Abstract
Although there is a documented preference for daylighting over artificial electric lighting indoors, there are comparatively few investigations of behaviour and perception in indoor day-lit spaces at high latitudes during winter. We report a pilot study designed to examine the effects of static artificial lighting conditions (ALC) and dynamic daylighting conditions (DLC) on the behaviour and perception of two groups of participants. Each group (n = 9 for ALC and n = 8 for DLC) experienced one of the two conditions for three consecutive days, from sunrise to sunset. The main results of this study show the following: indoor light exposure in February in Stockholm can be maintained over 1000 lx only with daylight for most of the working day, a value similar to outdoor workers’ exposure in Scandinavia; these values can be over the recommended Melanopic Equivalent Daylight Illuminance threshold; and this exposure reduces sleepiness and increases amount of activity compared to a static artificial lighting condition. Mood and feeling of time passing are also affected, but we do not exactly know by which variable, either personal or group dynamics, view or variation of the lighting exposure. The small sample size does not support inferential statistics; however, these significant effects might be large enough to be of importance in practice. From a sustainability point of view, daylighting can benefit energy saving strategies and well-being, even in the Scandinavian winter.
1. Introduction
Lifestyle and working conditions in modern industrialised societies have been transformed in just a century by the massive introduction of artificial lighting, which changed the exposure to light and darkness of the Western population and the environment. People live consistently more indoors nowadays, and individuals might receive less light during the day and more light during the night compared to people living in the 1950s, only one or two generations ago [1]. The fact that the general population spends more time indoors might be especially relevant in winter at high latitude, where the long summer days are counterbalanced by the cold and short days. In Scandinavia, the indoor workers’ average light exposure only intermittently exceeds 1000 lx during daytime working hours in summer and never in winter [2]; studies at northern latitude that compared workers’ well-being in two seasons indicate that lack of natural daylight in winter delays the sleep/wake cycle and increases sleepiness compared to the corresponding summer week [3].
Artificial lighting is intended in biological sciences as a stimulus that “alters natural light regimes [and] influences biological systems” [4]. We define artificial lighting as the strategy of combining different light sources (powered by electricity or any other energy source) into one term for human-made lighting practices. These practices should address the 2030 Agenda for Sustainable Development formulated in the United Nations Sustainable Development Goals (UN-SDG—https://sdgs.un.org/, accessed on 10 October 2022). Through this study, we aim to contribute to knowledge that supports the well-being of the population (SDG 3), to design a built-environment that is safe and resilient (SDG 11) and uses affordable and clean energy (SDG 7).
The interest in daylighting has been steadily growing in multiple fields; twenty years ago, literature reviews and articles discussed mainly the relation between daylight and human performance [5,6], but the majority of the investigations on visual and perceptual effects of lighting conditions were performed in artificially lit environments, without windows, e.g., [7]. Several interdisciplinary literature reviews have been published since then, especially in the last five years, i.e., about daylight and health [8,9], and nature and the effects of daylight on humans in the built environment and architecture [10,11]. Even from the architectural technology side, the interest has risen in recent years, e.g., [12], and the European standard on Daylight has been published after years of preparation (EN 17037:2019).
Despite the increasing number of literature reviews and new policy in the field, case studies and reported experiences are scarce; therefore, researchers call for further empiric studies on perception and ergonomics in daylight conditions [13]. This lack of knowledge is especially evident at Scandinavian latitudes during winter time. Most people report a preference for daylight over artificial light [14]. High light exposure by day is associated with better mood [15], lower sleepiness [16,17] and higher vitality [18]. Mood relates to a general state of well-being [19,20], and light affects mood through a direct pathway in the brain [21]. Sleepiness is the feeling of being tired and wanting to sleep, which can impair your work. Subjective sleepiness and objective sleepiness can be strongly correlated [22], and there are strong relations between ratings of sleepiness and performance [23]. Burns et al. (2021) examined the associations between the time spent outdoors in daytime with emotional states and circadian-related outcomes of a large sample (N = 400,000) in the UK. They suggest that low daytime light exposure is an important environmental risk factor for mood and sleep disorders [24]. Mood and sleepiness are central concepts of well-being, and light exposure affects these factors in ways that we are only recently starting to understand.
Static conditions can be stressful because they lack variability and visual interest [25]. In temporal perception studies of short intervals (seconds to minutes), the division of an interval into multiple sub-intervals tends to increase its apparent duration [26]. We wonder whether this theoretical concept holds also in longer intervals of a day.
There is evidence that ambient lighting during the day has an effect on sleep [27,28], especially from daylight [13,29]. One study registered an increase in sleep duration of 29 min after 5 days intervention with 2 h of bright light (>1750 lx) and darker nights in a hospital [30].
The International Commission on Illumination (CIE) published a standard [31] that defines spectral sensitivity functions of optical radiation that contribute to physiological stimulation; see also [32]. Among the five sensitivity functions introduced, opic melanopic predicts melatonin suppression and subjective alerting responses; see [33] for a comprehensive review. A recent report, based on scientific experts consensus, recommends 250 Melanopic Equivalent Daylight Illuminance (Melanopic EDI) lx during the day as a minimum value for physiological activation [34].
Summary and Research Questions
High intensity and a spectrum rich in the short wavelengths, characteristics of natural outdoor conditions and of generously lit indoor conditions, are effective for circadian regulation, affect sleepiness and improve mood. Despite plenty of literature supporting daylighting, laboratory or semi-laboratory experiments are focused on the use of artificial lighting design, and further empiric research on the effects of daylight is called for [13]. As a matter of fact, researchers started recently to compare the effect of day-lit and artificially lit spaces under short-term exposure, e.g., [35]. With the work presented in this paper, we intend to further contribute to the understanding of the user experience of indoor lighting conditions during working days in Scandinavia. In this investigation, we designed the following:
- An artificial lighting condition (ALC) without view;
- A day-lit only condition with view (DLC).
We examined the effects of these lighting conditions using a multidisciplinary approach that combined methods from psychology and lighting design.
Participants experienced one of the two classrooms furnished as study rooms during a three-day experiment. We predicted that studying in the day-lit room, compared with the artificially lit room, would result in the following:
- Better mood and lower sleepiness;
- An advance of sleeping time (sleep phase) and an increase in sleep duration;
- Faster and shorter perception of the passing of time.
2. Material and Methods
2.1. Compliance with Ethics Standard
The study was conducted in accordance with the Declaration of Helsinki. At the time that the experiment was conducted, no ethics approval was required from our institution for perceptual studies, such as the one reported in this paper. Data collected were processed in compliance with the General Data Protection Regulation in the European Union (EU GDPR). For the management of participants’ personal data, we followed regulations according to KTH Royal Institute of Technology’s Ethics Officer. Participation in the study was voluntary, no compensation was provided to the participants. Participants signed a consent form and filled in a demographic questionnaire with information about their age and chronotype.
2.2. Participants
The recruitment took place in the month of January at KTH and Linneus University. Participants were healthy and with no visual disability, besides myopia or astigmatism (n = 4), corrected with lenses. A total of 22 students (9 female) voluntarily took part in the experiment without compensation. They were randomly assigned to ALC or DLC. Three participants in DLC modified their working location after the first day and therefore were excluded because they did not follow the procedure of the experiment. Two participants in ALC dropped out due to personal reasons. Therefore, we report the results of 8 participants in DLC (female n = 2; average age 28, SD = 3.6), and 9 participants in ALC (female n = 4, average age 29.3, SD = 4.4).
2.3. Experimental Setting
The experiment took place in the educational facilities of KTH—Royal Institute of Technology, in Sweden, latitude 59.2° N, longitude 18.2° E. The study rooms were in the same building, DLC on the fifth and top floor, ALC on the third floor. The experiment was performed in the middle of the month of February, from 8:30 to 16:30 with an hour break during lunch, at 12:00, within sun-time hours (Figure 1). The participants were not in control of the lighting or the ventilation system. The ALC settings were inspired by previous studies in windowless environments which showed that direct–indirect lighting was favoured under one-day-long investigation [36]. Ejhed compared two room configurations in three different lighting conditions (spotlights, diffused central illumination, and indirect) and found that the dominant character of the rooms with indirect lighting is the ceiling, independently from form and colour [37]. We therefore designed the two rooms to have a distinct indirect lighting distribution from the ceiling, either from a skylight or from an artificial lighting system. See plans and an illuminated section in Figure 2 and room characteristics in Table 1.
Figure 1.
Methods and timing of the experiment.
Figure 2.
Illuminated sections, above, and plans, below, of daylighting condition (DLC) (A) and artificial lighting condition (ALC) (B). The sun is illustrated at the zenith during Day 2 showing that only skylight and no sunlight can reach the room interior in DLC.
Table 1.
Architectural and design features of artificial lighting condition (ALC) and daylighting condition (DLC); see also Figure 2. In parenthesis, luminous reflectance factor.
2.3.1. ALC: Room Design and Lighting Conditions
We designed a lighting system which combined direct and indirect distribution and provided lighting conditions that followed EN12464-1 recommendations at the workplace, specifically: an illuminance over the desk of at least 500 lx; correlated colour temperature (CCT) of 3000 K; colour rendering index (CRI Ra) of 90, higher than standard; and uniformity (Uo = E minimum/E average) of 0.66. The lighting was maintained constant during the experiment; a floor-to-ceiling dark velvet curtain blocked incoming daylight and view. The indirect component of the lighting system hit a diffusive surface which produced a uniformly lit ceiling. The reflected diffused light contributed to shaping the room, providing illumination to the walls in a ratio of approximately 1:20 compared to the horizontal surfaces. The direct lighting of the horizontal working surfaces was provided by projectors.The luminaires were equipped with tubular compact full-spectrum pentaphosphor fluorescent lamps. The total installed power, considering ballast consumption, was of 0.529 KW (8.3 W/m). Glare was considered by keeping luminance below the values for UGR 19 from the point of view of the participants.
2.3.2. DLC: Room Design and Lighting Conditions
The DLC session took place in a day-lit room equipped with one window (80% of wall area) and a glazed tilted skylight. Skylight and window were oriented north; therefore, the geometry and position of the openings blocked direct sunlight. The view to the sky through the daylight openings was unobstructed as shown by the no sky-lines in the illustrated section. The view was excellent to the sky and to the city using a scale developed to assess quality of view [38].
The skylight covered a light-shaft of 3.6 m by 3 m. The daylight factor as calculated by software (ReluxPro, Relux Informatik AG, Basel Switzerland) is 7. Sunrise on the first and last day was at 7:25 and 7:19, respectively; sunset was at 16:38 and 16:43; and the duration of day shifted from 9 h and 13 min to 9 h and 23 min. The average zenith solar elevation was 18° at 12:01 (see Figure 1 and Figure 2).
The weather conditions during the experiment and the illuminance values are a consequence of these conditions and therefore are presented in the Results section.
2.4. Lighting Conditions
2.4.1. Photometric Values
Illuminance values were registered with a hand-held instrument (Hagner Screenmaster, B.Hagner AB, Solna, Sweden) on a horizontal grid of 1 × 1 m, at the height of the table-top (0.73 m). Vertical illuminance measurement were taken at each participants’ seating position at a standard height of 0.6 m from the table surface, 1.33 m from the floor, with the instrument in a vertical frontal position.
Horizontal illuminance values were registered every hour on a total of 21 points on Day 1 in DLC. On Day 2 and 3, we measured four control points hourly. Vertical illuminance values were registered at 11:00 and 15:00 on Day 1. In the ALC, the horizontal and vertical measurements were taken on Day 1, as the light was static. In ALC, we registered an average horizontal illuminance of 580 lx (SD = 130 lx) over the desks and of 475 lx (SD = 208) over the whole test area, 1 m from the table top; the uniformity over this area was 0.66. Horizontal illuminance measured at the participants’ position was 635 lx (SD = 56). Vertical average illuminance measured at the participants’ eye level was 281 lx (SD = 29). Illuminance measurements in DLC depend on the specific weather conditions during the experiment thus are presented in the Results section.
In both conditions, we registered illuminance values from the Actiwatch every minute and used the daily and hourly means as predictor variables in the linear mixed model; see Participants’ illuminance in Figure 3.
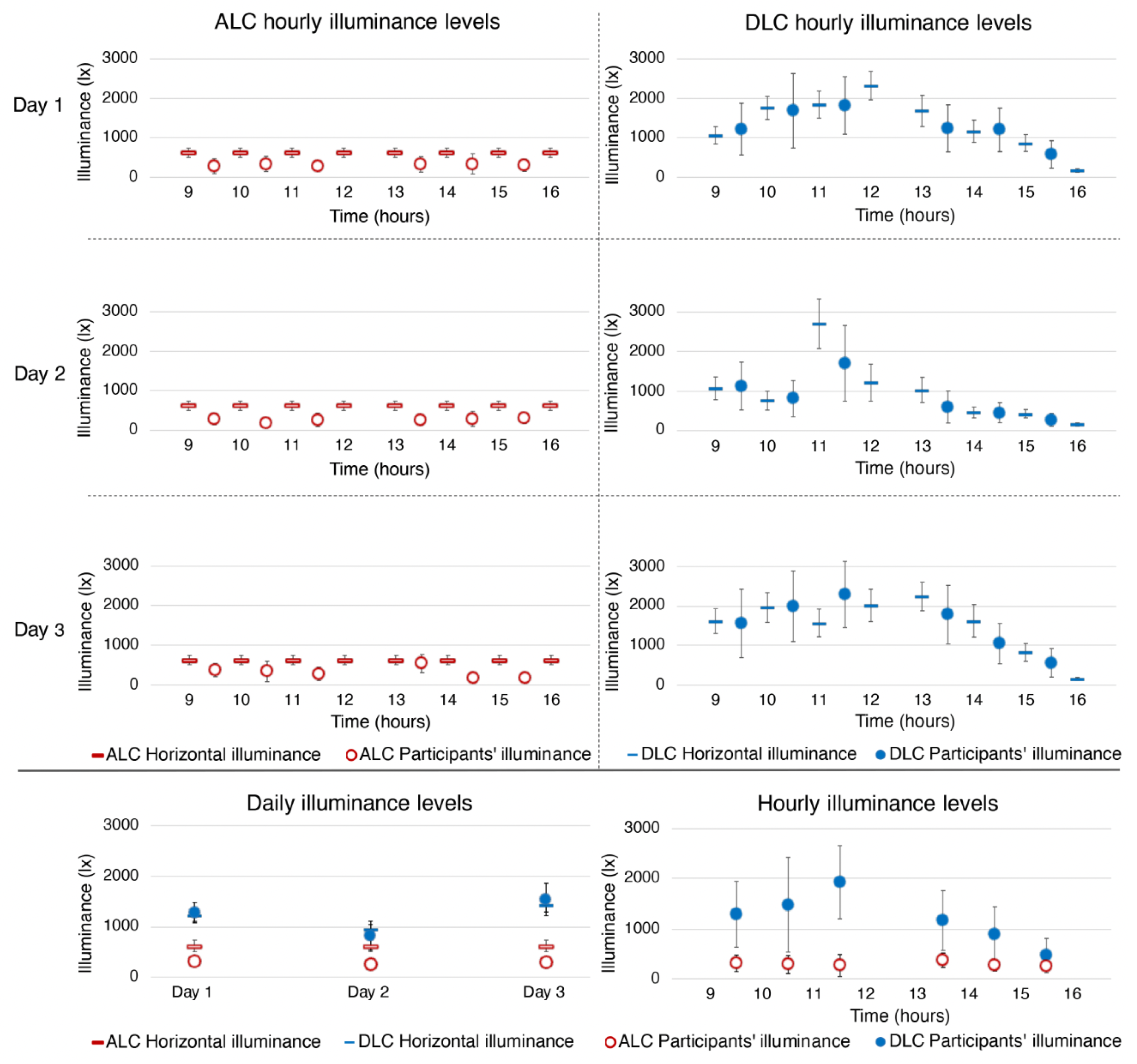
Figure 3.
Daily and hourly illuminance levels in ALC and DLC. Illuminance recorded at lunch (12–13 h) is excluded. We present the hourly variation of horizontal illuminance on the working surface, taken once per hour at multiple points, and the illuminance at the wrist as captured from the Actiwatches with standard deviation. The bottom left figure shows the daily averages, and the bottom right figure the hourly averages of both measurements and standard error. The illuminance measured in the room and the illuminance measured at the wrist are strongly correlated.
2.4.2. Spectral Values
At the time of the experiment, measuring the spectral properties of lighting was commendable but not required. We measured DLC for 5 consecutive days in the same period of the year without participants, with a hand-held illuminance-based spectrophotometer (Konica Minolta, CS500A). We identified the measurements done in overcast and intermediate weather and used these values to calculate alpha optic values according to [31]. We could therefore estimate that the Melanopic EDI values in a day in February in DLC are over 250 Melanopic EDI lx in the interval 9–15 h, and over 140 Melanopic EDI lx in the interval 15–16 h. Mean CCT in the morning (9–11 h) is 6300 K (SD = 230), at midday (11 and 13 h) is 6700 K (SD = 1200) and in the afternoon (14–16 h) is 8000 K (SD = 2400). We used available data (IES TM-30) for pentaphosphor lamps to estimate a value of 140 Melanopic EDI lx in ALC.
2.5. Behaviour: Activity and Sleep
Actigraphs (motion loggers) were used to register participants’ activity during day and sleep at night, as well as light exposure in lux. The actigraph (Actiwatch Spectrum, Philips Healthcare, Best—the Netherlands) was worn on the non-dominant wrist. The participants were instructed to wear the actigraph above the sleeve as much as possible. Actigraphy data were registered in one-minute epochs and then transformed to 1 h periods by averaging the epochs over one-hour intervals. Activity data were scored for sleep (duration, efficiency, bedtime and waking up time). In order to exclude uncontrollable variables, e.g., the way people reached the experimental rooms, we limited the daytime activity analysis between 9 and 16 h divided in 6 hourly intervals, i.e., 9–10 h until 15–16 h, excluding the break at 12–13 h.
2.6. Emotional States: Karolinska Sleepiness Scale (KSS) and Mood Diary
A wake diary that included sleepiness—KSS, Karolinska Sleepiness Scale [22]—and subjective mood rating was filled in every hour by the participants. KSS ranged from 1 to 9 with verbal anchors for each scale value: 1 = “extremely alert“, 2 = “very alert”, 3 = “alert”, 4 = “rather alert”, 5 = “neither alert nor sleepy”, 6 = “some signs of sleepiness”, 7 = “sleepy, but no effort to keep awake”, 8 = “sleepy, some effort to keep awake”, and 9 = “extremely sleepy, great effort to keep awake”. Additionally, the scale for mood ranged 1–9, with verbal anchor every second step: mood 1 = “very good mood”, 3 = “good mood”, 5 = “neither”, 7 = “lowered mood”, and 9 = “very low mood”.
2.7. Perception of Lighting and Time
We investigated the participants’ perception of temporal and lighting parameters through a set of subjective quantitative questionnaires. The questionnaires were answered every day at 15:00, and participants were asked to base their rating on the experience from the whole day. Participants gave qualitative feedback via an open comment field at the end of the lighting and time perception questionnaire. This is reported in appendix and we used this information in the discussion.
2.7.1. Perception of Lighting Qualities
Subjective impressions of the space can be studied by semantic scale rating [39], and thus participants were asked to evaluate on a 1–5 rating scale a set of parameters that describe lighting qualities in space [37]:
- Level of light (1 = ”dark”–5 = “bright”);
- Light distribution (1 = “uniform”–5 = “dramatic”);
- Colour of light (1 =“cold”–5 =“warm”);
- Glare (1 = “none”–5 = “intolerable”).
These parameters describe light in a room and altogether contribute to identifying the visual appearance of a space [40]. The parameter “Level of light” was used accordingly to the original nomenclature [37], although today the term “perceived brightness” is preferred.
2.7.2. Temporal Perception
Three questions about duration, speed and pace of the experience of time were included. The possible answers were on a semantic scale of opposite meaning:
- Duration “Did it seem like a short or long period of time?” (1=“short”–5=“long”);
- Speed “How did you feel the passing of time?” (1=“slow”–5=“fast”);
- Pace “At which pace did time pass?” (1=“smooth”–5=“fragmented”).
2.8. Procedure
One day prior to the investigation (Day 0), participants were welcomed to KTH and informed about the procedure of the experiment. They were assigned an actigraph, a motion logger equipped with light sensor that is worn around the wrist like a watch. The participants were asked to wear the Actiwatch (A) until the end of the experiment on Day 3. One participant in each room was instructed to measure illuminance with a hand-held instrument. Their movement data were not considered in the activity analysis. All participants were asked to report their chronotype on a diurnal scale type questionnaire [41].
The participants were invited to either study or work on personal tasks during the investigation. They were allowed to use their personal laptops with screen brightness as low as possible.
In the morning on the first day (Day 1), participants were received at the KTH lobby and were directed to one of the two rooms. They were given a printed research diary containing the questionnaires for each of the three investigations days. They were free to choose their seating position on Day 1, which was maintained during the three days and was recorded with the actigraph number (ID). Participants were asked to fill in different types of subjective questionnaires as outlined in Figure 1:
- Each morning, they reported their sleep quality on the previous night;
- Every hour, they rated their emotional states (sleepiness and mood);
- At the end of each day, they evaluated lighting, temporal and spatial perception. They filled-in an open questionnaire for qualitative feedback.
The research diaries were collected at the end of each day and were placed on each individual table the morning after.
2.9. Statistical Analysis
Statistical analysis was performed on JASP version 0.16.3 [42] (https://jasp-stats.org/, accessed on 29 November 2022). We analysed all quantitative data with linear mixed model (LMM) analyses to evaluate differences between participants that were randomly assigned to lighting conditions. LMM handles correlated data between different time points of measures and unequal variances between conditions. Correlated data are common in the case of repeated measurements of survey participants. Moreover, LMM maintains repeated measurement sequences where there are missing data points, e.g., in the case of activity measurement where there were a few data points missing [43]. The best-fit model and the change in variance explained in the text was analysed with likelihood ratio tests, while final models were tested with Sattertwhaite model terms and are reported in tables. The significance level was set to 5% in all analyses. Participants were introduced as random grouping factor. We did not block Gender because of the small sample size. We analysed the data nested in a hierarchy, Day and Time or only Day, and referred to these analyses as the unconditional model. Once the values of the unconditional model were established, we subsequently introduced lighting variables one at the time, and at each step, tested the overall fit of the model with a chi-square likelihood ratio test. Daily and hourly illuminance values were asymmetrically distributed and were logged, and we introduced them in the model alternatively to lighting condition in order to avoid multicollinearity. We centred values of Sleepiness and Mood around the mean and ran the models with both raw data and centred data without finding differences; therefore, we report the raw values.
3. Results
We report first the predictors, i.e., daily and hourly illuminance, which indicate exposure to light, and then the outcome variables in this order: emotional values, activity and sleep, perception of lighting and time. Legend for tables and figure captions: significance * = p < 0.05, ** = p < 0.01. EMM = estimated marginal means; M = mean; SD = standard deviation; SE = standard error. In Table 2, Table 3, Table 4 and Table 5, we report these values: the F-statistic (F); the degrees of freedom of the model (Df); the p-value (p); the intercept (B) with SE in parenthesis; and the standardized beta coefficient (standardized ), an effect-size estimate.
Table 2.
Mental states (Sleepiness and Mood), linear mixed model (LMM) best-fit statistics for effects of fixed nested factors (Day and Time) and lighting condition or daily or hourly illuminance. * = p < 0.05, ** = p < 0.01.
Table 3.
Activity (count per minute) linear mixed model (LMM) results statistics for effects on mental states and activity of fixed nested factors (Day and Time) and daily illuminance values. * = p < 0.05.
Table 4.
Perception of time, linear mixed model (LMM) results statistics for effects on duration, speed and pace of fixed factors (Day and ID random) and lighting condition or hourly illuminance. * = p < 0.05, ** = p < 0.01.
Table 5.
Perception of lighting parameters, linear mixed model (LMM) results statistics for effects on duration, speed and pace of fixed factors (Day and ID random) and daily or hourly illuminance values. * = p < 0.05, ** = p < 0.01.
3.1. Measured Illuminance Values
3.1.1. Weather
The outdoor conditions were characterized by heavy cloud coverage during the three investigation days, with the exception of the morning of Day 3. A snowstorm characterized the morning of Day 2. Three type of skies and weather conditions were identified using official data from the Swedish Meteorological and Hydrological Institute: overcast (morning and afternoon of Day 1; afternoon of Day 2; afternoon of Day 3), snowy overcast (morning of Day 2), and intermediate (morning of Day 3). These weather conditions had an influence on the exposure of the participants before the experiment, during the lunch break, and in DLC, these had an impact on the lighting of the room (see Figure 3).
3.1.2. Photometric Values
In DLC at 10, 12 and 13 h periods on Day 1 and 3, the average vertical values at participants’ eye level were higher than 1000 lx. Mean wrist measurements exceeded 1000 lx on 12 h over 18 total hour periods and particularly during mornings, (see Figure 3 bottom right-hand side).
We found a relationship between the illuminance measured in the room, and the illuminance measured at the wrist with the light sensor of the Actiwatch, especially in DLC (see Figure 3 bottom left-hand side). The hourly data measured with the Actiwatch follow quite closely the illuminance measured on the horizontal plane (r = 0.694; p < 0.001). Correlation (Pearson’s r) between lighting condition and daily illuminance (r = 0.82, p < 0.001) and lighting condition and hourly illuminance (r = 0.69, p < 0.001) and between these two illuminances (r = 0.84, p < 0.001) is high; therefore, we used them alternatively in the linear mixed model to avoid multicollinearity problems. Additionally, correlation between daily illuminance and specific illuminance at 14 h (r = 0.88, p < 0.001) and 15 h (r = 0.70, p < 0.001), e.g., one hour before and at the same hour as perception questionnaires, and between the two consecutive hours (r = 0.80, p < 0.001) is high, and therefore, we used them alternatively in the analysis.
3.2. Emotional States
3.2.1. Sleepiness
First, we modelled the effect of Day and Time on Sleepiness without hierarchy between measurements in an unconditional model with Day and Time as nested factors and participants as random effects grouping measures. Then, we added Time in the model to evaluate a possible quadratic trend but this did not change the fit of the model. Therefore we used linear Time in the subsequent steps of the procedure.
The fixed effects of Day and Time revealed that Day was not significant (p = 0.767) and explained a limited amount of variance between measures (variance = 0.07). Time is instead significant (F (5, 282) = 2.821; p = 0.017), showing a circadian effect and a marked increase in sleepiness in the afternoon, see Figure 4. We added step by step the illuminance variables to the model without blocking for lighting condition and never together to avoid multicollinearity. Daily illuminance measured at the wrist improved the fit of the model, shown in Table 2, [(1) = 4.589; p < 0.05]; therefore, the lower the dosage of light during the day, the higher the sleepiness (B = −0.99; SE = 0.23). Variation at the individual participants’ level in the (unconditional) model explains 43% of the total variance; individual variation is reduced to 32% in the best fit model with Day, Time and Daily exposure.
Figure 4.
Sleepiness means and standard error by time (hours), divided by lighting condition. Time and daily illuminance, see Figure 3, predict sleepiness. Sleepiness is reported on a semantic scale with 9 steps and 5 verbal anchors 6 times per day at the end of every hour.
3.2.2. Mood
Mood does not change neither by Day or Time. Lighting condition improves the model when it is introduced as a predictor for mood [(1) = 10.462; p < 0.01]. We tested modelling Day as a random effect variable. The model improved again significantly [(5) = 18.049; p < 0.01] although Day itself is not significant. We presume that the data change daily instead of hourly, as in sleepiness, which confirms that mood is a more stable factor than sleepiness. However, this is not significant in the final model, which is presented in Table 2. No illuminance parameter increases the fit of the model nor gains statistical significance in the model. Lighting condition is the stronger predictor in the model, and participants in ALC (EMM = 5.66; SE = 0.2) reported highly significant lower mood than participants in DLC (EMM = 6.72; SE = 0.21), see Figure 5. Any other factor that was not controlled, from individual behaviour to group dynamics, other than lighting, could have affected mood. It remains the fact that the two lighting conditions generated significantly different mood states throughout the experience in the rooms, although we cannot exactly identify the causality.
Figure 5.
Mood means and standard error by time (hours), divided by lighting condition. Mood differs by LC. Mood is reported on a semantic scale with 9 steps and 5 verbal anchors 6 times per day at the end of every hour.
3.3. Behaviour
3.3.1. Activity
Activity does not change neither by Day nor by Time. Daily illuminance measured at the wrist improves the fit of the model [(1) = 4.238; p < 0.05], see Table 2 and Figure 6. Therefore, the higher the dosage of light during the day, the higher the total amount of movement measured by the actiwatches in counts per minute (B = 76.53; SE = 10.72).
Figure 6.
Hourly means of activity counts per minute (cpm) and standard error by time intervals (hours), divided by lighting condition. Activity is measured continuously with an Actiwatch worn at the wrist. Actigraphy data were registered in one-minute epochs and then transformed to one-hour periods by averaging the epochs over one-hour intervals.
3.3.2. Sleep
We could not find any difference in sleep duration, waking-up time or bed-time between Lighting Conditions or Day. We also could not find any effect of exposure values on sleep.
3.4. Summary of Emotional States and Activity
Participants’ sleepiness during the day and amount of activity is significantly correlated with mean daily exposure. The more exposure the participants received, the more movement was recorded and the less sleepiness was scored. The correlation between physical values, emotional state and behavioural aspects is significant, and it shows a medium effect for Sleepiness ( = −0.24) and strong for Activity ( = 0.39).
Mood differs between lighting conditions (p < 0.01) but it is not clear if this state is dependent on the lighting or spatial or even personal characteristics.
Sleep at night was not affected from the data that we could gather.
3.5. Perception
3.5.1. Temporal Perception
Duration is explained by lighting condition; in fact, participants in ALC reported significantly longer days (EMM = 3.82; SE = 0.26) than participants in DLC (EMM = 2.92; SE = 0.28), see Figure 7. Speed is not explained by any factor, either fixed or random. The unconditional model with Day as fixed and ID/participant as random grouping shows that Day is not significant (p = 0.59). Pace is explained by daily exposure, where the higher the exposure, the more fragmented the perception of days. In fact, the constant illumination in ALC was perceived as smooth.
Figure 7.
Mean ratings and standard error of three time parameters (duration, speed and pace) along semantic opposite scales (short-long, slow-fast, smooth-fragmented), measured at the end of each of three days (Day 1–3 in sequence from left to right) and lighting condition (ALC and DLC).
3.5.2. Lighting Parameters Perception
The illuminance values or lighting condition do not improve the model of level of light, see Figure 8. Day is significant, in fact the perception of level of light (perceived brightness) decreases, which might be explained by factors such as adaptation or boredom due to the confined experience in both conditions. Level of light is significantly higher on Day 1 (EMM = 3.94; SE = 0.19) than on Day 2 (EMM = 3.59; SE = 0.20) and Day 3 (EMM = 3.47; SE = 0.19).
Figure 8.
Mean ratings and standard error of four perceived lighting parameters (level of light, distribution, colour of light, and glare) along semantic opposite scales (dark-bright, uniform-dramatic, cold-warm, and none-intolerable), measured at the end of each of the three days (Day 1–3 in sequence from left to right) and lighting condition (ALC and DLC).
Lighting condition also does not improve the model of distribution [(1) = −2.689], and Day is not significant.
Hourly illuminance measured at the wrist at 15 h (the hour of the measurement) improves the fit of the model for Colour of Light: [(1) = −4.412; p < 0.05], see Table 5. Daily exposure improves the fit of the of the model for glare [(1) = −7.506; p < 0.01], see Table 5. The higher the illuminance, the lower the perceived glare.
4. Discussion
We found significant correlation between sleepiness and daily illuminance, and mood is better in the daylight condition, independent of light exposure. The consequences of exposure to light during the day on mental states and perception reveal the importance of lighting conditions for well-being (SDG 3) and confirm the first research question. Although an increase in light exposure was significantly related to an increase in activity, there is no advance or delay of the sleep cycle during night. Daily exposure relates also to the perception of duration of the day; in fact, the higher the exposure, the shorter the day is perceived to be. Light exposure and lighting conditions affected the perception of pace, but not the perception of speed and time passing.
4.1. Lighting Conditions and Emotional States
The correlation between daily exposure and reduced sleepiness confirms previous studies and current recommended values. Sleepiness is time-dependent and shows a circadian effect, complementary to vitality as illustrated in Smolders et al., 2013 [18]. The effects of lighting conditions and exposure on sleepiness stand out in the afternoon, see Figure 4; in fact, participants tend to be more sleepy the more distant from the lunch break. Borisuit et al. (2015) report a significant decrease in alertness in a within-subjects mixed design on the effect of daylight (without view) compared to artificial lighting [35], and Kaida et al. (2006) reported that half-hour exposure to natural bright light reduced subjective sleepiness [16], confirming our findings. The conditions in ALC were conform to the indoor lighting standard (EN 12464:2019) but lower than the recommended 250 Melanopic EDI lx [34]. A person sitting in DLC might have received exposure over this value in a good part of the working day (9–16 h).
Mood is a more stable state than sleepiness and, in our study, showed a relationship to lighting condition. It is not correlated with daily or hourly exposure, which confirms previous studies that excluded a predictive effect of daily or hourly light exposure on mood [18], also assessed at the end of the day [44]. Chronotype and age were balanced between groups, but it is not possible to specify the extent to which other personal or group dynamics could have influenced mood. From the lighting predictor side, spectrum or view or dynamics of the lighting conditions might have contributed to it. The connection to outdoor seemed to be very important to the participants in DLC; in fact, the view from the skylight and window was mentioned in several comments (ID 245: “Great sky view”) also with poetic connotation (ID 240 “Feels like the light vanishes to the end of the sky”). This aspect was not only positively connotated, as the view outside in winter months can be gloomy (ID 248 “Bad weather, looks sad, windy, grey sky and cold inside the room”; ID 259 “A dark, snowing northern winter day […] The view of outside was not pleasant as yesterday”). One participant in ALC (ID 265) commented: “The light is good—specially colour of the light […] the lack of view is a problem for this room not the light”. See complete participants’ comments in Table A1 and Table A2. A further test without view would be necessary to block this factor in the analysis of mood.
4.2. Exposure and Behaviour
The threshold or cut-point between sedentary behaviour and light activity measured by wrist actigraphy is still unclear; some studies report 145 count per minutes (cpm) [45], others 256 cpm [46]. Considering the latter investigation, activity levels reported here correspond to a sedentary activity. The higher counts registered in DLC complement well the subjective lack of sleepiness reported. We could also speculate that view might have influenced motion. Participants might have raised from the chair to reach the window or moved their gaze, and consequently the body, in reaction to the changing light and to events happening outside, which might have been registered as local movement by the actiwatches.
Circadian entrainment is a slow process, and it is possible that the duration of the intervention in both conditions was not enough to affect participants’ sleep. The participants slept in average less than seven hours a night (M = 6:06; SE = 0:14), well below the recommended amount of sleep hours [47].
4.3. Perception of Time and Lighting
Light exposure and conditions affected the perception of pace and duration of the day but not the perception of speed of the time passing. In DLC, the perceived duration of the day and the perceived pace seem to be correlated; in fact, the shorter the day was perceived to be, also the more fragmented it was perceived to be. The day in the day-lit space might be perceived more fragmented because of the external events and changes in weather and therefore of illuminance. This finding confirms the theory that the division of an interval into multiple sub-intervals tends to increase its apparent duration [26]. In short temporal intervals, moving stimuli seem to last longer than static ones [26], although this seems to be the opposite in this study, where the dynamic situation is perceived to be shorter than the static. In everyday experiences, this is frequently the case; the more things happen, the more time “flies”. Moreover, different activities might lead to different mental states and perception of time passing, independently from the lighting conditions. Participants were allowed to work on their personal tasks during the experiment and, although most commented about their working day (see Table A1 and Table A2), we do not know for certain whether some acted differently, for instance, if a participant watched a movie. We suggest to control the task or activity in the case of a replication of the study.
Perceived brightness is not correlated to daily or hourly exposure, but it significantly decreases day by day in both conditions. This might not be surprising considering that the visual system adapts to a large range of illuminances, thanks to adaptation mechanisms that occur at multiple stages of the visual process [48]. The illuminance in both conditions might fit in the same adaptation range, although the average illuminance ratio between the rooms was up to 3 times higher, see Figure 3. One participant commented on Day 2 that “The light was uniform due to stable, snowing conditions. It was quite bright all day.” even though from the illuminance data, this was the day with the highest variation and the lowest values during the afternoon.
The perceived colour of light is significantly correlated to exposure the hour prior to the evaluation. We had not registered spectral values during the experiment, but subsequent measurement (see section Spectral values in Material and Methods) suggest that at low illuminance, values correspond high colour temperature values, higher than the rest of the day. The high CCT values (>8000 K) can be perceived as “colder” (in relative comparison) than the CCT at midday (ca 6700 K). The participants perceived the colour of light significantly colder in DLC compared to ALC (circa 3000 K).
4.4. Daylighting Spaces in Scandinavian Winter
The participants in DLC received an exposure to more than 1000 lx for a period of 5 h everyday (between 10 and 15 h), which is comparable to the exposure of outdoor workers in winter in Denmark [2]. We missed similar studies comparing exposure of indoor and outdoor workers in Stockholm (59° N). However, it is inspiring to notice that a person in a day-lit room in Stockholm can be exposed to levels registered outdoor at a lower latitude. Therefore, the results suggest that natural light can be a resource for indoor daylighting, even in the dark season. We need to consider that the daylight factor (DF) of the room is 7% (2% covering the skylight and considering only the window), which means that a high ratio of the global sky illuminance/flux reaches the room interior. According to the current European regulation EN17037, the target daylight factor in buildings at northern latitudes is approximately 2%, but most buildings do not reach even the DF goal of 1% in highly dense urban setting, for instance, in Stockholm [49]. Having reported significant effects on well-being and illuminance levels comparable to outdoor exposure even in winter, this study might be of inspiration for architectural design. A city designed to optimize view to the sky could benefit even from the overcast conditions and low sun of the Scandinavian winter. We perhaps underestimate how much the sky can influence an indoor space because we tend to rely on artificial lighting. A potential exists to capture and distribute daylight (skylight and sunlight) that could contribute to sustainability goals (SDGs 7 and 11). Whether this might be feasible depends also on heating and cooling systems, although this is not the topic of this paper. Buildings could offer specific facilities that have access to the sky that could serve as spaces for dwellers’ well-being (SDG 3).
4.5. Limitations
Nowadays, solid-state light sources (LEDs) have replaced fluorescent technology. LEDs offer a lighting of comparable quality to fluorescent lighting used in this study; in fact, field studies in indoor environment in Scandinavia found that solid-state solutions are as good as the fluorescent technology they replaced [50], but offer other benefits, for instance, a lower energy consumption. We discuss the effects of lighting on users of a space; therefore, we believe that the findings reported here are technology-neutral. Seasonal studies indicate that participants might be more sensitive to variations in illuminance level during autumn and winter than during the spring and summer months [18]; therefore, there are reasons to replicate the study in another season. We have low statistical power because of the small sample size (N = 17), which we consider a recurrent issue for experimental studies spanning over multiple days, e.g., [51,52,53]. However, this means that the statistically significant effects reported are likely to be large enough to be of practical importance. It is important though to point out that we found correlation but cannot claim causation between the aspects studied. The participants were on average 29 years old (SD = 3.9) and, therefore, the validity of the results might be limited to the lower range of the working population, which, according to the Organisation for Economic Cooperation and Development (OECD), is between 15 and 64 years old. The strong correlation between illuminance values measured at the wrist with Actiwatches and on the horizontal surface contradicts a previous study that examined wrist measurements in the field [54]. We are also aware that the measurement of spectral information of light exposure [31] should be a requirement for future work.
5. Conclusions
The relation illustrated in this study between light exposure and mental states, activity and perception reveal the importance of lighting conditions for well-being. Sleepiness is, in fact, a central concept to human performance, while mood state and time perception are relevant aspects of emotional regulation and cognition. These relations were found in controlled conditions, which do not fully reflect the complexity of the environments in everyday life; therefore, we need more studies and research that can mimic real-life situations. Anyway, we need to highlight that the current results support the recent recommendations for melanopic equivalent daylight illuminance over 250 lx during the day [34] and suggest that these values can be maintained in a day-lit-only space during most of daytime working hours in the Scandinavian winter. We also see an opportunity to complement daylighting with dynamic artificial lighting systems that are synchronised to local seasonal daylight conditions. Ultimately, the findings of this study can be of inspiration for the design of health-supporting, resilient spaces that use available and clean energy.
Author Contributions
Conceptualization, F.F., A.L. and J.E.; Methodology, F.F., A.L. and J.E.; Software, F.F.; Formal analysis, F.F. and A.L.; Investigation, F.F.; Resources, F.F. and J.E.; Writing—original draft, F.F.; Writing—review & editing, F.F., A.L. and R.B.; Visualization, F.F.; Supervision, A.L. and R.B.; Project administration, F.F.; Funding acquisition, F.F. All authors have read and agreed to the published version of the manuscript.
Funding
This study was funded by Bertil och Britt Svenssons Stiftelse för belysningsteknik.
Institutional Review Board Statement
No ethics approval was required from our institution for perceptual studies such as the one reported in this paper.
Informed Consent Statement
Informed consent was obtained from all participants involved in the study.
Data Availability Statement
The data presented in this study are openly available in Zenodo at DOI: 10.5281/zenodo.7382406.
Acknowledgments
The authors are indebted to all the participants who joined the study. We thank our colleagues Rodrigo Muro for the setup of the rooms and Ute Besenecker for the detailed feedback on the manuscript. We are extremely grateful to Jennifer Veitch for her extensive review and invaluable comments. Finally, we would like to thank Bertil och Britt Svenssons Stiftelse för belysningsteknik for the support to this study.
Conflicts of Interest
The authors declare no conflict of interest.
Appendix A
Table A1.
Participants’ experience of the lighting conditions on Day 1–3, written at the end of each day as notes on the evaluation of four lighting parameters (level of light, distribution, colour of light, and glare).
Table A1.
Participants’ experience of the lighting conditions on Day 1–3, written at the end of each day as notes on the evaluation of four lighting parameters (level of light, distribution, colour of light, and glare).
| ALC ID | Day 1 | Day 2 | Day 3 |
|---|---|---|---|
| 250 | Today I felt the light was warmer than yesterday | Again like yesterday, I feel the light is too warm… | |
| 249 | The intensity of colour became stronger than the first 2 days. The perception of the glare from the reflectors of the luminaires also became kind of intolerable and harsh. I started to feel the colour temperature becoming warmer than before. The feeling of losing sense of time getting stronger, and the space’s becoming narrower than before. started to feel strong contrast. | ||
| 265 | The light is good—specially colour of the light is good. The problem is feeling like a prisoner. In my opinion the lack of view is a problem for this room not the light. Even it was the night view of outside with artificial light I would have felt much better. | ||
| 254 | The condition haven’t changed although now I notice it is a bit more dramatic then it seemed yesterday. I find more contrast. | The room has a very clear lighting, focus and although the whole room is lit up ’well’. Some areas seem very dark and unpleasant (around the doors and the middle of the tables). | |
| 231 | I feel the brightness seems lower than the previous day. | Feel the light continues to become darker and gloomy than the previous days. | |
| 252 | Multiple shadows, one is stronger than the others. | ||
| 258 | |||
| 239 | |||
| 240 | Looks like the colours are changing from 14:00 to 16:30. | Today I was adapted to the environment. I think we have a feeling of being at our place somehow. | |
| 262 | The light was very uniform and pleasant to be | The day was snowing so the light was not as bright as yesterday. Overall, the light was more uniform due to stable, snowing conditions, It kept quite bright all day. | Overcast and partially sunny: I like working in natural daylight. The space feels open and easy to be in. |
| 260 | [⋯] you’re like outside in winter | ||
| 248 | Bad weather, look sad, windy, gray sky and little cold inside the room(from after lunch time). | ||
| 253 | Quite ok | Good lighting condition | |
| 245 | The color of the light is rather cold. Snowy theme outside the window, the atmosphere of room seems cold. | ||
| 241 | If not looking at a computer screen, reflection wouldn’t be a problem. | ||
| 244 | I did not feel glare because I focused more on my book than looking to the wall or window. But when I looked towards the window or walls I felt glare to some extent. | ||
| 259 | It was an overcast day with a high level of illumination. Light ? the day was pleasant. | A dark, snowing northern winter-day.Total experience and view of outside was not pleasant as yesterday. | It was a partly sunny partly cloudy day. Lighting conditions varied a lot. |
Table A2.
Participants’ experience of time passing on Day 1–3, written at the end of each day as notes on the evaluation of the temporal characteristics (duration, speed, and pace).
Table A2.
Participants’ experience of time passing on Day 1–3, written at the end of each day as notes on the evaluation of the temporal characteristics (duration, speed, and pace).
| ALC | |||
|---|---|---|---|
| ID | Day 1 | Day 2 | Day 3 |
| 250 | I want to concentrate on what I’m doing(which is quite boring!) but it’s not that easy! | The worst thing for me is having no connection to outside, I had a feeling like I’m in bed and I need daylight to make myself awake! And I can’t do this!! | I had to stay, while there was no motivation… no sense of belonging to the space. |
| 249 | If there’s no clock or watch, It’s too difficult to tell the time. Also people rarely have happy face, always quite, even more quiet than in a hospital. | No sense of orientation, No sense of time. Narrow space. | |
| 265 | For me it’s not just only like a boring lecture. It’s more like being in a prison for a short time, with no exciting event, just having my laptop saved me and helped me to feel better. | Today I was more bored actually after 13 o’clock. But as same as yesterday in the beginning of the day was different for me, I felt extremely alert and in a good mood, after some hours I’m going to feel worst. | Today I didn’t have my laptop with myself. So I felt today worst comparing the past 2 days, and having a bad last night sleeping had a awful effect on me. |
| 254 | The light doesn’t have any problem. The problem is the feeling of being forced in a room for long time. | ||
| 231 | it is much closer to waiting to the train station in the middle of the night. | A long standby because it is like I’m waiting for something to happen but no idea when. So it makes me anxious and weary. | For me being in a shopping mall is tedious and slow, also I usually can’t wait for it to be over. |
| 252 | Just like a scene I’ve experienced before. | Not so energetic but the general status is still ok. You always wait for the time of the meal, you feel hungry more often. | No stress but never find an exciting point and the feeling is not going well but getting slightly worse than the previous days. |
| 258 | |||
| 239 | |||
| 240 | Quite an atmosphere for me. I love reading and I have to say I enjoyed it. It was like watching a movie. | I didn’t notice the time passing by. It’s almost over and I spent almost the whole day inside the room. This was looking impossible at the first day. | |
| 262 | I was very tired so it felt like time was passing slowly in order for me to get to leave for work. | It’s a nice place to work in. | |
| 260 | Similar to the free spent time at home | ||
| 248 | Sitting close window watching outside the bad, cold, windy weather and gray sky also people How they look giving you cold feeling from outside to inside(room) so energy go down. | sunny day and bright—active day. So bad for not doing work inside the room | |
| 253 | Even lit, quite cold light. You really feel the light going down in the afternoon! | I was pretty busy today so it went rather quick by. The skylight outside was more comfortable toady. | I was tired today due to little sleep, sky very greyish and colors quite vague! |
| 245 | Alternate attention/Inattention. Few moments of focus. | Feels like the light is going down to the end of the sky | Great sky view |
| 241 | the color is similar to hospital light | ||
| 244 | Not sunny but a pleasant day spent outside! | The dark grey clouds passed in front of me all day long in a different variety of shades. | 3rd. day in the same spot felt like déjà vu |
| 259 | It was like being outdoor, but feeling no cold | It was like sitting in a not-crowed shopping mall | I felt a kind of freedom like being in a shopping mall while sitting in its middle to rest |
References
- Czeisler, C.A. Perspective: Casting light on sleep deficiency. Nature 2013, 497, S13. [Google Scholar] [CrossRef] [PubMed]
- Daugaard, S.; Markvart, J.; Bonde, J.P.; Christoffersen, J.; Garde, A.H.; Hansen, Å.M.; Schlünssen, V.; Vestergaard, J.M.; Vistisen, H.T.; Kolstad, H.A. Light Exposure during Days with Night, Outdoor, and Indoor Work. Ann. Work Expo. Health 2019, 63, 651–665. [Google Scholar] [CrossRef] [PubMed]
- Lowden, A.; Lemos, N.; Gonçalves, B.; Öztürk, G.; Louzada, F.; Pedrazzoli, M.; Moreno, C. Delayed Sleep in Winter Related to Natural Daylight Exposure among Arctic Day Workers. Clocks Sleep 2018, 1, 105–116. [Google Scholar] [CrossRef] [PubMed]
- Gaston, K.J.; Bennie, J.; Davies, T.W.; Hopkins, J. The ecological impacts of nighttime light pollution: A mechanistic appraisal. Biol. Rev. 2013, 88, 912–927. [Google Scholar] [CrossRef]
- Edwards, L.; Torcellini, P. A Literature Review of the Effects of Natural Light on Buildings Occupants; Technical report; National Renewable Energy Laboratory—U.S. Department of Energy Laboratory: Golden, CO, USA, 2002.
- Boyce, P.; Hunter, C.; Howlett, O. The Benefits of Daylight through Windows Sponsored by: Capturing the Daylight Dividend Program The Benefits of Daylight through Windows. Exposure 2003, 1, 1–88. [Google Scholar]
- Veitch, J.A.; Newsham, G.R.; Boyce, P.R.; Jones, C.C. Lighting appraisal, well-being and performance in open-plan offices: A linked mechanisms approach. Light. Res. Technol. 2008, 40, 133–148. [Google Scholar] [CrossRef]
- Aries, M.B.; Aarts, M.P.; Hoof, J.V. Daylight and health: A review of the evidence and consequences for the built environment. Light. Res. Technol. 2013, 47, 1–22. [Google Scholar] [CrossRef]
- Lowden, A.; Favero, F. Light and health—A summary of research focusing on the importance of daylight in the living environment. (Swedish: Ljus och hälsa. En kunskapssammanställning med fokus pådagsljusets betydelse i inomhusmiljö.). Folkhälsomyndigheten 2017, 1–49. Available online: https://scholar.google.com/scholar?hl=fr&as_sdt=0%2C5&q=Ljus+och+h%C3%A4lsa%3A+En+kunskapssammansta%CC%88llning+med+fokus+pa%CC%8A+dagsljusets+betydelse+i+inomhusmiljo%CC%88&btnG= (accessed on 29 November 2022).
- Aarts, M. Changing perspectives on daylight: Science, technology, and culture. Supplement to Science. Science 2017, 358, 1–48. [Google Scholar]
- Knoop, M.; Stefani, O.; Bueno, B.; Matusiak, B.; Hobday, R.; Wirz-Justice, A.; Martiny, K.; Kantermann, T.; Aarts, M.P.; Zemmouri, N.; et al. Daylight: What makes the difference? Light. Res. Technol. 2019, 0, 1–20. [Google Scholar] [CrossRef]
- Lundgren, M. Performance in the Swedish Building Code: An Inquiry into the Consequences for Architectural Design of the Formulation and Assessment of Performance Requirements. Ph.D. Thesis, KTH, Stockholm, Sweden, 2019. [Google Scholar]
- Münch, M.; Wirz-Justice, A.; Brown, S.A.; Kantermann, T.; Martiny, K.; Stefani, O.; Vetter, C.; Wright, K.P.; Wulff, K.; Skene, D.J. The Role of Daylight for Humans: Gaps in Current Knowledge. Clocks Sleep 2020, 2, 61–85. [Google Scholar] [CrossRef]
- Veitch, J.A.; Gifford, R. Choice, perceived control, and performance decrements in the physical environment. J. Environ. Psychol. 1996, 16, 269–276. [Google Scholar] [CrossRef]
- Aan het Rot, M.; Moskowitz, D.S.; Young, S.N. Exposure to bright light is associated with positive social interaction and good mood over short time periods: A naturalistic study in mildly seasonal people. J. Psychiatr. Res. 2008, 42, 311–319. [Google Scholar] [CrossRef]
- Kaida, K.; Takahashi, M.; Haratani, T.; Otsuka, Y.; Fukasawa, K.; Nakata, A. Indoor exposure to natural bright light prevents afternoon sleepiness. Sleep 2006, 29, 462–469. [Google Scholar] [CrossRef] [PubMed]
- De Zeeuw, J.; Papakonstantinou, A.; Nowozin, C.; Stotz, S.; Zaleska, M.; Hädel, S.; Bes, F.; Münch, M.; Kunz, D. Living in Biological Darkness: Objective Sleepiness and the Pupillary Light Responses Are Affected by Different Metameric Lighting Conditions during Daytime. J. Biol. Rhythm. 2019, 34, 410–431. [Google Scholar] [CrossRef] [PubMed]
- Smolders, K.; de Kort, Y.; van den Berg, S. Daytime light exposure and feelings of vitality: Results of a field study during regular weekdays. J. Environ. Psychol. 2013, 36, 270–279. [Google Scholar] [CrossRef]
- Fox, E. Emotion Science; Macmillan Education UK: London, UK, 2008. [Google Scholar] [CrossRef]
- Scherer, K.R. The dynamic architecture of emotion: Evidence for the component process model. Cogn. Emot. 2009, 23, 1307–1351. [Google Scholar] [CrossRef]
- Legates, T.A.; Altimus, C.M.; Wang, H.; Lee, H.K.; Yang, S.; Zhao, H.; Kirkwood, A.; Weber, E.T.; Hattar, S. Aberrant light directly impairs mood and learning through melanopsin-expressing neurons. Nature 2012, 491, 594–598. [Google Scholar] [CrossRef]
- Åkerstedt, T.; Gillberg, M. Subjective and Objective Sleepiness in the Active Individual. Int. J. Neurosci. 1990, 52, 29–37. [Google Scholar] [CrossRef]
- Gillberg, M.; Kecklund, G.; Akerstedt, T. Relations between performance and subjective ratings of sleepiness during a night awake. Sleep 1994, 17, 236–241. [Google Scholar] [CrossRef]
- Burns, A.C.; Saxena, R.; Vetter, C.; Phillips, A.J.; Lane, J.M.; Cain, S.W. Time spent in outdoor light is associated with mood, sleep, and circadian rhythm-related outcomes: A cross-sectional and longitudinal study in over 400,000 UK Biobank participants. J. Affect. Disord. 2021, 295, 347–352. [Google Scholar] [CrossRef] [PubMed]
- Evans, G.W.; Mccoy, J.M. When Buildings Don’t Work: The Role Of Architecture In Human Health. J. Environ. Psychol. 1996, 18, 85–94. [Google Scholar] [CrossRef]
- Matthews, W.J.; Meck, W.H. Time perception: The bad news and the good. Wiley Interdiscip. Rev. Cogn. Sci. 2014, 5, 429–446. [Google Scholar] [CrossRef] [PubMed]
- Cajochen, C.; Freyburger, M.; Basishvili, T.; Garbazza, C.; Rudzik, F.; Renz, C.; Kobayashi, K.; Shirakawa, Y.; Stefani, O.; Weibel, J. Effect of daylight LED on visual comfort, melatonin, mood, waking performance and sleep. Light. Res. Technol. 2019, 51, 1044–1062. [Google Scholar] [CrossRef]
- Figueiro, M.; Rea, M. Office lighting and personal light exposures in two seasons: Impact on sleep and mood. Light. Res. Technol. 2016, 48, 352–364. [Google Scholar] [CrossRef]
- Kozaki, T.; Miura, N.; Takahashi, M.; Yasukouchi, A. Effect of reduced illumination on insomnia in office workers. J. Occup. Health 2012, 54, 331–335. [Google Scholar] [CrossRef]
- Giménez, M.C.; Geerdinck, L.M.; Versteylen, M.; Leffers, P.; Meekes, G.; Herremans, H.; Ruyter, B.E.R.d.; Bikker, J.W.; Kuijpers, P.; Schlangen, L.J.M. Patient room lighting influences on sleep, appraisal and mood in hospitalised people. J. Sleep Res. 2017, 26, 236–246. [Google Scholar] [CrossRef]
- CIE. CIE S 026/E:2018 CIE System for Metrology of Optical Radiation for ipRGC-Influenced Responses to Light; Technical report; International Commission on Illumination: Vienna, Austria, 2018. [Google Scholar] [CrossRef]
- Lucas, R.J.; Peirson, S.N.; Berson, D.M.; Brown, T.M.; Cooper, H.M.; Czeisler, C.A.; Figueiro, M.G.; Gamlin, P.D.; Lockley, S.W.; O’Hagan, J.B.; et al. Measuring and using light in the melanopsin age. Trends Neurosci. 2014, 37, 1–9. [Google Scholar] [CrossRef]
- Brown, T.M. Melanopic illuminance defines the magnitude of human circadian light responses under a wide range of conditions. J. Pineal Res. 2020, 69, 1–14. [Google Scholar] [CrossRef]
- Brown, T.M.; Brainard, G.C.; Cajochen, C.; Czeisler, C.A.; Hanifin, J.P.; Lockley, S.W.; Lucas, J.R.; Münch, M.; O’Hagan, J.B.; Peirson, S.N.; et al. Recommendations for Healthy Daytime, Evening, and Night-Time Indoor Light Exposure. PLoS Biol. 2022, 20, 3. [Google Scholar] [CrossRef]
- Borisuit, A.; Linhart, F.; Scartezzini, J.L.; Münch, M. Effects of realistic office daylighting and electric lighting conditions on visual comfort, alertness and mood. Light. Res. Technol. 2015, 47, 192–209. [Google Scholar] [CrossRef]
- Boyce, P.R.; Veitch, J.A.; Newsham, G.R.; Jones, C.C.; Heerwagen, J.; Myer, M.; Hunter, C.M. Lighting quality and office work: Two field simulation experiments. Light. Res. Technol. 2006, 38, 191–223. [Google Scholar] [CrossRef]
- Ejhed, J. Lighting and environmental design—A full scale study. In CIE: Proceedings 22nd Session; Australian Road Research Board: Melbourne, Australia, 1991. [Google Scholar]
- Matusiak, B.S.; Klöckner, C.A. How we evaluate the view out through the window. Archit. Sci. Rev. 2016, 59, 203–211. [Google Scholar] [CrossRef]
- Flynn, J.; Hendrick, C.; Spencer, T.; Martyniuk, O. A guide to methodology procedures for measuring subjective impressions in lighting. J. Illum. Eng. Soc. 1979, 8, 95–110. [Google Scholar] [CrossRef]
- Liljefors, A. Lighting—Visually and Physically; KTH Royal Institute of Technology—School of Architecture: Stockholm, Sweden, 1999. [Google Scholar]
- Torsvall, L.; Åkerstedt, T. A Diurnal Type Scale Construction, Consistency and Validation in Shift Work. Scand. J. Work. Environ. Health 1980, 6, 283–290. [Google Scholar] [CrossRef] [PubMed]
- JASP Team. JASP (Version 0.16.4) [Computer software] 2022. Available online: https://jasp-stats.org/download/ (accessed on 1 September 2022).
- Field, A. An Adventure in Statistics: The Reality Enigma; SAGE Publications Ltd.: London, UK, 2016; p. 768. [Google Scholar]
- Hubalek, S.; Brink, M.; Schierz, C. Office workers’ daily exposure to light and its influence on sleep quality and mood. Light. Res. Technol. 2010, 42, 33–50. [Google Scholar] [CrossRef]
- Neil-Sztramko, S.E.; Rafn, B.S.; Gotay, C.C.; Campbell, K.L. Determining activity count cut-points for measurement of physical activity using the Actiwatch2 accelerometer. Physiol. Behav. 2017, 173, 95–100. [Google Scholar] [CrossRef]
- Kemp, C.; Pienaar, P.R.; Henst, R.H.; Roden, L.C.; Kolbe-Alexander, T.L.; Rae, D.E. Assessing the validity and reliability and determining cut-points of the Actiwatch 2 in measuring physical activity. Physiol. Meas. 2020, 41, 085001. [Google Scholar] [CrossRef]
- Cappuccio, F.P.; Miller, M.A.; Lockley, S.W. Sleep, Health and Society; Oxford University Press: Oxford, UK, 2010. [Google Scholar] [CrossRef]
- Boyce, P.R. Human Factors in Lighting; CRC Press: Boca Raton, FL, USA, 2014. [Google Scholar]
- Bournas, I.; Dubois, M.C. Daylight regulation compliance of existing multi-family apartment blocks in Sweden. Build. Environ. 2019, 150, 254–265. [Google Scholar] [CrossRef]
- Gentile, N.; Goven, T.; Laike, T.; Sjoberg, K. A field study of fluorescent and LED classroom lighting. Light. Res. Technol. 2018, 50, 631–650. [Google Scholar] [CrossRef]
- Figueiro, M.G.; Saldo, E.; Rea, M.S.; Kubarek, K.; Cunningham, J.; Rea, M.S. Developing Architectural Lighting Designs to Improve Sleep in Older Adults. Open Sleep J. 2008, 1, 40–51. [Google Scholar] [CrossRef]
- Pirkola, S.; Eriksen, H.; Partonen, T.; Kieseppä, T.; Veijola, J.; Jääskeläinen, E.; Mylläri-Figuerola, E.M.; Salo, P.; Paunio, T. Seasonal variation in affective and other clinical symptoms among high-risk families for bipolar disorders in an arctic population. Int. J. Circumpolar Health 2015, 74, 29671. [Google Scholar] [CrossRef]
- Nioi, A.; Roe, J.; Gow, A.; McNair, D.; Aspinall, P. Seasonal Differences in Light Exposure and the Associations With Health and Well-Being in Older Adults: An Exploratory Study. Health Environ. Res. Des. J. 2017, 10, 64–79. [Google Scholar] [CrossRef] [PubMed]
- Figueiro, M.G.; Hamner, R.; Bierman, A.; Rea, M.S. Comparisons of three practical field devices used to measure personal light exposures and activity levels. Light. Res. Technol. 2013, 45, 421–434. [Google Scholar] [CrossRef] [PubMed]
Disclaimer/Publisher’s Note: The statements, opinions and data contained in all publications are solely those of the individual author(s) and contributor(s) and not of MDPI and/or the editor(s). MDPI and/or the editor(s) disclaim responsibility for any injury to people or property resulting from any ideas, methods, instructions or products referred to in the content. |
© 2023 by the authors. Licensee MDPI, Basel, Switzerland. This article is an open access article distributed under the terms and conditions of the Creative Commons Attribution (CC BY) license (https://creativecommons.org/licenses/by/4.0/).







