STEM Students’ Academic Well-Being at University before and during Later Stages of the COVID-19 Pandemic: A Cross-Sectional Cohort and Longitudinal Study
Abstract
:1. Introduction
1.1. Studying during the COVID-19 Pandemic
1.2. Academic Well-Being
1.3. COVID-19 Related Stressors
1.4. The Role of Perceived Social Support in the University Environment
1.5. The Current Research
2. General Method
2.1. Participants
2.2. Procedure
2.3. Analytic Strategy
3. Study 1: Do STEM Students Experience Lower Academic Well-Being during the COVID-19 Pandemic than Before?
3.1. Research Design
3.2. Measures
3.3. Results Cohort Data
3.4. Results Longitudinal Data
3.5. Discussion Study 1
4. Study 2: Do COVID-19-Related Stressors Explain Lower Academic Well-Being during the COVID-19 Pandemic?
4.1. Research Design
4.2. Measures
4.3. Results
4.4. Discussion Study 2
5. Study 3: Do Social Support Systems at University Buffer the Negative Effects of COVID-19-Related Stressors on Academic Well-Being?
5.1. Research Design
5.2. Measures
5.3. Results
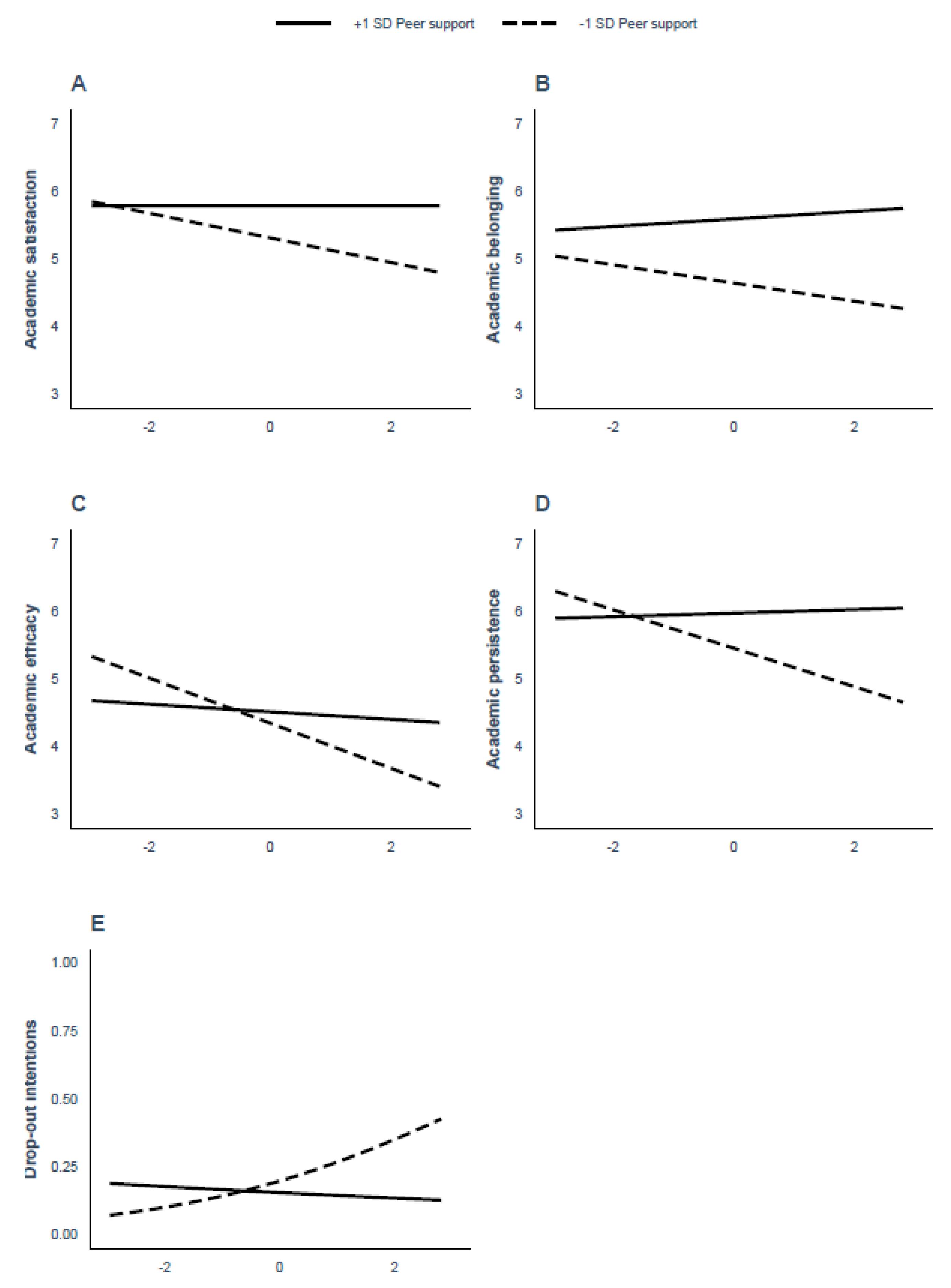
5.3.1. Peer Support
5.3.2. Faculty Support
5.3.3. Study Advisor Support
5.4. Discussion Study 3
6. Discussion
6.1. Practical Implications
6.2. Strengths and Limitations
7. Conclusions
Supplementary Materials
Author Contributions
Funding
Institutional Review Board Statement
Informed Consent Statement
Data Availability Statement
Acknowledgments
Conflicts of Interest
References
- Aristovnik, A.; Keržič, D.; Ravšelj, D.; Tomaževič, N.; Umek, L. Impacts of the COVID-19 pandemic on life of higher education students: A global perspective. Sustainability 2020, 12, 8438. [Google Scholar] [CrossRef]
- Dickson-Karn, N.M. Student feedback on distance learning in the quantitative chemical analysis laboratory. J. Chem. Educ. 2020, 97, 2955–2959. [Google Scholar] [CrossRef]
- Franchi, T. The impact of the COVID-19 pandemic on current anatomy education and future careers: A student’s perspective. Anat. Sci. Educ. 2020, 13, 312–315. [Google Scholar] [CrossRef] [PubMed]
- Lederer, A.M.; Hoban, M.T.; Lipson, S.K.; Zhou, S.; Eisenberg, D. More than inconvenienced: The unique needs of u.s. college students during the COVID-19 pandemic. Health Educ. Behav. 2021, 48, 14–19. [Google Scholar] [CrossRef] [PubMed]
- Plakhotnik, M.S.; Volkova, N.V.; Jiang, C.; Yahiaoui, D.; Pheiffer, G.; McKay, K.; Newman, S.; Reißig-Thust, S. The perceived impact of COVID-19 on student well-being and the mediating role of the university support: Evidence from france, germany, russia, and the uk. Front. Psychol. 2021, 12, 642689. [Google Scholar] [CrossRef]
- Wester, E.R.; Walsh, L.L.; Arango-Caro, S.; Callis-Duehl, K.L. Student engagement declines in stem undergraduates during COVID-19–driven remote learning. J. Microbiol. Biol. Educ. 2021, 22, 10–1128. [Google Scholar] [CrossRef]
- De Man, J.; Smith, M.R.; Schneider, M.; Tabana, H. An exploration of the impact of COVID-19 on mental health in South Africa. Psychol. Health Med. 2022, 27, 120–130. [Google Scholar] [CrossRef]
- Evans, S.; Alkan, E.; Bhangoo, J.K.; Tenenbaum, H.; Ng-Knight, T. Effects of the COVID-19 lockdown on mental health, wellbeing, sleep, and alcohol use in a UK student sample. Psychiatry Res. 2021, 298, 113819. [Google Scholar] [CrossRef]
- Widlund, A.; Tuominen, H.; Korhonen, J. Academic well-being, mathematics performance, and educational aspirations in lower secondary education: Changes within a school year. Front. Psychol. 2018, 9, 297. [Google Scholar] [CrossRef]
- Korhonen, J.; Linnanmäki, K.; Aunio, P. Learning difficulties, academic well-being and educational dropout: A person-centred approach. Learn. Individ. Differ. 2014, 31, 1–10. [Google Scholar] [CrossRef]
- Korhonen, J.; Tapola, A.; Linnanmäki, K.; Aunio, P. Gendered pathways to educational aspirations: The role of academic self-concept, school burnout, achievement and interest in mathematics and reading. Learn. Instr. 2016, 46, 21–33. [Google Scholar] [CrossRef]
- Petillion, R.J.; McNeil, W.S. Student experiences of emergency remote teaching: Impacts of instructor practice on student learning, engagement, and well-being. J. Chem. Educ. 2020, 97, 2486–2493. [Google Scholar] [CrossRef]
- Zamora, A.N.; August, E.; Fossee, E.; Anderson, O.S. Impact of transitioning to remote learning on student learning interactions and sense of belonging among public health graduate students. Pedagog. Health Promot. 2022, 9, 203–213. [Google Scholar] [CrossRef]
- de Boer, H. COVID-19 in Dutch higher education. Stud. High. Educ. 2021, 46, 96–106. [Google Scholar] [CrossRef]
- Hascher, T. Quantitative and qualitative research approaches to assess student well-being. Int. J. Educ. Res. 2008, 47, 84–96. [Google Scholar] [CrossRef]
- Clabaugh, A.; Duque, J.F.; Fields, L.J. Academic stress and emotional well-being in United States college students following onset of the COVID-19 pandemic. Front. Psychol. 2021, 12, 628787. [Google Scholar] [CrossRef]
- Barbayannis, G.; Bandari, M.; Zheng, X.; Baquerizo, H.; Pecor, K.W.; Ming, X. Academic stress and mental well-being in college students: Correlations, affected groups, and COVID-19. Front. Psychol. 2022, 13, 886344. [Google Scholar] [CrossRef]
- Deniz, M.E.; Satici, S.A.; Doenyas, C.; Griffiths, M.D. Zoom fatigue, psychological distress, life satisfaction, and academic well-being. Cyberpsychology Behav. Soc. Netw. 2022, 25, 270–277. [Google Scholar] [CrossRef] [PubMed]
- Strayhorn, T.L. Exploring the impact of facebook and myspace use on first-year students’ sense of belonging and persistence decisions. J. Coll. Stud. Dev. 2012, 53, 783–796. [Google Scholar] [CrossRef]
- Schiefele, U.; Jacob-Ebbinghaus, L. Lernermerkmale und Lehrqualität als Bedingungen der Studienzufriedenheit. Z. Für Pädagogische Psychol. 2006, 20, 199–212. [Google Scholar] [CrossRef]
- Bowers, J.; Kumar, P. Students’ perceptions of teaching and social presence: A comparative analysis of face-to-face and online learning environments. Int. J. Web-Based Learn. Teach. Technol. 2015, 10, 27–44. [Google Scholar] [CrossRef]
- Maqableh, M.; Alia, M. Evaluation online learning of undergraduate students under lockdown amidst COVID-19 Pandemic: The online learning experience and students’ satisfaction. Child. Youth Serv. Rev. 2021, 128, 106160. [Google Scholar] [CrossRef] [PubMed]
- Bandura, A. Self-efficacy: Toward a unifying theory of behavioral change. Psychol. Rev. 1977, 84, 191–215. [Google Scholar] [CrossRef] [PubMed]
- Hutchison, M.A.; Follman, D.K.; Sumpter, M.; Bodner, G.M. Factors influencing the self-efficacy beliefs of first-year engineering students. J. Eng. Educ. 2006, 95, 39–47. [Google Scholar] [CrossRef]
- Tinto, V. Leaving College: Rethinking the Causes and Cures of Student Attrition; University of Chicago Press: Chicago, IL, USA, 2012. [Google Scholar]
- Tinto, V. Limits of Theory and Practice in Student Attrition. J. High. Educ. 1982, 53, 687–700. [Google Scholar] [CrossRef]
- Sharma, G.; Yukhymenko-Lescroart, M.A. Life purpose as a predictor of resilience and persistence in college students during the COVID-19 pandemic. J. Coll. Stud. Retent. Res. Theory Pract. 2022, 15210251221076828. [Google Scholar] [CrossRef]
- Robbins, S.B.; Allen, J.; Casillas, A.; Peterson, C.H.; Le, H. Unraveling the differential effects of motivational and skills, social, and self-management measures from traditional predictors of college outcomes. J. Educ. Psychol. 2006, 98, 598–616. [Google Scholar] [CrossRef]
- Ghassemi, M.; Bernecker, K.; Herrmann, M.; Brandstätter, V. The process of disengagement from personal goals: Reciprocal influences between the experience of action crisis and appraisals of goal desirability and attainability. Personal. Soc. Psychol. Bull. 2017, 43, 524–537. [Google Scholar] [CrossRef]
- Post, D.; Vitry, A.; Baldock, K.L. Evaluating changes in student health, wellbeing and social circumstances before and during COVID-19 pandemic restrictions in Australia. PeerJ 2021, 9, e12078. [Google Scholar] [CrossRef]
- Gopalan, M.; Linden-Carmichael, A.; Lanza, S. College students’ sense of belonging and mental health amidst the COVID-19 pandemic. J. Adolesc. Health 2022, 70, 228–233. [Google Scholar] [CrossRef]
- Mooney, C.; Becker, B.A. Investigating the impact of the COVID-19 pandemic on computing students’ sense of belonging. ACM Inroads 2021, 12, 38–45. [Google Scholar] [CrossRef]
- Donham, C.; Barron, H.A.; Alkhouri, J.S.; Kumarath, M.C.; Alejandro, W.; Menke, E.; Kranzfelder, P. I will teach you here or there, I will try to teach you anywhere: Perceived supports and barriers for emergency remote teaching during the COVID-19 pandemic. Int. J. STEM Educ. 2022, 9, 19. [Google Scholar] [CrossRef] [PubMed]
- Eccles-Parsons, J.; Adler, T.F.; Futterman, R.; Goff, S.B.; Kaczala, C.M.; Meece, J.L.; Midgley, C. Expectancies, values, and academic behaviors. In Achievement and Achievement Motivation; Spence, J.T., Ed.; W. H. Freeman: San Francisco, CA, USA, 1983; pp. 75–146. [Google Scholar]
- Eccles, J.S.; Wigfield, A. From expectancy-value theory to situated expectancy-value theory: A developmental, social cognitive, and sociocultural perspective on motivation. Contemp. Educ. Psychol. 2020, 61, 101859. [Google Scholar] [CrossRef]
- Juntunen, H.; Tuominen, H.; Viljaranta, J.; Hirvonen, R.; Toom, A.; Niemivirta, M. Feeling exhausted and isolated? The connections between university students’ remote teaching and learning experiences, motivation, and psychological well-being during the COVID-19 pandemic. Educ. Psychol. 2022, 42, 1241–1262. [Google Scholar] [CrossRef]
- Watt, H.M.G.; Bucich, M.; Dacosta, L. Adolescents’ motivational profiles in mathematics and science: Associations with achievement striving, career aspirations and psychological wellbeing. Front. Psychol. 2019, 10, 990. [Google Scholar] [CrossRef]
- Caring Universities. The Mental Well-Being of Students during the COVID-19 Pandemic-III. The Third Measurement by the Caring Universities Consortium. Available online: https://caring-universities.com/wp-content/uploads/2022/03/The-mental-well-being-of-students-during-the-COVID-19-pandemic-III-report-by-Caring-Universities-31032022.pdf (accessed on 3 July 2023).
- Hollister, B.; Nair, P.; Hill-Lindsay, S.; Chukoskie, L. Engagement in online learning: Student attitudes and behavior during COVID-19. Front. Educ. 2022, 7, 851019. [Google Scholar] [CrossRef]
- Ad Valvas. Met de Studieresultaten Gaat Het Goed, Met de Studenten Wat Minder. Available online: https://www.advalvas.vu.nl/nieuws/met-de-studieresultaten-gaat-het-goed-met-de-studenten-wat-minder (accessed on 24 November 2020).
- Jetten, J.; Reicher, S.D.; Haslam, A.; Gruwys, T. Together Apart: The Psychology of COVID-19; Sage Publications Ltd.: London, UK, 2020. [Google Scholar]
- Wu, J.; Liu, Q. A longitudinal study on college students’ depressive symptoms during the COVID-19 pandemic: The trajectories, antecedents, and outcomes. Psychiatry Res. 2023, 321, 115058. [Google Scholar] [CrossRef]
- Taylor, S.E. Social Support. In Foundations of Health Psychology; Friedman, H.S., Silver, R.C., Eds.; Oxford University Press: Oxford, UK, 2007; pp. 145–171. [Google Scholar]
- Haslam, C.; Latilla, T.; Muldoon, O.T.; Cruwys, T.; Kearns, M. Multiple group membership supports resilience and growth in response to violence and abuse. J. Community Appl. Soc. Psychol. 2022, 32, 241–257. [Google Scholar] [CrossRef]
- Cohen, S.; Wills, T.A. Stress, social support, and the buffering hypothesis. Psychol. Bull. 1985, 98, 310–357. [Google Scholar] [CrossRef]
- Cohen, S.; Underwood, L.G.; Gottlieb, B.H. (Eds.) Social Support Measurement and Intervention: A Guide for Health and Social Scientists; Oxford University Press: Oxford, UK, 2000. [Google Scholar] [CrossRef]
- Cao, W.; Fang, Z.; Hou, G.; Han, M.; Xu, X.; Dong, J.; Zheng, J. The psychological impact of the COVID-19 epidemic on college students in China. Psychiatry Res. 2020, 287, 112934. [Google Scholar] [CrossRef]
- Procentese, F.; Capone, V.; Caso, D.; Donizzetti, A.R.; Gatti, F. Academic community in the face of emergency situations: Sense of responsible togetherness and sense of belonging as protective factors against academic stress during COVID-19 outbreak. Sustainability 2020, 12, 9718. [Google Scholar] [CrossRef]
- Raffaelli, M.; Andrade, F.C.D.; Wiley, A.R.; Sanchez-Armass, O.; Edwards, L.L.; Aradillas-Garcia, C. Stress, social support, and depression: A test of the stress-buffering hypothesis in a Mexican sample. J. Res. Adolesc. 2013, 23, 283–289. [Google Scholar] [CrossRef]
- Kiefer, S.M.; Alley, K.M.; Ellerbrock, C.R. Teacher and Peer Support for Young Adolescents’ Motivation, Engagement, and School Belonging. RMLE Online 2015, 38, 1–18. [Google Scholar] [CrossRef]
- Plecha, M. The Impact of Motivation, Student-Peer, and Student-Faculty Interaction on Academic Self-Confidence. Available online: https://eric.ed.gov/?id=ED464149 (accessed on 4 April 2020).
- Wentzel, K.R.; Battle, A.; Russell, S.L.; Looney, L.B. Social supports from teachers and peers as predictors of academic and social motivation. Contemp. Educ. Psychol. 2010, 35, 193–202. [Google Scholar] [CrossRef]
- Becerra, M.; Wong, E.; Jenkins, B.N.; Pressman, S.D. Does a good advisor a day keep the doctor away? How advisor-advisee relationships are associated with psychological and physical well-being among graduate students. Int. J. Community Well-Being 2021, 4, 505–524. [Google Scholar] [CrossRef]
- Schlosser, L.Z.; Lyons, H.Z.; Talleyrand, R.M.; Kim, B.S.K.; Johnson, W.B. Advisor-advisee relationships in graduate training programs. J. Career Dev. 2011, 38, 3–18. [Google Scholar] [CrossRef]
- Faul, F.; Erdfelder, E.; Buchner, A.; Lang, A.-G. Statistical power analyses using G*Power 3.1: Tests for correlation and regression analyses. Behav. Res. Methods 2009, 41, 1149–1160. [Google Scholar] [CrossRef] [PubMed]
- Hox, J.J.; Maas, C.J. Sample Sizes for Multilevel Modeling; Routledge: New York, NY, USA, 2002. [Google Scholar]
- Aiken, L.S.; West, S.G.; Reno, R.R. Multiple Regression: Testing and Interpreting Interactions; Sage Publications: London, UK, 1991. [Google Scholar]
- Preacher, K.J.; Curran, P.J.; Bauer, D.J. Computational tools for probing interactions in multiple linear regression, multilevel modeling, and latent curve analysis. J. Educ. Behav. Stat. 2006, 31, 437–448. [Google Scholar] [CrossRef]
- Podsakoff, P.M.; MacKenzie, S.B.; Lee, J.-Y.; Podsakoff, N.P. Common method biases in behavioral research: A critical review of the literature and recommended remedies. J. Appl. Psychol. 2003, 88, 879–903. [Google Scholar] [CrossRef]
- Wach, F.-S.; Karbach, J.; Ruffing, S.; Brünken, R.; Spinath, F.M. University students’ satisfaction with their academic studies: Personality and motivation matter. Front. Psychol. 2016, 7, 55. [Google Scholar] [CrossRef]
- Walton, G.M.; Cohen, G.L. A question of belonging: Race, social fit, and achievement. J. Pers. Soc. Psychol. 2007, 92, 82–96. [Google Scholar] [CrossRef] [PubMed]
- Pintrich, P.; Smith, D.; García, T.; McKeachie, W. A Manual for the Use of the Motivated Strategies for Learning Questionnaire (MSLQ); University of Michigan: Ann Arbor, MI, USA, 1991. [Google Scholar]
- Lewis, K.L.; Stout, J.G.; Finkelstein, N.D.; Pollock, S.J.; Miyake, A.; Cohen, G.L.; Ito, T.A. Fitting in to move forward: Belonging, gender, and persistence in the physical sciences, technology, engineering, and mathematics (pSTEM). Psychol. Women Q. 2017, 41, 420–436. [Google Scholar] [CrossRef]
- Concannon, J.P.; Barrow, L.H. A cross-sectional study of engineering students’ self-efficacy by gender, ethnicity, year, and transfer status. J. Sci. Educ. Technol. 2009, 18, 163–172. [Google Scholar] [CrossRef]
- Inspectie van Het Ondewijs. Rapport De Staat van Het Onderwijs 2019. 2019. Available online: https://www.onderwijsinspectie.nl/documenten/rapporten/2019/04/10/rapport-de-staat-van-het-onderwijs-2019 (accessed on 3 July 2023).
- Zimet, G.D.; Dahlem, N.W.; Zimet, S.G.; Farley, G.K. The multidimensional scale of perceived social support. J. Persinal. Assess. 1988, 52, 30–41. [Google Scholar] [CrossRef]
- Nolden, P.; Wosnitza, M.; Karabenick, S.A.; Peixoto, F.; Gonida, E.; Stepanović Ilić, I.; Almeida, L.S.; Stamovlasis, D.; Taveira, M.D.C.; Tošković, O.; et al. Enhancing Student Self-Reflection on the Situation at University: SRT Scale Inventory 2019. Available online: https://sunstar-eu.org/assets/handbooks/SUnStAR_IO2_Handbook_for_the_Self-Reflection_Tool_(SRT)_en.pdf (accessed on 15 December 2019).
- Usher, E.L.; Golding, J.M.; Han, J.; Griffiths, C.S.; McGavran, M.B.; Brown, C.S.; Sheehan, E.A. Psychology students’ motivation and learning in response to the shift to remote instruction during COVID-19. Sch. Teach. Learn. Psychol. 2021; Advance online publication. [Google Scholar] [CrossRef]
- Appleby, J.A.; King, N.; Saunders, K.E.; Bast, A.; Rivera, D.; Byun, J.; Cunningham, S.; Khera, C.; Duffy, A.C. Impact of the COVID-19 pandemic on the experience and mental health of university students studying in Canada and the UK: A cross-sectional study. BMJ Open 2022, 12, e050187. [Google Scholar] [CrossRef]
- Haslam, C.; Haslam, S.A.; Jetten, J.; Cruwys, T.; Steffens, N.K. Life change, social identity, and health. Annu. Rev. Psychol. 2021, 72, 635–661. [Google Scholar] [CrossRef]
- Poots, A.; Cassidy, T. Academic expectation, self-compassion, psychological capital, social support and student wellbeing. Int. J. Educ. Res. 2020, 99, 101506. [Google Scholar] [CrossRef]
- Tao, Y.; Meng, Y.; Gao, Z.; Yang, X. Perceived teacher support, student engagement, and academic achievement: A meta-analysis. Educ. Psychol. 2022, 42, 401–420. [Google Scholar] [CrossRef]
- Baumeister, R.F. Need-to-belong theory. Handb. Theor. Soc. Psychol. 2011, 2, 121–140. [Google Scholar]
- UWV. Dashboard Vacaturemarkt. 2023. Available online: https://www.werk.nl/arbeidsmarktinformatie/dashboards/vacaturemarkt (accessed on 3 July 2023).
- Liu, X.; Greenbaum, R.L.; Allen, D.; Zhang, Z. A Newcomer Socialization Perspective on the Proliferation of Unethical Conduct in Organizations: The Influences of Peer Coaching Practices and Newcomers’ Goal Orientations. J. Bus. Ethic 2022, 176, 73–88. [Google Scholar] [CrossRef]
- Short, E.; Kinman, G.; Baker, S. Evaluating the Impact of a Peer Coaching Intervention on Well-Being Among Psychology Undergraduate Students. In Coaching Researched: A Coaching Psychology Reader; Passmore, J., Tee, D., Eds.; Wiley & Sons: Hoboken, NJ, USA, 2020; pp. 285–296. [Google Scholar] [CrossRef]











| Academic Well-Being Outcomes | |||||
|---|---|---|---|---|---|
| Academic Satisfaction | Academic Belonging | Academic Efficacy | Persistence Intentions | Dropout Intentions (Dichotomous) | |
| Predictors | Estimate [95% CI] | Estimate [95% CI] | Estimate [95% CI] | Estimate [95% CI] | OR (z-Value) | 
| Step 1: Background variables | |||||
| Age | 0.00 [−0.07, 0.08] | −0.02 [−0.11, 0.07] | 0.04 [−0.06, 0.13] | 0.10 * [0.00, 0.19] | 0.95 (−0.53) | 
| Gender | −0.17 [−0.40, 0.06] | −0.27 * [−0.53, −0.01] | −0.50 ** [−0.79, −0.20] | 0.02 [−0.27, 0.31] | 1.61 (1.73) | 
| Nationality | −0.19 [−0.45, 0.07] | −0.22 [−0.51, 0.07] | −0.17 [−0.50, 0.15] | 0.42 * [0.09, 0.74] | 1.17 (0.50) | 
| Academic Year | 0.56 ** [−0.34, 0.78] | 0.79 ** [0.54, 1.03] | 0.83 ** [0.55, 1.10] | 0.85 ** [0.58, 1.13] | 1.29 (0.94) | 
| Adjusted R2/Nagelkerke R2 | 0.08 | 0.12 | 0.13 | 0.12 | 0.02 | 
| Step 2: COVID-19 worries | |||||
| Fall behind studies | −0.14 ** [−0.20, −0.07] | −0.10 ** [−0.17, −0.03] | −0.20 ** [−0.28, −0.12] | −0.18 ** [−0.27, −0.10] | 1.23 * (2.43) | 
| Less enjoyable study | −0.11 ** [−0.18, −0.03] | 0.00 [−0.09, 0.09] | 0.00 [−0.10, 0.10] | −0.08 [−0.18, 0.02] | 1.20 (1.65) | 
| Financial concerns | −0.03 [−0.10, 0.03] | −0.07 [−0.14, 0.01] | 0.05 [−0.04, 0.13] | 0.04 [−0.04, 0.12] | 0.94 (−0.70) | 
| Diploma worth less | 0.00 [−0.06, 0.06] | −0.06 [−0.14, 0.01] | −0.04 [−0.12, 0.04] | 0.01 [−0.07, 0.09] | 1.00 (0.02) | 
| Adjusted R2/Nagelkerke R2 | 0.18 | 0.17 | 0.21 | 0.19 | 0.07 | 
| Academic Well-Being Outcomes | ||||||||||
|---|---|---|---|---|---|---|---|---|---|---|
| Academic Satisfaction | Academic Belonging | Academic Efficacy | Academic Persistence | Dropout Intentions | ||||||
| Predictors | b | 95% CI | b | 95% CI | b | 95% CI | b | 95% CI | OR | 95% CI | 
| Step 1: Main effects demographics and COVID-19 stressors | ||||||||||
| Intercept | 4.00 ** | [2.47, 5.54] | 3.11 ** | [1.37, 4.84] | 2.12 * | [0.22, 4.02] | 2.25 * | [0.35, 4.15] | 0.34 | [0.008, 20.25] | 
| Age | 0.05 | [−0.03, 0.13] | 0.05 | [−0.04, 0.14] | 0.07 | [−0.03, 0.16] | 0.11 * | [0.02, 0.21] | 0.95 | [0.77, 1.46] | 
| Gender | −0.17 | [−0.40, 0.06] | −0.24 | [−0.50, 0.02] | −0.53 ** | [−0.82, −0.24] | −0.01 | [−0.30, 0.27] | 1.75 | [0.99, 3.09] | 
| Nationality | −0.14 | [−0.40, 0.13] | −0.10 | [−0.40, 0.20] | −0.21 | [−0.53, 0.12] | 0.36 * | [0.03, 0.68] | 1.20 | [0.62, 2.26] | 
| Academic year | 0.49 ** | [0.27, 0.72] | 0.77 ** | [0.51, 1.02] | 0.87 ** | [0.59, 1.15] | 0.82 ** | [0.55, 1.10] | 1.39 | [0.80, 2.43] | 
| Worry falling behind | −0.14 ** | [−0.21, −0.08] | −0.11 ** | [−0.18, −0.03] | −0.20 ** | [−0.29, −0.12] | −0.19 ** | [−0.27, −0.11] | 1.22* | [1.04, 1.45] | 
| Worry enjoyable study period | −0.10 ** | [−0.18, −0.03] | 0.00 | [−0.09, 0.09] | 0.00 | [−0.09, 0.10] | −0.08 | [−0.17, 0.02] | 1.20 | [0.98, 1.50] | 
| Financial concerns | −0.02 | [−0.09, 0.04] | −0.06 | [−0.14, 0.01] | 0.06 | [−0.02, 0.14] | 0.04 | [−0.04, 0.13] | 0.94 | [0.80, 1.11] | 
| Worry value diploma | −0.00 | [−0.06, 0.06] | −0.06 | [−0.14, 0.01] | −0.05 | [−0.13, 0.03] | 0.01 | [−0.07, 0.08] | 1.01 | [0.87, 1.17] | 
| R2 | 0.18 ** | 0.17 ** | 0.21 ** | 0.20 ** | 0.07 | |||||
| Step 2: Main effects sources of support | ||||||||||
| Intercept | 4.76 ** | [3.33, 6.18] | 4.06 ** | [2.50, 5.63] | 2.39 * | [0.48, 4.30] | 2.95 ** | [1.11, 4.78] | 0.16 | [0.03, 1.10] | 
| Peer support | 0.21 ** | [0.13, 0.30] | 0.34 ** | [0.25, 0.43] | 0.06 | [−0.05, 0.18] | 0.24 ** | [0.13, 0.35] | 0.83 | [0.66, 1.03] | 
| Faculty support | 0.25 ** | [0.13, 0.37] | 0.24 ** | [0.12, 0.37] | 0.11 | [−0.05, 0.27] | 0.16 * | [0.01, 0.31] | 0.77 | [0.56, 1.06] | 
| Study advisor support | 0.01 | [−0.07, 0.10] | −0.05 | [−0.14, 0.05] | −0.01 | [−0.13, 0.10] | 0.02 | [−0.09, 0.13] | 1.06 | [0.83, 1.35] | 
| R2 | 0.31 ** | 0.34 ** | 0.22 ** | 0.27 ** | 0.11 | |||||
| ΔR2 | 0.13 ** | 0.17 ** | 0.01 | 0.07 ** | 0.04 | |||||
| Step 3: Two-way interactions | ||||||||||
| Intercept | 5.16 ** | 4.19 ** | [2.61, 5.77] | 2.45 * | [0.57, 4.32] | 3.36 ** | [1.54, 5.19] | 0.10 | [0.00, 8.53] | |
| Peer support | ||||||||||
| Peer support * worry falling behind | 0.07 ** | [0.02, 0.11] | 0.07 ** | [0.02, 0.12] | 0.10 ** | [0.04, 0.16] | 0.11 ** | [0.05, 0.17] | 0.84 * | [0.73, 0.97] | 
| Peer support * worry enjoyable study period | 0.01 | [−0.05, 0.06] | −0.03 | [−0.09, 0.04] | 0.02 | [−0.06, 0.09] | −0.06 * | [−0.12, −0.01] | 1.00 | [0.84, 1.18] | 
| Peer support * financial concerns | 0.06 * | [0.01, 0.10] | 0.01 | [−0.04, 0.06] | 0.01 | [−0.05, 0.07] | 0.05 | [−0.03, 0.12] | 1.00 | [0.89, 1.13] | 
| Peer support * worry value diploma | −0.02 | [−0.07, 0.02] | −0.04 | [−0.09, 0.01] | −0.08 ** | [−0.13, −0.02] | 0.02 | [−0.04, 0.07] | 1.06 | [0.95, 1.19] | 
| Faculty support | ||||||||||
| Faculty support * worry falling behind | −0.06 | [−0.12, 0.01] | −0.13 ** | [−0.20, −0.05] | −0.09 | [−0.18, 0.00] | −0.10 * | [−0.18, −0.01] | 1.11 | [0.92, 1.34] | 
| Faculty support * worry enjoyable study period | −0.00 | [−0.09, 0.09] | 0.08 | [−0.02, 0.18] | 0.05 | [−0.07, 0.16] | 0.03 | [−0.05, 0.10] | 0.92 | [0.69, 1.22] | 
| Faculty support * financial concerns | −0.06 | [−0.12, 0.01] | −0.05 | [−0.12, 0.03] | 0.05 | [−0.04, 0.13] | 0.05 | [−0.06, 0.17] | 1.14 | [0.95, 1.38] | 
| Faculty support * worry value diploma | −0.01 | [−0.07, 0.05] | 0.06 | [−0.01, 0.12] | 0.13 ** | [0.05, 0.21] | −0.06 | [−0.14, 0.02] | 1.00 | [0.85, 1.18] | 
| Study advisor support | ||||||||||
| Study advisor support * worry falling behind | 0.01 | [−0.04, 0.07] | 0.01 | [−0.05, 0.07] | −0.03 | [−0.10, 0.04] | −0.01 | [−0.08, 0.06] | 0.99 | [0.84, 1.15] | 
| Study advisor support * worry enjoyable study period | 0.01 | [−0.04, 0.07] | −0.03 | [−0.09, 0.03] | −0.11 ** | [−0.18, −0.04] | 0.02 | [−0.04, 0.09] | 1.13 | [0.96, 1.34] | 
| Study advisor support * financial concerns | 0.00 | [−0.05, 0.05] | 0.03 | [−0.03, 0.08] | 0.04 | [−0.02, 0.10] | 0.05 | [−0.02, 0.12] | 1.03 | [0.90, 1.2] | 
| Study advisor support * worry value diploma | 0.02 | [−0.03, 0.07] | 0.00 | [−0.06, 0.06] | 0.01 | [−0.06, 0.07] | −0.03 | [−0.09, 0.03] | 0.88 | [0.76, 1.01] | 
| R2 | 0.35 ** | 0.38 ** | 0.30 ** | 0.32 ** | 0.16 | |||||
| ΔR2 | 0.04 | 0.04 | 0.08 ** | 0.06 ** | 0.05 | |||||
| Disclaimer/Publisher’s Note: The statements, opinions and data contained in all publications are solely those of the individual author(s) and contributor(s) and not of MDPI and/or the editor(s). MDPI and/or the editor(s) disclaim responsibility for any injury to people or property resulting from any ideas, methods, instructions or products referred to in the content. | 
© 2023 by the authors. Licensee MDPI, Basel, Switzerland. This article is an open access article distributed under the terms and conditions of the Creative Commons Attribution (CC BY) license (https://creativecommons.org/licenses/by/4.0/).
Share and Cite
Aarntzen, L.; Nieuwenhuis, M.; Endedijk, M.D.; van Veelen, R.; Kelders, S.M. STEM Students’ Academic Well-Being at University before and during Later Stages of the COVID-19 Pandemic: A Cross-Sectional Cohort and Longitudinal Study. Sustainability 2023, 15, 14267. https://doi.org/10.3390/su151914267
Aarntzen L, Nieuwenhuis M, Endedijk MD, van Veelen R, Kelders SM. STEM Students’ Academic Well-Being at University before and during Later Stages of the COVID-19 Pandemic: A Cross-Sectional Cohort and Longitudinal Study. Sustainability. 2023; 15(19):14267. https://doi.org/10.3390/su151914267
Chicago/Turabian StyleAarntzen, Lianne, Marlon Nieuwenhuis, Maaike D. Endedijk, Ruth van Veelen, and Saskia M. Kelders. 2023. "STEM Students’ Academic Well-Being at University before and during Later Stages of the COVID-19 Pandemic: A Cross-Sectional Cohort and Longitudinal Study" Sustainability 15, no. 19: 14267. https://doi.org/10.3390/su151914267
APA StyleAarntzen, L., Nieuwenhuis, M., Endedijk, M. D., van Veelen, R., & Kelders, S. M. (2023). STEM Students’ Academic Well-Being at University before and during Later Stages of the COVID-19 Pandemic: A Cross-Sectional Cohort and Longitudinal Study. Sustainability, 15(19), 14267. https://doi.org/10.3390/su151914267
 
        


 
       