Low-Carbon Economic Operation Optimization of Park-Level Integrated Energy Systems with Flexible Loads and P2G under the Carbon Trading Mechanism
Abstract
:1. Introduction
- Introduction of the carbon trading mechanism: The article proposes a tiered carbon trading mechanism that sets different carbon trading prices based on energy consumption. This mechanism considers the economic cost of carbon emissions, effectively incentivizing the park-level integrated energy system to reduce carbon emissions and promote low-carbon economic operation.
- Proposal of a flexible load management method: The article adopts flexible load management technology to optimize the utilization and smooth scheduling of renewable energy by adjusting the elasticity of electricity demand. This method can effectively reduce the peak-to-valley difference in the energy system, improving system efficiency and stability.
- Achieving the coupled operation of flexible loads and power-to-gas: This research focuses on the coordination of flexible loads and power-to-gas devices to improve the overall efficiency of the energy system. By combining flexible loads with power-to-gas devices, it is possible to better cope with fluctuations in electricity supply and demand, and to increase system flexibility.
2. Low-Carbon Operation Mechanism of a Park Multi-Energy Coupling Integrated Energy System with Electricity-to-Gas and Flexible Loads
2.1. Park-Level Integrated Energy System Architecture
2.2. P2G Two-Stage Working Model and Constraints
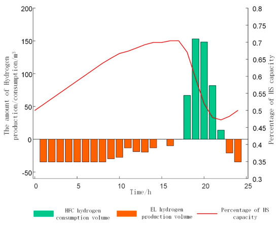
2.3. Hydrogen Fuel Cells
2.4. Hydrogen Storage
2.5. Cogeneration Model and Constraints
2.6. Heat Storage Tank
2.7. Analysis of Flexible Load Response Characteristics of the Park Demand Side
2.7.1. Shiftable Load
2.7.2. Transferable Load
2.7.3. Load Reduction
3. Considering P2G and the Flexible Load of the PIES Low-Carbon Economy Optimization Scheduling Model
3.1. An Integrated Carbon Trading Model
3.2. PIES Low-Carbon Economy Operation Model Function and System Constraints
3.2.1. Objective Function
- (1)
- Operation and maintenance costs:where is the unit maintenance cost of each equipment in the park system = {wind power, photovoltaic, P2G, gas turbine, hydrogen fuel cell, hydrogen storage tank, heat storage tank, waste heat boiler}; is the output power of each equipment = {wind power, photovoltaic, P2G, gas turbine, hydrogen fuel cell, hydrogen storage tank, heat storage tank, waste heat boiler} in the period .
- (2)
- Conversion to the daily equipment investment cost :where are the unit capacity investment cost, capacity to be configured, and the service life of the equipment (={wind power, photovoltaic, P2G, gas turbine, hydrogen fuel cell, hydrogen storage tank, heat storage tank, waste heat boiler}), respectively; is the discount rate.
- (3)
- Comprehensive carbon trading costs are shown in Equation (30).
- (4)
- Energy costs :
3.2.2. Constraints on System Operation
- (1)
- Electric power balance constraints:
- (2)
- Thermal power constraints.where is the thermal load power of the time period , and is the power input heat storage for the time period .
- (3)
- Natural gas system constraints:
- (4)
- Hydrogen equilibrium constraint:where is the input power of hydrogen storage during the time period , and is the hydrogen power decomposed from the time cell .
- (5)
- Contact line constraints:where is the upper limit of transmission power of the contact line between the PIES and the power grid.
3.3. Solution of the PIES’ Low-Carbon Scheduling Model Function
4. Example Analysis
4.1. Basic Data of the Example
4.2. Scenario Settings for Example
4.3. Analysis of System Optimization Results
4.3.1. Flexible Load Is Not Involved in the Runtime System Optimization
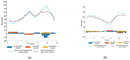
4.3.2. Flexible Load Participates in System Optimization Operation
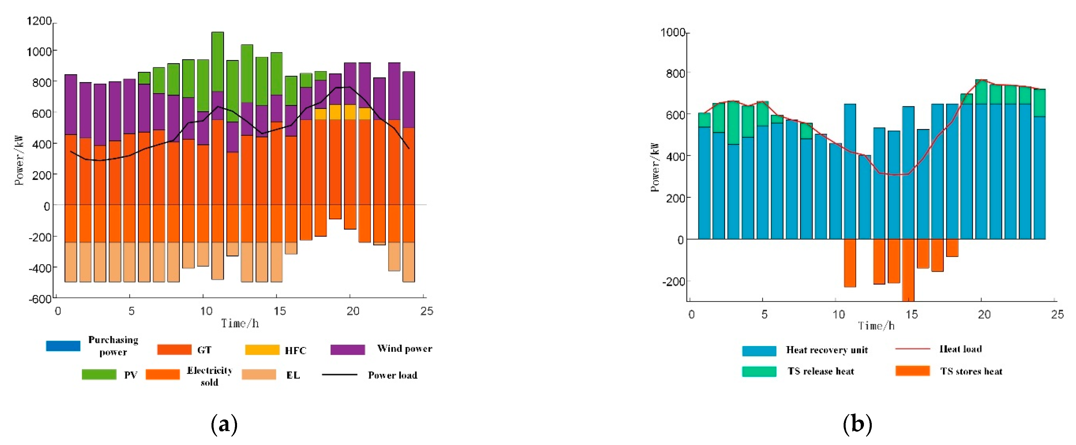
4.3.3. Flexible Load and P2G Technology Cooperate to Participate in the System Optimization Operation
4.3.4. Analysis of System Optimization Operation under the Carbon Trading Mechanism
5. Conclusions
- (1)
- To deepen the energy saving and emission reduction potential of PIES users and park operators, the paper divided the user-side flexible load into transferable load, transferable load, and reducible load. In addition, P2G equipment was added to the park system for collaborative optimization.
- (2)
- Adding flexible load to the system to participate in operation is conducive to reducing the load peak-valley difference, calming load fluctuations, and improving the economy and flexibility of the system. The introduction of a P2G device, considering the two-stage operation of converting electricity to gas to promote the consumption of wind power, can give play to the time-shift advantages of hydrogen storage and can also reduce the step loss of energy.
- (3)
- With the gradual introduction of flexible load and P2G equipment into the PIES’ system, the optimized configuration capacity of the gas turbine keeps decreasing, the optimized configuration capacity of photovoltaic wind power keeps increasing, and the total amount of wind power and other clean energy that the system can absorb keeps increasing. At the same time, after the introduction of carbon trading model, the total operating cost and total carbon emission of the system are continuously reduced.
- (4)
- The comprehensive energy system of a typical electric heating park is simulated and analyzed. The simulation results show that the operation optimization model established in this paper can realize the optimal operation of the integrated energy system in the park under different price mechanisms. Compared with traditional operation conditions, the scenario considering the grid demand response has obvious advantages in improving the system energy efficiency, improving the utilization rate of key equipment, and reducing operating costs.
Author Contributions
Funding
Institutional Review Board Statement
Informed Consent Statement
Data Availability Statement
Conflicts of Interest
Appendix A

Appendix B

Appendix C

References
- Wan, W.; Ji, Y.; Yin, L.; Wu, H. The application and prospect of carbon trading in the planning and operation of integrated energy systems. Electr. Meas. Instrum. 2021, 58, 39–48. [Google Scholar]
- Zeng, H.; Liu, T.; He, C. Multi-objective optimization of gas-electricity interconnection integrated energy system with electricity-to-gas equipment. Electr. Meas. Instrum. 2019, 56, 99–107. [Google Scholar]
- Bhardwaj, S.; Patil, S.; Joshi, V.V. Applicability of double power law model for the statistical analysis of meteorological wind velocity time series data. Int. J. Comput. Sci. Math. 2023, 18, 152–161. [Google Scholar] [CrossRef]
- Kou, L.; Wu, J.; Zhang, F.; Ji, P.; Ke, W.; Wan, J.; Liu, H.; Li, Y.; Yuan, Q. Image encryption for Offshore wind power based on 2D-LCLM and Zhou Yi Eight Trigrams. Int. J. Bio-Inspired Comput. 2023, 22, 53–64. [Google Scholar] [CrossRef]
- Simatupang, D.P.; Choi, J. Integrated Photovoltaic Inverters Based on Unified Power Quality Conditioner with Voltage Compensation for Submarine Distribution System. Energies 2018, 11, 2927. [Google Scholar] [CrossRef]
- An, J.; Xu, L.; Fan, Z.; Wang, K.; Deng, Q.; Kang, Q. PSO-based optimal online operation strategy for multiple chillers energy conservation. Int. J. Bio-Inspired Comput. 2021, 18, 229–238. [Google Scholar] [CrossRef]
- Sang, J.; Sun, H.; Kou, L. Deep Reinforcement Learning Microgrid Optimization Strategy Considering Priority Flexible Demand Side. Sensors 2022, 22, 2256. [Google Scholar] [CrossRef]
- Sheng, S.; Wu, H.; Gu, Q. Low-carbon economic operation of electrical integrated energy system with carbon capture device. Electr. Meas. Instrum. 2021, 58, 82–90. [Google Scholar]
- Chen, Z.; Hu, Z.; Weng, C. Multi-stage planning of the comprehensive energy system of the park based on the stepped carbon trading mechanism. Electr. Power Autom. Equip. 2021, 41, 148–155. [Google Scholar]
- Sun, H.; Liu, Y.; Peng, C. Optimal scheduling of virtual power plants with carbon capture and waste incineration considering power-to-gas synergy. Power Grid Technol. 2021, 45, 3534–3545. [Google Scholar]
- Gao, H.; Li, Z. Coordinated dispatch of electric-gas integrated energy system considering the response characteristics of power to gas and the uncertainty of wind power output. Electr. Power Autom. Equip. 2021, 41, 24–30. [Google Scholar]
- Wang, H.; Yang, Y.; Yu, X.; Geng, L.; Lu, Z. Wind power accommodation low-carbon economic dispatch of the integrated electrical and heating systems based on demand response. J. Yanshan Univ. 2021, 45, 142–152. [Google Scholar]
- Wang, B. Research on consumers’ response characterics and ability under smart grid: Research on consumers’ response characterics and ability under Smart Grid: A mechanical survey. Proc. CSEE 2014, 34, 3654–3663. [Google Scholar]
- Liu, R.; Ma, T.; Gao, Y.; Liang, Y.; Zhu, Y.; Liu, H. Low-carbon Economic Dispatch of Community Integrated Energy System Based on Demand Side Cooperative Response. J. Shanghai Univ. Electr. Power 2020, 36, 421–430. [Google Scholar]
- Chen, J.; Hu, Z.; Chen, Y.; Chen, J.; Chen, W.; Gao, M.; Lin, M.; Du, Y. Thermoelectric optimization of integrated energy system considering ladder-type carbon trading mechanism and electric hydrogen production. Electr. Power Autom. Equip. 2021, 41, 48–55. [Google Scholar]
- Hamid, K.; Shahram, J. Optimal microgrid operation scheduling by a novel hybrid multi-objective and multi-attribute decision-making. Enengy 2019, 186, 115912. [Google Scholar]
- Lim, Y.S.; Koh, S.L.; Hau, L.C.; San Liew, S.M. Business opportunitPIES for grid integrated energy storage systems in Malaysia based on a real case Study. J. Energy Storage 2019, 26, 101028. [Google Scholar] [CrossRef]
- Zhang, R.; Jiang, T.; Li, G.; Chen, H.; Li, X.; Ning, R. Two-layer Optimal Scheduling of Power-gas Integrated Energy System Considering the conversion of power to gas to Wind Power Consumption. Proc. CSEE 2018, 38, 5668–5678+5924. [Google Scholar]
- Mehrpooya, M.; Mohammadi, M.; Ahmadi, E. Techno-economic-environmental study of hybrid power supply system: A case study in Iran. Sustain. Energy Technol. Assess. 2018, 25, 1–10. [Google Scholar] [CrossRef]
- Zhu, X.; Liu, M.; Jiang, Q.; Luo, H.; Long, W.; Wen, H. Low-Carbon Economic Scheduling of P2G Integrated Energy System Considering Demand Response and Carbon Trading. Electr. Instrum. Meas. 2022, 1–9. Available online: http://kns.cnki.net/kcms/detail/23.1202.TH.20220524.1603.003.html (accessed on 6 November 2022).
- Pandian, M.S.; Anwari, M.; Husodo, B.Y.; Hiendro, A. Efficiency and economics analysis of Proton Exchange Membrane fuel cell. In Proceedings of the 2010 Conference Proceedings IPEC, Singapore, 27–29 October 2010; pp. 875–880. [Google Scholar]
- Li, J.; Li, G.; Ma, S.; Song, J. Hydrogen storage and transportation technology present situation and its typical applications in power systems. Mod. Power 2021, 38, 1–12. [Google Scholar]
- Zhu, L.; Wang, J.; Tang, L.; Liu, X.; Huang, C. Robust Stochastic Optimal Scheduling of Integrated Energy System with power-to-gas Refined Model. Power Grid Technol. 2019, 43, 116–126. [Google Scholar] [CrossRef]
- Wu, J.; Degejizhifu; Tan, Z.; Zhang, S. Multi-objective Collaborative Optimization Model of integrated energy System considering P2G and CCHP technology. Electr. Meas. Instrum. 2021, 58, 20–30. [Google Scholar] [CrossRef]
- Jiang, W.; Yan, Z.; Cao, J.; Xu, X. Multi-objective comprehensive Optimal Scheduling of Energy Hub with Flexible Load. Electr. Meas. Instrum. 2018, 55, 31–39. (In Chinese) [Google Scholar]
- Yang, S.; Tong, X.Q.; Liu, J.; Zhang, X.Q. Combined Optimization Model and Solution of Multi-objective Safety Constrained Unit Considering Flexible Load. Power Grid Technol. 2017, 41, 1904–1912. (In Chinese) [Google Scholar] [CrossRef]
- Xue, K.; Chu, Y.; Ling, Z.; Li, Z. Considering the integrated energy system of flexible load optimal dispatch of low carbon economy. J. Renew. Energy 2019, 5, 1206–1213. [Google Scholar] [CrossRef]
- Zhao, W.; Liu, Y.; Hou, J.; Liu, L. Impact of Carbon Trading Mechanism Considering Blockchain Technology on the Evolution of New Energy Vehicle Industry in the Post-Subsidy Era. Sustainability 2023, 15, 13190. [Google Scholar] [CrossRef]
- Wang, J.; Ren, Y.; Guo, Z.; Zhang, Y. Optimal Scheduling of integrated energy system based on comprehensive Demand response and reward and punishment ladder carbon trading. Energy Storage Sci. Technol. 2022, 2177–2187. [Google Scholar] [CrossRef]
- Zhang, X.H.; Liu, X.Y.; Zhong, J.Q. Integrated energy system planning considering a reward and punishment ladder-type carbon trading and electric-thermal transfer load uncertainty. Chin. Soc. Electr. Eng. 2020, 40, 6132–6142. [Google Scholar]
- Wei, Z.; Zhang, S.; Sun, G.; Xu, X.; Chen, S.; Chen, S. Carbon trading based low-carbon economic operation for integrated electricity and natural gas energy system. Autom. Electr. Power Syst. 2016, 40, 9–16. [Google Scholar]
- Liu, W.; Wen, F.; Xue, Y. Power-to-gas technology in energy systems: Current status and prospects of potential operation strategPIES. J. Mod. Power Syst. Clean Energy 2017, 5, 439–450. [Google Scholar] [CrossRef]
- Dong, S.; Wang, C.; Liang, J.; Dong, X.; Liang, Z.; Li, H. Multi-objective optimal day-ahead dispatch of integrated energy system considering power-to-gas operation cost. Autom. Electr. Power Syst. 2018, 42, 8–15. (In Chinese) [Google Scholar]
- Qin, T.; Liu, H.; Wang, J. Low-carbon economic dispatching of power-heat-gas integrated energy system based on carbon trading. Autom. Electr. Power Syst. 2018, 42, 8–13, 22. [Google Scholar]
- Shobana, S.; Gnanavel, B. Optimised coordinated control of hybrid AC/DC microgrids along PV-wind-battery: A hybrid based model. Int. J. Bio-Inspired Comput. 2022, 20, 193–208. [Google Scholar] [CrossRef]
- Suman, S.; Chatterjee, D.; Mohanty, R. Power quality improvement for microgrid-connected PV-based converters under partial shading conditions using mixed optimisation algorithms. Int. J. Bio-Inspired Comput. 2023, 21, 123–136. [Google Scholar] [CrossRef]








| Equipment | Capacity | Efficiency Parameters |
|---|---|---|
| P2G equipment | 25 × 1.941 Nm3/(kW·h) | 0.75 |
| Hydrogen storage | 2 × 1000/Nm3 | 0.95 |
| A fuel cell | 50 × 2/kW | 0.55 |
| CHP unit | 500/kW | 0.35 |
| Thermal storage tank | 2000/kW | 0.98 |
| link | 240/kW | - |
| Category | Time Segment | Period of Time | Price (CNY kW/h) |
|---|---|---|---|
| Electricity price | Valley period | 23:00–04:00 | 0.36 |
| Peak period | 09:00–13:00 17:00–21:00 | 1.16 | |
| Ordinary period | Other time | 0.75 | |
| Caloric value | Valley period | 11–16:00 | 0.25 |
| Peak period | 19:00–08:00 | 0.58 | |
| Ordinary period | Other time | 0.36 | |
| Gas price | All the time | 00:00–24:00 | CNY 2.54/m3 |
| Category | Energy Production Equipment | Energy Conversion Equipment | Flexible Load | Carbon Trading Model | ||
|---|---|---|---|---|---|---|
| Wind Power | Photovoltaic | CHP | P2G | |||
| Scenario 1 | √ | √ | √ | √ | x | x |
| Scenario 2 | √ | √ | √ | x | √ | x |
| Scenario 3 | √ | √ | √ | √ | √ | x |
| Scenario 4 | √ | √ | √ | √ | √ | √ |
| Category | Price/CNY |
|---|---|
| Energy costs | 4513.741 |
| Operational costs | 2895.8464 |
| Wind and light penalty fee | 53.1553 |
| The investment cost is equivalent to daily | 8418.2358 |
| Category | Price/CNY |
|---|---|
| Energy costs | 4082.06 |
| Operational costs | 1667.76 |
| Wind and solar energy abandoned penalty costs | 1199.99 |
| Daily investment cost | 2673.52 |
| Category | Price/CNY |
|---|---|
| Energy costs | 3905.8602 |
| Operational costs | 2626.7489 |
| Wind and light penalty fee | 10.2817 |
| The investment cost is equivalent to daily | 8418.2358 |
| Scenario | Scenario 1 | Scenario 2 | Scenario 3 | Scenario 4 | |
|---|---|---|---|---|---|
| Category | |||||
| Wind power abandonment/kW·h | 151.9 | 3428.5 | 0 | 0 | |
| Carbon transaction cost/CNY | 885.2 | 854.7 | 810.4 | 736.7 | |
| Carbon emissions/kg | 13,310.4 | 12,850.1 | 12,185.5 | 11,077.7 | |
| Reduce load compensation costs/CNY | – | 117.4 | 54.2 | 54.2 | |
| Oxygen sale proceeds/CNY | 711.4 | — | 610.8 | 610.8 | |
| Total cost/CNY | 15,169.6 | 9740.8 | 14,394.3 | 13,657.6 | |
Disclaimer/Publisher’s Note: The statements, opinions and data contained in all publications are solely those of the individual author(s) and contributor(s) and not of MDPI and/or the editor(s). MDPI and/or the editor(s) disclaim responsibility for any injury to people or property resulting from any ideas, methods, instructions or products referred to in the content. |
© 2023 by the authors. Licensee MDPI, Basel, Switzerland. This article is an open access article distributed under the terms and conditions of the Creative Commons Attribution (CC BY) license (https://creativecommons.org/licenses/by/4.0/).
Share and Cite
Sun, H.; Sun, X.; Kou, L.; Ke, W. Low-Carbon Economic Operation Optimization of Park-Level Integrated Energy Systems with Flexible Loads and P2G under the Carbon Trading Mechanism. Sustainability 2023, 15, 15203. https://doi.org/10.3390/su152115203
Sun H, Sun X, Kou L, Ke W. Low-Carbon Economic Operation Optimization of Park-Level Integrated Energy Systems with Flexible Loads and P2G under the Carbon Trading Mechanism. Sustainability. 2023; 15(21):15203. https://doi.org/10.3390/su152115203
Chicago/Turabian StyleSun, Hongbin, Xinmei Sun, Lei Kou, and Wende Ke. 2023. "Low-Carbon Economic Operation Optimization of Park-Level Integrated Energy Systems with Flexible Loads and P2G under the Carbon Trading Mechanism" Sustainability 15, no. 21: 15203. https://doi.org/10.3390/su152115203
APA StyleSun, H., Sun, X., Kou, L., & Ke, W. (2023). Low-Carbon Economic Operation Optimization of Park-Level Integrated Energy Systems with Flexible Loads and P2G under the Carbon Trading Mechanism. Sustainability, 15(21), 15203. https://doi.org/10.3390/su152115203

