomes x EC -> GT−0.0650.4520.652
** p < 0.010; * p < 0.05; GT = green trust, EC = ecological commitment, PE = previous experience, EK = eco-knowledge.
Disclaimer/Publisher’s Note: The statements, opinions and data contained in all publications are solely those of the individual author(s) and contributor(s) and not of MDPI and/or the editor(s). MDPI and/or the editor(s) disclaim responsibility for any injury to people or property resulting from any ideas, methods, instructions or products referred to in the content.

Share and Cite

MDPI and ACS Style

Brito, Y.L.M.; Wang, J.; Kim, H.-S. Green Trust: How Consumer Demographics Moderate Environmental Commitment in Latin America. Sustainability 2023, 15, 15219. https://doi.org/10.3390/su152115219

AMA Style

Brito YLM, Wang J, Kim H-S. Green Trust: How Consumer Demographics Moderate Environmental Commitment in Latin America. Sustainability. 2023; 15(21):15219. https://doi.org/10.3390/su152115219

Chicago/Turabian Style

Brito, Yahaira Lisbeth Moreno, Jue Wang, and Hak-Seon Kim. 2023. "Green Trust: How Consumer Demographics Moderate Environmental Commitment in Latin America" Sustainability 15, no. 21: 15219. https://doi.org/10.3390/su152115219

APA Style

Brito, Y. L. M., Wang, J., & Kim, H.-S. (2023). Green Trust: How Consumer Demographics Moderate Environmental Commitment in Latin America. Sustainability, 15(21), 15219. https://doi.org/10.3390/su152115219

Note that from the first issue of 2016, this journal uses article numbers instead of page numbers. See further details here.

Article Metrics

Back to TopTop