Proposal of a Mathematical Modelling Activity to Facilitate Students’ Learning of Ordinary Differential Equation Concepts
Abstract
1. Introduction
to characterise the conceptual learning of first-order differential equations developed by students when they solve a task based on a model-eliciting activity approach.
2. Mathematical Modelling
- (1)
- The reality principle. This is sometimes called the “personal meaningfulness principle’. It highlights that the chosen situation for the activity must seem meaningful to the students, and it must also be connected with their previous experiences or knowledge. Some questions used to guide the construction of activities satisfying this principle are the following: Could the activity really happen in some real-life situations? Is the activity constructed to encourage the student to make sense of the situation with their own personal knowledge and experience? Is the activity such that it recognizes the ideas of the students, or are they compelled to accept the notions of the teacher as the unique and correct way to approach the situation?
- (2)
- The model construction principle. The activity should create the need for students to develop their own mathematical constructs, which should also be meaningful. It is related to the following questions: Does the activity ensure that students recognise the requirements of model construction, modification, extension, or refinement? Does the activity involve the construction, description, explanation, manipulation, prediction, or control of a system? Does it pay attention to patterns and regularity constructions rather than skin-deep information?
- (3)
- The self-evaluation principle. The situation must be such that it allows the students to evaluate their progress in the development of the activities and the interpretation of the models. The prototypical questions used to test this principle are as follows: Is the activity clear in the sense that the criteria for assessing the usefulness of alternative responses and tasks are known and clear to students? Are some parameters considered in the activities used to direct the students to judge for themselves when their responses are good enough? What are the objectives and purposes of the results?
- (4)
- The model documentation principle. This is also called the “model-externalisation principle” or the “model abstraction documentation principle”. It is related to the characteristics of activities, where the context must be such that the students express their thoughts and opinions while they develop the tasks. The activity should allow the students to leave documented records of their development. It can be validated by the following question: Is the activity constructed to require that the responses of students give explicit declarations of their thinking about the situation (given goals, possible solution paths) and which kind of knowledge (mathematical objects, relations, operations, patterns, and regularities) is used in their reports?
- (5)
- The simple prototype principle. The selected situation for the activity must be simple to meet the needs of the students’ current knowledge. The questions that address this principle are the following: Is the activity formulated in terms of a set of tasks that are as simple as possible? Does it promote the need for a significant model? Is the solution a prototype for a variety of similar situations? Is the activity capable of producing an experience that will help others make sense of similar situations?
- (6)
- The model generalisation principle. The activity should be designed with the aim of generating awareness that it is possible to generalize the model obtained or used in the activity. The questions used to test this principle are the following: Are the conceptual tools valid only for the particular situation or for a more general situation? Does the activity represent a challenge to produce improved models?
3. Teaching and Learning of Ordinary Differential Equations
4. Methodology
4.1. Setting
4.2. Participants
4.3. Procedures for Data Collection
4.4. The Mathematical Modelling Activity
4.4.1. Lecture: The Free Fall Problem
- (S1)
- The object moves without resistance, and the deceleration effect due to friction is discarded; that is, it is considered as if the body were falling in a vacuum.
- (G1)
- If an object moves at constant speed (without acceleration), the distance is proportional to the time, and the constant of proportionality is the speed.
- (G2)
- In uniformly accelerated motion, velocity is proportional to time, and the constant of proportionality is acceleration.
- (G3)
- In uniformly accelerated motion, distance is proportional to time squared, and the constant of proportionality is half the acceleration.
- (N1)
- Every body perseveres in its state of rest or uniform and rectilinear movement unless it is forced to change its state by external forces acting on it.
- (N2)
- The change in motion is directly proportional to the external driving force and occurs according to the straight line along which that external force moves.
- (N3)
- For every action, an equal and opposite reaction always occurs, which means that the mutual actions of two bodies are always equal and directed in the opposite direction.
4.4.2. Activities for the Students
- (I)
- Observe the relation (12) and give a justified answer to the following questions:
- (a)
- What is the physical meaning of m? What kind of mathematical object (number or scalar, vector, matrix, function, or operator) is m? Is this quantity a given data point or an unknown for the problem?
- (b)
- Answer the same questions given in item (a) for b.
- (c)
- Answer the same questions given in item (a) for g.
- (d)
- Answer the same questions given in item (a) for v.
- (II)
- In the absence of the force of air resistance, we have or, equivalently, , according to (7). In this case, from (12)–(13), the Newton-type solution to Problem 1 is given byGive a justified answer to the following questions:
- (a)
- (b)
- (c)
- From (a) and (b), deduce how Galileo’s and Newton’s solutions to Problem 1 are related in the case of the absence of air resistance.
- (III)
- It is convenient to note that Galileo gave explicit formulas for v and e. On the other hand, the solutions offered by Newton in (12) and (13) require a procedure to deduce the values of v and e. In general terms, it can be said that, to obtain Newton’s solution to Problem 1, it is necessary to “find” both v and e by some procedure. Taking into account that you have to “find” some unknown quantities and that the derivatives of these unknown expressions also participate, answer each of the following questions with justification:
- (a)
- (b)
4.4.3. Remarks of MEA Principles Used in the Lecture
5. Analysis of the Data and Interpretation
6. Discussion
7. Conclusions
Author Contributions
Funding
Institutional Review Board Statement
Informed Consent Statement
Data Availability Statement
Acknowledgments
Conflicts of Interest
Appendix A. Production of Students for Activities Given on Section 4.4.2
| Item | Group | Production | Translation |
|---|---|---|---|
| I (a) | 1 | ![]() | a) The physical meaning of m is mass. The mathematical object is a number. It is data for the problem. |
| 2 | ![]() | (a) m = mass. It is a number or scalar. It is a datum. | |
| 3 | ![]() | mass, number or scalar, datum. | |
| I (b) | 1 | ![]() | b) b is a constant of proportionality, is a number, is a datum for the problem. |
| 2 | ![]() | (b) n = is a constant of proportionality, number or scalar. | |
| 3 | ![]() | constant of proportionality, number or scalar, datum | |
| I (c) | 1 | ![]() | c) g is the acceleration of the gravity, is a number, is a datum for the problem. |
| 2 | ![]() | (c) g = the acceleration of the gravity. It is a number or scalar. It is a datum. | |
| 3 | ![]() | acceleration of the gravity, vector, datum. | |
| I (d) | 1 | ![]() | d) v is the the velocity, is a function, is an unknown for the problem |
| 2 | ![]() | (d) v = velocity is an unknown for the problem, is a vector. | |
| 3 | ![]() | velocity, function or vector, unknown. |
| Item | Group | Production | Translation |
|---|---|---|---|
| II (a) | 1 | ![]() | |
| 2 | ![]() | (a) We have the equations… using the fact that , we have that where or v is equal to * we have that the derivative of 0 with respect to t is 0. Then: if b is equal to 0. * we have that the derivative of 0 with respect to t is 0. We conclude that … . | |
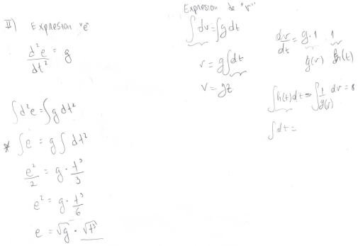
| 3 | ![]() | Expression for “e” … Expression for “v” |
| Item | Group | Production | Translation |
|---|---|---|---|
| II (b) | 1 | ![]() | |
| 2 | (b) From …,
we apply the derivative … …obtaining … …we calculate the second derivative … …we observe that, when we derivative …we obtain … | ||
| 3 | |||
| II (c) | 1 | ||
| 2 | |||
| 3 | ![]() | Both solutions are equal, this means that under the absence of air force both solutions are equal. |
| Item | Group | Production | Transalation |
|---|---|---|---|
| III (a) | 1 | ![]() | a) unknown derivative equation, because we do not know the derivative of the values we want to find |
| 2 | |||
| 3 | ![]() | (a) differential equation, since it is an equation that is constituted by differentials of a function and constant values | |
| III (b) | 1 | ||
| 2 | ![]() | (b) play the role of vectors. | |
| 3 | ![]() | (b) are the differentials of the equations. |
References
- Arslan, S. Traditional instruction of differential equations and conceptual learning. Teach. Math. Appl. 2010, 29, 94–107. [Google Scholar] [CrossRef]
- Alves de Oliveira, E.; Camargo, S.B. Ensino e aprendizagem de equações diferenciais: Um levantamento preliminar da produção científica. Teia-Rev. Educ. Mat. Tecnol. Iberoam. 2013, 4, 1–24. [Google Scholar]
- Barros, A.A.; Laudares, J.B.; de Miranda, D.F. A resolução de problemas em ciências com equações diferenciais ordinárias de 1a e 2a ordem usando análise gráfica. Educ. Mat. Pesqui. 2014, 16, 323–348. [Google Scholar]
- Arslan, S. Do students really understand what an ordinary differential equation is? Int. J. Math. Educ. Sci. Technol. 2010, 41, 873–888. [Google Scholar] [CrossRef]
- Artigue, M.; Gautheron, V. Systemes Differentiels: Etude Graphique; Editions Cedic: Paris, France, 1983. [Google Scholar]
- Blanchard, P. Teaching differential equations with a dynamical systems viewpoint. Coll. Math. J. 1994, 25, 385–393. [Google Scholar] [CrossRef]
- Boyce, W.E. New Directions in Elementary Differential Equations. Coll. Math. J. 1994, 25, 364–371. [Google Scholar] [CrossRef]
- Habre, S. Investigating students’ approval of a geometrical approach to differential equations and their solutions. Int. J. Math. Educ. Sci. Technol. 2003, 34, 651–662. [Google Scholar] [CrossRef]
- Hernández, A. Obstáculos en la Articulación de los Marcos Numérico, Gráfico y Algebraico en Relación con las Ecuaciones Diferenciales Ordinarias. Ph.D. Thesis, Cinvestav, Ciudad de México, Mexico, 1995. [Google Scholar]
- Rasmussen, C.L.; King, K.D. Locating starting points in differential equations: A realistic mathematics education approach. Int. J. Math. Educ. Sci. Technol. 2000, 31, 161–172. [Google Scholar] [CrossRef]
- Lesh, R.; Doerr, H. Beyond Constructivism: A Models and Modeling Perspective on Mathematical Problem Solving, Learning, and Teaching; Lawrence Erlbaum Associates: Mahwah, NJ, USA, 2003. [Google Scholar]
- Edelstein-Keshet, L. Mathematical Models in Biology. (Classics in Applied Mathematics, 46); Society for Industrial and Applied Mathematics (SIAM): Philadelphia, PA, USA, 2005. [Google Scholar]
- Segel, L.A.; Edelstein-Keshet, L. A Primer on Mathematical Models in Biology; Society for Industrial and Applied Mathematics (SIAM): Philadelphia, PA, USA, 2013. [Google Scholar]
- Dhaoui, I.; Van Bortel, W.; Arsevska, E.; Hautefeuille, C.; Tablado Alonso, S.; Kleef, E.V. Mathematical modelling of COVID-19: A systematic review and quality assessment in the early epidemic response phase. Int. J. Infect. Dis. 2022, 116, S110. [Google Scholar] [CrossRef]
- Meehan, M.T.; Diana, P.; Rojas, D.P.; Adekunle, A.I.; Adegboye, O.A.; Caldwell, J.M.; Turek, E.; Williams, B.M.; Marais, B.J.; Trauer, J.M.; et al. Modelling insights into the COVID-19 pandemic. Paediatr. Respir. Rev. 2020, 35, 64–69. [Google Scholar] [CrossRef]
- Crokidakis, N. Modeling the early evolution of the COVID-19 in Brazil: Results from a Susceptible-Infected-Quarantined-Recovered (SIQR) model. Int. J. Modern Phys. C 2020, 31, 2050135. [Google Scholar] [CrossRef]
- Biswas, H.A.; Hossain, R.H.; Mondal, M.K. Mathematical Modeling Applied to Sustainable Management of Marine Resources. Procedia Eng. 2017, 194, 337–344. [Google Scholar] [CrossRef]
- Jyotsna, K.; Tandon, A. A nonlinear mathematical model investigating the sustainability of an urban system in the presence of haphazard urban development and excessive pollution. Nat. Resour. Model. 2018, 31, e12163. [Google Scholar] [CrossRef]
- Alabugin, A.; Osintsev, K.; Aliukov, S.; Almetova, Z.; Bolkov, Y. Mathematical foundations for modeling a zero-carbon electric power system in terms of sustainability. Mathematics 2023, 11, 2180. [Google Scholar] [CrossRef]
- Shodikin, A.; Istiandaru, A.; Purwanto, S.; Sudirman. Thinking errors of pre-service mathematics teachers in solving mathematical modelling task. J. Phys. Conf. Ser. 2019, 1188, 012004. [Google Scholar] [CrossRef]
- Anhalt, C.O.; Cortez, R. Developing Understanding of Mathematical Modeling in Secondary Teacher Preparation. J. Math. Teach. Educ. 2015, 19, 523. [Google Scholar] [CrossRef]
- English, L.D. Mathematical Modeling in the Primary School: Children’s Construction of a Consumer Guide Educ. Stud. Math. 2006, 63, 303. [Google Scholar] [CrossRef]
- Hernández, M.L.; Levy, R.; Felton-Koestler, M.D.; Zbiek, R.M. Mathematical Modeling in the High School Curriculum. Math. Teach. 2016, 110, 336. [Google Scholar] [CrossRef]
- Borromeo, R. Theoretical and empirical differentiations of phases in the modelling process. ZDM Zentralblatt Didakt. Math. 2006, 38, 86–95. [Google Scholar]
- Greefrath, G.; Vorhölter, K. Teaching and learning mathematical modelling: Approaches and developments from German speaking countries. In Teaching and Learning Mathematical Modelling (ICME-13 Topical Surveys); Kaiser, G., Ed.; Springer: Cham, Switzerland, 2016. [Google Scholar]
- Perrenet, J.; Zwaneveld, B. The many faces of the mathematical modeling cycle. J. Math. Model. Appl. 2012, 1, 3–21. [Google Scholar]
- Stohlmann, M.; De Vaul, L.; Allen, C.; Adkins, A.; Ito, T.; Lockett, D.; Wong, N. What is known about secondary grades mathematical modelling—A Review. J. Math. Res. 2016, 8, 12–28. [Google Scholar] [CrossRef]
- Kaiser, G.; Blomhøj, M.; Sriraman, B. Towards a didactical theory for mathematical modelling. ZDM. Zentralblatt Didakt. Math. 2006, 38, 82–85. [Google Scholar] [CrossRef]
- Galbraigth, P. Models of Modelling: Genres, Purposes or Perspectives. J. Math. Model. Appl. 2012, 1, 3–16. [Google Scholar]
- Leung, F.; Stillman, G.; Kaiser, G.; Won, K. (Eds.) Mathematical modelling education in east and west. In International Perspectives on the Teaching and Learning of Mathematical Modelling; Springer: Dordrecht, The Netherlands, 2021. [Google Scholar]
- Stillman, G.; Blum, W.; Kaiser, G. (Eds.) Mathematical Modelling and Applications. In ICTMA 17, International Perspectives on the Teaching and Learning of Mathematical Modelling; Springer: Dordrecht, The Netherlands, 2017. [Google Scholar]
- Czocher, J.A. Introducing modeling transition diagrams as a tool to connect mathematical modeling to mathematical thinking. Math. Think. Learn. 2016, 18, 77–106. [Google Scholar] [CrossRef]
- Czocher, J.A. How can emphasizing mathematical modeling principles benefit students in a traditionally taught differential equations course? J. Math. Behav. 2017, 45, 78–94. [Google Scholar] [CrossRef]
- Lozada, E.; Guerrero-Ortiz, C.; Coronel, A.; Medina, R. Classroom methodologies for teaching and learning ordinary differential equations: A systemic literature review and bibliometric analysis. Mathematics 2021, 9, 745. [Google Scholar] [CrossRef]
- Almeida, L.M.; Kato, L.A. Different approaches to mathematical modelling: Deduction of models and studens’ actions. Int. Electron. J. Math. Educ. 2014, 9, 3–11. [Google Scholar] [CrossRef]
- Borssoi, A.H.; de Almeida, L.M.W. Modelagem matemática e aprendizagem significativa: Uma proposta para o estudo de equações diferencias ordinárias. Educ. Mat. Pesqui. 2004, 6, 91–121. [Google Scholar]
- de Almeida, L.M.W. Considerations on the use of mathematics in modeling activities. ZDM Math. Educ. 2018, 50, 19–30. [Google Scholar] [CrossRef]
- Flegg, J.A.; Mallet, D.G.; Lupton, M. Students’ approaches to learning a new mathematical model. Teach. Math. Appl. 2013, 32, 28–37. [Google Scholar] [CrossRef]
- Klymchuk, S.; Zverkova, T.; Gruenwald, N.; Sauerbier, G. Increasing engineering students’ awareness to environment through innovative teaching of mathematical modelling. Teach. Math. Appl. 2008, 27, 123–130. [Google Scholar] [CrossRef]
- Gruenwald, N.; Sauerbier, G.; Narayanan, A.; Klymchuk, S.; Zverkova, T. Applications in unusual contexts in engineering mathematics: Students’ attitudes. Math. Teach. Res. J. Online 2010, 4, 53–67. [Google Scholar]
- Laudares, B.J.; de Miranda, D.F. Investigando a iniciação à modelagem matemática nas ciências com equações diferenciais. Educ. Mat. Pesqui. 2007, 9, 103–120. [Google Scholar]
- Molina-Mora, J.A. Mathematical modeling as a didactic strategy for calculus teaching. Uniciencia 2017, 31, 19–36. [Google Scholar] [CrossRef][Green Version]
- Rodríguez, R. Teaching and learning modelling: The case of differential equations. Rev. Latinoam. Investig. Mat. Educ. 2010, 13, 191–210. [Google Scholar]
- Liberatti, S.; da Silva, D. Mathematical modeling and analysis of mathematical models in mathematics education. Acta Sci. 2012, 14, 260–275. [Google Scholar]
- Trigueros, M. Vínculo entre la modelación y el uso de representaciones en la comprensión de los conceptos de ecuación diferencial de primer orden y de solución. Educ. Mat. 2014, 25, 207–226. [Google Scholar]
- Zang, C.M.; Fernández, G.A.; León, M.N. Reflexiones sobre la implementación de problemas de modelado para la construcción y resignificación de objetos matemáticos vinculados a las ecuaciones diferenciales. UNION Rev. Iberoam. Educ. Mat. 2015, 42, 150–165. [Google Scholar]
- Alvim, B.N.P.; de Almeida, L.M.W. Linguistic appropriation and meaning in mathematical modeling activities. BOLEMA Bol. Educ. Mat. 2019, 33, 1195–1214. [Google Scholar]
- Guerrero-Ortiz, C.; Mejía-Velasco, H.R.; Camacho-Machín, M. Representations of a mathematical model as a means of analysing growth phenomena. J. Math. Behav. 2016, 42, 109–126. [Google Scholar] [CrossRef]
- Camacho-Machín, M.; Guerrero-Ortiz, C. Identifying and exploring relationships between contextual situations and ordinary differential equations. Int. J. Math. Educ. Sci. Technol. 2015, 46, 177–195. [Google Scholar] [CrossRef]
- Chaachoua, H.; Saglam, A. Modelling by differential equations. Teach. Math. Appl. 2006, 25, 15–22. [Google Scholar] [CrossRef]
- Melendez, B.; Bowman, S.; Erickson, K.; Swim, E. An integrative learning experience within a mathematics curriculum. Teach. Math. Appl. 2009, 28, 131–144. [Google Scholar] [CrossRef]
- András, S.; Szilágyi, J. Modelling drug administration regimes for asthma: A romanian experience. Teach. Math. Appl. 2010, 29, 1–13. [Google Scholar] [CrossRef]
- Ribaric, S.; Kordas, M. Teaching cardiovascular physiology with equivalent electronic circuits in a practically oriented teaching module. Adv. Physiol. Educ. 2011, 35, 149–160. [Google Scholar] [CrossRef] [PubMed]
- Robinson, G.; Jovanoski, Z. Fighter pilot ejection study as an educational tool. Teach. Math. Appl. 2010, 29, 176–192. [Google Scholar] [CrossRef]
- Rowland, D.R.; Jovanoski, Z. Student interpretations of the terms in first-order ordinary differential equations in modelling contexts. Int. J. Math. Educ. Sci. Technol. 2004, 35, 503–516. [Google Scholar] [CrossRef]
- Rowland, D.R. Student difficulties with units in differential equations in modelling contexts. Int. J. Math. Educ. Sci. Technol. 2006, 37, 553–558. [Google Scholar] [CrossRef]
- Vajravelu, K. Innovative strategies for learning and teaching of large differential equations classes. Int. Electron. J. Math. Educ. 2018, 13, 91–95. [Google Scholar] [CrossRef]
- Vega-Calderon, F.; Gallegos-Cazares, L.; Flores-Camachoc, F. Conceptual difficulties in understanding the bernoulli’s equation. Rev. Eureka Sobre Ensenanza Divulg. Las Ciencias 2017, 14, 339–352. [Google Scholar]
- de Loiola, J. Brazilian research on modelling in mathematics education. ZDM Math. Educ. 2010, 42, 337–348. [Google Scholar] [CrossRef]
- Kaiser, G.; Sriraman, B. A global survey of international perspectives on modelling in mathematics education. ZDM Zentralblatt Didakt. Math. 2006, 38, 302–310. [Google Scholar] [CrossRef]
- Barbosa, J. Modelagem matemática e os professores: A questão da formação. Bolema-Bol. Educ. Mat. 2001, 14, 5–23. [Google Scholar]
- Blomhøj, M. Mathematical modelling: A theory for practice. In International Perspectives on Learning and Teaching Mathematics; Clarke, B., Clarke, D.M., Göran, E., Bengt, J., Lester, D.V., Wallby, A., Wallby, K., Eds.; National Center for Mathematics Education, Göteborg University: Göteborg, Sweden, 2004; pp. 145–159. [Google Scholar]
- Chamberlin, S.; Payne, A.; Kettler, T. Mathematical modeling: A positive learning approach to facilitate student sense making in mathematics. Int. J. Math. Educ. Sci. Technol. 2020, 53, 858–871. [Google Scholar] [CrossRef]
- Bloom, B.S.; Engelhart, M.D.; Furst, E.J.; Hill, W.H.; Krathwohl, D.R. (Eds.) Handbook I. Cognitive Domain. In Taxonomy of Educational Objectives: The Classification of Educational Goals; Handbook I. Cognitive Domain; Longmans, Green & Co.: New York, NY, USA, 1956. [Google Scholar]
- Lozada, E. Study of Advanced Mathematical Thinking in Teaching and Learning in Two Courses of Ordinary Differential Equations with a Mathematical Moldeling Approach. Ph.D. Thesis, Universidad de los Lagos, Osorno, Chile, 2023. (In Spanish). [Google Scholar]
- Guo, W.; Li, W.; Tisdell, C.C. Pedagogy of Guiding Undergraduate Engineering Students Solving First-Order Ordinary Differential Equations. Mathematics 2021, 9, 1623. [Google Scholar] [CrossRef]
- Rolong, D.A. Understanding of Concepts Involved in Resolution Processes of a Differential Equation. Ph.D. Thesis, Universidad de Antioquia, Antioquia, Colombia, 2022. (In Spanish). [Google Scholar]
- Sijmkens, E.; Scheerlinck, N.; De Cock, M.; Deprez, J. Benefits of using context while teaching differential equations. Int. J. Math. Educ. Sci. Technol. 2022. [Google Scholar] [CrossRef]
- Campos, A. Advanced algebraic thinking processes in students’ modelling activities. Teach. Math. Appl. Int. J. IMA 2022. [Google Scholar] [CrossRef]
- Slavit, D.; LoFaro, T.; Cooper, K. Understandings of solutions to differential equations through contexts, web-based simulations, and student discussion. Sch. Sci. Math. 2002, 102, 380–390. [Google Scholar] [CrossRef]
- Camunga, A.; Batard, L.F. Developing skills for selecting the most appropriate method for the solution of superior order ordinary differential equations. Rev. Conrado 2017, 13, 82–88. [Google Scholar]
- Carr, M.; Prendergast, M.; Breen, C.; Faulkner, F. How well do engineering students retain core mathematical knowledge after a series of high threshold online mathematics tests? Teach. Math. Appl. 2017, 36, 136–150. [Google Scholar] [CrossRef]
- Dehesa de Gyves, N. Discursos en los registros algebraico y geométrico de las ecuaciones diferenciales ordinarias. Educ. Mat. 2006, 18, 123–148. [Google Scholar]
- Dullius, M.M.; Araujo, I.S.; Veit, E.A. Teaching and learning of differential equations with graphical, numerical and analytical approach: An experience in engineering courses. BOLEMA Bol. Educ. Mat. 2011, 24, 17–42. [Google Scholar]
- Hyland, D.; van Kampen, P.; Nolan, B.C. Outcomes of a service teaching module on odes for physics students. Int. J. Math. Educ. Sci. Technol. 2018, 49, 743–758. [Google Scholar] [CrossRef]
- Kamps, H.J.L.; Van Lint, J.H. A comparison of a classical calculus test with a similar multiple choice test. Educ. Stud. Math. 1975, 6, 259–271. [Google Scholar] [CrossRef]
- Tisdell, C.C. On mnemonic instruction and the shields acronym in the pedagogy of first-order differential equations. Teach. Math. Appl. 2019, 38, 74–84. [Google Scholar] [CrossRef]
- Wittmann, M.C.; Black, K.E. Mathematical actions as procedural resources: An example from the separation of variables. Phys. Rev. Spec. Top. Phys. Educ. Res. 2015, 11, 020114. [Google Scholar] [CrossRef]
- Villar, M.T.; Llinares, S. Análisis de errores en la conceptualización y simbolización de las ecuaciones diferenciales en alumnos de químicas. Educ. Mat. 1996, 8, 90–101. [Google Scholar]
- Czocher, J.A.; Tague, J.; Baker, G. Where does the calculus go? An investigation of how calculus ideas are used in later coursework. Int. J. Math. Sci. Technol. 2013, 44, 673–684. [Google Scholar] [CrossRef]
- Camacho, M.; Perdomo, J.; Santos, M. Newblock Conceptual and cognitive processes in the introduction of ordinary differential equations through problem solving. Ensenanza Cienc. Rev. Investig. Exp. Didact. 2012, 30, 9–32. [Google Scholar]
- Mallet, D.G.; McCue, S.W. Constructive development of the solutions of linear equations in introductory ordinary differential equations. Int. J. Math. Educ. Sci. Technol. 2009, 40, 587–595. [Google Scholar] [CrossRef]
- Bukova-Güzel, E. An examination of pre-service mathematics teachers’ approaches to construct and solve mathematical modelling problems. Teach. Math. Appl. 2011, 30, 19–36. [Google Scholar] [CrossRef]
- Habre, S. Improving understanding in ordinary differential equations through writing in a dynamical environment. Teach. Math. Appl. 2012, 31, 153–166. [Google Scholar] [CrossRef]
- Habre, S. Inquiry-oriented differential equations: A guided journey of learning. Teach. Math. Appl. 2019, 39, 201–212. [Google Scholar] [CrossRef]
- Habre, S. Exploring students’ strategies to solve ordinary differential equations in a reformed setting. J. Math. Behav. 2000, 18, 455–472. [Google Scholar] [CrossRef]
- KarimiFardinpour, Y.; Gooya, Z. Comparing three methods of geometrical approach in visualizing differential equations. Int. J. Res. Undergrad. Math. 2018, 4, 286–304. [Google Scholar] [CrossRef]
- Marrongelle, K. The function of graphs and gestures in algorithmatization. J. Math. Behav. 2007, 26, 211–229. [Google Scholar] [CrossRef]
- Rasmussen, C.; Blumenfeld, H. Reinventing solutions to systems of linear differential equations: A case of emergent models involving analytic expressions. J. Math. Behav. 2007, 26, 195–210. [Google Scholar] [CrossRef]
- Rasmussen, C.; Keene, K. Knowing solutions to differential equations with rate of change as a function: Waypoints in the journey. J. Math. Behav. 2019, 56, 100695. [Google Scholar] [CrossRef]
- Artigue, M. Une recherche d’ ingenierie didactique sur l’enseignement des equations differentielles en primer cycle universitarie. Irem Univ. Paris 1989, 107, 284–309. [Google Scholar]
- Dullius, M.M. Enseñanza y Aprendizaje en Ecuaciones Diferenciales con Abordaje Gráfico, Numérico y Analítico. Ph.D. Thesis, Universidad de Burgos, Burgos, Spain, 2009. [Google Scholar]
- Brito, L.; Farias, P.H.; Cardoso, J.V.; Ribeiro, R. Teaching of ordinary differential equations using the assumptions of the pbl method. Int. J. Eng. Pedagog. 2020, 10, 7–20. [Google Scholar]
- Barbarán, J.J.; Fernéz, J.A. The analysis of errors in the solution of ordinary differential equations. a methodology to develop mathematical competence. Ensen. Cienc. Rev. Investig. Exp. Didact. 2014, 32, 173–186. [Google Scholar]
- Blass, L.; Huguenim, A.F.; Irala, V.B.; da Silva, V. O estudo de equações diferenciais através da aplicação do perfil logarítmico do vento. Teia Rev. Educ. Mat. Tecnol. Iberoam 2019, 10, 1–18. [Google Scholar] [CrossRef]
- Cordero, F.; Miranda, E. El entendimiento de la transformada de laplace: Una epistemología como base de una descomposición genética. Rev. Latinoam. Investig. Mat. Educ. 2002, 5, 133–168. [Google Scholar]
- Curia, L.; Pérez, M.; Lavalle, A. Evaluation of the contents of differential equations through mathematical competences. Rev. Electron. Humanidades Educ. Comun. Soc. 2018, 26, 9–27. [Google Scholar]
- Gijsbers, D.; de Putter-Smits, L.; Pepin, B. Changing students’ beliefs about the relevance of mathematics in an advanced secondary mathematics class. Int. J. Math. Educ. Sci. Technol. 2020, 51, 87–102. [Google Scholar] [CrossRef]
- Goodchild, S.; Apkarian, N.; Rasmussen, C.; Katz, B. Critical stance within a community of inquiry in an advanced mathematics course for pre-service teachers. J. Math. Teach. Educ. 2020, 24, 231–252. [Google Scholar] [CrossRef]
- Hansen, D.; Cavers, W.; George, G.H. Use of a physical linear cascade to teach systems modelling. Int. J. Eng. Educ. 2003, 19, 682–695. [Google Scholar]
- Hyland, D.; Van Kampen, P.; Nolan, B.C. Introducing direction fields to students learning ordinary differential equations (odes) through guided inquiry. Int. J. Math. Educ. Sci. Technol. 2019, 52, 331–348. [Google Scholar] [CrossRef]
- Ju, M.-K.; Kwon, O.N. Ways of talking and ways of positioning: Students’ beliefs in an inquiry-oriented differential equations class. J. Math. Behav. 2007, 26, 267–280. [Google Scholar] [CrossRef]
- Kaw, A.K.; Yalcin, A. Problem-centered approach in a numerical methods course. J. Prof. Issues Eng. Pract. 2008, 134, 359–364. [Google Scholar] [CrossRef]
- Keene, K.A. A characterization of dynamic reasoning: Reasoning with time as parameter. J. Math. Behav. 2007, 26, 230–246. [Google Scholar] [CrossRef]
- Keene, K.A.; Rasmussen, C.; Stephan, M. Gestures and a chain of signification: The case of equilibrium solutions. Math. Educ. Res. J. 2012, 24, 347–369. [Google Scholar] [CrossRef]
- Kwon, O.N.; Rasmussen, C.; Allen, K. Students’ retention of mathematical knowledge and skills in differential equations. Sch. Sci. Math. 2005, 105, 227–239. [Google Scholar] [CrossRef]
- Rasmussen, C.L. New directions in differential equations: A framework for interpreting students’ understandings and difficulties. J. Math. Behav. 2001, 20, 55–87. [Google Scholar] [CrossRef]
- Rasmussen, C.; Stephan, M.; Allen, K. Classroom mathematical practices and gesturing. J. Math. Behav. 2004, 23, 301–323. [Google Scholar] [CrossRef]
- Rasmussen, C.; Zandieh, M.; King, K.; Tepo, A. Advancing mathematical activity: A practice-oriented view of advanced mathematical thinking. Math. Think. Learn. 2005, 7, 51–73. [Google Scholar] [CrossRef]
- Rasmussen, C.; Marrongelle, K. Pedagogical content tools: Integrating student reasoning and mathematics in instruction. J. Res. Math. Educ. 2006, 37, 388–420. [Google Scholar]
- Rasmussen, C.; Kwon, O.N. An inquiry-oriented approach to undergraduate mathematics. J. Math. Behav. 2007, 26, 189–194. [Google Scholar] [CrossRef]
- Raychaudhuri, D. A layer framework to investigate student understanding and application of the existence and uniqueness theorems of differential equations. Int. J. Math. Educ. Sci. Technol. 2007, 38, 367–381. [Google Scholar] [CrossRef]
- Raychaudhuri, D. Dynamics of a definition: A framework to analyse student construction of the concept of solution to a differential equation. Int. J. Math. Educ. Sci. Technol. 2008, 39, 161–177. [Google Scholar] [CrossRef]
- Raychaudhuri, D. Adaptation and extension of the framework of reducing abstraction in the case of differential equations. Int. J. Math. Educ. Sci. Technol. 2013, 45, 35–57. [Google Scholar] [CrossRef]
- Raychaudhuri, D. A framework to categorize students as learners based on their cognitive practices while learning differential equations and related concepts. Int. J. Math. Educ. Sci. Technol. 2013, 44, 139–1256. [Google Scholar] [CrossRef]
- Sabag, N. The effect of integrating lab experiments in electronic circuits into mathematic studies—A case study. Res. Sci. Technol. Educ. 2017, 35, 427–444. [Google Scholar] [CrossRef]
- Speer, N.M.; Wagner, J.F. Knowledge needed by a teacher to provide analytic scaffolding during undergraduate mathematics classroom discussions. J. Res. Math. Educ. 2009, 40, 530–562. [Google Scholar] [CrossRef]
- Stephan, M.; Rasmussen, C. Classroom mathematical practices in differential equations. J. Math. Behav. 2002, 21, 459–490. [Google Scholar] [CrossRef]
- Wittmann, M.C.; Flood, V.J.; Black, K.E. Algebraic manipulation as motion within a landscape. Educ. Stud. Math. 2013, 82, 169–181. [Google Scholar] [CrossRef]
- Andresen, M. Modeling with the software ’derive’ to support a constructivist approach to teaching. Int. Electron. J. Math. Educ. 2007, 2, 1–15. [Google Scholar] [CrossRef]
- Canu, M.; de Hosson, C.; Duque, M. Students’ understanding of equilibrium and stability: The case of dynamic systems. Int. J. Sci. Math. Educ. 2016, 14, 101–123. [Google Scholar] [CrossRef][Green Version]
- Guerrero-Ortiz, C.; Camacho-Machín, M.; Mejía-Velasco, H.R. Difficulties experienced by students in the interpretation of the solutions of ordinary differential equations that models a problem. Ensen. Cienc. Rev. Investig. Exp. Didact. 2010, 28, 341–352. [Google Scholar]
- Heck, A. Bringing reality into the classroom. Teach. Math. Appl. 2009, 28, 164–179. [Google Scholar] [CrossRef]
- Humble, S. Rolling and spinning coin: A level gyroscopic processional motion. Teach. Math. Appl. 2001, 20, 18–24. [Google Scholar] [CrossRef]
- Molina-Mora, J.-A. ICT-projects-modeling based experience for teaching of systems of differential equations. Uniciencia 2015, 29, 46–61. [Google Scholar]
- Rodríguez-Gallegos, R.; Quiroz-Rivera, S. The role of technology in the process of mathematical modeling for teaching differential equations. Rev. Latinoam. Investig. Mat. Educ. 2016, 19, 99–124. [Google Scholar]
- Vinner, S. A different test and different result analysis—An example from a calculus exam. J. Math. Didakt. 1994, 15, 311–326. [Google Scholar] [CrossRef]
- Molina, J.A. Experience in the incorporation of ict in teaching differential equations applied. Rev. Iberoam. Educ. 2015, 69, 79–96. [Google Scholar]
- Blomhøj, M.; Kjeldsen, T.H. Project organised science studies at university level: Exemplarity and interdisciplinarity. ZDM Math. Educ. 2009, 41, 183–198. [Google Scholar] [CrossRef]
- Blomhøj, M.; Kjeldsen, T.H. Teaching mathematical modelling through project work. ZDM Math. Educ. 2006, 38, 163–177. [Google Scholar] [CrossRef]
- Latulippe, C.; Latulippe, J. Student perceptions of writing projects in a university differential-equations course. Int. J. Math. Educ. Sci. Technol. 2013, 45, 1–11. [Google Scholar] [CrossRef]
| Learning Objectives | Code |
|---|---|
| To identify the physical meaning of the coefficients of a first-order ordinary differential equation originating from a concrete problem. | O1.T1-L1 |
| To confirm the mathematical meaning of the coefficients of a first-order ordinary differential equation originating from a concrete problem. | O2.T1-L1 |
| To detect the parameters or data in an ordinary differential equation. | O3.T1-L1. |
| To determine the unknowns of an ordinary differential equation. | O4.T1-L1 |
| To construct the solution to an ordinary differential equation
by applying integration. | O5.T1-L1 |
| To verify if a given function is a solution to an ordinary differential equation by using differentiation. | O6.T1-L1 |
| To compare the solutions to different mathematical models for the same real situation. | O7.T1-L1 |
| To formulate the notion of an ordinary differential equation. | O8.T1-L1 |
| To specify the notion of the solution to an ordinary differential equation. | O9.T1-L1 |
| LO Code | Item | Gr | Translations of the Sentences Produced by the Students |
|---|---|---|---|
| I (a) | 1 | The physical meaning of m is mass. The mathematical object is a number. It is data for the problem. | |
| 2 | m = mass. It is a number or scalar. It is a datum. | ||
| 3 | mass, number or scalar, datum. | ||
| 01.T1-L1 | I (b) | 1 | b is a constant of proportionality, it is a number, it is a datum for the problem. |
| 02.T1-L1 | 2 | n = is a constant of proportionality, number, or scalar. | |
| 03.T1-L1 | 3 | constant of proportionality, number or scalar, datum | |
| I (c) | 1 | g is the acceleration of the gravity, it is a number, it is a datum for the problem. | |
| 2 | g = the acceleration of the gravity. It is a number or scalar. It is a datum. | ||
| 3 | acceleration of the gravity, vector, datum. | ||
| 04.T1-L1 | I (d) | 1 | v is the the velocity, it is a function, it is an unknown for the problem |
| 2 | v = velocity is an unknown for the problem, it is a vector. | ||
| 3 | velocity, function or vector, unknown. | ||
| 05.T1-L1 | II (a) | 1 | The group failed to determine e and find the relation for v * |
| 2 | The group failed to determine both e and v * | ||
| 3 | The group found the expressions and * | ||
| 06.T1-L1 | II (b) | 1 | They checked that satisfies and failed to check that satisfies * |
| 2 | They checked that and are solutions to and , respectively * | ||
| 3 | They checked that satisfies and failed to check that satisfies * | ||
| 07.T1-L1 | II (c) | 1 | Empty * |
| 2 | Empty * | ||
| 3 | Both solutions are equal, which means that under the absence of air force, both solutions are equal. | ||
| 08.T1-L1 | III (a) | 1 | unknown derivative equation, because we do not know the derivatives of the values that we want to find |
| 2 | Empty * | ||
| 3 | differential equation, since it is an equation that is constituted by differentials of a function and constant values | ||
| 09.T1-L1 | III (b) | 1 | Empty * |
| 2 | play the roles of vectors. | ||
| 3 | …are the differentials of the equations. |
Disclaimer/Publisher’s Note: The statements, opinions and data contained in all publications are solely those of the individual author(s) and contributor(s) and not of MDPI and/or the editor(s). MDPI and/or the editor(s) disclaim responsibility for any injury to people or property resulting from any ideas, methods, instructions or products referred to in the content. |
© 2023 by the authors. Licensee MDPI, Basel, Switzerland. This article is an open access article distributed under the terms and conditions of the Creative Commons Attribution (CC BY) license (https://creativecommons.org/licenses/by/4.0/).
Share and Cite
Lozada, E.; Guerrero-Ortiz, C.; Coronel, A.; Medina, R. Proposal of a Mathematical Modelling Activity to Facilitate Students’ Learning of Ordinary Differential Equation Concepts. Sustainability 2023, 15, 12483. https://doi.org/10.3390/su151612483
Lozada E, Guerrero-Ortiz C, Coronel A, Medina R. Proposal of a Mathematical Modelling Activity to Facilitate Students’ Learning of Ordinary Differential Equation Concepts. Sustainability. 2023; 15(16):12483. https://doi.org/10.3390/su151612483
Chicago/Turabian StyleLozada, Esperanza, Carolina Guerrero-Ortiz, Aníbal Coronel, and Rigoberto Medina. 2023. "Proposal of a Mathematical Modelling Activity to Facilitate Students’ Learning of Ordinary Differential Equation Concepts" Sustainability 15, no. 16: 12483. https://doi.org/10.3390/su151612483
APA StyleLozada, E., Guerrero-Ortiz, C., Coronel, A., & Medina, R. (2023). Proposal of a Mathematical Modelling Activity to Facilitate Students’ Learning of Ordinary Differential Equation Concepts. Sustainability, 15(16), 12483. https://doi.org/10.3390/su151612483






















