Prediction of Streamflow Drought Index for Short-Term Hydrological Drought in the Semi-Arid Yesilirmak Basin Using Wavelet Transform and Artificial Intelligence Techniques
Abstract
1. Introduction
2. Materials and Method
2.1. Study Area and Data
2.2. Streamflow Drought İndex (SDI)
2.3. Selection of Input Parameters
2.4. Machine Learning Models
2.4.1. Support Vector Machine (SVM)
2.4.2. Gaussian Processes Regression (GPR)
2.4.3. Regression Tree (RT)
2.4.4. Ensembles of Trees (ET)
2.4.5. eXtreme Gradient Boosting (XGBOOST)
2.5. Wavelet Transformation (WT)
2.6. Performance Evaluation
3. Methodology
4. Results
4.1. Input Selection and Establishment of Machine Learning Models
4.2. Comparison of Machine Learning Models
5. Discussion
6. Conclusions
- This study proves that the wavelet-based machine learning model successfully predicts drought;
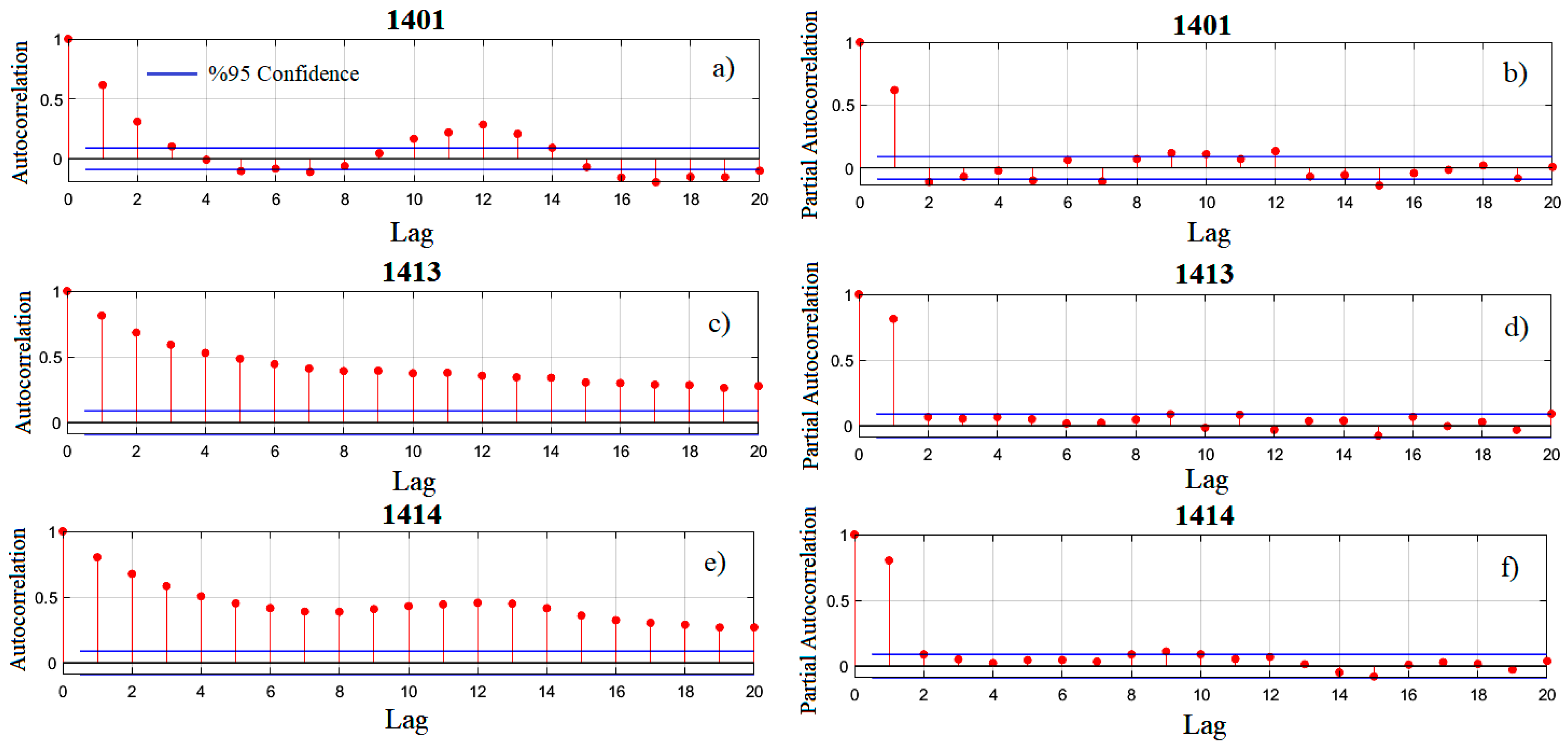
- According to the ACF and PACF graphs, it has been deduced that SDI values with a lag of 1, 2, 3, 4, 8, 9, 10, 11, and 12 months can be used effectively in drought-predicting models;
- The wavelet-based machine learning model has proven to be successful in drought predicting;
- It has been determined that the drought prediction success of machine learning models increases when inputs separated into sub-signals by the discrete wavelet transform are used;
- The best stand-alone machine learning techniques were obtained by comparing various statistical parameters as XGBOOST;
- Hybrid wavelet–MGPR and XGBOOST models were the best models to predict the SDI value during the 1-month lead-time in the Yesilirmak basin;
- When the performances of different mother wavelets (db10, Haar, Sym8, and Coif5) were compared, it was revealed that the db10 wavelet was the best in drought prediction;
- All selected model combinations gave realistic results in the prediction of droughts. In addition, the highest prediction accuracy (R2:0.99) was obtained with the combination of f (SDI(t-10), SDI(t-8), SDI(t-3), SDI(t-2), SDI(t-1), and SDI(t))= SDI(t + 1) in 1413 no streamflow observation station;
- The FGSVR model was notably the worst prediction model. In addition, the wavelet–FGSVR model does not have sufficient prediction accuracy.
Funding
Institutional Review Board Statement
Informed Consent Statement
Data Availability Statement
Acknowledgments
Conflicts of Interest
Ethical Approval
Abbreviations
| DrinC | Drought indices calculator |
| ANNs | Artificial neural networks |
| PHDI | Palmer hydrological drought index |
| SWSI | Surface water supply index |
| SRI | Standardized runoff index |
| SDI | Streamflow drought index |
| CANFIS | Coactive neuro-fuzzy inference system |
| MLPNN | Multi-layer perceptron neural network |
| MLR | Multiple linear regression |
| WD | Wavelet decomposition |
| SVM | Support vector machine |
| EMD | Empirical mode decomposition |
| ANFIS | Adaptive neuro-fuzzy inference system |
| GMDH | Group method of data handling |
| XGBOOST | eXtreme gradient boosting |
| GPR | Gaussian processes regression |
| RT | Regression tree |
| ET | Ensembles of trees |
| MSE | Mean square error |
| RMSE | Root means square error |
| MAE | Mean absolute error |
| ACF | Autocorrelation functions |
| PACF | Partial autocorrelation functions |
References
- Bryant, E. Natural Hazards, 2nd ed.; Cambridge University Press: Cambridge, UK, 2004. [Google Scholar] [CrossRef]
- Morid, S.; Smakhtin, V.; Bagherzadeh, K. Drought forecasting using artificial neural networks and time series of drought indices. Int. J. Climatol. A J. R. Meteorol. Soc. 2007, 27, 2103–2111. [Google Scholar] [CrossRef]
- Karavitis, C.A.; Alexandris, S.; Tsesmelis, D.E.; Athanasopoulos, G. Application of the standardized precipitation index (SPI) in Greece. Water 2011, 3, 787–805. [Google Scholar]
- Khan, M.M.H.; Muhammad, N.S.; El-Shafie, A. Wavelet based hybrid ANN-ARIMA models for meteorological drought forecasting. J. Hydrol. 2020, 590, 125380. [Google Scholar] [CrossRef]
- Aghelpour, P.; Bahrami-Pichaghchi, H.; Varshavian, V. Hydrological drought forecasting using multi-scalar streamflow drought index, stochastic models and machine learning approaches, in northern Iran. Stoch. Environ. Res. Risk Assess. 2021, 1–21. [Google Scholar] [CrossRef]
- Yevjevich, V.M. Objective Approach to Definitions and Investigations of Continental Hydrologic Droughts; Hydrology Paper 1967, no. 23; Colorado State University: Fort Collins, CO, USA, 1967. [Google Scholar]
- Tallaksen, L.M.; Van Lanen, H.A. Hydrological Drought: Processes and Estimation Methods for Streamflow and Groundwater; Developments in Water Sciences 48; Elsevier Science B.V.: Amsterdam, The Netherlands, 2004; 580p. [Google Scholar]
- Fleig, A. Hydrological Drought–A Comparative Study Using Daily Discharge Series from around the World; Der Albert-Ludwigs-Universität Freiburg i. Br: Breisgau, Germany, 2004. [Google Scholar]
- Nalbantis, I. Evaluation of a hydrological drought index. Eur. Water 2008, 23, 67–77. [Google Scholar]
- Shamshirband, S.; Hashemi, S.; Salimi, H.; Samadianfard, S.; Asadi, E.; Shadkani, S.; Kargar, K.; Mosavi, A.; Nabipour, N.; Chau, K.-W. Predicting standardized streamflow index for hydrological drought using machine learning models. Eng. Appl. Comput. Fluid Mech. 2020, 14, 339–350. [Google Scholar] [CrossRef]
- Nalbantis, I.; Tsakiris, G. Assessment of hydrological drought revisited. Water Resour. Manag. 2009, 23, 881–897. [Google Scholar] [CrossRef]
- Myronidis, D.; Ioannou, K.; Fotakis, D.; Dörflinger, G. Streamflow and hydrological drought trend analysis and forecasting in Cyprus. Water Resour. Manag. 2018, 32, 1759–1776. [Google Scholar] [CrossRef]
- Tabari, H.; Nikbakht, J.; Hosseinzadeh Talaee, P. Hydrological drought assessment in Northwestern Iran based on streamflow drought index (SDI). Water Resour. Manag. 2013, 27, 137–151. [Google Scholar]
- Jahangir, M.H.; Yarahmadi, Y. Hydrological drought analyzing and monitoring by using Streamflow Drought Index (SDI) (case study: Lorestan, Iran). Arab. J. Geosci. 2020, 13, 1–12. [Google Scholar] [CrossRef]
- Mishra, A.K.; Singh, V.P. A review of drought concepts. J. Hydrol. 2010, 391, 202–216. [Google Scholar] [CrossRef]
- Borji, M.; Malekian, A.; Salajegheh, A.; Ghadimi, M. Multi-time-scale analysis of hydrological drought forecasting using support vector regression (SVR) and artificial neural networks (ANN). Arab. J. Geosci. 2016, 9, 1–10. [Google Scholar] [CrossRef]
- Belayneh, A.; Adamowski, J.; Khalil, B.; Ozga-Zielinski, B. Long-term SPI drought forecasting in the Awash River Basin in Ethiopia using wavelet neural network and wavelet support vector regression models. J. Hydrol. 2014, 508, 418–429. [Google Scholar] [CrossRef]
- Mishra, A.; Desai, V.; Singh, V.J. Drought forecasting using a hybrid stochastic and neural network model. J. Hydrol. Eng. 2007, 12, 626–638. [Google Scholar] [CrossRef]
- Fung, K.F.; Huang, Y.F.; Koo, C.H. Coupling fuzzy–SVR and boosting–SVR models with wavelet decomposition for meteorological drought prediction. Environ. Earth Sci. 2019, 78, 1–18. [Google Scholar] [CrossRef]
- Mohamadi, S.; Sammen, S.S.; Panahi, F.; Ehteram, M.; Kisi, O.; Mosavi, A.; Ahmed, A.N.; El-Shafie, A.; Al-Ansari, N.J.N.H. Zoning map for drought prediction using integrated machine learning models with a nomadic people optimization algorithm. Nat. Hazards 2020, 104, 537–579. [Google Scholar] [CrossRef]
- Dehghani, M.; Saghafian, B.; Rivaz, F.; Khodadadi, A. Evaluation of dynamic regression and artificial neural networks models for real-time hydrological drought forecasting. Arab. J. Geosci. 2017, 10, 1–13. [Google Scholar] [CrossRef]
- Djerbouai, S.; Souag-Gamane, D. Drought forecasting using neural networks, wavelet neural networks, and stochastic models: Case of the Algerois Basin in North Algeria. Water Resour. Manag. 2016, 30, 2445–2464. [Google Scholar] [CrossRef]
- Hong, X.; Guo, S.; Zhou, Y.; Xiong, L. Uncertainties in assessing hydrological drought using streamflow drought index for the upper Yangtze River basin. Stoch. Environ. Res. Risk Assess. 2015, 29, 1235–1247. [Google Scholar] [CrossRef]
- Malik, A.; Kumar, A.; Singh, R.P. Application of heuristic approaches for prediction of hydrological drought using multi-scalar streamflow drought index. Water Resour. Manag. 2019, 33, 3985–4006. [Google Scholar] [CrossRef]
- Wirsing, K. Time frequency analysis of wavelet and Fourier transform. In Wavelet Theory; IntechOpen: London, UK, 2020. [Google Scholar]
- Özger, M.; Başakın, E.E.; Ekmekcioğlu, Ö.; Hacısüleyman, V. Comparison of wavelet and empirical mode decomposition hybrid models in drought prediction. Comput. Electron. Agric. 2020, 179, 105851. [Google Scholar] [CrossRef]
- Malik, A.; Kumar, A. Meteorological drought prediction using heuristic approaches based on effective drought index: A case study in Uttarakhand. Arab. J. Geosci. 2020, 13, 1–17. [Google Scholar] [CrossRef]
- Ahmadi, F.; Mehdizadeh, S.; Mohammadi, B. Development of Bio-Inspired-and Wavelet-Based Hybrid Models for Reconnaissance Drought Index Modeling. Water Resour. Manag. 2021, 35, 4127–4147. [Google Scholar] [CrossRef]
- Karbasi, M.; Karbasi, M.; Jamei, M.; Malik, A.; Azamathulla, H.M. Development of a new wavelet-based hybrid model to forecast multi-scalar SPEI drought index (case study: Zanjan city, Iran). Theor. Appl. Clim. 2021, 147, 499–522. [Google Scholar] [CrossRef]
- Achite, M.; Banadkooki, F.B.; Ehteram, M.; Bouharira, A.; Ahmed, A.N.; Elshafie, A. Exploring Bayesian model averaging with multiple ANNs for meteorological drought forecasts. Stoch. Environ. Res. Risk Assess. 2022, 36, 1835–1860. [Google Scholar] [CrossRef]
- Elbeltagi, A.; Kumar, M.; Kushwaha, N.L.; Pande, C.B.; Ditthakit, P.; Vishwakarma, D.K.; Subeesh, A. Drought indicator analysis and forecasting using data driven models: Case study in Jaisalmer, India. Stoch. Environ. Res. Risk Assess. 2022, 1–19. [Google Scholar] [CrossRef]
- Kumar, R.; Kumar, A.; Shankhwar, A.K.; Vishkarma, D.K.; Sachan, A.; Singh, P.; Jahangeer, J.; Verma, A.; Kumar, V. Modelling of meteorological drought in the foothills of Central Himalayas: A case study in Uttarakhand State, India. Ain Shams Eng. J. 2022, 13, 101595. [Google Scholar] [CrossRef]
- Katipoğlu, O.M. Monthly streamfow prediction in Amasya, Türkiye, using an integrated approach of a feedforward backpropagation neural network and discrete wavelet transform. Model. Earth Syst. Environ. 2022. [Google Scholar] [CrossRef]
- Serencam, U. Innovative trend analysis of total annual rainfall and temperature variability case study: Yesilirmak region, Turkey. Arabian J. Geosci. 2019, 12, 1–9. [Google Scholar] [CrossRef]
- Üstündağ, S. Comparative trend analysis of temperature, precipitation, evaporation and flow data in Yeşilırmak Basin. Master’s Thesis, Karabuk University Graduate, School of Education Department of Geography, Karabuk, Turkey, 2022. [Google Scholar]
- Boustani, A.; Ulke, A. Investigation of meteorological drought indices for environmental assessment of Yesilirmak Region. J. Environ. Treat. Tech. 2020, 8, 374–381. [Google Scholar]
- Katipoglu, O.M.; Yeşilyurt, S.N.; Dalkılıç, H.Y. Trend analysis of hydrological droughts in Yeşilırmak basin by Mann Kendall and Sen Innovative Trend Analysis. Gumushane Univ. J. Sci. 2022, 12, 422–442. [Google Scholar]
- McKee, T.B.; Doesken, N.J.; Kleist, J. The relationship of drought frequency and duration to time scales. In Proceedings of the 8th Conference on Applied Climatology, Anaheim, CA, USA, 17–22 January 1993; pp. 179–183. [Google Scholar]
- Gaona, J.; Quintana-Segui, P.; Escorihuela, J.M.; Boone, A.; Llasat, M.C. Interactions between precipitation, evapotranspiration and soil moisture-based indices to characterize drought with high-resolution remote sensing and land-surface model data. Nat. Hazards Earth Syst. Sci. Discuss. 2022, 22, 3461–3485. [Google Scholar] [CrossRef]
- Zucco, G.; Brocca, L.; Moramarco, T.; Morbidelli, R. Influence of land use on soil moisture spatial–temporal variability and monitoring. J. Hydrol. 2014, 516, 193–199. [Google Scholar] [CrossRef]
- Landeras, G.; Ortiz-Barredo, A.; López, J.J. Forecasting weekly evapotranspiration with ARIMA and artificial neural network models. J. Irrig. Drain. Eng. 2009, 135, 323–334. [Google Scholar] [CrossRef]
- Deo, R.C.; Tiwari, M.K.; Adamowski, J.F.; Quilty, J.M. Forecasting effective drought index using a wavelet extreme learning machine (W-ELM) model. Stoch. Environ. Res. Risk Assess. 2017, 31, 1211–1240. [Google Scholar] [CrossRef]
- Vapnik, V. The Nature of Statistical Learning Theory; Springer: Cham, Switzerland, 2013. [Google Scholar]
- Wang, L. Support Vector Machines: Theory and Applications; Springer: Cham, Switzerland, 2005; Volume 177. [Google Scholar]
- Muller, K.-R.; Mika, S.; Ratsch, G.; Tsuda, K.; Scholkopf, B. An introduction to kernel-based learning algorithms. IEEE Trans. Neural Networks 2001, 12, 181–201. [Google Scholar] [CrossRef]
- MathWorks. Statistics and Machine Learning Toolbox™ User’s Guide. Available online: https://www.mathworks.com/help/pdf_doc/stats/stats.pdf (accessed on 17 November 2022).
- Kushwaha, N.L.; Rajput, J.; Elbeltagi, A.; Elnaggar, A.Y.; Sena, D.R.; Vishwakarma, D.K.; Mani, I.; Hussein, E.E. Data intelligence model and meta-heuristic algorithms-based pan evaporation modelling in two different agro-climatic zones: A case study from Northern India. Atmosphere 2021, 12, 1654. [Google Scholar] [CrossRef]
- Fairbrother, J.; Nemeth, C.; Rischard, M.; Brea, J.; Pinder, T. GaussianProcesses. jl: A Non-parametric Bayes package for the Julia Language. J. Stat. Softw. 2022, 102, 1–36. [Google Scholar] [CrossRef]
- Chen, J.; Li, M.; Wang, W. Statistical uncertainty estimation using random forests and its application to drought forecast. Math. Probl. Eng. 2012, 2012, 915053. [Google Scholar] [CrossRef]
- Zhang, N.; Leatham, K. Neurodynamics-Based Nonnegative Matrix Factorization for Classification. In International Conference on Neural Information Processing; Springer: Cham, Switzerland, 2018; pp. 519–529. [Google Scholar]
- Rasmussen, C.E.; Williams, C. Gaussian Processes for Machine Learning; MIT Press: Cambridge, MA, USA, 2006; Volume 1. [Google Scholar]
- Gao, W.; Karbasi, M.; Hasanipanah, M.; Zhang, X.; Guo, J. Developing GPR model for forecasting the rock fragmentation in surface mines. Eng. Comput. 2018, 34, 339–345. [Google Scholar] [CrossRef]
- Subbarao, M.V.; Samundiswary, P. Automatic modulation recognition in cognitive radio receivers using multi-order cumulants and decision trees. Int. J. Rec. Technol. Eng. (IJRTE) 2018, 7, 61–69. [Google Scholar]
- Zounemat-Kermani, M.; Batelaan, O.; Fadaee, M.; Hinkelmann, R. Ensemble machine learning paradigms in hydrology: A review. J. Hydrol. 2021, 598, 126266. [Google Scholar] [CrossRef]
- Naghibi, S.A.; Pourghasemi, H.R.; Dixon, B. GIS-based groundwater potential mapping using boosted regression tree, classification and regression tree, and random forest machine learning models in Iran. Environ. Monit. Assess. 2016, 188, 1–27. [Google Scholar] [CrossRef] [PubMed]
- Alnahit, A.O.; Mishra, A.K.; Khan, A.A. Stream water quality prediction using boosted regression tree and random forest models. Stoch. Environ. Res. Risk Assess. 2022, 36, 2661–2680. [Google Scholar] [CrossRef]
- Elbeltagi, A.; Kumari, N.; Dharpure, J.K.; Mokhtar, A.; Alsafadi, K.; Kumar, M.; Mehdinejadiani, B.; Ramezani Etedali, H.; Brouziyne, Y.; Towfiqul Islam, A.R.M. Prediction of combined terrestrial evapotranspiration index (CTEI) over large river basin based on machine learning approaches. Water 2021, 13, 547. [Google Scholar] [CrossRef]
- Carrera, B.; Kim, K. Comparison analysis of machine learning techniques for photovoltaic prediction using weather sensor data. Sensors 2020, 20, 3129. [Google Scholar] [CrossRef]
- Qian, N.; Wang, X.; Fu, Y.; Zhao, Z.; Xu, J.; Chen, J. Predicting heat transfer of oscillating heat pipes for machining processes based on extreme gradient boosting algorithm. Appl. Therm. Eng. 2020, 164, 114521. [Google Scholar] [CrossRef]
- Essam, Y.; Ahmed, A.N.; Ramli, R.; Chau, K.-W.; Idris Ibrahim, M.S.; Sherif, M.; Sefelnasr, A.; El-Shafie, A. Investigating photovoltaic solar power output forecasting using machine learning algorithms. Eng. Appl. Comput. Fluid Mech. 2022, 16, 2002–2034. [Google Scholar] [CrossRef]
- Sang, Y.-F. A review on the applications of wavelet transform in hydrology time series analysis. Atmos. Res. 2013, 122, 8–15. [Google Scholar] [CrossRef]
- Das, P.; Naganna, S.R.; Deka, P.C.; Pushparaj, J. Hybrid wavelet packet machine learning approaches for drought modeling. Environ. Earth Sci. 2020, 79, 1–18. [Google Scholar] [CrossRef]
- Tiwari, M.K.; Chatterjee, C. Development of an accurate and reliable hourly flood forecasting model using wavelet–bootstrap–ANN (WBANN) hybrid approach. J. Hydrol. 2010, 394, 458–470. [Google Scholar] [CrossRef]
- Nourani, V.; Alami, M.T.; Aminfar, M.H. A combined neural-wavelet model for prediction of Ligvanchai watershed precipitation. Eng. Appl. Artif. Intell. 2009, 22, 466–472. [Google Scholar] [CrossRef]
- Elbeltagi, A.; Kushwaha, N.L.; Rajput, J.; Vishwakarma, D.K.; Kulimushi, L.C.; Kumar, M.; Zhang, J.; Pande, C.B.; Choudhari, P.; Meshram, S.G.; et al. Modelling daily reference evapotranspiration based on stacking hybridization of ANN with meta-heuristic algorithms under diverse agro-climatic conditions. Stoch. Environ. Res. Risk Assess. 2022, 36, 3311–3334. [Google Scholar] [CrossRef]
- Singh, A.K.; Kumar, P.; Ali, R.; Al-Ansari, N.; Vishwakarma, D.K.; Kushwaha, K.S.; Panda, K.C.; Sagar, A.; Mirzania, E.; Elbeltagi, A.; et al. An Integrated Statistical-Machine Learning Approach for Runoff Prediction. Sustainability 2022, 14, 8209. [Google Scholar] [CrossRef]
- Partal, T.; Kişi, Ö. Wavelet and neuro-fuzzy conjunction model for precipitation forecasting. J. Hydrol. 2007, 342, 199–212. [Google Scholar] [CrossRef]
- Belayneh, A.; Adamowski, J. Standard precipitation index drought forecasting using neural networks, wavelet neural networks, and support vector regression. Appl. Comput. Intell. Soft Comput. 2012, 2012, 794061. [Google Scholar] [CrossRef]
- Hezarani, A.B.; Zeybekoğlu, U.; Keskin, A.Ü. Hydrological and Meteorological Drought Forecasting for the Yesilirmak River Basin, Turkey. J. Sustain. Eng. Pract. Technol. Dev. 2021, 4, 121–135. [Google Scholar]
- Belayneh, A.; Adamowski, J.; Khalil, B.; Quilty, J. Coupling machine learning methods with wavelet transforms and the bootstrap and boosting ensemble approaches for drought prediction. Atmos. Res. 2016, 172, 37–47. [Google Scholar] [CrossRef]










| SDI Value | Category | Probability (%) |
|---|---|---|
| SDI >= 2.00 | Extremely wet | 1.94 |
| 1.50 <= SDI < 2.00 | Severely wet | 3.29 |
| 1.00 <= SDI < 1.50 | Moderately wet | 10.85 |
| 0.00 <= SDI < 1.00 | Mildly wet | 32.17 |
| −1.00 <= SDI < 0.00 | Mild drought | 32.95 |
| −1.50 <= SDI < −1.00 | Moderate drought | 14.15 |
| −2.00 <= SDI < −1.50 | Severe drought | 3.49 |
| SDI <= −2.00 | Extreme drought | 1.16 |
| Regression Model Type | Interpretability | Ensemble Method |
|---|---|---|
Boosted Trees![]() | Hard | Least-squares boosting (LSBoost) |
Bagged Trees![]() | Hard | Bootstrap aggregating or bagging |
| Performance Evaluation Criteria | Range | Best Values | |
|---|---|---|---|
| (9) | 0 to ∞ | 0 | |
| (10) | 0 to ∞ | 0 | |
| (11) | 0 to ∞ | 0 | |
| (12) | −1 to +1 | 1 | |
| Input | Output | |
|---|---|---|
| 1401 | SDI(t-11), SDI(t-9), SDI(t-8), SDI(t-7), SDI(t-1), SDI(t) | SDI(t + 1) |
| 1413 | SDI(t-10), SDI(t-8), SDI(t-3), SDI(t-2), SDI(t-1), SDI(t) | SDI(t + 1) |
| 1414 | SDI(t-11), SDI(t-9), SDI(t-8), SDI(t-7), SDI(t-1), SDI(t) | SDI(t + 1) |
| 1401 | |||||
|---|---|---|---|---|---|
| db 10 | Haar | Sym 8 | Coif 5 | ||
| SDI (t-11) | d1 | 0.06 | 0.02 | 0.02 | 0.02 |
| d2 | 0.09 | −0.04 | 0.09 | 0.07 | |
| a2 | 0.29 | 0.36 | 0.30 | 0.31 | |
| SDI (t-9) | d1 | 0.02 | 0.05 | 0.04 | 0.04 |
| d2 | −0.04 | 0.10 | 0.01 | −0.02 | |
| a2 | 0.22 | 0.14 | 0.19 | 0.21 | |
| SDI (t-8) | d1 | 0.01 | −0.01 | 0.00 | 0.00 |
| d2 | −0.10 | 0.09 | −0.03 | −0.05 | |
| a2 | 0.11 | 0.02 | 0.07 | 0.08 | |
| SDI (t-7) | d1 | −0.02 | 0.02 | −0.01 | −0.01 |
| d2 | −0.05 | 0.01 | −0.05 | −0.04 | |
| a2 | −0.05 | −0.09 | −0.05 | −0.06 | |
| SDI (t-1) | d1 | −0.05 | −0.04 | −0.08 | −0.08 |
| d2 | −0.28 | −0.12 | −0.29 | −0.26 | |
| a2 | 0.55 | 0.58 | 0.58 | 0.57 | |
| SDI (t) | d1 | −0.22 | −0.03 | −0.14 | −0.16 |
| d2 | 0.24 | 0.11 | 0.10 | 0.11 | |
| a2 | 0.73 | 0.77 | 0.75 | 0.76 | |
| 1413 | |||||
| SDI (t-10) | d1 | 0.03 | 0.03 | 0.03 | 0.03 |
| d2 | −0.03 | 0.01 | −0.04 | −0.04 | |
| a2 | 0.42 | 0.41 | 0.42 | 0.42 | |
| SDI (t-8) | d1 | 0.03 | 0.01 | 0.02 | 0.02 |
| d2 | −0.03 | −0.02 | −0.01 | −0.03 | |
| a2 | 0.43 | 0.45 | 0.43 | 0.43 | |
| SDI (t-3) | d1 | 0.02 | −0.01 | 0.00 | 0.00 |
| d2 | −0.07 | −0.03 | −0.05 | −0.04 | |
| a2 | 0.60 | 0.60 | 0.60 | 0.59 | |
| SDI (t-2) | d1 | 0.06 | −0.02 | 0.05 | 0.05 |
| d2 | −0.22 | −0.08 | −0.22 | −0.22 | |
| a2 | 0.72 | 0.69 | 0.71 | 0.71 | |
| SDI (t-1) | d1 | −0.05 | −0.01 | −0.02 | −0.02 |
| d2 | −0.18 | −0.02 | −0.18 | −0.18 | |
| a2 | 0.82 | 0.79 | 0.82 | 0.82 | |
| SDI (t) | d1 | −0.15 | −0.06 | −0.13 | −0.13 |
| d2 | 0.11 | 0.18 | 0.11 | 0.10 | |
| a2 | 0.89 | 0.87 | 0.89 | 0.89 | |
| 1414 | |||||
| SDI (t-9) | d1 | 0.02 | 0.01 | 0.00 | 0.00 |
| d2 | −0.06 | 0.03 | −0.02 | −0.03 | |
| a2 | 0.49 | 0.48 | 0.49 | 0.49 | |
| SDI (t-8) | d1 | 0.00 | 0.01 | 0.00 | 0.00 |
| d2 | −0.03 | −0.02 | −0.02 | −0.03 | |
| a2 | 0.46 | 0.47 | 0.46 | 0.46 | |
| SDI (t-7) | d1 | −0.02 | −0.01 | 0.01 | 0.01 |
| d2 | 0.02 | −0.04 | −0.01 | −0.02 | |
| a2 | 0.43 | 0.45 | 0.43 | 0.43 | |
| SDI (t-1) | d1 | −0.04 | −0.01 | −0.03 | −0.03 |
| d2 | −0.18 | −0.04 | −0.18 | −0.18 | |
| a2 | 0.81 | 0.79 | 0.81 | 0.81 | |
| SDI (t) | d1 | −0.16 | −0.07 | −0.13 | −0.14 |
| d2 | 0.13 | 0.16 | 0.10 | 0.09 | |
| a2 | 0.88 | 0.87 | 0.89 | 0.89 | |
| Methods | FT | MT | CT | LSVR | QSVR | CSVR | FGSVR ** | MGSVR | CGSVR | BT | BAT | SEGPR | MGPR | EGPR | RQGPR | XGBOOST * | |
|---|---|---|---|---|---|---|---|---|---|---|---|---|---|---|---|---|---|
| Statistic | |||||||||||||||||
| Mother wavelet type: No (Stand-alone ML) | |||||||||||||||||
| Train | MSE | 0.87 | 0.69 | 0.67 | 0.59 | 0.65 | 0.83 | 0.88 | 0.62 | 0.60 | 0.64 | 0.62 | 0.62 | 0.60 | 0.59 | 0.60 | 0.61 |
| RMSE | 0.94 | 0.83 | 0.82 | 0.77 | 0.81 | 0.91 | 0.94 | 0.77 | 0.78 | 0.80 | 0.80 | 0.79 | 0.77 | 0.77 | 0.77 | 0.78 | |
| MAE | 0.72 | 0.64 | 0.63 | 0.58 | 0.60 | 0.64 | 0.76 | 0.59 | 0.59 | 0.60 | 0.60 | 0.59 | 0.58 | 0.58 | 0.58 | 0.60 | |
| R2 | 0.15 | 0.33 | 0.35 | 0.42 | 0.37 | 0.19 | 0.14 | 0.40 | 0.42 | 0.38 | 0.38 | 0.40 | 0.42 | 0.43 | 0.42 | 0.40 | |
| Test | MSE | 0.99 | 0.79 | 0.77 | 0.66 | 0.75 | 0.82 | 0.88 | 0.76 | 0.65 | 0.71 | 0.69 | 0.69 | 0.69 | 0.68 | 0.69 | 0.58 |
| RMSE | 0.99 | 0.89 | 0.87 | 0.82 | 0.86 | 0.90 | 0.94 | 0.87 | 0.81 | 0.84 | 0.83 | 0.83 | 0.83 | 0.82 | 0.83 | 0.76 | |
| MAE | 0.78 | 0.68 | 0.68 | 0.64 | 0.68 | 0.71 | 0.76 | 0.70 | 0.64 | 0.66 | 0.64 | 0.66 | 0.65 | 0.65 | 0.65 | 0.63 | |
| R2 | 0.22 | 0.28 | 0.27 | 0.36 | 0.28 | 0.25 | 0.14 | 0.27 | 0.35 | 0.31 | 0.33 | 0.32 | 0.32 | 0.33 | 0.32 | 0.42 | |
| Mother wavelet type: db 10* | |||||||||||||||||
| Train | MSE | 0.66 | 0.51 | 0.54 | 0.34 | 0.38 | 0.39 | 0.71 | 0.43 | 0.40 | 0.40 | 0.46 | 0.36 | 0.35 | 0.37 | 0.35 | 0.34 |
| RMSE | 0.81 | 0.72 | 0.73 | 0.58 | 0.62 | 0.62 | 0.84 | 0.66 | 0.63 | 0.63 | 0.68 | 0.60 | 0.59 | 0.61 | 0.60 | 0.58 | |
| MAE | 0.64 | 0.55 | 0.57 | 0.45 | 0.47 | 0.46 | 0.66 | 0.47 | 0.48 | 0.48 | 0.54 | 0.46 | 0.45 | 0.46 | 0.45 | 0.44 | |
| R2 | 0.36 | 0.50 | 0.47 | 0.67 | 0.63 | 0.62 | 0.30 | 0.58 | 0.61 | 0.61 | 0.55 | 0.65 | 0.66 | 0.37 | 0.65 | 0.67 | |
| Test | MSE | 0.61 | 0.53 | 0.55 | 0.33 | 0.37 | 0.47 | 0.85 | 0.46 | 0.40 | 0.46 | 0.49 | 0.61 | 0.36 | 0.43 | 0.37 | 0.28 |
| RMSE | 0.78 | 0.73 | 0.74 | 0.58 | 0.61 | 0.68 | 0.92 | 0.68 | 0.63 | 0.67 | 0.70 | 0.37 | 0.60 | 0.65 | 0.61 | 0.53 | |
| MAE | 0.61 | 0.58 | 0.58 | 0.44 | 0.48 | 0.52 | 0.72 | 0.52 | 0.51 | 0.53 | 0.54 | 0.48 | 0.47 | 0.51 | 0.47 | 0.43 | |
| R2 | 0.44 | 0.49 | 0.46 | 0.67 | 0.63 | 0.55 | 0.15 | 0.55 | 0.60 | 0.55 | 0.52 | 0.63 | 0.64 | 0.58 | 0.63 | 0.72 | |
| Mother wavelet type: Haar | |||||||||||||||||
| Train | MSE | 0.46 | 0.41 | 0.42 | 0.33 | 0.35 | 0.37 | 0.45 | 0.37 | 0.36 | 0.41 | 0.41 | 0.41 | 0.34 | 0.37 | 0.34 | 0.37 |
| RMSE | 0.68 | 0.64 | 0.65 | 0.58 | 0.59 | 0.61 | 0.67 | 0.61 | 0.60 | 0.64 | 0.64 | 0.64 | 0.58 | 0.61 | 0.58 | 0.61 | |
| MAE | 0.53 | 0.48 | 0.49 | 0.41 | 0.42 | 0.44 | 0.50 | 0.44 | 0.43 | 0.48 | 0.48 | 0.48 | 0.42 | 0.44 | 0.42 | 0.44 | |
| R2 | 0.55 | 0.60 | 0.59 | 0.67 | 0.66 | 0.64 | 0.56 | 0.64 | 0.65 | 0.59 | 0.59 | 0.59 | 0.67 | 0.64 | 0.67 | 0.64 | |
| Test | MSE | 0.52 | 0.51 | 0.53 | 0.42 | 0.42 | 0.43 | 0.72 | 0.48 | 0.44 | 0.47 | 0.54 | 0.42 | 0.42 | 0.44 | 0.42 | 0.31 |
| RMSE | 0.72 | 0.72 | 0.73 | 0.65 | 0.65 | 0.66 | 0.85 | 0.69 | 0.66 | 0.67 | 0.73 | 0.65 | 0.65 | 0.66 | 0.65 | 0.56 | |
| MAE | 0.56 | 0.55 | 0.57 | 0.50 | 0.49 | 0.50 | 0.65 | 0.52 | 0.50 | 0.52 | 0.57 | 0.50 | 0.50 | 0.51 | 0.50 | 0.43 | |
| R2 | 0.48 | 0.49 | 0.47 | 0.58 | 0.58 | 0.57 | 0.29 | 0.53 | 0.56 | 0.53 | 0.47 | 0.58 | 0.58 | 0.56 | 0.58 | 0.69 | |
| Mother wavelet type: Sym 8 | |||||||||||||||||
| Train | MSE | 0.55 | 0.47 | 0.53 | 0.36 | 0.37 | 0.39 | 0.57 | 0.41 | 0.40 | 0.40 | 0.46 | 0.38 | 0.38 | 0.40 | 0.38 | 0.38 |
| RMSE | 0.74 | 0.69 | 0.73 | 0.60 | 0.61 | 0.62 | 0.76 | 0.64 | 0.64 | 0.64 | 0.68 | 0.61 | 0.61 | 0.63 | 0.61 | 0.61 | |
| MAE | 0.57 | 0.53 | 0.57 | 0.46 | 0.47 | 0.48 | 0.57 | 0.48 | 0.49 | 0.50 | 0.54 | 0.47 | 0.47 | 0.48 | 0.47 | 0.47 | |
| R2 | 0.46 | 0.54 | 0.48 | 0.65 | 0.63 | 0.62 | 0.44 | 0.60 | 0.60 | 0.61 | 0.55 | 0.63 | 0.63 | 0.61 | 0.63 | 0.64 | |
| Test | MSE | 0.64 | 0.47 | 0.53 | 0.37 | 0.41 | 0.44 | 0.72 | 0.43 | 0.43 | 0.44 | 0.49 | 0.39 | 0.40 | 0.42 | 0.39 | 0.31 |
| RMSE | 0.80 | 0.68 | 0.73 | 0.61 | 0.64 | 0.66 | 0.85 | 0.66 | 0.65 | 0.67 | 0.70 | 0.62 | 0.63 | 0.65 | 0.62 | 0.56 | |
| MAE | 0.59 | 0.51 | 0.56 | 0.48 | 0.51 | 0.52 | 0.66 | 0.51 | 0.51 | 0.51 | 0.54 | 0.49 | 0.50 | 0.50 | 0.49 | 0.46 | |
| R2 | 0.44 | 0.54 | 0.47 | 0.62 | 0.59 | 0.57 | 0.29 | 0.57 | 0.58 | 0.55 | 0.51 | 0.61 | 0.60 | 0.58 | 0.61 | 0.68 | |
| Mother wavelet type: Coif 5 | |||||||||||||||||
| Train | MSE | 0.50 | 0.45 | 0.49 | 0.35 | 0.36 | 0.37 | 0.61 | 0.38 | 0.40 | 0.38 | 0.42 | 0.35 | 0.35 | 0.36 | 0.35 | 0.36 |
| RMSE | 0.71 | 0.67 | 0.70 | 0.59 | 0.60 | 0.61 | 0.78 | 0.62 | 0.63 | 0.62 | 0.65 | 0.59 | 0.59 | 0.60 | 0.59 | 0.60 | |
| MAE | 0.55 | 0.52 | 0.55 | 0.45 | 0.46 | 0.47 | 0.60 | 0.46 | 0.49 | 0.47 | 0.51 | 0.45 | 0.45 | 0.46 | 0.45 | 0.46 | |
| R2 | 0.51 | 0.55 | 0.52 | 0.66 | 0.65 | 0.64 | 0.40 | 0.63 | 0.61 | 0.63 | 0.58 | 0.66 | 0.66 | 0.64 | 0.66 | 0.65 | |
| Test | MSE | 0.76 | 0.46 | 0.57 | 0.37 | 0.42 | 0.49 | 0.84 | 0.47 | 0.43 | 0.42 | 0.51 | 0.42 | 0.40 | 0.43 | 0.41 | 0.31 |
| RMSE | 0.76 | 0.68 | 0.75 | 0.61 | 0.65 | 0.7 | 0.92 | 0.68 | 0.66 | 0.65 | 0.71 | 0.64 | 0.64 | 0.66 | 0.64 | 0.56 | |
| MAE | 0.59 | 0.54 | 0.59 | 0.48 | 0.52 | 0.55 | 0.73 | 0.53 | 0.51 | 0.50 | 0.56 | 0.51 | 0.50 | 0.51 | 0.50 | 0.46 | |
| R2 | 0.46 | 0.55 | 0.43 | 0.63 | 0.58 | 0.52 | 0.17 | 0.53 | 0.57 | 0.59 | 0.56 | 0.58 | 0.59 | 0.56 | 0.59 | 0.67 | |
| Methods | FT | MT | CT | LSVR | QSVR | CSVR | FGSVR ** | MGSVR | CGSVR | BT | BAT | SEGPR | MGPR * | EGPR | RQGPR | XGBOOST | |
|---|---|---|---|---|---|---|---|---|---|---|---|---|---|---|---|---|---|
| Statistic | |||||||||||||||||
| Mother wavelet type: No (Stand-alone ML) | |||||||||||||||||
| Train | MSE | 0.48 | 0.42 | 0.36 | 0.33 | 0.33 | 0.38 | 0.62 | 0.36 | 0.33 | 0.39 | 0.37 | 0.32 | 0.33 | 0.46 | 0.33 | 0.33 |
| RMSE | 0.69 | 0.65 | 0.60 | 0.57 | 0.58 | 0.62 | 0.79 | 0.60 | 0.57 | 0.62 | 0.61 | 0.57 | 0.56 | 0.59 | 0.57 | 0.56 | |
| MAE | 0.56 | 0.52 | 0.47 | 0.46 | 0.46 | 0.47 | 0.62 | 0.47 | 0.45 | 0.49 | 0.48 | 0.45 | 0.45 | 0.46 | 0.45 | 0.45 | |
| R2 | 0.40 | 0.48 | 0.56 | 0.60 | 0.59 | 0.53 | 0.23 | 0.55 | 0.59 | 0.52 | 0.54 | 0.59 | 0.59 | 0.57 | 0.59 | 0.68 | |
| Test | MSE | 0.68 | 0.53 | 0.50 | 0.40 | 0.44 | 0.67 | 1.47 | 0.69 | 0.40 | 0.49 | 0.44 | 0.39 | 0.39 | 0.44 | 0.39 | 0.37 |
| RMSE | 0.82 | 0.73 | 0.71 | 0.63 | 0.66 | 0.82 | 1.21 | 0.83 | 0.63 | 0.70 | 0.66 | 0.62 | 0.63 | 0.67 | 0.62 | 0.61 | |
| MAE | 0.65 | 0.58 | 0.55 | 0.51 | 0.53 | 0.62 | 0.98 | 0.65 | 0.51 | 0.56 | 0.53 | 0.51 | 0.52 | 0.54 | 0.51 | 0.48 | |
| R2 | 0.31 | 0.42 | 0.42 | 0.51 | 0.49 | 0.32 | 0.05 | 0.25 | 0.53 | 0.45 | 0.47 | 0.55 | 0.54 | 0.50 | 0.55 | 0.64 | |
| Mother wavelet type: db 10 * | |||||||||||||||||
| Train | MSE | 0.04 | 0.05 | 0.10 | 0.007 | 0.005 | 0.005 | 0.13 | 0.02 | 0.03 | 0.03 | 0.05 | 0.001 | 0.001 | 0.009 | 0.001 | 0.006 |
| RMSE | 0.19 | 0.23 | 0.32 | 0.09 | 0.07 | 0.07 | 0.36 | 0.12 | 0.17 | 0.18 | 0.23 | 0.04 | 0.03 | 0.09 | 0.04 | 0.08 | |
| MAE | 0.15 | 0.18 | 0.25 | 0.07 | 0.06 | 0.06 | 0.26 | 0.10 | 0.14 | 0.14 | 0.18 | 0.03 | 0.03 | 0.07 | 0.03 | 0.06 | |
| R2 | 0.95 | 0.92 | 0.85 | 0.99 | 0.99 | 0.99 | 0.80 | 0.98 | 0.95 | 0.95 | 0.92 | 0.99 | 0.99 | 0.99 | 0.99 | 0.99 | |
| Test | MSE | 0.12 | 0.11 | 0.22 | 0.008 | 0.007 | 0.03 | 0.87 | 0.33 | 0.06 | 0.11 | 0.11 | 0.007 | 0.007 | 0.008 | 0.007 | 0.005 |
| RMSE | 0.35 | 0.34 | 0.47 | 0.09 | 0.09 | 0.17 | 0.93 | 0.57 | 0.24 | 0.35 | 0.33 | 0.08 | 0.08 | 0.029 | 0.08 | 0.07 | |
| MAE | 0.26 | 0.23 | 0.32 | 0.07 | 0.06 | 0.11 | 0.65 | 0.3 | 0.17 | 0.19 | 0.22 | 0.04 | 0.04 | 0.18 | 0.04 | 0.05 | |
| R2 | 0.80 | 0.83 | 0.67 | 0.99 | 0.99 | 0.97 | 0.16 | 0.55 | 0.96 | 0.86 | 0.85 | 0.99 | 0.99 | 0.90 | 0.99 | 0.99 | |
| Mother wavelet type: Haar | |||||||||||||||||
| Train | MSE | 0.02 | 0.05 | 0.10 | 0.04 | 0.04 | 0.04 | 0.12 | 0.04 | 0.07 | 0.02 | 0.10 | 0.02 | 0.02 | 0.01 | 0.01 | 0.18 |
| RMSE | 0.13 | 0.23 | 0.31 | 0.21 | 0.21 | 0.19 | 0.34 | 0.20 | 0.26 | 0.15 | 0.32 | 0.15 | 0.13 | 0.12 | 0.12 | 0.42 | |
| MAE | 0.09 | 0.18 | 0.25 | 0.17 | 0.16 | 0.14 | 0.19 | 0.15 | 0.21 | 0.11 | 0.25 | 0.05 | 0.04 | 0.04 | 0.04 | 0.32 | |
| R2 | 0.97 | 0.91 | 0.83 | 0.92 | 0.92 | 0.94 | 0.79 | 0.93 | 0.89 | 0.96 | 0.83 | 0.96 | 0.97 | 0.98 | 0.97 | 0.83 | |
| Test | MSE | 0.41 | 0.50 | 0.47 | 0.34 | 0.33 | 0.62 | 1,44 | 0.61 | 0.36 | 0.46 | 0.80 | 0.90 | 0.66 | 0.41 | 0.50 | 0.19 |
| RMSE | 0.64 | 0.71 | 0.69 | 0.58 | 0.58 | 0.79 | 1,20 | 0.78 | 0.60 | 0.68 | 0.89 | 0.94 | 0.81 | 0.64 | 0.70 | 0.44 | |
| MAE | 0.48 | 0.52 | 0.51 | 0.44 | 0.44 | 0.58 | 0.96 | 0.59 | 0.47 | 0.51 | 0.72 | 0.70 | 0.62 | 0.50 | 0.54 | 0.33 | |
| R2 | 0.49 | 0.37 | 0.42 | 0.58 | 0.58 | 0.49 | 0.001 | 0.31 | 0.54 | 0.42 | 0.14 | 0.08 | 0.24 | 0.50 | 0.41 | 0.84 | |
| Mother wavelet type: Sym 8 | |||||||||||||||||
| Train | MSE | 0.27 | 0.23 | 0.24 | 0.16 | 0.18 | 0.20 | 0.30 | 0.20 | 0.21 | 0.21 | 0.21 | 0.16 | 0.16 | 0.19 | 0.16 | 0.15 |
| RMSE | 0.52 | 0.48 | 0.49 | 0.40 | 0.42 | 0.45 | 0.55 | 0.45 | 0.46 | 0.45 | 0.46 | 0.40 | 0.40 | 0.44 | 0.40 | 0.39 | |
| MAE | 0.41 | 0.38 | 0.39 | 0.31 | 0.32 | 0.35 | 0.44 | 0.35 | 0.36 | 0.36 | 0.36 | 0.31 | 0.31 | 0.34 | 0.31 | 0.31 | |
| R2 | 0.67 | 0.71 | 0.70 | 0.79 | 0.78 | 0.75 | 0.62 | 0.75 | 0.74 | 0.74 | 0.73 | 0.80 | 0.80 | 0.76 | 0.80 | 0.85 | |
| Test | MSE | 0.33 | 0.31 | 0.41 | 0.19 | 0.17 | 0.33 | 1.13 | 0.53 | 0.26 | 0.31 | 0.27 | 0.18 | 0.18 | 0.28 | 0.18 | 0.18 |
| RMSE | 0.58 | 0.56 | 0.64 | 0.43 | 0.43 | 0.58 | 1.06 | 0.41 | 0.51 | 0.56 | 0.52 | 0.43 | 0.43 | 0.53 | 0.43 | 0.43 | |
| MAE | 0.45 | 0.41 | 0.48 | 0.33 | 0.34 | 0.43 | 0.82 | 0.49 | 0.38 | 0.40 | 0.39 | 0.33 | 0.33 | 0.39 | 0.33 | 0.32 | |
| R2 | 0.60 | 0.63 | 0.50 | 0.76 | 0.76 | 0.58 | 0.12 | 0.41 | 0.73 | 0.66 | 0.68 | 0.77 | 0.77 | 0.67 | 0.77 | 0.82 | |
| Mother wavelet type: Coif 5 | |||||||||||||||||
| Train | MSE | 0.29 | 0.27 | 0.26 | 0.17 | 0.17 | 0.19 | 0.33 | 0.20 | 0.22 | 0.22 | 0.24 | 0.17 | 0.16 | 0.44 | 0.17 | 0.15 |
| RMSE | 0.53 | 0.52 | 0.51 | 0.41 | 0.41 | 0.44 | 0.57 | 0.45 | 0.46 | 0.47 | 0.49 | 0.41 | 0.40 | 0.20 | 0.41 | 0.39 | |
| MAE | 0.42 | 0.41 | 0.39 | 0.32 | 0.33 | 0.34 | 0.46 | 0.35 | 0.37 | 0.37 | 0.39 | 0.32 | 0.31 | 0.35 | 0.32 | 0.30 | |
| R2 | 0.64 | 0.66 | 0.67 | 0.79 | 0.78 | 0.76 | 0.59 | 0.75 | 0.73 | 0.72 | 0.70 | 0.79 | 0.80 | 0.76 | 0.79 | 0.85 | |
| Test | MSE | 0.32 | 0.3 | 0.38 | 0.18 | 0.18 | 0.26 | 1.12 | 0.53 | 0.26 | 0.28 | 0.27 | 0.18 | 0.18 | 0.28 | 0.18 | 0.19 |
| RMSE | 0.57 | 0.54 | 0.62 | 0.43 | 0.43 | 0.51 | 1.06 | 0.73 | 0.51 | 0.53 | 0.52 | 0.43 | 0.43 | 0.53 | 0.43 | 0.44 | |
| MAE | 0.45 | 0.41 | 0.46 | 0.32 | 0.33 | 0.38 | 0.81 | 0.5 | 0.38 | 0.4 | 0.4 | 0.32 | 0.32 | 0.39 | 0.32 | 0.32 | |
| R2 | 0.63 | 0.65 | 0.54 | 0.77 | 0.77 | 0.71 | 0.10 | 0.4 | 0.73 | 0.68 | 0.69 | 0.77 | 0.77 | 0.68 | 0.77 | 0.82 | |
| Methods | FT | MT | CT | LSVR | QSVR | CSVR | FGSVR ** | MGSVR | CGSVR | BT | BAT | SEGPR | MGPR | EGPR | RQGPR | XGBOOST * | |
|---|---|---|---|---|---|---|---|---|---|---|---|---|---|---|---|---|---|
| Statistic | |||||||||||||||||
| Mother wavelet type: No (Stand-alone ML) | |||||||||||||||||
| Train | MSE | 0.59 | 0.45 | 0.41 | 0.38 | 0.43 | 0.44 | 0.62 | 0.41 | 0.38 | 0.40 | 0.51 | 0.38 | 0.38 | 0.38 | 0.39 | 0.32 |
| RMSE | 0.77 | 0.67 | 0.64 | 0.62 | 0.66 | 0.66 | 0.79 | 0.64 | 0.62 | 0.64 | 0.64 | 0.61 | 0.62 | 0.62 | 0.63 | 0.57 | |
| MAE | 0.61 | 0.53 | 0.51 | 0.48 | 0.52 | 0.51 | 0.64 | 0.50 | 0.49 | 0.51 | 0.51 | 0.49 | 0.49 | 0.48 | 0.49 | 0.46 | |
| R2 | 0.38 | 0.53 | 0.41 | 0.60 | 0.54 | 0.54 | 0.35 | 0.56 | 0.60 | 0.57 | 0.57 | 0.60 | 0.60 | 0.60 | 0.58 | 0.68 | |
| Test | MSE | 0.54 | 0.42 | 0.40 | 0.32 | 0.33 | 0.38 | 0.92 | 0.39 | 0.31 | 0.35 | 0.37 | 0.32 | 0.32 | 0.33 | 0.32 | 0.38 |
| RMSE | 0.73 | 0.65 | 0.63 | 0.57 | 0.57 | 0.61 | 0.96 | 0.62 | 0.55 | 0.60 | 0.61 | 0.57 | 0.56 | 0.57 | 0.57 | 0.62 | |
| MAE | 0.58 | 0.51 | 0.49 | 0.45 | 0.45 | 0.47 | 0.78 | 0.48 | 0.44 | 0.47 | 0.48 | 0.45 | 0.45 | 0.45 | 0.45 | 0.47 | |
| R2 | 0.23 | 0.34 | 0.34 | 0.44 | 0.44 | 0.36 | 0.03 | 0.34 | 0.45 | 0.38 | 0.38 | 0.44 | 0.45 | 0.43 | 0.44 | 0.64 | |
| Mother wavelet type: db 10 | |||||||||||||||||
| Train | MSE | 0.30 | 0.28 | 0.32 | 0.19 | 0.20 | 0.22 | 0.33 | 0.22 | 0.25 | 0.24 | 0.29 | 0.19 | 0.19 | 0.22 | 0.19 | 0.16 |
| RMSE | 0.55 | 0.53 | 0.56 | 0.44 | 0.45 | 0.47 | 0.57 | 0.47 | 0.50 | 0.49 | 0.53 | 0.44 | 0.44 | 0.47 | 0.44 | 0.40 | |
| MAE | 0.42 | 0.41 | 0.43 | 0.34 | 0.35 | 0.35 | 0.45 | 0.36 | 0.39 | 0.37 | 0.41 | 0.34 | 0.34 | 0.36 | 0.34 | 0.31 | |
| R2 | 0.68 | 0.70 | 0.67 | 0.80 | 0.79 | 0.77 | 0.65 | 0.77 | 0.73 | 0.74 | 0.70 | 0.80 | 0.80 | 0.76 | 0.80 | 0.84 | |
| Test | MSE | 0.28 | 0.23 | 0.24 | 0.16 | 0.16 | 0.17 | 0.65 | 0.27 | 0.18 | 0.20 | 0.19 | 0.15 | 0.15 | 0.19 | 0.15 | 0.21 |
| RMSE | 0.53 | 0.48 | 0.49 | 0.40 | 0.40 | 0.41 | 0.81 | 0.53 | 0.43 | 0.45 | 0.43 | 0.39 | 0.39 | 0.44 | 0.39 | 0.46 | |
| MAE | 0.40 | 0.37 | 0.37 | 0.30 | 0.30 | 0.31 | 0.60 | 0.40 | 0.32 | 0.33 | 0.32 | 0.30 | 0.30 | 0.33 | 0.30 | 0.37 | |
| R2 | 0.57 | 0.61 | 0.56 | 0.71 | 0.71 | 0.69 | 0.17 | 0.55 | 0.69 | 0.64 | 0.66 | 0.71 | 0.71 | 0.67 | 0.71 | 0.79 | |
| Mother wavelet type: Haar | |||||||||||||||||
| Train | MSE | 0.33 | 0.29 | 0.30 | 0.25 | 0.27 | 0.29 | 0.34 | 0.27 | 0.28 | 0.30 | 0.29 | 0.25 | 0.25 | 0.27 | 0.25 | 0.30 |
| RMSE | 0.57 | 0.54 | 0.54 | 0.50 | 0.52 | 0.54 | 0.58 | 0.52 | 0.53 | 0.55 | 0.54 | 0.50 | 0.50 | 0.52 | 0.50 | 0.45 | |
| MAE | 0.44 | 0.41 | 0.41 | 0.39 | 0.39 | 0.41 | 0.45 | 0.39 | 0.41 | 0.42 | 0.42 | 0.39 | 0.39 | 0.40 | 0.39 | 0.35 | |
| R2 | 0.65 | 0.69 | 0.69 | 0.73 | 0.72 | 0.69 | 0.64 | 0.71 | 0.70 | 0.68 | 0.69 | 0.73 | 0.73 | 0.71 | 0.73 | 0.80 | |
| Test | MSE | 0.22 | 0.29 | 0.25 | 0.17 | 0.18 | 0.19 | 0.77 | 0.33 | 0.22 | 0.21 | 0.22 | 0.17 | 0.17 | 0.23 | 0.17 | 0.25 |
| RMSE | 0.47 | 0.54 | 0.50 | 0.41 | 0.43 | 0.44 | 0.88 | 0.57 | 0.47 | 0.46 | 0.47 | 0.41 | 0.41 | 0.48 | 0.41 | 0.50 | |
| MAE | 0.34 | 0.39 | 0.38 | 0.31 | 0.32 | 0.33 | 0.68 | 0.42 | 0.65 | 0.33 | 0.35 | 0.31 | 0.31 | 0.35 | 0.31 | 0.37 | |
| R2 | 0.60 | 0.48 | 0.53 | 0.68 | 0.67 | 0.65 | 0.10 | 0.42 | 0.63 | 0.61 | 0.59 | 0.69 | 0.69 | 0.61 | 0.69 | 0.75 | |
| Mother wavelet type: Sym 8 | |||||||||||||||||
| Train | MSE | 0.30 | 0.29 | 0.28 | 0.19 | 0.20 | 0.22 | 0.35 | 0.22 | 0.24 | 0.23 | 0.26 | 0.19 | 0.19 | 0.22 | 0.19 | 0.15 |
| RMSE | 0.55 | 0.53 | 0.52 | 0.43 | 0.45 | 0.46 | 0.59 | 0.47 | 0.49 | 0.48 | 0.51 | 0.43 | 0.43 | 0.47 | 0.43 | 0.39 | |
| MAE | 0.43 | 0.42 | 0.41 | 0.34 | 0.35 | 0.35 | 0.46 | 0.36 | 0.38 | 0.38 | 0.40 | 0.34 | 0.34 | 0.37 | 0.34 | 0.30 | |
| R2 | 0.68 | 0.70 | 0.71 | 0.80 | 0.79 | 0.77 | 0.63 | 0.77 | 0.75 | 0.75 | 0.72 | 0.80 | 0.80 | 0.76 | 0.80 | 0.85 | |
| Test | MSE | 0.34 | 0.21 | 0.27 | 0.15 | 0.15 | 0.16 | 0.66 | 0.27 | 0.19 | 0.18 | 0.19 | 0.15 | 0.15 | 0.19 | 0.15 | 0.21 |
| RMSE | 0.58 | 0.46 | 0.52 | 0.39 | 0.39 | 0.41 | 0.81 | 0.52 | 0.43 | 0.42 | 0.44 | 0.39 | 0.39 | 0.44 | 0.39 | 0.46 | |
| MAE | 0.46 | 0.35 | 0.39 | 0.29 | 0.3 | 0.30 | 0.6 | 0.39 | 0.33 | 0.3 | 0.61 | 0.29 | 0.29 | 0.33 | 0.29 | 0.37 | |
| R2 | 0.47 | 0.61 | 0.51 | 0.71 | 0.72 | 0.70 | 0.16 | 0.56 | 0.69 | 0.67 | 0.65 | 0.72 | 0.72 | 0.68 | 0.72 | 0.79 | |
| Mother wavelet type: Coif 5* | |||||||||||||||||
| Train | MSE | 0.30 | 0.24 | 0.28 | 0.19 | 0.20 | 0.20 | 0.31 | 0.21 | 0.24 | 0.23 | 0.27 | 0.19 | 0.19 | 0.22 | 0.19 | 0.15 |
| RMSE | 0.54 | 0.49 | 0.53 | 0.43 | 0.44 | 0.45 | 0.56 | 0.46 | 0.49 | 0.48 | 0.52 | 0.43 | 0.43 | 0.46 | 0.43 | 0.39 | |
| MAE | 0.43 | 0.39 | 0.42 | 0.34 | 0.35 | 0.34 | 0.45 | 0.36 | 0.38 | 0.37 | 0.40 | 0.34 | 0.34 | 0.36 | 0.34 | 0.30 | |
| R2 | 0.69 | 0.75 | 0.70 | 0.80 | 0.79 | 0.79 | 0.67 | 0.78 | 0.75 | 0.76 | 0.72 | 0.80 | 0.80 | 0.77 | 0.80 | 0.85 | |
| Test | MSE | 0.35 | 0.24 | 0.26 | 0.15 | 0.15 | 0.15 | 0.65 | 0.26 | 0.19 | 0.19 | 0.20 | 0.15 | 0.15 | 0.19 | 0.15 | 0.21 |
| RMSE | 0.59 | 0.49 | 0.51 | 0.39 | 0.39 | 0.39 | 0.81 | 0.51 | 0.43 | 0.44 | 0.45 | 0.39 | 0.39 | 0.43 | 0.39 | 0.46 | |
| MAE | 0.46 | 0.36 | 0.38 | 0.29 | 0.30 | 0.28 | 0.60 | 0.38 | 0.33 | 0.32 | 0.33 | 0.29 | 0.29 | 0.33 | 0.29 | 0.37 | |
| R2 | 0.47 | 0.57 | 0.54 | 0.72 | 0.72 | 0.73 | 0.16 | 0.57 | 0.70 | 0.65 | 0.63 | 0.72 | 0.72 | 0.68 | 0.72 | 0.80 | |
Disclaimer/Publisher’s Note: The statements, opinions and data contained in all publications are solely those of the individual author(s) and contributor(s) and not of MDPI and/or the editor(s). MDPI and/or the editor(s) disclaim responsibility for any injury to people or property resulting from any ideas, methods, instructions or products referred to in the content. |
© 2023 by the author. Licensee MDPI, Basel, Switzerland. This article is an open access article distributed under the terms and conditions of the Creative Commons Attribution (CC BY) license (https://creativecommons.org/licenses/by/4.0/).
Share and Cite
Katipoğlu, O.M. Prediction of Streamflow Drought Index for Short-Term Hydrological Drought in the Semi-Arid Yesilirmak Basin Using Wavelet Transform and Artificial Intelligence Techniques. Sustainability 2023, 15, 1109. https://doi.org/10.3390/su15021109
Katipoğlu OM. Prediction of Streamflow Drought Index for Short-Term Hydrological Drought in the Semi-Arid Yesilirmak Basin Using Wavelet Transform and Artificial Intelligence Techniques. Sustainability. 2023; 15(2):1109. https://doi.org/10.3390/su15021109
Chicago/Turabian StyleKatipoğlu, Okan Mert. 2023. "Prediction of Streamflow Drought Index for Short-Term Hydrological Drought in the Semi-Arid Yesilirmak Basin Using Wavelet Transform and Artificial Intelligence Techniques" Sustainability 15, no. 2: 1109. https://doi.org/10.3390/su15021109
APA StyleKatipoğlu, O. M. (2023). Prediction of Streamflow Drought Index for Short-Term Hydrological Drought in the Semi-Arid Yesilirmak Basin Using Wavelet Transform and Artificial Intelligence Techniques. Sustainability, 15(2), 1109. https://doi.org/10.3390/su15021109



