Effect of Adding Cu2O as a Back Surface Field Layer on the Performance of Copper Manganese Tin Sulfide Solar Cells
Abstract
:1. Introduction
2. Device Structure and Simulation
3. Results and Discussion
3.1. Investigation of the n-MoS2 Layer in the CMTS Solar Cell
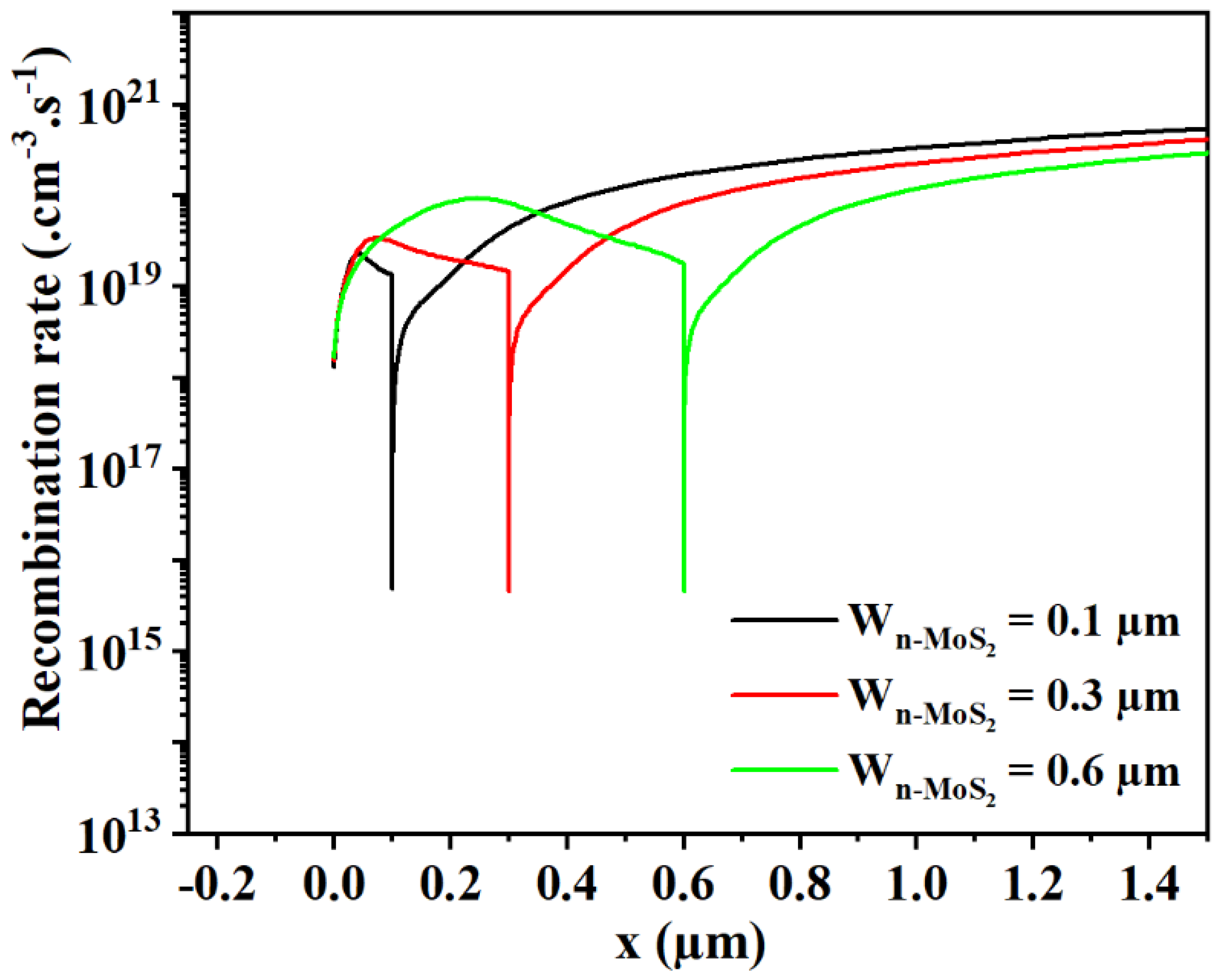
3.1.1. Effect of n-MoS2 Interlayer Thickness on the Performance of the Studied Cell
3.1.2. Effect of n-MoS2 Interlayer Donor Concentration on the Performance of the Studied Cell
3.2. Impact of the Addition of a Cu2O-Based Back Surface Field (BSF) on the Cell’s Performance
3.2.1. Effect of Cu2O BSF Layer Thickness
3.2.2. Influence of Cu2O BSF Layer Acceptor Concentration
4. Conclusions
Author Contributions
Funding
Institutional Review Board Statement
Informed Consent Statement
Data Availability Statement
Acknowledgments
Conflicts of Interest
References
- Dureja, T.; Garg, A.; Bhalla, S.; Bhutani, D.; Khanna, A. Double Lead-Free Perovskite Solar Cell for 19.9% Conversion Efficiency: A SCAPS-1D Based Simulation Study. Mater. Today Proc. 2022, 71, 239–242. [Google Scholar] [CrossRef]
- Pandey, R.; Khanna, A.; Singh, K.; Patel, S.K.; Singh, H.; Madan, J. Device Simulations: Toward the Design of >13% Efficient PbS Colloidal Quantum Dot Solar Cell. Sol. Energy 2020, 207, 893–902. [Google Scholar] [CrossRef]
- Thakur, A.; Singh, D.; Kaur Gill, S. Numerical Simulations of 26.11% Efficient Planar CH3NH3PbI3 Perovskite n-i-p Solar Cell. Mater. Today Proc. 2022, 71, 195–201. [Google Scholar] [CrossRef]
- Kumar, R.; Kumar, A.; Pushkar, R.; Priyadarshi, A. The Impact of SnMnO2 TCO and Cu2O as a Hole Transport Layer on CIGSSe Solar Cell Performance Improvement. J. Comput. Electron. 2023, 22, 1107–1127. [Google Scholar] [CrossRef]
- Isha, A.; Kowsar, A.; Kuddus, A.; Hossain, M.K.; Ali, M.H.; Haque, M.D.; Rahman, M.F. High Efficiency Cu2MnSnS4 Thin Film Solar Cells with SnS BSF and CdS ETL Layers: A Numerical Simulation. Heliyon 2023, 9, e15716. [Google Scholar] [CrossRef]
- Chinnasamy, V.; Palaniappan, S.K.; Raj, M.K.A.; Rajendran, M.; Cho, H. Thermal Energy Storage and Its Applications. In Materials for Solar Energy Conversion; Wiley: Hoboken, NJ, USA, 2021; pp. 353–377. [Google Scholar]
- Shin, M.J.; Lee, A.; Cho, A.; Kim, K.; Ahn, S.K.; Park, J.H.; Yoo, J.; Yun, J.H.; Gwak, J.; Shin, D.; et al. Semitransparent and Bifacial Ultrathin Cu(In,Ga)Se2 Solar Cells via a Single-Stage Process and Light-Management Strategy. Nano Energy 2021, 82, 105729. [Google Scholar] [CrossRef]
- El Radaf, I.M. Intensive Studies on the Structural, Optical, and Optoelectrical Properties of a Novel Kesterite Cu2CdGeS4 Thin Films. Optik 2023, 272, 170358. [Google Scholar] [CrossRef]
- Katagiri, H.; Jimbo, K.; Maw, W.S.; Oishi, K.; Yamazaki, M.; Araki, H.; Takeuchi, A. Development of CZTS-Based Thin Film Solar Cells. Thin Solid Films 2009, 517, 2455–2460. [Google Scholar] [CrossRef]
- Green, M.A.; Dunlop, E.D.; Siefer, G.; Yoshita, M.; Kopidakis, N.; Bothe, K.; Hao, X. Solar Cell Efficiency Tables (Version 61). Prog. Photovoltaics Res. Appl. 2023, 31, 3–16. [Google Scholar] [CrossRef]
- Shockley, W.; Queisser, H.J. Detailed Balance Limit of Efficiency of P-n Junction Solar Cells. J. Appl. Phys. 1961, 32, 510–519. [Google Scholar] [CrossRef]
- Sun, S.; Guo, J.; Hao, R.; Aierken, A.; Liu, B.; Gu, K.; Wang, L.; Ma, X.; Wei, G.; Cai, J.; et al. Influence of Cd0.6Zn0.4S Buffer Layer on the Band Alignment and the Performance of CZTS Thin Film Solar Cells. Opt. Mater. 2021, 112, 110666. [Google Scholar] [CrossRef]
- Kumar, M.S.; Madhusudanan, S.P.; Batabyal, S.K. Substitution of Zn in Earth-Abundant Cu2ZnSn(S,Se)4 Based Thin Film Solar Cells—A Status Review. Sol. Energy Mater. Sol. Cells 2018, 185, 287–299. [Google Scholar] [CrossRef]
- Prabhakar, R.R.; Zhenghua, S.; Xin, Z.; Baikie, T.; Woei, L.S.; Shukla, S.; Batabyal, S.K.; Gunawan, O.; Wong, L.H. Photovoltaic Effect in Earth Abundant Solution Processed Cu2MnSnS4 and Cu2MnSn(S,Se)4 Thin Films. Sol. Energy Mater. Sol. Cells 2016, 157, 867–873. [Google Scholar] [CrossRef]
- Le Donne, A.; Marchionna, S.; Acciarri, M.; Cernuschi, F.; Binetti, S. Relevant Efficiency Enhancement of Emerging Cu2MnSnS4 Thin Film Solar Cells by Low Temperature Annealing. Sol. Energy 2017, 149, 125–131. [Google Scholar] [CrossRef]
- Johnson, J.; Nukala, H.; Lund, E.; Hlaing Oo, W.M.; Bhatia, A.; Rieth, L.W.; Scarpulla, M.A. Effects of 2nd Phases, Stress, and Na at the Mo/Cu2ZnSnS4 Interface. MRS Online Proc. Libr. 2010, 1268, 3–8. [Google Scholar] [CrossRef]
- Kumari, N.; Ingole, S. Enhancement of CZTS Photovoltaic Device Performance with Silicon at Back-Contact: A Study Using SCAPS-1D. Sol. Energy 2022, 236, 301–307. [Google Scholar] [CrossRef]
- Ferdaous, M.T.; Shahahmadi, S.A.; Chelvanathan, P.; Akhtaruzzaman, M.; Alharbi, F.H.; Sopian, K.; Tiong, S.K.; Amin, N. Elucidating the Role of Interfacial MoS2 Layer in Cu2ZnSnS4 Thin Film Solar Cells by Numerical Analysis. Sol. Energy 2019, 178, 162–172. [Google Scholar] [CrossRef]
- Karade, V.; Lokhande, A.; Babar, P.; Gang, M.G.; Suryawanshi, M.; Patil, P.; Kim, J.H. Insights into Kesterite’s Back Contact Interface: A Status Review. Sol. Energy Mater. Sol. Cells 2019, 200, 109911. [Google Scholar] [CrossRef]
- Li, W.; Chen, J.; Cui, H.; Liu, F.; Hao, X. Inhibiting MoS2 Formation by Introducing a ZnO Intermediate Layer for Cu2ZnSnS4 Solar Cells. Mater. Lett. 2014, 130, 87–90. [Google Scholar] [CrossRef]
- Rana, M.S.; Islam, M.M.; Julkarnain, M. Enhancement in Efficiency of CZTS Solar Cell by Using CZTSe BSF Layer. Sol. Energy 2021, 226, 272–287. [Google Scholar] [CrossRef]
- Ghobadi, A.; Yousefi, M.; Minbashi, M.; Kordbacheh, A.H.A.; Abdolvahab, A.H.; Gorji, N.E. Simulating the Effect of Adding BSF Layers on Cu2BaSnSSe3 Thin Film Solar Cells. Opt. Mater. 2020, 107, 109927. [Google Scholar] [CrossRef]
- Tran, M.H.; Cho, J.Y.; Sinha, S.; Gang, M.G.; Heo, J. Cu2O/ZnO Heterojunction Thin-Film Solar Cells: The Effect of Electrodeposition Condition and Thickness of Cu2O. Thin Solid Films 2018, 661, 132–136. [Google Scholar] [CrossRef]
- Lakshmanan, A.; Alex, Z.C.; Meher, S.R. Cu2O Thin Films Grown by Magnetron Sputtering as Solar Cell Absorber Layers. Mater. Sci. Semicond. Process. 2022, 148, 106818. [Google Scholar] [CrossRef]
- Wisz, G.; Sawicka-Chudy, P.; Yavorskyi, R.; Potera, P.; Bester, M.; Głowa, Ł. TiO2/Cu2O Heterojunctions for Photovoltaic Cells Application Produced by Reactive Magnetron Sputtering. Mater. Today Proc. 2021, 35, 552–557. [Google Scholar] [CrossRef]
- Ugalde-Reygadas, M.; Moreno-Regino, V.D.; Torres-Castanedo, C.G.; Bedzyk, M.J.; Castanedo-Pérez, R.; Torres-Delgado, G. Cu2O Thin Films Deposited by Spray Pyrolysis Using Diethanolamine and L-Ascorbic Acid as Reducing Agents. Mater. Today Commun. 2022, 32, 103999. [Google Scholar] [CrossRef]
- Pansuriya, T.; Malani, R.; Kheraj, V. Investigations on the Effect of Buffer Layer on CMTS Based Thin Film Solar Cell Using SCAPS 1-D. Opt. Mater. 2022, 126, 112150. [Google Scholar] [CrossRef]
- Khattak, Y.H.; Baig, F.; Marí, B.; Beg, S.; Ahmed, S. Baseline for the Numerical Analysis of High Efficiency Copper Manganese Tin Sulfide Cu2MnSnS4 Based Thin Film Solar Cell. J. Nanoelectron. Optoelectron. 2018, 13, 1678–1684. [Google Scholar] [CrossRef]
- Hossain, M.K.; Arnab, A.A.; Samajdar, D.P.; Rubel, M.H.K.; Hossain, M.M.; Islam, M.R.; Das, R.C.; Bencherif, H.; Rahman, M.F.; Madan, J.; et al. Design Insights into La2NiMnO6-Based Perovskite Solar Cells Employing Different Charge Transport Layers: DFT and SCAPS-1D Frameworks. Energy Fuels 2023, 37, 13377–13396. [Google Scholar] [CrossRef]
- Hossain, M.K.; Toki, G.F.I.; Kuddus, A.; Mohammed, M.K.A.; Pandey, R.; Madan, J.; Bhattarai, S.; Rahman, M.F.; Dwivedi, D.K.; Amami, M.; et al. Optimization of the Architecture of Lead-Free CsSnCl3-Perovskite Solar Cells for Enhancement of Efficiency: A Combination of SCAPS-1D and WxAMPS Study. Mater. Chem. Phys. 2023, 308, 128281. [Google Scholar] [CrossRef]
- Jabr, R.A.; Hamad, M.; Mohanna, Y.M. Newton-Raphson Solution of Poisson’s Equation in a Pn Diode. Int. J. Electr. Eng. Educ. 2007, 44, 23–33. [Google Scholar] [CrossRef]
- Biplab, S.R.I.; Ali, M.H.; Moon, M.M.A.; Pervez, M.F.; Rahman, M.F.; Hossain, J. Performance Enhancement of CIGS-Based Solar Cells by Incorporating an Ultrathin BaSi2 BSF Layer. J. Comput. Electron. 2020, 19, 342–352. [Google Scholar] [CrossRef]
- Bibi, B.; Farhadi, B.; ur Rahman, W.; Liu, A. A Novel Design of CTZS/Si Tandem Solar Cell: A Numerical Approach. J. Comput. Electron. 2021, 20, 1769–1778. [Google Scholar] [CrossRef]
- Scarpulla, M.A.; McCandless, B.; Phillips, A.B.; Yan, Y.; Heben, M.J.; Wolden, C.; Xiong, G.; Metzger, W.K.; Mao, D.; Krasikov, D.; et al. CdTe-Based Thin Film Photovoltaics: Recent Advances, Current Challenges and Future Prospects. Sol. Energy Mater. Sol. Cells 2023, 255, 112289. [Google Scholar] [CrossRef]
- Bouarissa, A.; Gueddim, A.; Bouarissa, N.; Maghraoui-Meherezi, H. Modeling of ZnO/MoS2/CZTS Photovoltaic Solar Cell through Window, Buffer and Absorber Layers Optimization. Mater. Sci. Eng. B 2021, 263, 114816. [Google Scholar] [CrossRef]
- Hossain, M.K.; Arnab, A.A.; Das, R.C.; Hossain, K.M.; Rubel, M.H.K.; Rahman, M.F.; Bencherif, H.; Emetere, M.E.; Mohammed, M.K.A.; Pandey, R. Combined DFT, SCAPS-1D, and WxAMPS Frameworks for Design Optimization of Efficient Cs2BiAgI6-Based Perovskite Solar Cells with Different Charge Transport Layers. RSC Adv. 2022, 12, 34850–34873. [Google Scholar] [CrossRef]
- Hossain, M.K.; Rubel, M.H.K.; Toki, G.F.I.; Alam, I.; Rahman, M.F.; Bencherif, H. Effect of Various Electron and Hole Transport Layers on the Performance of CsPbI3-Based Perovskite Solar Cells: A Numerical Investigation in DFT, SCAPS-1D, and WxAMPS Frameworks. ACS Omega 2022, 7, 43210–43230. [Google Scholar] [CrossRef]
- Raoui, Y.; Ez-Zahraouy, H.; Tahiri, N.; El Bounagui, O.; Ahmad, S.; Kazim, S. Performance Analysis of MAPbI3 Based Perovskite Solar Cells Employing Diverse Charge Selective Contacts: Simulation Study. Sol. Energy 2019, 193, 948–955. [Google Scholar] [CrossRef]
- Sajid, S.; Alzahmi, S.; Salem, I.B.; Obaidat, I.M. Guidelines for Fabricating Highly Efficient Perovskite Solar Cells with Cu2O as the Hole Transport Material. Nanomaterials 2022, 12, 3315. [Google Scholar] [CrossRef] [PubMed]
- Chen, L.; Deng, H.; Tao, J.; Zhou, W.; Sun, L.; Yue, F.; Yang, P.; Chu, J. Influence of Annealing Temperature on Structural and Optical Properties of Cu2MnSnS4 Thin Films Fabricated by Sol–Gel Technique. J. Alloys Compd. 2015, 640, 23–28. [Google Scholar] [CrossRef]
- Güneri, E.; Aker, D.; Henry, J.; Billur, C.A.; Saatçi, B. Cu2O Thin Films Prepared by Chemical Bath Deposition: An Improved Method. Phase Transit. 2022, 95, 679–690. [Google Scholar] [CrossRef]
- Luo, H.; Zhang, Y.; Li, H. Effect of MoS2 Interlayer on Performances of Copper-Barium-Tin-Sulfur Thin Film Solar Cells via Theoretical Simulation. Sol. Energy 2021, 223, 384–397. [Google Scholar] [CrossRef]
- Wang, Y.; Kai Gary Kwok, C.; Xiao, D.; Zhu, J.; Shu, X.; Ping Liu, C.; Man Yu, K. Improving the p–Type Conductivity of Cu2O Thin Films by Ni Doping and Their Heterojunction with n–ZnO. Appl. Surf. Sci. 2022, 590, 153047. [Google Scholar] [CrossRef]
- Derbal, S.; Benaicha, M. Insights on the Effect of Applied Potential on the Properties of Electrodeposited P-Type Cuprous Oxide (Cu2O) Thin Films. J. Electron. Mater. 2021, 50, 5134–5140. [Google Scholar] [CrossRef]
- Khattak, Y.H.; Baig, F.; Toura, H.; Beg, S.; Soucase, B.M. Efficiency Enhancement of Cu2BaSnS4 Experimental Thin-Film Solar Cell by Device Modeling. J. Mater. Sci. 2019, 54, 14787–14796. [Google Scholar] [CrossRef]
- Gupta, G.K.; Dixit, A. Simulation Studies on Photovoltaic Response of Ultrathin CuSb(S/Se)2 Ternary Compound Semiconductors Absorber-Based Single Junction Solar Cells. Int. J. Energy Res. 2020, 44, 3724–3736. [Google Scholar] [CrossRef]
- Lin, J.; Xu, J.; Yang, Y. Numerical Analysis of the Effect of MoS2 Interface Layers on Copper-Zinc-Tin-Sulfur Thin Film Solar Cells. Optik 2020, 201, 163496. [Google Scholar] [CrossRef]
- Sharbati, S.; Gharibshahian, I.; Orouji, A.A. Designing of AlxGa1-XAs/CIGS Tandem Solar Cell by Analytical Model. Sol. Energy 2019, 188, 1–9. [Google Scholar] [CrossRef]
- Basak, A.; Singh, U.P. Numerical Modelling and Analysis of Earth Abundant Sb2S3 and Sb2Se3 Based Solar Cells Using SCAPS-1D. Sol. Energy Mater. Sol. Cells 2021, 230, 111184. [Google Scholar] [CrossRef]
- El Otmani, R.; El Manouni, A.; Al Maggoussi, A. Numerical Simulation of CZTSe Based Solar Cells Using Different Back Surface Field Layers: Improvement and Comparison. J. Electron. Mater. 2021, 50, 2021–2033. [Google Scholar] [CrossRef]
- Beyrami, N.; Saadat, M.; Sohbatzadeh, Z. A Modeling Study on Utilizing In2S3 as a Buffer Layer in CIGS-Based Solar Cells. J. Comput. Electron. 2022, 21, 1329–1337. [Google Scholar] [CrossRef]
- Akdim, B.; Pachter, R.; Mou, S. Theoretical Analysis of the Combined Effects of Sulfur Vacancies and Analyte Adsorption on the Electronic Properties of Single-Layer MoS2. Nanotechnology 2016, 27, 185701. [Google Scholar] [CrossRef] [PubMed]
- Yang, K.-J.; Sim, J.-H.; Jeon, B.; Son, D.-H.; Kim, D.-H.; Sung, S.-J.; Hwang, D.-K.; Song, S.; Khadka, D.B.; Kim, J.; et al. Effects of Na and MoS2 on Cu2ZnSnS4 Thin-Film Solar Cell. Prog. Photovoltaics Res. Appl. 2015, 23, 862–873. [Google Scholar] [CrossRef]
- Wei, Z.; Fung, C.M.; Pockett, A.; Dunlop, T.O.; McGettrick, J.D.; Heard, P.J.; Guy, O.J.; Carnie, M.J.; Sullivan, J.H.; Watson, T.M. Engineering of a Mo/SixNy Diffusion Barrier to Reduce the Formation of MoS2 in Cu2ZnSnS4 Thin Film Solar Cells. ACS Appl. Energy Mater. 2018, 1, 2749–2757. [Google Scholar] [CrossRef]
- Kaminski, A.; Vandelle, B.; Fave, A.; Boyeaux, J.; Nam, L.Q.; Monna, R.; Sarti, D.; Laugier, A. Aluminium BSF in Silicon Solar Cells. Sol. Energy Mater. Sol. Cells 2002, 72, 373–379. [Google Scholar] [CrossRef]
- Yang, X.; Chen, B.; Chen, J.; Zhang, Y.; Liu, W.; Sun, Y. ZnS Thin Film Functionalized as Back Surface Field in Si Solar Cells. Mater. Sci. Semicond. Process. 2018, 74, 309–312. [Google Scholar] [CrossRef]
- Kohara, N.; Nishiwaki, S.; Hashimoto, Y.; Negami, T.; Wada, T. Electrical Properties of the Cu(In,Ga)Se2/ MoSe2/Mo Structure. Sol. Energy Mater. Sol. Cells 2001, 67, 209–215. [Google Scholar] [CrossRef]
- Shukla, V.; Panda, G. Effect of BSF Layer on the Performance of CdTe Solar Cell. Mater. Today Proc. 2021, 44, 2300–2303. [Google Scholar] [CrossRef]
- Camacho-Espinosa, E.; Rimmaudo, I.; Riech, I.; Mis-Fernández, R.; Peña, J.L. Stability of Sputter Deposited Cuprous Oxide (Cu2O) Subjected to Ageing Conditions for Photovoltaic Applications. J. Appl. Phys. 2018, 123, 8. [Google Scholar] [CrossRef]
- Abdelfatah, M.; Ledig, J.; El-Shaer, A.; Wagner, A.; Marin-Borras, V.; Sharafeev, A.; Lemmens, P.; Mosaad, M.M.; Waag, A.; Bakin, A. Fabrication and Characterization of Low Cost Cu2O/ZnO:Al Solar Cells for Sustainable Photovoltaics with Earth Abundant Materials. Sol. Energy Mater. Sol. Cells 2016, 145, 454–461. [Google Scholar] [CrossRef]
- Kumar, R.; Bergum, K.; Riise, H.N.; Monakhov, E.; Galeckas, A.; Svensson, B.G. Impact of Post Annealing and Hydrogen Implantation on Functional Properties of Cu2O Thin Films for Photovoltaic Applications. J. Alloys Compd. 2020, 825, 153982. [Google Scholar] [CrossRef]
- Salah, H.Y.; Abdelfatah, M.; El-Shaer, A.; Oraby, A.H. Effect of Al Doped ZnO on Optical and Photovoltaic Properties of the P-Cu2O/n-AZO Solar Cells. Ceram. Int. 2022, 49, 7746–7752. [Google Scholar] [CrossRef]
- Bag, A.; Radhakrishnan, R.; Nekovei, R.; Jeyakumar, R. Effect of Absorber Layer, Hole Transport Layer Thicknesses, and Its Doping Density on the Performance of Perovskite Solar Cells by Device Simulation. Sol. Energy 2020, 196, 177–182. [Google Scholar] [CrossRef]
- Atowar Rahman, M. Enhancing the Photovoltaic Performance of Cd-Free Cu2ZnSnS4 Heterojunction Solar Cells Using SnS HTL and TiO2 ETL. Sol. Energy 2021, 215, 64–76. [Google Scholar] [CrossRef]
- Wang, W.; Chen, B.; Chen, G.; Cai, H.; Dong, J.; Liao, Y.; Chen, S.; Huang, Z. A General Oxide-Based Preparation Strategy for Cu2MSnS4 (M: Zn, Mn, Cd) Thin Films and Relevant Solar Cells. Mater. Lett. 2018, 214, 170–173. [Google Scholar] [CrossRef]











| Features | p-Cu2O | n-MoS2 | p-CMTS | n-CdS | i-ZnO | n-AZO |
|---|---|---|---|---|---|---|
| Thickness (µm) | 0.1–0.6 | 0.1–0.6 | 1.5 | 0.1 | 0.05 | 0.2 |
| Eg (eV) | 2.2 | 1.3 | 1.6 | 2.42 | 3.3 | 3.6 |
| εr | 7.1 | 13.6 | 9 | 8.25 | 9 | 9 |
| X (eV) | 3.2 | 4.5 | 4.35 | 4.5 | 4.4 | 4.6 |
| NC (cm−3) | 2.5 × 1018 | 7.5 × 1017 | 2.2 × 1018 | 3.1 × 1018 | 2.2 × 1018 | 2.2 × 1018 |
| NV (cm−3) | 1.5 × 1019 | 1.8 × 1018 | 1.8 × 1019 | 1.8 × 1019 | 1.8 × 1019 | 1.8 × 1019 |
| μn (cm2 V−1 s−1) | 1.0 × 102 | 1.0 × 102 | 1.6 × 10−1 | 1.0 × 102 | 1.0 × 102 | 1.0 × 102 |
| μh (cm2 V−1 s−1) | 0.8 × 102 | 1.5 × 102 | 1.6 × 10−1 | 2.5 × 101 | 2.5 × 101 | 2.5 × 101 |
| Electron thermal velocity (cm/s) | 1.0 × 107 | 1.0 × 107 | 1.0 × 107 | 2.3 × 107 | 1.0 × 107 | 1.0 × 107 |
| Hole thermal velocity (cm/s) | 1.0 × 107 | 1.0 × 107 | 1.0 × 107 | 1.4 × 107 | 1.0 × 107 | 1.0 × 107 |
| ND (cm−3) | 0 | 1.0 × 1015–1.0 × 1019 | 0 | 1.0 × 1019 | 1.0 × 1018 | 1.0 × 1020 |
| NA (cm−3) | 1.0 × 1015–1.0 × 1019 | 1.0 × 1016 | 0 | 0 | 0 | |
| Nt (cm−3) | 1.0 × 1015 | 1.0 × 1015 | 1.0 × 1013 | 1.0 × 1016 | 1.0 × 1014 | 1.0 × 1014 |
| Absorber | BSF | η without BSF | η with BSF | References | |
|---|---|---|---|---|---|
| E | Si | Al | 12.96 | 13.75 | [55] |
| E | Si | ZnS | 6.40 | 11.02 | [56] |
| E | CIGS | MoSe2 | 9 | 14 | [57] |
| S | CZTS | CZTSe | 8.55 | 22.03 | [21] |
| S | CIGS | BaSi2 | 19.71 | 26.24 | [32] |
| S | CdTe | Cu2Te | 14.87 | 19.06 | [58] |
| S | CBT(S, Se3) | SnS | 5.23 | 7.31 | [22] |
| Type | Device Structure | VOC (V) | JSC (mA/cm²) | FF (%) | η (%) | References |
|---|---|---|---|---|---|---|
| E | Mo/MoS2/CMTS/CdS/i-ZnO/AZO/Al | 0.289 | 1.59 | 29.9 | 0.14 | [65] |
| E | Mo/CMTS/CdS/i-ZnO+AZO | 0.354 | 5.8 | 40 | 0.83 | [15] |
| S | Mo/CMTS/CdS/i-ZnO/FTO | 0.88 | 24.10 | 77.90 | 16.5 | [28] |
| S | Mo/CMTS/CdS/i-ZnO/AZO/Al | 1.11 | 26.26 | 61.08 | 17.81 | [27] |
| S | Mo/Cu2O/CMTS/CdS/i-ZnO/AZO/Al | 1.26 | 24.45 | 70.85 | 21.78 | This work |
Disclaimer/Publisher’s Note: The statements, opinions and data contained in all publications are solely those of the individual author(s) and contributor(s) and not of MDPI and/or the editor(s). MDPI and/or the editor(s) disclaim responsibility for any injury to people or property resulting from any ideas, methods, instructions or products referred to in the content. |
© 2023 by the authors. Licensee MDPI, Basel, Switzerland. This article is an open access article distributed under the terms and conditions of the Creative Commons Attribution (CC BY) license (https://creativecommons.org/licenses/by/4.0/).
Share and Cite
Henni, W.; Rahal, W.L.; Toki, G.F.I.; Mohammed, M.K.A.; Farhat, L.B.; Ezzine, S.; Pandey, R.; Boukortt, A.; Hossain, M.K. Effect of Adding Cu2O as a Back Surface Field Layer on the Performance of Copper Manganese Tin Sulfide Solar Cells. Sustainability 2023, 15, 14322. https://doi.org/10.3390/su151914322
Henni W, Rahal WL, Toki GFI, Mohammed MKA, Farhat LB, Ezzine S, Pandey R, Boukortt A, Hossain MK. Effect of Adding Cu2O as a Back Surface Field Layer on the Performance of Copper Manganese Tin Sulfide Solar Cells. Sustainability. 2023; 15(19):14322. https://doi.org/10.3390/su151914322
Chicago/Turabian StyleHenni, Wafaâ, Wassila Leïla Rahal, G. F. Ishraque Toki, Mustafa K. A. Mohammed, Lamia Ben Farhat, Safa Ezzine, Rahul Pandey, Abdelkader Boukortt, and M. Khalid Hossain. 2023. "Effect of Adding Cu2O as a Back Surface Field Layer on the Performance of Copper Manganese Tin Sulfide Solar Cells" Sustainability 15, no. 19: 14322. https://doi.org/10.3390/su151914322
APA StyleHenni, W., Rahal, W. L., Toki, G. F. I., Mohammed, M. K. A., Farhat, L. B., Ezzine, S., Pandey, R., Boukortt, A., & Hossain, M. K. (2023). Effect of Adding Cu2O as a Back Surface Field Layer on the Performance of Copper Manganese Tin Sulfide Solar Cells. Sustainability, 15(19), 14322. https://doi.org/10.3390/su151914322

