Analysis of Asymmetric Fault Commutation Failure in HVDC System Considering Instantaneous Variation of DC Current
Abstract
1. Introduction
- In this study, the effects of the AC voltage and the DC current on the turn-off angle, as well as the coupling relationship between them, are analyzed.
- A direct-current-line equivalent mathematical model including the smoothing reactor is established in Laplace space, the AC voltage and the DC current are decoupled, and the critical voltage leading to commutation failure under an asymmetric fault is derived by combining the voltage zero-crossing offset angle and the limit turn-off angle when the asymmetric fault is identified.
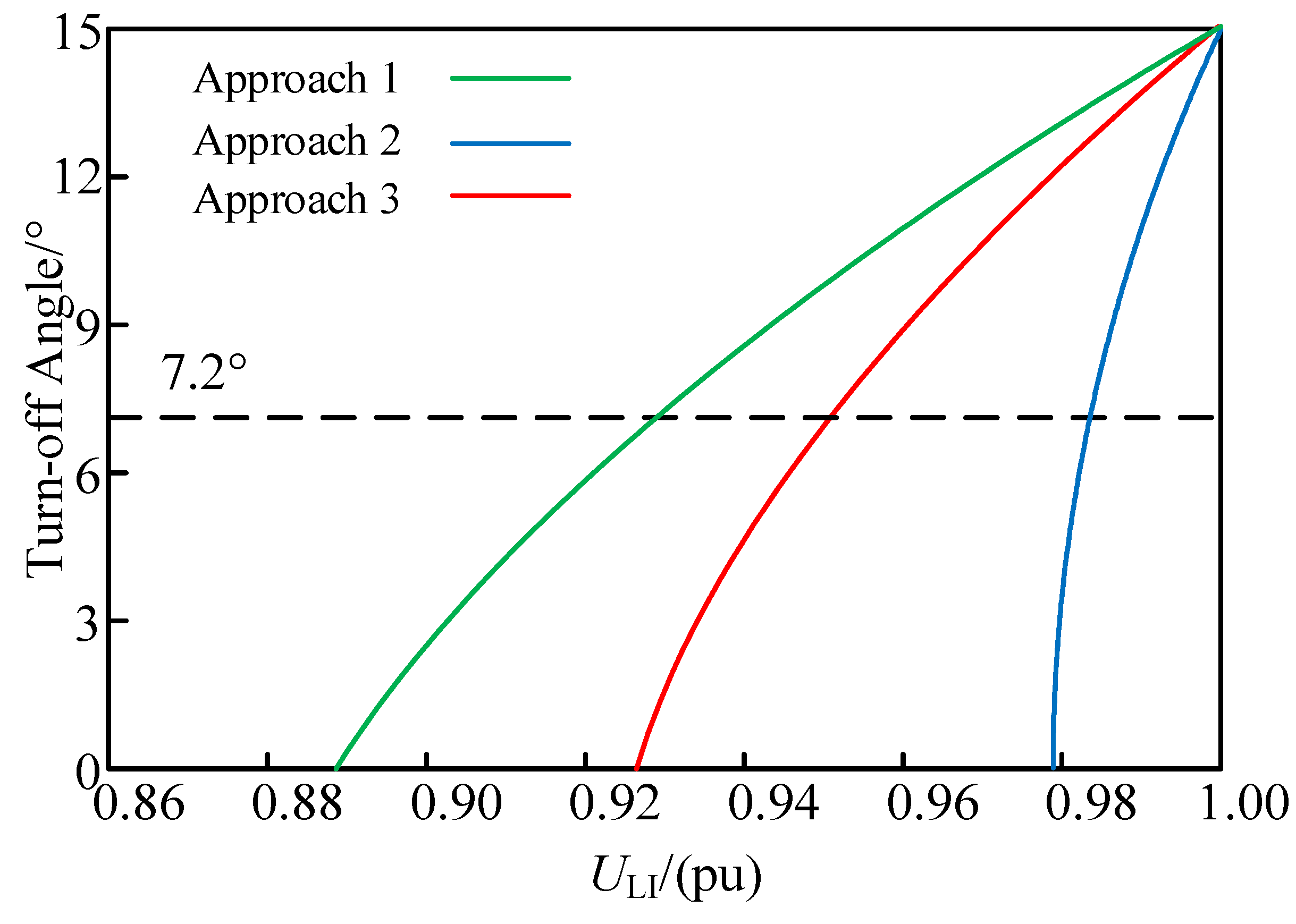
- Through the CIGRE HVDC model built in the PSCAD/EMTDC simulation software, simulations under different short-circuit impedances are used to verify the accuracy of the developed approach compared to the other two approaches. The effects of the smoothing reactor parameters on abrupt variation of the direct current and the system’s ability to resist commutation failure are analyzed, and the applicability of the proposed method is further verified.
2. Analysis of Commutation Failure Mechanisms
2.1. Analysis of Factors Influencing Commutation Failure
2.2. Analysis of the Coupling Relationship between DC Current and AC Voltage
2.2.1. Analysis of the Effect Exerted by AC Voltage Decline on DC Current
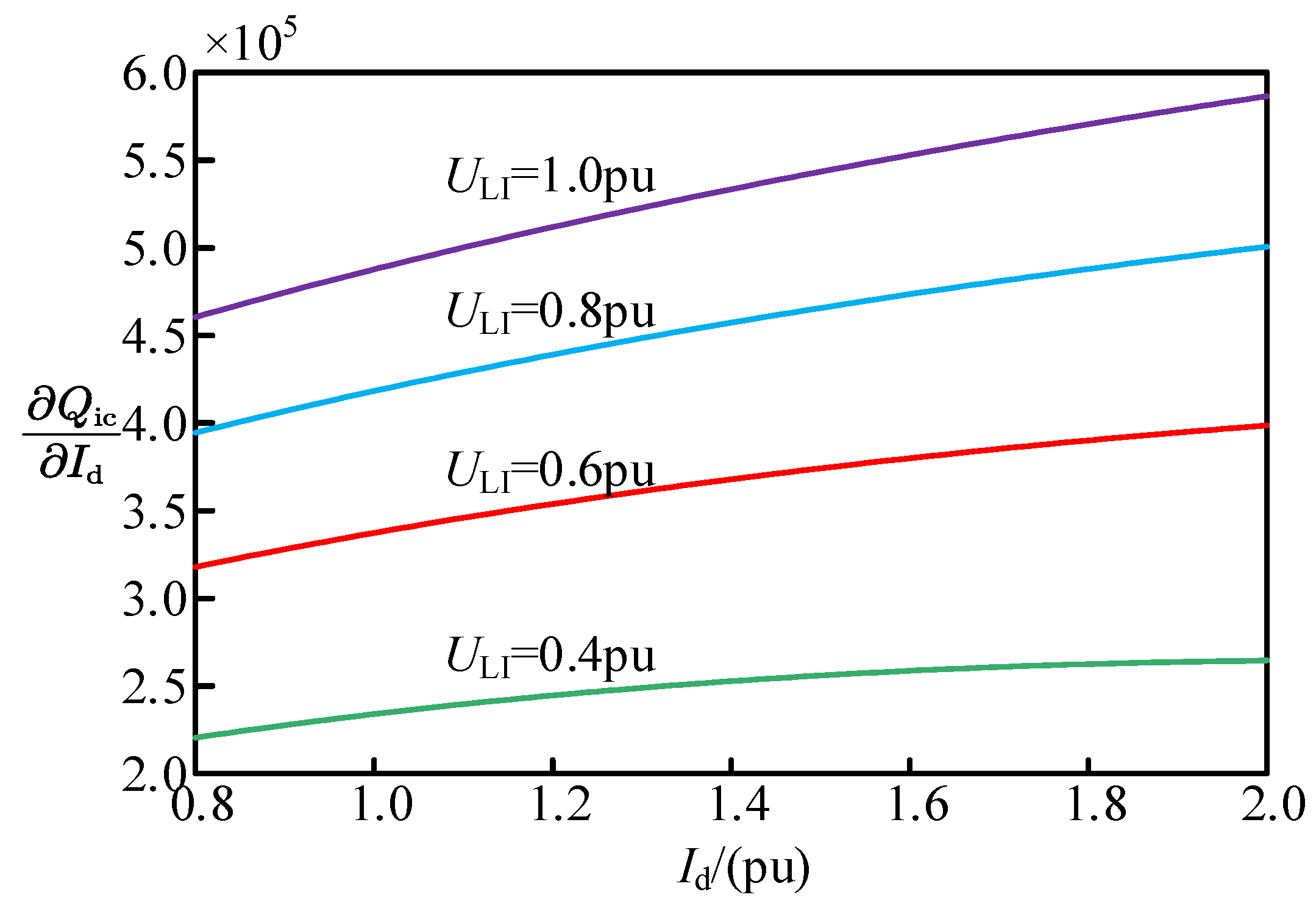
2.2.2. Analysis of the Effect of DC Current Elevation on AC Voltage
3. Analysis of Asymmetric Fault Commutation Failure Considering Transient Increases in DC Current
3.1. Qualitative Analysis of the Effect of Asymmetric Faults on Commutation Failures
3.2. HVDC System Modeling and the Calculation Method for the Critical Voltage Instantaneous Value Criterion
4. Simulation Results and Discussions
4.1. Simulation Validation
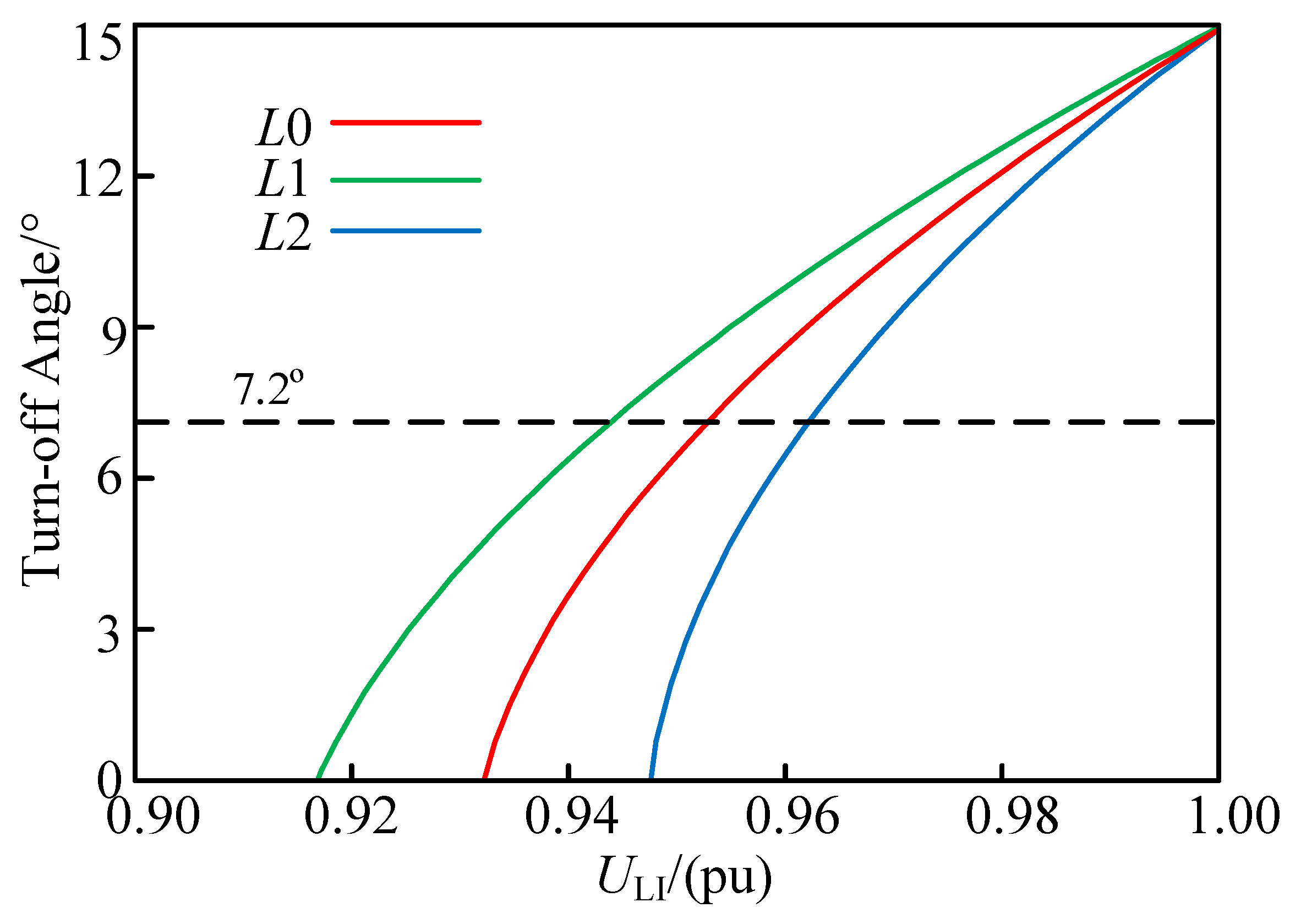
4.2. Analysis of the Effect of the Smoothing Reactors on Commutation Failure
5. Conclusions
Author Contributions
Funding
Institutional Review Board Statement
Informed Consent Statement
Data Availability Statement
Conflicts of Interest
Appendix A
| Symbols | Parameter Name | Parameter Size |
|---|---|---|
| dr | Commutation resistance on the rectifier side | 25.9446 |
| di | Commutation resistance on the inverter side | 25.4309 |
| XCR | Equivalent commutation reactance on the rectifier side | 13.5842 Ω |
| XCI | Equivalent inverter commutation on the reactance side | 13.3152 Ω |
| Udor | Rated no-load voltage at the valve side of the converter transformer on the rectifier side | 589.1 KV |
| C | Line capacitance | 0.01184 S |
| L | Line inductance | 0.5968 H |
| Id | DC current | 2 KA |
| ULi | AC voltage | 205.5 KV |
| N | Number of converters | 2 |
| γ | Turn-off angle | 15° |
| γmin | Critical turn-off angle | 7.2° |
| α | Delayed trigger angle | 20° |
| β | Advance trigger angle | 38° |
| Qi | Reactive power consumption of the inverter station | |
| Qc | Reactive power supply of the AC filter | |
| Qic | The amount of reactive power exchanged between the inverter station and AC system | |
| Udr | Voltage of DC on the inverter side | |
| Udi | Voltage of DC on the rectifier side | |
| ER | Percentage of error | |
| SV | Simulation value | |
| CV | Calculated value |
References
- Zhu, Y.; Huang, L.; Li, S.; Zhu, Y.; Jia, X.; Song, Y. Research and Implementation of Control Strategies for Multiple Transmission Modes in Yongren-Funing HVDC. In Proceedings of the 2022 IEEE International Conference on Power Systems and Electrical Technology, Aalborg, Denmark, 13–15 October 2022; pp. 36–40. [Google Scholar]
- Song, J.Z.; Li, Y.L.; Zeng, L.; Zhang, Y. Review on commutation failure of HVDC transmission system. Autom. Electr. Power Syst. 2020, 44, 2–13. [Google Scholar]
- Zhu, R.; Zhou, X.; Yin, H.; Liu, Y.; Deng, L.; Hong, L. Commutation Failure Analysis Considering the Frequency Response of Transmission Line. In Proceedings of the 2021 IEEE 2nd China International Youth Conference on Electrical Engineering, Chengdu, China, 15–17 December 2021; pp. 1–6. [Google Scholar]
- Song, J.; Li, Y.; Zeng, L.; Zhang, Y.; Yang, Z. Mechanism Analysis and Prevention Methods of Commutation Failure in LCC-HVDC Transmission System. In Proceedings of the 2019 IEEE 8th International Conference on Advanced Power System Automation and Protection, Xi’an, China, 21–24 October 2019; pp. 556–560. [Google Scholar]
- Zheng, B.; Hu, J.; Wang, T.; Wang, Z. Mechanism Analysis of a Subsequent Commutation Failure and a DC Power Recovery Speed Control Strategy. Electronics 2022, 11, 998. [Google Scholar] [CrossRef]
- Tian, D.; Xiong, X.; Xiao, C. Early Warning and Inhibition of HVDC Subsequent Commutation Failure During Recovery Process Under Grid Fault. IEEE Trans. Power Deliv. 2021, 36, 1051–1062. [Google Scholar] [CrossRef]
- Zhang, Y.; Tang, F.; Qin, F.; Li, Y.; Gao, X.; Du, N. Research on Dynamic Reactive Power Compensation Scheme for Inhibiting Subsequent Commutation Failure of MIDC. Sustainability 2021, 13, 7829. [Google Scholar] [CrossRef]
- Zhou, X.; Ding, C.; Dai, J.; Li, Z.; Hu, Y.; Qie, Z.; Xue, F. An Active Power Coordination Control Strategy for AC/DC Transmission Systems to Mitigate Subsequent Commutation Failures in HVDC Systems. Electronics 2021, 10, 3044. [Google Scholar] [CrossRef]
- Jiang, J.; Lan, Z.; Pan, M.; Sun, K.; Wang, J. Analysis of commutation failure propagation characteristics and influence factor of multi-infeed LCC-HVDC system. In Proceedings of the 2021 IEEE 4th International Electrical and Energy Conference, Wuhan, China, 28–30 May 2021; pp. 1–6. [Google Scholar]
- Wang, Z.; Liu, X.; Zheng, B.; Li, Y. The research on fast prediction and suppression measures of commutation failure based on voltage waveform fitting. Trans. China Electrotech. Soc. 2020, 35, 1454–1463. [Google Scholar]
- Thio, C.V.; Davies, J.B.; Kent, K.L. Commutation failures in HVDC transmission systems. IEEE Trans. Power Deliv. 1996, 11, 946–957. [Google Scholar] [CrossRef]
- Tong, W.; Chen, M.; Yang, G.; Wang, J.; Xiao, T. Optimization of Series Reactors and VAR Compensators Installation for Inhibiting Multiinfeed HVDC Commutation Failure. In Proceedings of the 2020 IEEE 1st China International Youth Conference on Electrical Engineering, Wuhan, China, 1–4 November 2020; pp. 1–7. [Google Scholar]
- Yang, W.; Cai, Z.; Li, X.; Yu, C. Assessment of commutation failure in HVDC systems considering spatial-temporal discreteness of AC system faults. J. Mod. Power Syst. Clean Energy 2018, 6, 1055–1065. [Google Scholar] [CrossRef]
- Zhou, B.; Li, F.; Yin, C. Risk evaluation and suppression methods for subsequent commutation failure of HVDC transmission system. Autom. Electr. Power Syst. 2021, 45, 143–151. [Google Scholar]
- Xu, H.; Yang, W.; Zhang, D.; Miao, S.; Wang, Y. Commutation failure judgment method for multi-Infeed HVDC systems considering the interaction of commutation failures. Trans. China Electrotech. Soc. 2020, 35, 1776–1786. [Google Scholar]
- Guo, Y.; Tan, Z.; Li, X.; Wang, Y.; Liu, Z.; Cai, Z.; Chen, Z. A Hierarchical Identification Method of Commutation Failure Risk Areas in Multi-Infeed LCC-HVDC Systems. IEEE Trans. Power Syst. 2023, 10, 1–12. [Google Scholar] [CrossRef]
- Li, M.; Zhang, W.; Hu, B.; Kang, J.; Wang, Y.; Lu, S. Automatic Assessment of Depression and Anxiety through Encoding Pupil-wave from HCI in VR Scenes. ACM Trans. Multimed. Comput. Commun. Appl. 2022. [Google Scholar] [CrossRef]
- Zhou, X.; Cai, X.; Zhang, H.; Zhang, Z.; Jin, T.; Chen, H.; Deng, W. Multi-strategy competitive-cooperative co-evolutionary algorithm and its application. Inf. Sci. 2023, 635, 328–344. [Google Scholar] [CrossRef]
- Huang, C.; Zhou, X.; Ran, X.; Wang, J.; Chen, H.; Deng, W. Adaptive cylinder vector particle swarm optimization with differential evolution for UAV path planning. Eng. Appl. Artif. Intell. 2023, 121, 105942. [Google Scholar] [CrossRef]
- Yu, Y.; Tang, K.; Liu, Y. A Fine-Tuning Based Approach for Daily Activity Recognition between Smart Homes. Appl. Sci. 2023, 13, 5706. [Google Scholar] [CrossRef]
- Dong, X.; Tang, Y.; Bu, G. Confronting problem and challenge of large scale AC-DC hybrid power grid operation. Proc. CSEE 2019, 39, 3107–3119. [Google Scholar]
- Xu, J.; Tan, H.; Sun, H.; Wu, J. Research on method to analyze commutation failure in HVDC power transmission system considering the impact of DC current variation and occurrence moment of AC fault. Power Syst. Technol. 2015, 39, 1261–1267. [Google Scholar]
- Ouyang, J.; Zhang, Z.; Xiao, C. Improved Prevention and Control Strategy of Commutation Failure in HVDC Transmission System. Autom. Electr. Power Syst. 2020, 44, 14–21. [Google Scholar]
- Ouyang, J.; Zhang, Z.; Li, M.; Pang, M.; Xiong, X.; Diao, Y. A Predictive Method of LCC-HVDC Continuous Commutation Failure Based on Threshold Commutation Voltage Under Grid Fault. IEEE Trans. Power Syst. 2021, 36, 118–126. [Google Scholar] [CrossRef]
- W, F.; Liu, T.; Li, X.; Yang, J. Commutation failure analysis considering DC current rise and AC voltage drop speed. Autom. Electr. Power Syst. 2016, 40, 111–117. [Google Scholar]
- Wang, L.; Li, F.; Yin, C.; Xin, C. Analysis of asymmetric fault commutation failure in an HVDC system with DC current variation. Power Syst. Prot. Control 2021, 49, 17–23. [Google Scholar]
- Wang, T.; Jia, K.; Bi, T.; Zhao, Q.; Feng, T.; Li, W. Transient characteristics of commutation failure of HVDC system based on dynamic phasor theory. Autom. Electr. Power Syst. 2018, 42, 78–85. [Google Scholar]
- Zhou, B.; Li, F.; Yin, C.; Zhang, Z. Preventive strategy for mitigation of commutation failure based on finite time domain prediction algorithm of DC current. Autom. Electr. Power Syst. 2020, 44, 178–185. [Google Scholar]
- Wang, F.; Liu, T.; You, X.; Su, G.; Liu, Y.; Liu, H. Critical instantaneous voltage of commutation failure based on transient DC current prediction. High Volt. Eng. 2021, 47, 129–137. [Google Scholar]
- Wang, Y.; Wu, L.; Chen, S. A Simplified Model of the HVDC Transmission System for Sub-Synchronous Oscillations. Sustainability 2023, 15, 7444. [Google Scholar] [CrossRef]
- Yu, D.; Gao, S.; Zhao, X.; Liu, Y.; Wang, S.; Song, T.E. Alternating Iterative Power-Flow Algorithm for Hybrid AC–DC Power Grids Incorporating LCCs and VSCs. Sustainability 2023, 15, 4573. [Google Scholar] [CrossRef]
- Li, R.; Li, Y.; Chen, X. A Control Method for Suppressing the Continuous Commutation Failure of HVDC Transmission. Proc. CSEE 2018, 38, 5029–5042. [Google Scholar]
- Wang, J.; Zheng, R.; Fu, C.; Wu, Q. A Method Based on Constant Reactive Power Control of Inverter to Suppress the Subsequent Commutation Failure in HVDC System. Trans. China Electrotech. Soc. 2023, 7, 1544–1554. [Google Scholar]
- Zhao, J.; Li, X.; Zhang, J.; Chen, Z. Assessment of commutation failure under asymmetric fault in the HVDC inverter side. In Proceedings of the 2021 Annual Meeting of CSEE Study Committee of HVDC and Power Electronics, Hybrid Conference, China, 28–30 December 2021; pp. 51–56. [Google Scholar]
- Guo, C.; Zhao, J.; Liu, W. A review of methods to mitigate the commutation failure for LCC-HVDC. Proc. CSEE 2018, 38, 1–10. [Google Scholar]

















| Short-Circuit Impedance/Ω | Minimum Turn-Off Angle/° | Calculated Values for Approach 1/pu | Calculated Values for Approach 2/pu | Calculated Values for Approach 3/pu | Simulation Values/pu |
|---|---|---|---|---|---|
| 139 | 5 | 0.910 | 0.980 | 0.942 | 0.946 |
| 147 | 6 | 0.918 | 0.981 | 0.947 | 0.949 |
| 159 | 7 | 0.926 | 0.984 | 0.952 | 0.953 |
| 163 | 7.2 | 0.929 | 0.984 | 0.953 | 0.954 |
| 175 | 8 | 0.936 | 0.986 | 0.958 | 0.957 |
| 202 | 9 | 0.946 | 0.989 | 0.964 | 0.964 |
| Minimum Turn-Off Angle/° | Errors of Approach 1/% | Errors of Approach 2/% | Errors of the Approach in This Paper/% |
|---|---|---|---|
| 5 | 3.81 | 3.59 | 0.42 |
| 6 | 3.27 | 3.37 | 0.21 |
| 7 | 2.83 | 3.25 | 0.11 |
| 7.2 | 2.62 | 3.05 | 0.11 |
| 8 | 2.19 | 3.03 | 0.10 |
| 9 | 1.88 | 2.59 | 0.09 |
Disclaimer/Publisher’s Note: The statements, opinions and data contained in all publications are solely those of the individual author(s) and contributor(s) and not of MDPI and/or the editor(s). MDPI and/or the editor(s) disclaim responsibility for any injury to people or property resulting from any ideas, methods, instructions or products referred to in the content. |
© 2023 by the authors. Licensee MDPI, Basel, Switzerland. This article is an open access article distributed under the terms and conditions of the Creative Commons Attribution (CC BY) license (https://creativecommons.org/licenses/by/4.0/).
Share and Cite
Wang, Y.; Wang, H.; Wu, J. Analysis of Asymmetric Fault Commutation Failure in HVDC System Considering Instantaneous Variation of DC Current. Sustainability 2023, 15, 11796. https://doi.org/10.3390/su151511796
Wang Y, Wang H, Wu J. Analysis of Asymmetric Fault Commutation Failure in HVDC System Considering Instantaneous Variation of DC Current. Sustainability. 2023; 15(15):11796. https://doi.org/10.3390/su151511796
Chicago/Turabian StyleWang, Yufei, Haiyun Wang, and Jiahui Wu. 2023. "Analysis of Asymmetric Fault Commutation Failure in HVDC System Considering Instantaneous Variation of DC Current" Sustainability 15, no. 15: 11796. https://doi.org/10.3390/su151511796
APA StyleWang, Y., Wang, H., & Wu, J. (2023). Analysis of Asymmetric Fault Commutation Failure in HVDC System Considering Instantaneous Variation of DC Current. Sustainability, 15(15), 11796. https://doi.org/10.3390/su151511796
