Next Article in Journal
Global Supply Chain Nervousness (GSCN)
Previous Article in Journal
Loose Belt Fault Detection and Virtual Flow Meter Development Using Identified Data-driven Energy Model for Fan Systems
 
 
Font Type:
Arial Georgia Verdana
Font Size:
Aa Aa Aa
Line Spacing:
Column Width:
Background:
Article

Analysis of Water and Salt Spatio-Temporal Distribution along Irrigation Canals in Ningxia Yellow River Irrigation Area, China

1
School of Civil Engineering, North Minzu University, Yinchuan 750021, China
2
School of Mathematics and Information Science, North Minzu University, Yinchuan 750021, China
3
School of Civil and Hydraulic Engineering, Ningxia University, Yinchuan 750021, China
*
Author to whom correspondence should be addressed.
Sustainability 2023, 15(16), 12114; https://doi.org/10.3390/su151612114
Submission received: 7 June 2023 / Revised: 24 July 2023 / Accepted: 28 July 2023 / Published: 8 August 2023

Abstract

:
The large amount of salinized soil in the Yellow River irrigation area is a threat to the sustainable development of agriculture, and in order to efficiently control the soil salinization trend, it is necessary to research water and salt variations and the distribution of soil in the area. In this study, soil salinization along two typical canals (West Main Canal and Tanglai Canal) in the Ningxia Yellow River irrigation area in China is investigated using data regarding water content, salt ions and pH from soil samples collected at 165 points along these canals. At each of these points, soil samples from various layers were collected for measurement from August 2019 to December 2020. Various methods, such as Pearson’s correlation analysis and Kriging interpolation, were employed to obtain the temporal and spatial distributions of water content, pH value and salt ions from the soil samples. It was found that the mean total salt value is 2.75 g/kg, which indicates that the soil in the study area is moderately salinized soil. The average value of soil pH is 8.5, indicating that the soil in this area is alkaline. Furthermore, it is evident that the coefficient of variation for certain soil ions, including HCO3, Cl, Ca2+, Na+ and K+, is greater than one, which indicates that their spatial distribution in the study area is severely uneven. Moreover, the soil salt content in the study area gradually increases from the southwest to the northeast, in the flow direction of the West Main Canal and the Tanglai Canal. The water content distribution along the two canals also exhibits notable non-uniformity, displaying a pattern higher in the north and east and less in the south and west. Moreover, the annual distribution of total salt content in the surface layer demonstrates an initial increase followed by a decrease, with the peak value typically occurring in August or September. The research results have an important significance on agriculture in the Ningxia Yellow River irrigation area.

1. Introduction

Soil salinization seriously influences agricultural production and food security and can decrease crop productivity yields by 18–40% [1,2,3]. As global warming and rising sea levels continue, the issue of soil salinization is becoming increasingly prominent [4,5]. According to statistics, the total area of salinized soil in China is approximately 9.87 × 107 hm2 [6], in which 1.48 × 105 hm2 are located in the Ningxia Yellow River irrigation area [7]. The consequences of soil salinization are far-reaching, impacting both the quality and quantity of land. It hampers vegetation growth, reduces crop yields and severely restricts the development of local agriculture. Addressing this problem is crucial for ensuring sustainable agricultural practices and maintaining regional food production [8]. Otherwise, salinization will affect the ecosystem balance by destroying the water and salt balance. To solve this problem, it is very important to investigate the temporal and spatial distributions of water content and salt content in salinized soil.
In recent years, many statistical methods have been applied in the field of soil salinization, such as principal component analysis, geostatistics analysis and Pearson’s correlation analysis [9,10]. Bai et al. [11] employed methods of classical statistics analysis and geostatistics analysis when studying soil salt variation. Wu et al. [12] applied Pearson’s correlation analysis and a principal component analysis when investigating pH values and eight salt ion types along the West Main Canal in the Ningxia Hui Autonomous Region of China, and they visualized the spatial distribution of soil salt using ArcGIS software.
The Kriging method, based on covariance function, is a regression algorithm used for the spatial modeling and prediction (interpolation) of random processes or fields. It provides the best linear unbiased predictions (BLUP), also known as spatially best unbiased estimators (spatial BLUP) in geostatistics. This method not only generates predicted results but also predicts computational error, which helps evaluate the uncertainty of the predictions [13]. There are various types of Kriging methods, such as ordinary Kriging, simple Kriging, universal Kriging, indicative Kriging, etc. [14]. Li et al. [15] employed the indicative Kriging method to analyze the probability distribution diagram of soil surface salinity, groundwater depth and groundwater salinity under different threshold conditions before the spring irrigation period and during the growth period. They determined the critical values of groundwater depth and soil salinization control during different periods.
The analytic hierarchy process (AHP), a decision-making method, decomposes decision-related elements into levels such as goals, criteria and plans and conducts qualitative and quantitative analyses. Xu et al. [16] utilized the extended AHP to determine the weight of each index factor and quantitatively analyzed the spatial and temporal differentiation characteristics of water and salt in the study area using ArcGIS software.
Apart from the above methods, some other methods or mathematical models have been applied in soil water and salt analysis, such as the ecohydrological model and the geographic weighted regression model. Yin et al. [17] used an ecohydrological method to assess the interplay between soil salinization and groundwater degradation and its impact on the coexistence of oasis–desert ecosystems in northwestern China from 1995 to 2020. They observed a significant temporal–spatial relationship between soil salinization and groundwater degradation, exacerbating a regional water–salt imbalance. Zhang et al. [18] predicted the risk of salinization in the Yinchuan Plain using a geographic weighted regression model, revealing significant spatial variation in soil salinization. They identified evaporation as the primary driver of soil salinization in arid and semi-arid areas [19,20].
The Ningxia Yellow River irrigation area plays an important role in national food production and security, but serious soil salinization can be found in the area. The further expansion of soil salinization aggravates food security issues. The soil salinization in the area has strong temporal and spatial variabilities, which are influenced by many factors such as topography, climate, hydrological conditions, etc. Though some references can be found that study soil salinity in this area, very few research results can be found for water and salt distribution along irrigation canals, especially along the irrigation canals in Ningxia, China.
In this study, based on field-measured data regarding the water and salt content of soil, ArcGIS technology and a correlation analysis method are employed to investigate the temporal and spatial distributions of soil and salt content in the flow direction of the West Main Canal and the Tanglai Canal in Ningxia of China. The research results can provide a theoretical basis for rational soil salinization control and the sustainable utilization of land resources.

2. Methodology

2.1. The Study Area

In this study, we choose two typical irrigation canals in the Ningxia Yellow River irrigation area and set up fixed points along the canals for soil sampling to investigate the temporal and spatial distributions of water content, pH value, soil salt content and salt ions. The first canal is the West Main Canal, which is used to divert water from the Hexi General Main Canal. It passes through several cities including Qingtongxia, Yongning, Yinchuan, Helan and Pingluo, and the total length of its main canal is 112.7 km. The second canal is the Tanglai Canal, which is used to divert water from the Qingtongxia Reservoir. It also passes though several cities including Qingtongxia, Yongning, Yinchuan, Helan and Pingluo, and the total length of the main canal is 322 km. The study area has characteristics of a long cold winter, a short heat summer, a fast warm spring and an early autumn. The mean temperature of spring, summer, autumn and winter in the study area in 2020 was 6.7 °C, 21.6 °C, 9.8 °C and 1.8 °C, respectively. The climate of the study area is less precipitation, sufficient sunshine, strong evaporation, more wind and sand. The seasonal distribution of precipitation is uneven, with 51~65% in summer, 1~2% in winter, 14~18% in spring and 20~28% in autumn. The mean annual precipitation is 176 mm, but the mean annual evaporation is more than 1755 mm [21].
The study area (105°57′~106°31′ E, 37°55′~38°52′ N) is west of Helan Mountain and east of the Mu Us Desert, and it includes several large farms along the West Main Canal and the Tanglai Canal, such as Nuanquan, Nanliang, Helanshan, Pingjipu, Huangyangtan, etc. In order to investigate the distribution of water and salt content in the study area, 165 fixed points were chosen for regular samples along the two canals. Among these sample points, nine points were in Nanliang farm, eleven points in Nuanquan farm, twenty points in Helanshan farm, seventeen points in Pingjipu farm and sixteen points in Huangyangtan farm, as shown in Figure 1.
As shown in Figure 1, about 49 points were set in the flow direction of the West Main Canal and the Tanglai Canal, and 1–5 points were set in the transverse direction, depending on to the topography condition. From the head reach of the Tanglai Canal to the Minning Town in Yongning City, the West Main Canal is very close to the Tanglai Canal (the distance between the two canals is less than 3 km), 3–5 points were set at each line transverse to the banks of the canals. However, from Minning Town to the ends of these canals, the distance between them is greater than 5 km, so the sample points were set along the canals independently. Some part of the Tanglai Canal is located in the urban area of Yinchuan City, and the land along the canal is covered with concrete, where no sample points were set.

2.2. Methodology

2.2.1. Soil Sampling and Measurement

Soil samples were collected from August 2019 to December 2020 in the study area. To explore the variation in water content, salt content and salt type along a vertical direction, at some key points, 5 layers were set from the land surface to a 1 m depth. The thickness of each layer was 20 cm, and the five layers were 0–20 cm, 20–40 cm, 40–60 cm, 60–80 cm, 80–100 cm, respectively. However, at most of the sample points, only two layers were set, i.e., 0–20 cm, 20–40 cm.
Self-sealing plastic bags were used for packing the soil samples waiting for measurement in laboratory. The soil water content was measured using the drying method, and the distribution of soil particles was measured using a laser particle size analyzer (Bettersize2000) that was produced by Dandong Better Instrument Limited Corporation in China.
To measure the soil salt ions and pH value, the collected soil samples were sent to a professional testing institution. The concentration of CO32− and HCO3 ions was determined using double indicator titration [22]; Cl and SO42− were measured with AgNO3 titration and Ethylene Diamine Tetraacetic Acid (EDTA) indirect titration, respectively [22]; Ca2+, Mg2+ were measured with atomic absorption spectroscopy [23]; K+, Na+ were measured with flame luminosity [24]; pH values were detected using pH meter [25]. The total salt content was obtained by adding the contents of the eight salt ions together.

2.2.2. Geostatistics and Kriging Interpolation Method

Geostatistics, also known as geological statistics or ground statistics, is a new branch of statistical theory. It is a statistical analysis method based on the spatial correlation and dependent geographical phenomena studied by using variation function, which conducts an optimal unbiased interpolation estimation of the sample data and simulates the correlation and variability of the spatial distribution of geographical phenomena.
As one of the main contents of geostatistics, Kriging interpolation can unbiasedly and optimally estimate regional variables in finite regions based on variant function theory and structure analysis [26]. Due to the statistical features of geostatistics, Kriging interpolation method can not only obtain predicted results, but also can predict computational error, which is beneficial to evaluate the uncertainty of prediction results. The procedure of Kriging interpolation is shown in Figure 2.
In ArcGIS software, the following three functional modules can be found: exploratory data analysis (explore data); statistical analysis wizard (geostatistical wizard), and generation data subset (create subsets).
In this study, the methods of geostatistics and Kriging interpolation were employed to analyze the spatial distribution of soil salt, water content and pH value. The analysis process mainly includes the following four steps: generating a subset of data, data analysis, surface creation and result analysis.

2.2.3. Pearson’s Linear Correlation Analysis Method

Pearson’s linear correlation analysis is commonly used to quantitatively describe the direction and closeness of the correlation between two quantitative variables and between lines. It is used to measure the linear relationship between the ranging variables. The Pearson’s correlation coefficient equals the covariance of two variables divided by the standard deviation of two variables and can be calculated using the following formula [27],
r = N i = 1 N x i y i i = 1 N x i i = 1 N y i N i = 1 N x i 2 i = 1 N x i 2 N i = 1 N y i 2 i = 1 N y i 2
where r is the Pearson’s correlation coefficient, which varies from −1 to 1. According to the value of r , the correlation between X and Y can be divided into the following categories: very strong correlation ( 0.8 < r 1 ), strong correlation ( 0.6 < r 0.8 ), moderate correlation ( 0.4 < r 0.6 ), weak correlation ( 0.2 < r 0.4 ), extremely weak correlation ( 0 < r 0.2 ), and unrelated ( r = 0 ).
For two data sets X and Y, they are: (1) positively correlated if 0 < r 1 , (2) negatively correlated if 1 r < 0 , (3) completely linear positive correlated if r = 1 , (4) completely linear negative correlated if r = 1 .

3. Results and Analysis

3.1. Spatio-Temporal Distribution of the Salt Contents

3.1.1. Salt Content Statistical Characteristics

Statistical analysis is performed on eight salt ions and the total salt of all soil samples taken from 2019 to 2020 in the study area, and statistical characteristics including mean content, median, standard deviation, skewness, kurtosis, minimum, maximum, variable coefficient and K-S test are shown in Table 1.
The mean value of total salt in the study area was 2.75 g/kg, with a maximum value of 13.21 g/kg and a minimum value of 0.44 g/kg. According to the classification standard of salinization soil in China, as shown in Table 2, most of the soil in the study area belongs to the moderate salinization type (the study area belongs to a semi-arid area or arid area). The maximum value of total salt is larger than 10 g/kg, which means that some of the soil in the study area belongs to severe or extremely severe salinization types.
It can also be seen in Table 1 that the descending order for the mean value of each salt-based anion was SO42−, HCO3, Cl and CO32−, and for the mean value of salt-based cations was Ca2+, Na+, Mg2+ and K+, because the salt-based anion was mainly SO42− and the salt-based cation was mainly Ca2+, so the main salt type was anatine.
A K-S (Kolmogorov Smirnov) test can detect whether the sample population follows a certain distribution, and it is applied to the soil ions and total salt to determine whether they obeyed a normal distribution. Generally speaking, a variable obeys normal distribution when the K-S test value is greater than 0.05. Otherwise, the variable does not obey normal distribution. From Table 1, it can be found that all the K-S test values of the soil salt ions in the study area were far less than 0.05, which indicates that they were severely non-normally distributed.
The mutation coefficient reflects the dispersion degree of a random variable. A random variable is said to be weakly mutated if the coefficient is less than 0.1; it is moderately mutated if the coefficient is greater than 0.1 but less than 1; it is strongly mutated if the coefficient exceeds 1. Soil salt and soil salt ions are random variables, and their mutation coefficient reflects the strength of spatial variation in soil salt content. It can be observed that the mutation coefficients of HCO3, Cl, Ca2+, Na+ and K+ content were all larger than 1, indicating a severe uneven spatial distribution. Conversely, the mutation coefficients of CO32−, SO42−, Mg2+ and total soil salt content fell between 0.1 and 1, indicating a moderate level of spatial variability for these ions.
The skewness reflects whether the distribution of a variable is symmetric. If the skewness is negative, the variable is negative deviation, and the data at the left of the mean value are less than that at the right. Otherwise, if the skewness is positive, the variable is positive deviation and the data at the right of the mean area are less than that at the left. If the skewness is close to zero, the distribution of the variable can be considered symmetric. The discrete degree of the data increases with the increasement of the absolute value of the skewness. From Table 1, the skewness of all soil ions and total salt was positive, indicating that they obeyed skew distribution, and the mean value was located at the right of the peak point. Among these eight ions, the skewness of HCO3, Cl and Na+ was larger than that of the others, which means that the content of these ions was more discrete.

3.1.2. Annual Variation in Total Salt

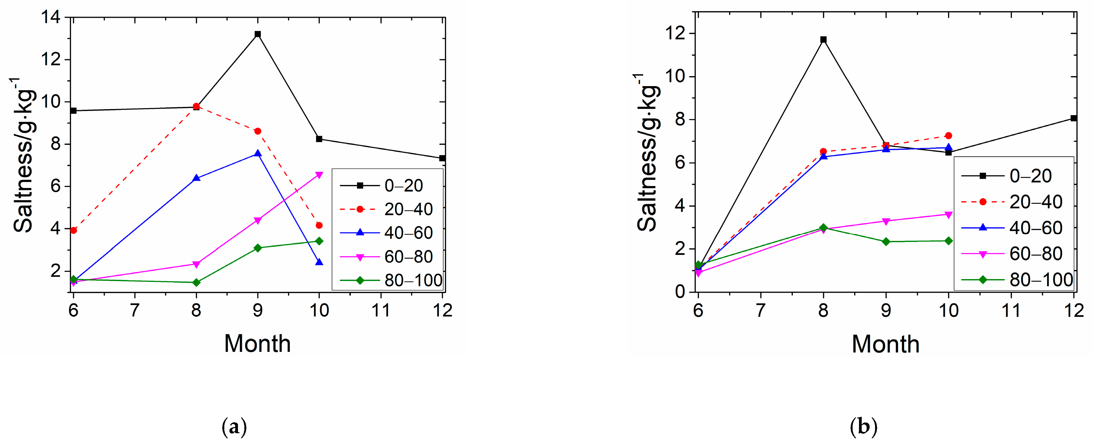
We chose two representative sample sites in Nanliang farm and Pingjipu farm which were marked as Nan 10–2 and Ping 8–1, with geographical locations of 38°65′ N, 106°20′ E and 38°44′ N, 106°07′ E, respectively. Soil samples at the two sites were taken in June, August, September, October and December 2020, and then the salt ions and the total salt of the samples were measured and compared, as shown in Figure 3. It should be pointed out that only the soil at the top layer (0–20 cm) was sampled for measurement, due to the soil’s frozen condition in December 2020.
Generally speaking, the salt content near the top soil layer was relatively larger and its change within a year was drastic. The salt content in the surface soil varied greatly at the watershed scale. However, at other layers, it was relatively less and its change rate was gentle [1].
It can be seen from Figure 4 that the soil salt at layers near the land surface (0–20 cm, 20–40 cm, 40–60 cm) increased from June to August or September, and then it decreased again. The above phenomenon was closely related to the irrigation rule in the study area. In the Ningxia Yellow River irrigation area, spring irrigation was usually conducted from March to May, and autumn and winter irrigations were usually conducted from September to November. During the irrigation, the soil salt had been brought down to the deeper soil layer by the water. Then, the soil salt moved towards the land surface with the water because of strong evaporation. As a result, the total salt in June was relatively less and then it increased gradually. After the autumn or winter irrigations, it decreased again and then increased again.
As for the deeper layers (60–80 cm, 80–100 cm) at the sample points in Nanliang farm and Pingjipu farm, the soil salt was less than that near the surface layers (0–60 cm) and continuously increased from June to October. The above phenomenon was caused by the special climate in the study area. Under the function of strong evaporation and weak precipitation, the soil salt was transported from deeper layers towards to the surface layers with the water movement. As a result, the soil salt at the deeper layers was less than that at the shallow layers.
It can also be found that the total salt content was continuously increasing from June to October at the deeper layers (60–80 cm, 80–100 cm), which was closely related to the local irrigation rule and climate. After irrigation from March to May, the soil salt had been brought down to the deeper soil layers by the water, so the total soil salt in June was less. Then, it was gradually brought up by the water due to strong evaporation. After the autumn or winter irrigations in October or November, the soil salt near the surface layers had been brought down to the deeper layers. As a result, the salt content at the deep layers (60–80 cm, 80–100 cm) grew persistently.

3.1.3. Spatial Distribution of Soil Salt

The Kriging interpolation method was employed to interpolate the soil salt and eight salt ions in the study area during September 2020. The resulting spatial distribution of total salt and representative ions is shown in Figure 4.
From Figure 4, we can find that the soil salt content in the study area gradually increased from the southwest to the northeast, indicating that the total salt content increased gradually in the flow direction of the irrigation canals. The above characteristics of the soil salt spatial distribution were closely related to environmental factors such as topography including terrain, ground undulation and elevation, and hydrological conditions such as evaporation, precipitation, climate, ground water, irrigation, etc. In the study area, the terrain indicated characteristics of low in the southwest, high in the northeast. After irrigations using the water from the canals, the salt coming from the Yellow River accumulated in the soil, and only part was transported by the water into drainage ditches and through to the rivers again. However, at the lower terrain area, the salt was difficult to be discharged into the river again. As a result, the salt accumulated at the low area, leading to a high salt concentration at the down reach of the canals.
It can be found from the measured data that the average contents of anions (SO42−, HCO3, Cl, CO32−) and cations (Ca2+, Na+, Mg2+, K+) were in descending order, and the anionic and cationic compositions were dominated by SO42− and Ca2+, respectively. Furthermore, the total salt gradually decreased from the surface layer to the deeper layer, and gradually increased in the flow direction of the West Main Canal and Tanglai Canal. The local severe salinized soil appeared at the down reaches of the two canals, especially in Nanliang farm. Among the eight ions of salt, the content of Ca2+ and SO42− showed the same distribution which was similar to that of the total salt, but the distribution of the CO32− content was quite the opposite to the total salt.

3.2. Spatial and Temporal Distributions of Water Content

3.2.1. Statistical Characteristics of Water Content

Soil water content refers to the proportion of water volume divided by the total volume of pores and soil particles. In the study area, typical statistical values of the soil water content, including the mean, maximum, minimum, median, skewness, kurtosis, variable coefficient and K-S test were calculated and presented, as shown in Table 3. It can be found that the mean value of the water content was about 15%, which was far below the normal value suited for growth of vegetation [28]. The reason is that the soil samples were taken at the time of non-irrigation, and most of them were taken from the soil near the surface (0–20 cm, 20–40 cm).
It can also be found from Table 3 that the standard deviation was only 0.0421%, and the skewness was −0.0421, which means that the distribution of the water content was more uniform and closer to symmetrical distribution. The mutation coefficient was 0.096, and the K-S test value was close to 0, which means that the water content in the study area was moderately mutated and did not obey normal distribution.

3.2.2. Temporal Distribution of Water Content

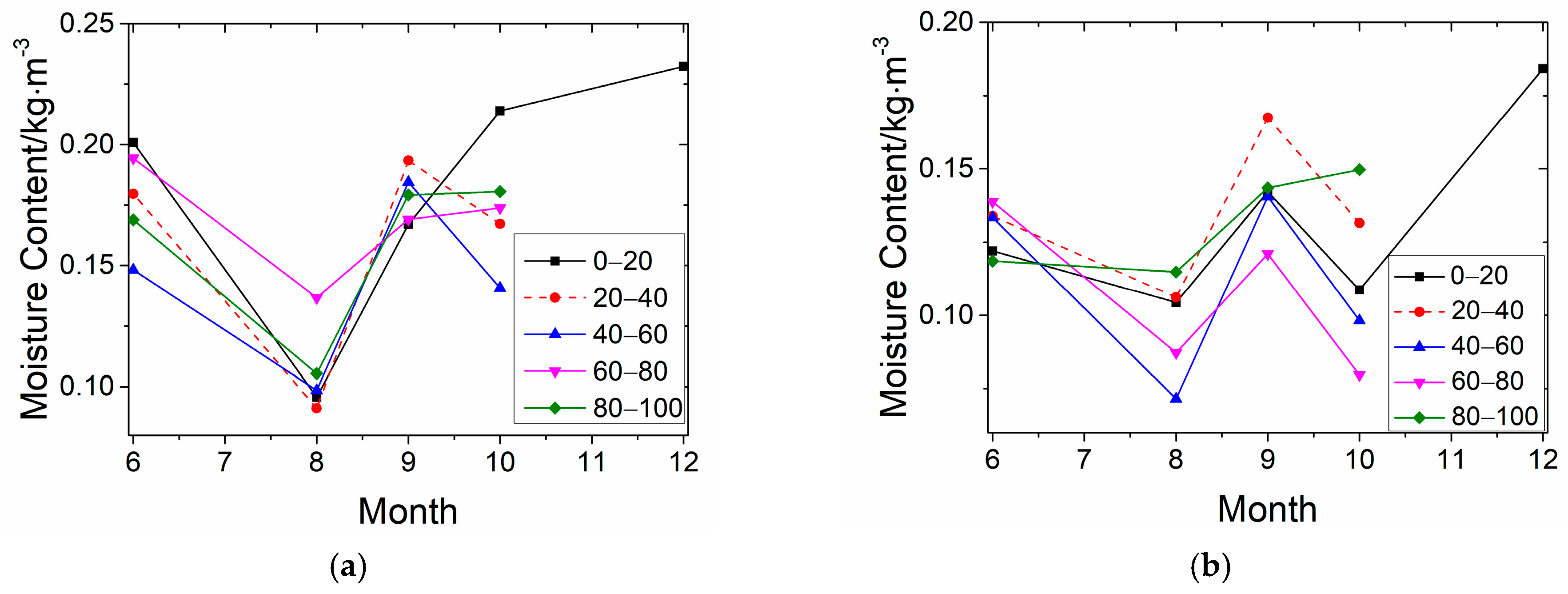
To investigate the change trend of soil water content in the study area, two sites in Nanliang farm and Pingjipu farm (Nan 10–2, Ping 8–1) were chosen to take soil samples at regular intervals in 2020. The water contents measured at the two sites were presented, as shown in Figure 5. In 2020, soil samples from five layers at the two sites were taken in June, August, September, October and December. In December, a soil sample was taken only from the surface layer (0–20 cm) due to frozen conditions at the deeper layers.
The water content in each soil layer of the two sites showed the same change trend, i.e., higher in June, September and December, and lower in August and October. This phenomenon was closely related to irrigation rules in the Ningxia Yellow River Irrigation Area. Spring irrigation in the study area is usually carried out before June every year, and autumn irrigation is carried before September. As a result, the water content in June and September was high. However, in August and October, the water content was lower because no water had been supplemented through irrigation or rain, and a lot of water in the soil was lost under the function of strong transpiration. In December, the measured water content reached the highest of the year after the winter irrigation.

3.2.3. Spatial Distribution of Water Content

The soil water contents measured at 165 sample sites in September 2020 are interpolated by the Kriging interpolation method, and the spatial distribution of the water content in the study area is obtained, as shown in Figure 6.
It can be found that the soil water content in the study area was relatively higher along the Tanglai Canal, but was relatively lower along the West Main Canal. The spatial distribution of the water content along the two canals was greatly nonuniform, conforming to the trend of “East high and west low, north high and south low”.

3.3. Spatial and Temporal Distributions of the pH Value

3.3.1. Statistical Characteristics of the pH Value

A statistical analysis was performed for the pH value of the soil samples in the study area, and some typical statistical parameters were calculated and shown in Table 4. The average value of the soil pH was approximately 8.465 and the minimum value was greater than 7.0, indicating that the soil in this area tended to be alkaline. Furthermore, the skewness of the pH value distribution was −0.6770, and the standard deviation was 0.3747, which means that the pH value distribution was dispersive and non-symmetrical. Moreover, the mutation coefficient was less than 0.1, which means that the pH value was weakly mutated. The K-S test value was less than 0.05 but was very close to 0.05, which means that the pH value distribution was close to normal distribution.
In the soil sampling in the study area, CV < 0.1 indicating that the pH values belong to weak mutation. In other words, the pH value is relatively spatially uniform and its change rate is small.

3.3.2. Temporal Distribution of pH Value

The measured pH value at two typical sites of Nanliang farm and Pingjipu farm (Nan 10–2 and Ping 8–1) in 2020 is shown in Figure 7.
At the sample site at Nanliang farm (Nan 10–2), the pH value fluctuated significantly between 8 and 9 from June to September and between 7 and 8 in October. At the sample site at Pingjipu farm (Ping 8–1), the pH value was between 8.4 and 9 before August and suddenly decreased to 7.5~8 after August. Although both farms fluctuated in one year, the pH value was always greater than 7, indicating that the soil in the study area was alkaline.
It can also be found that at the Pingjipu farm area from October to December, the total salt content decreased, but the soil pH value increased. However, at the Nanliang farm area from October to December, the total salt content decreased, but the soil pH value increased. The above phenomenon indicates that the variation trends of soil salt content and pH value are different. The mechanism is very complicated, but may be related to irrigation, fertilization, plough, vegetation and climate conditions.

3.3.3. Spatial Distribution of pH Value

The data of the pH values measured in the study area in September 2020 were interpolated using the Kriging method, and the spatial distribution of the pH value was obtained, as shown in Figure 8. The soil pH value in the study area was greater than seven, showing a trend of “high at the upstream and downstream of the canals, low at the middle stream of the canals”.
By comparing the soil total salt distribution (Figure 4a) and the soil pH value distribution (Figure 8), it can be concluded that the soil salt and pH value were quite non-synchronized. In other words, in an area where the soil salt is larger, the pH value is not necessarily larger too.

3.4. Correlation Analysis between Salt and pH Value

In order to obtain the salt composition of the soil in the study area, Pearson’s correlation analysis was conducted for the pH value of eight salt ions and total salt, and the correlation matrix is shown in Table 5. It can be found that the total salt was very strongly positively correlated with SO42−, with a correlation coefficient as high as 0.858; it was strongly positively correlated with Cl, Ca2+; and it was moderately positively correlated with Mg2+, Na+ and K+. The pH value was weakly correlated with CO32−, HCO3; it was extremely weakly positively correlated with Na+ and K+; it was moderately negatively correlated with SO42− and Ca2+; it was weakly negatively corelated with total salt; it was extremely weakly correlated to Cl and Mg2+. Among the salt-based soil ions, SO42− had the strongest correlation with Ca2+, with a correlation coefficient of 0.752 (p < 0.01). This was followed by the correlation between Cl and Na+, with a correlation coefficient of 0.699. Other correlations cannot be neglected, such as the correlations between HCO3 and K+ and between HCO3 and Mg2+, with 0.486 and 0.539, respectively. It can be inferred that the main existing form of the soluble salt in this region was NaCl, KHCO3, Mg (HCO3)2, CaSO4, etc.

4. Conclusions

In this study, Pearson’s correlation analysis and Kriging interpolation techniques were utilized to analyze the measured data of total salt, eight salt ions, water content and the pH value of soil samples collected from 165 sample points along the West Main Canal and the Tanglai Canal in the Ningxia Yellow River Irrigation Area. The spatial and temporal distributions of these physical parameters were examined and analyzed, leading to the following main conclusions:
(1)
The soil along the West Main Canal and the Tanglai Canal was alkaline, and it was strongly alkaline at the upstream and downstream of the canals, but it was weakly alkaline at the middle stream of the canals. At the typical sample sites of Nanliang farm and Pingjipu farm, the temporal distribution of the pH value fluctuated from June to December, but showed an overall downward trend. Along the vertical distribution, from a depth of 0 cm to 100 cm, the pH value increases with depth.
(2)
Most of the soil in the study area belonged to moderately salinized soil. The average content of soil anions (SO42−, HCO3, Cl, CO32−) and cations (Ca2+, Na+, Mg2+, K+) were in descending order. The anionic and cation composition was dominated by SO42− and Ca2+, respectively.
(3)
The salt content gradually decreased from the soil surface layer to a depth of 100 cm. The total salt amount of the soil gradually increased at the flow direction of the West Main Canal and the Tanglai Canal, and the local severely salinized soil appeared in the middle and downstream of the two canals. Among the eight ions, Ca2+ and SO42− showed the same trend of distribution as the total salt, and the CO32− content showed the opposite trend to the whole salt distribution.
(4)
Pearson’s correlation analysis showed that the total amount of soil salt was very strongly positively correlated with SO42−, with a strong positive correlation with Cl, Ca2+, and a moderate positive correlation with Mg2+, Na+ and K+, indicating that the salinized soil salt was mainly chloride and sulfate.
(5)
The water content of the two sample sites in Nanliang farm and Pingjipu farm showed a trend of “higher in June, September and December, and lower in August and October”, which was closely related to the irrigation rules in the Ningxia Yellow River Irrigation Area.
(6)
The spatial distribution of the water content in the flow direction of the Tanglai Canal and the West Main Canal in Ningxia was greatly nonuniform, and showed a trend of “East high and west low, north high and south low”.
(7)
The variation trends of the soil salt content and pH value were different. The pH value in the study area was close to normal distribution, but the total salt and water content did not obey normal distribution.
(8)
The soil salt and pH value were quite non-synchronized. In other words, at an area where the soil salt was larger, the pH value was not necessarily larger too.

Author Contributions

Conceptualization, W.W. and H.J.; methodology, W.W. and H.J.; funding acquisition, W.W. and H.J.; software, W.W., H.J., X.G. and W.Z.; validation, W.W. and B.D.; resources, H.J.; data curation, W.W. and X.G.; writing—original draft preparation, W.W. and X.G.; writing—review and editing, W.W., H.J. and X.G.; visualization, W.W.; supervision, H.J.; project administration, H.J. All authors have read and agreed to the published version of the manuscript.

Funding

This work was supported by the following financial supports: the Natural Science Foundation of Ningxia, China (2021AAC03208), Support Plan for Innovation Team of North Minzu University, China (Grant No. 2022PT_S02), Support Plan for Leading Personnel of State Ethnic Affairs Commission, China (Grant No. 113114000706), Support Plan for General Research Project of North Minzu University (2022XYZTM04).

Institutional Review Board Statement

Not applicable.

Informed Consent Statement

Not applicable.

Data Availability Statement

All data generated or analyzed during this study are included in this published article.

Conflicts of Interest

The authors declare no conflict of interest.

References

  1. Wang, Y.; Deng, C.; Liu, Y.; Niu, Z.; Li, Y. Identifying change in spatial accumulation of soil salinity in an inland river watershed. China. Sci. Total Environ. 2018, 621, 177–185. [Google Scholar] [CrossRef]
  2. Chang, X.; Gao, Z.; Wang, S.; Chen, H. Modelling long-term soil salinity dynamics using SaltMod in Hetao Irrigation District, China. Comput. Electron. Agric. 2019, 156, 447–458. [Google Scholar] [CrossRef]
  3. Singh, A. Soil salinization management for sustainable development: A review. J. Environ. Manag. 2021, 277, 111383. [Google Scholar] [CrossRef] [PubMed]
  4. Adnan, M.; Fahad, S.; Zamin, M.; Shah, S.; Mian, I.A.; Danish, S.; Zafar-Ul-Hye, M.; Battaglia, M.L.; Naz, R.M.M.; Saeed, B.; et al. Coupling Phosphate-Solubilizing Bacteria with Phosphorus Supplements Improve Maize Phosphorus Acquisition and Growth Under Lime Induced Salinity Stress. Plants 2020, 9, 900. [Google Scholar] [CrossRef] [PubMed]
  5. Alqasemi, A.S.; Ibrahim, M.; Al-Quraishi, A.M.F.; Saibi, H.; Al-Fugara, A.; Kaplan, G. Detection and Modeling of Soil Salinity Variations in Arid Lands Using Remote Sensing Data. Open Geosci. 2021, 13, 443–453. [Google Scholar] [CrossRef]
  6. Gebremeskel, G.; Gebremicael, T.; Kifle, M.; Meresa, E.; Gebremedhin, T.; Girmay, A. Salinization pattern and its spatial distribution in the irrigated agriculture of Northern Ethiopia: An integrated approach of quantitative and spatial analysis. Agric. Water Manag. 2018, 206, 147–157. [Google Scholar] [CrossRef]
  7. Jia, Z.; Tan, Y.; Guan, X.; Wang, Z.; Tao, Y. Saline-alkali Soil Formation and Its Remediation Strategies in Different Regions of Ningxia: A Comprehensive Review. J. Irrig. Drain. 2023, 42, 122–134. [Google Scholar]
  8. Zhao, Y.G.; Wang, S.J.; Li, Y.; Liu, J.; Zhou, Y. Prospects of using flue gas desulfurization gypsum to ameliorate saline-alkaline soil. Tsinghua Sci. Technol. 2022, 62, 735–745. [Google Scholar]
  9. Yang, F.; An, F.H.; Ma, H.Y. Spatial variation of soil apparent electrical conductivity of soda salinated dry field in Songen Plain. Acta Ecol. Sin. 2017, 37, 1184–1190. [Google Scholar]
  10. Liu, H.; Sun, Z.; Dong, Y.; Yang, H.; He, P.; Yu, B.; Ye, H.; Li, S.; Zhou, L. Precipitation drives the accumulation of soil organic carbon in the sandy desert of the Junggar Basin, Northwest China. Ecol. Indic. 2022, 142, 109224. [Google Scholar] [CrossRef]
  11. Bai, J.D.; Peng, J.; Bai, Z.J.; Wang, J.; Wu, J. Study on temporal and spatial variation of surface soil salinization in cotton field in arid area. Chin. J. Soil Sci. 2021, 52, 527–534. [Google Scholar]
  12. Wu, J.; Jing, H.; Wang, W.; Guo, X.; Guo, X. Investigation of the Salinity Distribution of the Soil along West Main Canal in Ningxia, China. IOP Conf. Ser. Earth Environ. Sci. 2021, 697, 012012. [Google Scholar] [CrossRef]
  13. Le, N.D.; Zidek, J.V. Statistical Analysis of Environmental Space-Time Processes; Springer Science & Business Media: Cham, Switzerland, 2006; pp. 101–134. [Google Scholar]
  14. Li, J.X.; Li, C.K. Kriging interpolation based on ArcGIS and its application. Surv. Mapp. Bull. 2013, 9, 87–90+97. [Google Scholar]
  15. Li, X.Y.; Cui, J.Q.; Shi, H.B.; Sun, Y.N.; Ma, H.; Jiao, B. Risk of soil salinization and groundwater environmental analysis based on indicative kriging. J. Agric. Mach. 2021, 35, 1–11. [Google Scholar]
  16. Xu, C.D.; Wang, R.R.; Cheng, H.; Gong, X.; Liu, L.; Wang, Y. Analysis of artificial oasis irrigation in arid areas based on remote sensing data. J. Agric. Eng. 2019, 35, 80–89. [Google Scholar]
  17. Yin, X.; Feng, Q.; Li, Y.; Deo, R.C.; Liu, W.; Zhu, M.; Zheng, X.; Liu, R. An interplay of soil salinization and groundwater degradation threatening coexistence of oasis-desert ecosystems. Sci. Total Environ. 2022, 806, 150599. [Google Scholar] [CrossRef]
  18. Zhang, Y.; Hou, K.; Qian, H.; Gao, Y.; Fang, Y.; Xiao, S.; Tang, S.; Zhang, Q.; Qu, W.; Ren, W. Characterization of soil salinization and its driving factors in a typical irrigation area of Northwest China. Sci. Total Environ. 2022, 837, 155808. [Google Scholar] [CrossRef]
  19. Gao, Y.; Chen, J.; Qian, H.; Wang, H.; Ren, W.; Qu, W. Hydrogeochemical characteristics and processes of groundwater in an over 2260 year irrigation district: A comparison between irrigated and nonirrigated areas. J. Hydrol. 2022, 606, 127437. [Google Scholar] [CrossRef]
  20. Ortiz, A.; Jin, L.X. Chemical and hydrological controls on salt accumulation in irrigated soils of southwestern U.S. Geoderma 2021, 391, 114976. [Google Scholar] [CrossRef]
  21. Ao, C.L.; Lu, G.H.; Jiang, H.; Li, Y.; Wang, P.; Luo, X. Hydrogeological characteristics and groundwater resource utilization in the central arid zone of Ningxia Hui Autonomous Region. West. Explor. Proj. 2015, 27, 101–104. [Google Scholar]
  22. Ritgen, U. Analytical Chemistry I; Springer: Berlin/Heidelberg, Germany, 2023. [Google Scholar]
  23. Al-Subeihi, A.; Ali, A. Method validation of measuring endogenous lead levels in scalp hair of acid battery plant workers by flame atomic absorption spectroscopy. Int. J. Environ. Anal. Chem. 2022, 102, 7881–7888. [Google Scholar] [CrossRef]
  24. Wang, Q.; Li, Z.; Sun, Z.; Liu, H.; Cai, W.; Yao, M. Simultaneous soot multi-parameter fields predictions in laminar sooting flames from neural network-based flame luminosity measurement I: Methodology. Opt. Lett. 2021, 46, 3869–3872. [Google Scholar] [CrossRef] [PubMed]
  25. Basak, S.; Roy, J.K.; Ratan, M.R.; Hossain, S.A. Akhter Evaluation of proposed pH meter in determining the amount of soil supplement needed for IRRI-28. In Proceedings of the 2019 5th International Conference on Advances in Electrical Engineering, ICAEE, Dhaka, Bangladesh, 26–28 September 2019; pp. 722–726. [Google Scholar]
  26. Panagiotou, C.F.; Kyriakidis, P.; Tziritis, E. Application of geostatistical methods to groundwater salinization problems: A review. J. Hydrol. 2022, 615, 128566. [Google Scholar] [CrossRef]
  27. Pawan, R.D. Electroencephalogram channel selection based on pearson correlation coefficient for motor imagery-brain-computer interface. Meas. Sens. 2023, 25, 100616. [Google Scholar] [CrossRef]
  28. Zhang, Y.; Han, W.; Zhang, H.; Niu, X.; Shao, G. Evaluating soil moisture content under maize coverage using UAV multimodal data by machine learning algorithms. J. Hydrol. 2023, 617, 129086. [Google Scholar] [CrossRef]
Figure 1. The study area and the sample point locations.
Figure 1. The study area and the sample point locations.
Sustainability 15 12114 g001
Figure 2. Kriging interpolation.
Figure 2. Kriging interpolation.
Sustainability 15 12114 g002
Figure 3. Annual variation in total salt in different soil layers at two typical sampling sites: (a) Nanliang farm (Nan 10−2), (b) Pingjipu farm (Ping 8−1).
Figure 3. Annual variation in total salt in different soil layers at two typical sampling sites: (a) Nanliang farm (Nan 10−2), (b) Pingjipu farm (Ping 8−1).
Sustainability 15 12114 g003
Figure 4. Spatial distribution of soil total salt and typical salt ions in the study area: (a) total salt, (b) Ca2+ (c) SO42− (d) CO32−.
Figure 4. Spatial distribution of soil total salt and typical salt ions in the study area: (a) total salt, (b) Ca2+ (c) SO42− (d) CO32−.
Sustainability 15 12114 g004
Figure 5. Temporal variance of the water content at two typical sample sites: (a) Site in Nanliang farm (Nan 10–2) (b) Site in Pingjipu farm (Ping 8–1).
Figure 5. Temporal variance of the water content at two typical sample sites: (a) Site in Nanliang farm (Nan 10–2) (b) Site in Pingjipu farm (Ping 8–1).
Sustainability 15 12114 g005
Figure 6. Spatial distribution of soil water content in the study area.
Figure 6. Spatial distribution of soil water content in the study area.
Sustainability 15 12114 g006
Figure 7. Variation in pH value of five soil layers at typical sample sites: (a) site in Nanliang farm (Nan 10–2), (b) site in Pingjipu farm (Ping 8–1).
Figure 7. Variation in pH value of five soil layers at typical sample sites: (a) site in Nanliang farm (Nan 10–2), (b) site in Pingjipu farm (Ping 8–1).
Sustainability 15 12114 g007
Figure 8. Spatial distribution for pH value of soil in the study area.
Figure 8. Spatial distribution for pH value of soil in the study area.
Sustainability 15 12114 g008
Table 1. Statistical characteristics of soil salt ions and total salt in the study area.
Table 1. Statistical characteristics of soil salt ions and total salt in the study area.
Salt IonsMean
(g/kg)
Median
(g/kg)
Standard
Deviation
(g/kg)
SkewnessKurtosisMinimum Value
(g/kg)
Maximum Value
(g/kg)
Variable CoefficientK-S Test
CO32−0.0280.0260.0282.59112.8490.0000.2110.9850.000
HCO30.5830.3800.6144.16126.0640.0315.8701.0530.000
Cl0.2560.1520.3915.77346.1600.0184.1401.5270.000
SO42−1.0400.7381.0172.82012.5240.0208.2300.9780.000
Ca2+0.4160.2230.5713.30311.0120.0603.0801.3710.000
Mg2+0.1320.0900.1302.4657.5310.0100.8700.9780.000
Na+0.2530.1070.4554.09619.0290.0103.0401.7990.000
K+0.0420.0290.0463.37914.2430.0040.3341.0950.000
total salt 2.7502.1162.0372.0505.1760.44213.2080.7410.000
Table 2. Soil salinization classification standard.
Table 2. Soil salinization classification standard.
AreaSoil Salt Content/(g/kg)
Non-SalinizationMild
Salinization
Moderate
Salinization
Severe
Salination
Extremely Severe Salinization
Coastal, subhumid area<1.01.0~2.02.0~4.04.0~6.0>6.0
Semi-arid, arid area<1.01.0~2.02.0~4.04.0~10.0>10.0
Semi-desert area<2.02.0~3.03.0~5.05.0~10.0>10.0
Desert area<2.02.0~4.04.0~6.06.0~20.0>20.0
Table 3. Statistical characteristic of soil water content in the study area.
Table 3. Statistical characteristic of soil water content in the study area.
Mean
(%)
Median
(%)
Standard
Deviation
(%)
SkewnessKurtosisMinimum
(%)
Maximum
(%)
Mutation
Coefficient
K-S Test
14.615.00.0421−0.017−0.6345.3723.40.3960.000
Table 4. Statistical characteristics of soil pH value in the study area.
Table 4. Statistical characteristics of soil pH value in the study area.
AverageMedianStandard
Deviation
SkewnessKurtosisMinimumMaximumMutation
Coefficient
K-S Test
8.4658.5100.375−0.6770.3857.1009.1400.044 0.045
Table 5. The correlation analysis matrix of soil salt ions and pH value in the study area.
Table 5. The correlation analysis matrix of soil salt ions and pH value in the study area.
pHCO32−HCO3ClSO42−Ca2+Mg2+Na+K+Total Salt
pH1
CO32−0.282 **1
HCO30.270 **0.453 **1
Cl−0.057−0.073−0.0471
SO42−−0.450 **−0.176 **−0.0870.450 **1
Ca2+−0.492 **−0.138 *0.0330.134 *0.752 **1
Mg2+−0.0760.194 **0.539 **0.332 **0.365 **0.222 **1
Na+0.0320.009−0.0130.699 **0.290 **0.0050.131 *1
K+0.0230.331 **0.486 **0.323 **0.0960.0780.361 **0.441 **1
total salt−0.285 **0.0310.307 **0.623 **0.858 **0.706 **0.574 **0.518 **0.426 **1
*—significant correlation (p < 0.05); **—significant correlation (p < 0.01).
Disclaimer/Publisher’s Note: The statements, opinions and data contained in all publications are solely those of the individual author(s) and contributor(s) and not of MDPI and/or the editor(s). MDPI and/or the editor(s) disclaim responsibility for any injury to people or property resulting from any ideas, methods, instructions or products referred to in the content.

Share and Cite

MDPI and ACS Style

Wang, W.; Jing, H.; Guo, X.; Dou, B.; Zhang, W. Analysis of Water and Salt Spatio-Temporal Distribution along Irrigation Canals in Ningxia Yellow River Irrigation Area, China. Sustainability 2023, 15, 12114. https://doi.org/10.3390/su151612114

AMA Style

Wang W, Jing H, Guo X, Dou B, Zhang W. Analysis of Water and Salt Spatio-Temporal Distribution along Irrigation Canals in Ningxia Yellow River Irrigation Area, China. Sustainability. 2023; 15(16):12114. https://doi.org/10.3390/su151612114

Chicago/Turabian Style

Wang, Weihong, Hefang Jing, Xinxia Guo, Bingyan Dou, and Wensheng Zhang. 2023. "Analysis of Water and Salt Spatio-Temporal Distribution along Irrigation Canals in Ningxia Yellow River Irrigation Area, China" Sustainability 15, no. 16: 12114. https://doi.org/10.3390/su151612114

APA Style

Wang, W., Jing, H., Guo, X., Dou, B., & Zhang, W. (2023). Analysis of Water and Salt Spatio-Temporal Distribution along Irrigation Canals in Ningxia Yellow River Irrigation Area, China. Sustainability, 15(16), 12114. https://doi.org/10.3390/su151612114

Note that from the first issue of 2016, this journal uses article numbers instead of page numbers. See further details here.

Article Metrics

Back to TopTop