Abstract
Leasing is an important sustainable PSS model of recycling smartphones, and they have emerged as a crucial component of retailers’ business evolution in recent times. Using hybrid selling–leasing transformations, retailers not only provide selling services but also leasing services, which not only increases revenue sources but also triggers internal competition. Due to this, retailers are reluctant to promote smartphone leasing. How can we enhance retailers’ motivation to promote smartphone leasing? This paper aims to answer this question by exploring the potential of a manufacturer’s buyback program and analyzing three price decision models: pure selling (S), hybrid selling–leasing without a buyback program (SL), and hybrid selling–leasing with a buyback program (HSL). The results show that (1) when consumers’ acceptance of leasing is moderate, retailers can benefit from hybrid selling–leasing transformation. (2) If the manufacturer chooses to buy back used leasing smartphones from the retailer, it is advisable to set a high buyback price that is at least equal to their residual value. (3) The buyback program can increase consumers’ leasing demand and manufacturer’s profits, as well as decrease the environmental impact of the supply chain system. More importantly, it has the potential to drive retailers to conduct hybrid selling–leasing transformation and can establish a positive correlation between retailers’ profits and consumers’ acceptance of leasing. This means that buyback programs can promote smartphone leasing and can be beneficial for smartphone recycling and urban sustainable development.
1. Introduction
The rapid acceleration of technological innovation has resulted in the swift upgrading and replacement of smartphones, leading to a staggering surge in waste smartphones [1]. For instance, between 2016 and 2021, the theoretical amount of waste smartphones in China witnessed a significant increase (Figure 1). According to the survey by the China Association of Circular Economy, 22.7% of Chinese consumers will replace their smartphones in less than a year, and 49.5% of them will leave their idle smartphones ‘hibernating’ at home [2]. This unsustainable consumption pattern causes a serious waste of resources, which is not conducive to the sustainable development of smart urban development. Changing this unsustainable consumption pattern to recycle these waste smartphones in a timely and formal manner is critical to achieving low-carbon, circular, and sustainable smart urban development [3].
Figure 1.
Theoretical waste amount of smartphones in China from 2016 to 2021.
As a sustainable PSS business model, leasing is a primary means of reducing smartphone idleness and recycling smartphones in a formal and timely manner [4,5]. In this model, the leaser offers a smartphone device along with additional services such as maintenance, upgrades, replacements, and customer support. Customers can just lease smartphones for a certain period of time and pay a regular fee to use the latest smartphones without having to make a large upfront payment. Unlike laptops, whose lessees are mainly small- and medium-sized enterprises and whose leasing period is usually indefinite, smartphones’ lessees are mainly individuals, and their leasing period is usually fixed (e.g., one year) because of their short life cycle and rapidly changing technologies. When consumers lease instead of purchase, smartphone supply chain members will need to consider not only what happens the moment a smartphone is leased but also how they can extend the smartphone’s life cycle to promote reuse and support sustainability [6].
More recently, the advent of Industry 4.0 technologies has propelled the growth of circular, shared, functional, and low-carbon economies, paving the way for the rise of sustainable and eco-friendly leasing consumption [7,8]. More and more retailers who used to only sell smartphones have started to provide parallel selling and leasing services to meet the diverse needs of consumers [9]. A number of domestic retailers in China, such as JD.com, Gome, and Dixintong, have carried out hybrid selling–leasing transformation by offering smartphone leasing services for individuals [10,11]. By means of demand segmentation, hybrid selling–leasing transformations provide great convenience to consumers and provide more profits to retailers, but also induce internal competition between retailers’ leasing and selling businesses [12].
Due to this competition, many retailers are hesitant to take measures to promote smartphone leasing. These measures include investing in technology to address security concerns, offering more flexible leasing options, promoting the environmental benefits of leasing smartphones, and so on. Although JD.com first offered smartphone leasing services in 2017, its investment in publicity and technology for the leasing business has been relatively small. For example, other leasing agencies have already implemented blockchain technology to address trust and security concerns, but JD.com has not yet followed their lead [13,14]. Consequently, JD.com’s smartphone leasing market remains lackluster [15]. Given that retailers have a unique advantage in terms of customer sources, such as JD.com’s 588.3 million annual active customers, a lack of enthusiasm for the leasing market could impede the promotion of smartphone leasing.
In reality, retailers purchase new smartphones from manufacturers and can choose to provide new smartphone leasing services for a fixed period of time; if new smartphone leasing services are provided, consumers may choose to rent and use new smartphones for a period of time and then return the used leasing smartphones when the lease is up. Then, retailers can formally dispose of and obtain residual value from these used leasing smartphones on an external market. Additionally, because of the high residual value and low reuse cost of used leasing smartphones, a leading manufacturer may benefit from buying back and formally disposing of them, leading to more smartphones being leased out [16,17,18].
Therefore, this paper mainly considers the following main situation: a retailer who purchases new smartphones from a manufacturer and sells and leases these new smartphones simultaneously. After the new smartphones are leased out for a relatively short period by the retailer, the used ones are returned to the retailer by consumers, and if the manufacturer chooses not to provide a buyback program, the retailer will formally dispose of the used leasing smartphones and obtain their residual value, but if the manufacturer does choose to provide a buyback program, they will repurchase the used leasing smartphones, and then formally dispose of them and obtain their residual value themselves. Combined with the above analysis, the following questions are explored.
- (1)
- How does the manufacturer set buyback prices when buying back used leasing smartphones from the retailer selling and leasing smartphones simultaneously?
- (2)
- How does the buyback program affect demand, profits, consumer surplus, social welfare, and the environmental impact of the supply chain system?
- (3)
- Can and how does the buyback program enhance the retailer’s motivation to promote smartphone leasing?
To address the aforementioned questions, a Stackelberg game model framework that includes a manufacturer as the leader, a retailer as the follower, and consumers with the same acceptance of leasing smartphones is established. Three different price decision models are analyzed: pure selling (S), hybrid selling–leasing without a buyback program (SL), and hybrid selling–leasing with a buyback program (HSL), considering retailers’ different business models and manufacturer’s different buyback behaviors. After obtaining optimal price decisions, equilibrium solutions under the three models are discussed, and then the influence of consumers’ acceptance of leasing and the residual value of used leasing smartphones is studied. Finally, numerical analyses are used to verify the conclusions of this study. The main innovative points are as follows.
- (1)
- As far as we know, this is the first paper considering a manufacturer buyback scheme for used leasing smartphones from a retailer leasing and selling smartphones simultaneously in a circular economy. This paper fills the research gap of how manufacturers set the price when considering buying back used leasing smartphones from retailers leasing and selling smartphones simultaneously.
- (2)
- Some papers have paid attention to internal competition between leasing and selling businesses, but few papers have paid attention to the effect of buyback programs on this internal competition. Based on market competition theory, consumer utility theory, and game equilibrium theory, this paper mainly analyzed the effect of buyback programs on the smartphone leasing and selling market to provide theoretical guidance for the implementation of buyback programs while smartphone leasing and sale demand coexist.
- (3)
- In addition, this paper studies the interactive environmental impact of the manufacturer’s buyback program and the retailer’s hybrid selling–leasing transformation on supply chain system.
The key findings and major contributions are as follows:
- (1)
- If consumers’ acceptance of leasing is moderate, the retailer will benefit from hybrid selling–leasing transformation. If the manufacturer chooses to buy buck used leasing smartphones from the retailer, he should set a high buyback price that is not lower than the residual value of used leasing smartphones.
- (2)
- The buyback program cannot change the leasing price, but it can increase selling price, leasing demand, and manufacturer’s profits, as well as decrease the supply chain’s environmental impact. Additionally, if the consumers’ acceptance of leasing is relatively low, it has the potential to drive a retailer’s shift towards hybrid selling–leasing transformation. Hybrid selling–leasing transformation of the retailer will not only provide more convenience to consumers but also promote the development of leasing as a sustainable consumption pattern.
- (3)
- After the hybrid selling–leasing transformation, without a buyback program, only the manufacturer has an incentive to promote smartphone leasing by improving consumers’ acceptance of leasing; with a buyback program, both the manufacturer and retailer have an incentive to promote smartphone leasing by improving consumers’ acceptance of leasing. As consumers’ acceptance of leasing improves, more smartphones will be rented out, and this will greatly reduce the likelihood of smartphone idleness and will be beneficial for resource recycling and sustainable urban development.
The remainder of this paper is organized as follows. Section 2 reviews the related literature. Section 3 provides details about the assumptions and models. Section 4 presents the models and equilibrium results. Section 5 compares the equilibrium results. Section 6 conducts sensitivity and numerical analysis. Section 7 provides an extension to the analysis. Section 8 concludes the article and outlines future research directions. All proofs are provided in the Appendix A.
2. Literature Review
The related literature to this article includes the following streams: (1) hybrid selling–leasing strategy, (2) buyback programs, and (3) smartphone leasing.
2.1. Hybrid Selling–Leasing Strategy
Many scholars have pointed out that leasing is a circular economy model [19]. Leasing has many advantages compared with selling, such as improving the environmental performance of firms by pooling customer needs and improving the economic performance of firms by avoiding the problem of time inconsistency [20,21]. In many scenarios, a hybrid selling–leasing strategy is the best choice for enterprises rather than only leasing. Desai and Purohit proved that hybrid selling–leasing may be the optimal strategy for firms when the competition between firms is not too intense, and the optimal fraction of leasing decreases as the competition between firms intensifies [22]. Bhaskaran and Gilbert found that hybrid selling and leasing can balance the firms’ strategic commitment across both their own market and the complementary market [23]. Tilson et al. pointed out that selling and leasing are the mechanisms used for price discrimination in the retail market [24]. The research of Xiong et al. indicated that manufacturer encroachment has an important impact on a dealer’s adoption of a hybrid selling–leasing strategy [9]. Gilbert et al. discovered that selling can help the firm to discriminate among consumers of different usage frequencies, while leasing can help the firm to discriminate according to consumers’ realized valuations; therefore, it is often optimal for the firm to adopt a hybrid selling–leasing strategy [25]. Agrawal and Bellos found that leasing can pool customer needs, and under strong pooling, the hybrid selling–leasing strategy is more profitable and environmentally superior [20]. Furthermore, considering selling and leasing products with vertical differentiation, Yu et al. pointed out that when the product is easy to rent, has a strong pooling effect, or has a high residual value, the hybrid selling–leasing strategy is more profitable [26]. When the probability of the product being liked by consumers and the utility of the leasing period being obtained by consumers is high, Jalili et al. found that purchase conversion discounts can increase the profit of a firm that provides selling and leasing services simultaneously [27]. In fact, the purchase conversion is one of the various ways to obtain residual value from used leasing products. In addition, the residual value of used leasing products also can be obtained via remanufacturing. Considering remanufacturing used leasing products, Liu et al. argued that when the cost of remanufacturing is low enough, manufacturers can benefit by adopting a hybrid selling–leasing strategy and remanufacturing used leasing products [28].
The above literature explains why, when, and how firms conduct hybrid selling–leasing transformation from different angles and neglect an important practical problem after the transformation, which is how to cultivate and expand the leasing market. In contrast to the above literature, we aim to coordinate internal competition between retailers’ new smartphone leasing and selling businesses using manufacturer buyback programs in order to encourage more consumers to rent new smartphones.
2.2. Buyback Program
Buyback programs are widely used in supply chain management. In a pure-selling supply chain, manufacturers can choose to buy back unsold products from retailers in order to encourage them to order more products when consumers’ demand is uncertain [29]. Pasternak was the first to use quantitative analysis to study the impact of buyback programs on supply chains and found that Pareto improvement in terms of expected profit can be achieved when a manufacturer buys back unsold products from a retailer at a price lower than the wholesale price [30]. After that, Padmanabhan explained in detail when and how manufacturers can adopt returns programs [31]. Then, based on different scenarios, the influence of buyback programs was studied by numerous scholars using quantitative analysis. Considering the risk attitude of the manufacturer and retailer, Lau et al. pointed out that buyback programs can help the manufacturer extract more profit but may not be beneficial to the retailer [32]. Lau et al. proved that setting a buyback price that is not less than zero benefits the manufacturer much more than the retailer [33]. Furthermore, Granot et al. confirmed that the introduction of buyback programs can increase wholesale and retail prices [34]. By quantifying the uncertainty level of the market demand, Zhao et al. found that buyback programs are simultaneously beneficial for the manufacturer, the retailer, and the supply chain system with an intermediate level of uncertainty [35]. For disruptions of stochastic demand, the research of Ji et al. showed that a heuristic transshipment-before-buyback (TBB) program is theoretically better than a classical pure buyback program [36]. Xue et al. showed that offering a buyback contract to two competing retailers can benefit every channel member, even if the competition level is high [37]. Even in the absence of demand uncertainty, Doganoglu et al. found that a buyback contract may help the manufacturer maximize its profits by alleviating the opportunism problem that arises due to strategic uncertainty [38]. Chen, Wu et al., and Zhang et al. confirmed that a buyback contract can change the retailer’s information-sharing decision and help the manufacturer acquire more information [39,40,41]. Additionally, Gong et al. and Li et al. studied the effect of buyback contracts on the retailer’s returns policy and ordering policy, respectively [42,43].
The above literature confirms that manufacturer buyback schemes, where they formally dispose of and capture the residual value of unsold products by themselves, are a common supply chain coordination strategy. Unlike the above literature, this paper considers a manufacturer buying back, dealing with, and capturing the residual value of used leasing smartphones from a retailer employing a hybrid selling and leasing strategy for new smartphones. For instance, manufacturers often buy back used leasing cars from leasing agencies. Considering a supply chain in which a manufacturer markets cars using a leasing agency that just leases cars and a retailer that just sells cars, early research has confirmed that the profits of the manufacturer and the retailer can be increased if the manufacturer buys back used leasing cars and then sells them through the retailer [16,17]. Furthermore, considering the sequencing of pricing decisions, the recent research of Esenduran et al. found that the manufacturer obtains lower profits when a buyback price is promised in advance [18]. Unlike the research of Purohit, Staelin, and Esenduran et al., this paper considers a supply chain in which a manufacturer markets smartphones through a retailer that provides new smartphone hybrid selling and leasing services and focuses on the role of buyback programs in promoting the retailer’s leasing business and optimizing the supply chain’s environmental effects.
2.3. Smartphone Leasing
Initially, smartphone leasing was introduced as a solution to the rising costs of phones, exacerbated by the costly integration of 5G technology, which increased production expenses when compared to 4G models [44]. In the circular economy, Hobson et al. called for collaboration among all supply chain parties to promote the transformation of leasing smartphones and achieve sustainable development [4]. Mashhadi et al. studied the factors that can improve consumers’ acceptance of smartphone leasing. Their research revealed that the quality of leasing services plays a pivotal role in shaping consumers’ attitudes towards smartphone leasing, while consumer education and market competition also exert a significant influence. To foster greater acceptance of smartphone leasing, the authors recommend enhancing the quality of leasing services, intensifying promotional efforts, and widening the price gap between purchasing and leasing smartphones [7]. Furthermore, Rousseau found that environmental concerns, financial considerations, and a desire to own the latest model were stated as possible drivers for leasing smartphones. However, information security is the number one requirement for consumers leasing smartphones [45]. The above research mainly focuses on what measures should be taken to enhance consumers’ acceptance of smartphone leasing.
Differing from the above literature, this study constructs a quantitative analysis model of consumer’s leasing and purchasing choices. It explores the role and influence of manufacturers or retailers in the smartphone leasing market and establishes whether they are willing to take measures to enhance consumers’ acceptance of smartphone leasing.
3. Problem Descriptions
This section will describe three different price decision models in detail, presenting the relevant parameters and research hypotheses based on realistic abstractions.
In a supply chain consisting of one manufacturer and one retailer [31], the manufacturer (M), which can adopt a buyback program, uses the retailer (R) to market its new smartphones, which can choose to only provide a selling service or provide a mix selling and leasing service for new smartphone to consumers. Based on the retailer’s different business mode choices and the manufacturer’s different buyback decisions, three different price decision models, as shown in Figure 2, are formed: pure selling (S), hybrid selling–leasing without a buyback program (SL), hybrid selling–leasing with a buyback program (HSL).
Figure 2.
Three different price decision models.
In model S, the retailer only sells new smartphones. In model SL, the retailer sells and rents new smartphones at the same time. Used leasing smartphones are returned by consumers and dealt with by the retailer. In model HSL, the retailer sells and rents new smartphones at the same time, too, but after being returned by consumers, used leasing smartphones are repurchased and dealt with by the manufacturer. We assume that both the manufacturer and retailer can formally dispose of all used leasing smartphones on an external market to obtain their residual value; the residual value of a used leasing smartphone unit is re; re is exogenous and less than c (0 ≤ c ≤ 1), which is the unit cost of producing a new smartphone [30,31].
We assume that the manufacturer and retailer decide the price by playing Stackelberg games. The manufacturer is a leader, and the retailer is a follower. In model S, the manufacturer first decides the wholesale price wS, and then the retailer decides the selling price pS. In model SL, the manufacturer first decides the wholesale price wSL, and then the retailer decides the selling price pSL and the leasing price rSL. In model HSL, the manufacturer first decides the wholesale price wHSL and the buyback price bHSL, and then the retailer decides the selling price pHSL and the leasing price rHSL.
We assume that the total market size of new smartphones is 1, and consumers value their purchased new smartphone as , uniformly distributed over the range [0,1] [27]. It is also assumed that the leasing period of a new smartphone is less than its lifespan. When consumers rent new smartphones, they cannot enjoy their full value and must return them on time. Therefore, there is a discount on the value of a leased new smartphone as compared to a purchased new smartphone. Consumers value their leased new smartphone as αv, and α (α ≥ 0) is used to denote consumers’ acceptance of leasing. A similar assumption can be seen in the studies of Jalili et al. and Liu et al. [27,28]. The value of α is affected by numerous factors, such as the manufacturer’s smartphone replacement speed, the retailer’s leasing service level, consumers’ individual needs and preferences, and others [4,7,46]. α = 0 represents the situation where consumers consider the value of a leased smartphone to be zero. α = 1 represents the situation where consumers consider the value of a leased smartphone to be equal to the value of a purchased smartphone.
In model S, according to consumer utility theory and game pricing theory [47,48,49], consumers choose to buy new smartphones based on the principle of utility maximization. The utility that a consumer obtains by buying a new smartphone at price is . Let , where consumers in are buyers who buy new smartphones, and consumers in do not buy new smartphones; thus, the selling quantity of new smartphones is . The wholesale quantity of new smartphones is . Consumer surplus is .
In model (), according to consumer utility theory and game pricing theory [47,48,49], consumers choose to buy or rent a new smartphone or do neither, based on the principle of utility maximization. The utility that a consumer obtains by buying a new smartphone at price is , and the utility that a consumer obtains by renting a new smartphone at price is . When and , we can obtain and ; according to [50,51], consumers in do not buy or rent new smartphones, consumers in choose to rent new smartphones, and consumers in choose to buy new smartphones; therefore, the selling quantity of new smartphones is , the leasing quantity of new smartphones is , and the wholesale quantity of new smartphones is . Consumer surplus is .
In model (), the profits of the manufacturer, retailer, and supply chain are , , and , respectively, the total social welfare is , the environmental impact of new selling (leasing) smartphones is () [52], and the environmental impact of the supply chain system is . As the smartphones that are sold out have the possibility of being idle, we assume that .
4. Modeling and Solving
This section will establish pricing decision models and solve them.
4.1. Pure Selling (Model S)
In model S, the pricing decision model is as follows.
Backward induction is adopted to solve this problem, and the equilibrium results are presented in Lemma 1.
Lemma 1.
In model S, the equilibrium decision results are as follows.
| Wholesale price () | |
| Selling price () | |
| Wholesale quantity () | |
| Selling quantity () | |
| Profit of manufacturer () | |
| Profit of retailer () | |
| Profit of supply chain () | |
| Consumer surplus () | |
| Social welfare () |
Proof of Lemma 1.
See Appendix A. ☐
4.2. Hybrid Selling–Leasing without a Buyback Program (Model SL)
In model SL, the pricing decision model is as follows.
Backward induction is adopted to solve this problem, and the equilibrium results are presented in Lemma 2.
Lemma 2.
In model SL, the equilibrium decision results are as follows.
| Wholesale price () | |
| Leasing price () | |
| Selling price () | |
| Wholesale quantity () | |
| Leasing quantity () | |
| Selling quantity () | |
| Profit of manufacturer () | |
| Profit of retailer () | |
| Profit of supply chain () | |
| Consumer surplus () | |
| Social welfare () |
Proof of Lemma 2.
See Appendix A. ☐
To guarantee the nonexistence of negative purchasing and leasing demand, the condition (, ) needs to be satisfied. In other words, consumers’ acceptance of leasing varies within a certain range. Within this range, it makes sense for the retailer to provide a mixed selling and leasing service to the consumers.
4.3. Hybrid Selling–Leasing with Buyback Program (Model HSL)
In model HSL, the price game model is the following:
Backward induction is adopted to solve this problem, and the equilibrium results are presented in Lemma 3.
Lemma 3.
In model HSL, the equilibrium decision results are as follows.
| Wholesale price () | |
| Buyback price () | |
| Leasing price () | |
| Selling price () | |
| Wholesale quantity () | |
| Leasing quantity () | |
| Selling quantity () | |
| Profit of manufacturer () | |
| Profit of retailer () | |
| Profit of supply chain () | |
| Consumer surplus () | |
| Social welfare () |
Proof of Lemma 3.
See Appendix A. ☐
To guarantee the nonexistence of negative purchasing and leasing demand, the condition () needs to be satisfied. In other words, consumers’ acceptance of leasing varies within a certain range. Within this range, it makes sense for the retailer to provide a mixed selling and leasing service to the consumers.
5. Comparisons and Analysis
This section will compare the equilibrium decision results, as well as analyze the influence of consumers’ acceptance of leasing and the residual value of used leasing smartphones.
5.1. Comparisons of Three Models
Lemma 4.
The consumers’ acceptance of leasing has the following property: .
Proof of Lemma 4.
See Appendix A. ☐
Lemma 4 indicates that a buyback program has the potential to drive a retailer’s shift toward a hybrid selling–leasing transformation. In model SL, when consumers’ acceptance of leasing is in the range [α0, α1], new smartphone purchasing and leasing demand coexist. In model HSL, when consumers’ acceptance of leasing is in the range [α2, α1], new smartphone purchasing and leasing demand coexist. If the manufacturer chooses to buy back used leasing smartphones, even with low consumers’ acceptance of leasing, new smartphone purchasing and leasing demand may coexist. Lemma 4 confirms that buyback programs have the potential to drive a retailer to conduct a hybrid selling–leasing transformation.
Proposition 1.
The equilibrium price has the following properties:
- (1)
- ;
- (2)
- ;
- (3)
- ;
- (4)
- .
Proof of Proposition 1.
See Appendix A. ☐
Proposition 1(1) shows that the wholesale price of new smartphones in model S and HSL is identical, and both are higher than that in model SL. This suggests that if manufacturers do not buy back used leasing smartphones, they should lower the wholesale price to maximize their profits in response to retailers’ hybrid selling–leasing transformation. However, if manufacturers choose to buy back used leasing smartphones, they should not adjust the wholesale price in response to retailers’ hybrid selling–leasing transformation.
Proposition 1(2) shows that the selling price of new smartphones in model S and HSL is identical, and both are higher than that in model SL. This suggests that the buyback program is beneficial for new smartphone leasing, as a higher selling price may encourage consumers to opt for smartphone leasing instead of purchasing.
Proposition 1(3) shows that the leasing price of new smartphones in model SL and HSL is identical. It can be understood that when retailers set the leasing price, the production cost of the smartphone, consumers’ acceptance of leasing, and the residual value of the used leasing smartphone are the main parameters that should be considered.
Proposition 1(4) reveals a surprising outcome. To assist the retailer in reducing leasing costs, it is advisable for the manufacturer to set a higher buyback price for used leasing smartphones rather than solely focusing on profiting from the buyback program by setting a lower buyback price.
Let and , respectively, represent the difference between equilibrium leasing and selling prices in the SL and HSL modes.
Lemma 5.
The differences between equilibrium selling and leasing prices are the following properties:
- (1)
- ;
- (2)
- and increase as decreases and increase.
Proof of Lemma 5.
See Appendix A. ☐
Lemma 5 shows that the difference between the equilibrium selling and leasing price in model HSL is larger than that in model SL. This is because the leasing prices of smartphones are the same in models SL and HSL, but the selling price in model SL is higher than that in model HSL. A larger price difference could attract more consumers to lease new smartphones. At the same time, the lower the consumers’ acceptance of leasing, the higher the residual value of used leasing smartphone units, and the larger the difference between the equilibrium selling and leasing price.
Proposition 2.
The equilibrium demand has the following properties:
- (1)
- ;
- (2)
- ;
- (3)
- If , , if , .
Proof of Proposition 2
. See Appendix A. ☐
Proposition 2(1) shows that the wholesale quantity of new smartphones in model SL and HSL is the same, which is larger than that in model S. Therefore, retailers’ hybrid selling–leasing transformation can help manufacturers increase their market share.
Proposition 2(2) shows that the leasing quantity of smartphones in HSL is larger than that in model SL. This indicates that the buyback program can prompt the retailer to rent out more smartphones.
Proposition 2(3) shows that the selling quantity of new smartphones in model HSL is the smallest of the three models; when consumers’ acceptance of leasing is larger than a specific value, the selling quantity of new smartphones in model SL is smaller than that in model SL; otherwise, the selling quantity of smartphones in model SL is larger than that in model S. This indicates that as consumers become more accepting of leasing, the selling quantity will be greatly affected, so most retailers are reluctant to promote smartphone leasing.
Proposition 3.
The equilibrium profit has the following properties:
- (1)
- If , , ;
- (2)
- If , , if , ; if , .
Proof of Proposition 3.
See Appendix A. ☐
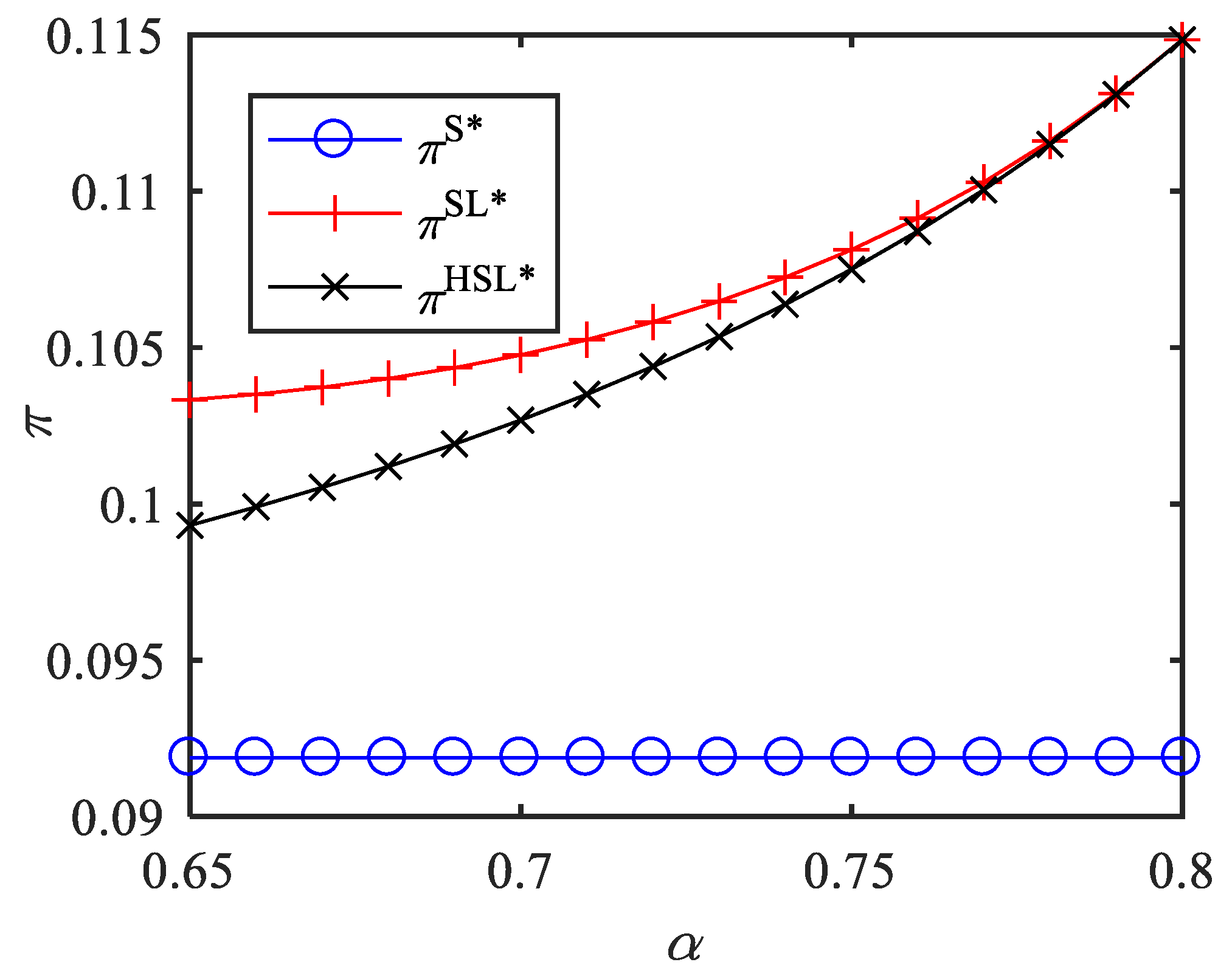
Proposition 3(1) shows that when consumers’ acceptance of leasing is in the range [α2, α0), the profits of the manufacturer and the retailer in model HSL are larger than those in model S. This indicates that when consumers’ acceptance of leasing is relatively low, if the manufacturer chooses to buy back used leasing smartphones, and the retailer chooses to provide a mixed selling and leasing service, there will be selling and leasing demand at the same time, and the manufacturer and the retailer can benefit from the simultaneous existence of a buyback program and hybrid selling–leasing transformation; however, when the manufacturer does not buy back used leasing smartphones, even though the retailer provides a mixed selling and leasing service, customers will not rent new smartphones.
Proposition 3(2) shows that when consumers’ acceptance of leasing is in the range [α0, α1], the profits of the retailer in model S are the smallest, the profits of the manufacturer in model HSL are the largest, the profits of the retailer in model SL are the largest, and if consumers’ acceptance of leasing is lower than α4, the profits of the manufacturer in model S are larger than that in model HSL. This indicates that when consumers’ acceptance of leasing is relatively high, the retailer can always benefit from their hybrid selling–leasing transformation because by offering mixed selling and leasing services, the retailer can effectively cater to both selling and leasing demand, leading to an increased market share. Additionally, if the manufacturer chooses to buy back used leasing smartphones from the retailer, they can always benefit from the retailer’s hybrid selling–leasing transformation. However, if the manufacturer does not buy back used leasing smartphones, they may suffer from the retailer’s hybrid selling–leasing transformation.
Proposition 4.
The equilibrium supply chain profit, consumer surpluses, and social welfare have the following properties:
- (1)
- If , , , ;
- (2)
- If , , , .
Proof of Proposition 4.
See Appendix A. ☐
Proposition 4(1) shows that when consumers’ acceptance of leasing is in the range [α2, α0), the supply chain profit, consumer surplus, and social welfare values in model HSL are larger than those in model S. This indicates that when consumers’ acceptance of leasing is relatively low, if the manufacturer chooses to buy back used leasing smartphones, and the retailer chooses to provide a mixed selling and leasing service at the same time, not only the manufacturer and the retailer but also the consumers, can all benefit from the retailer’s hybrid selling–leasing transformation. In some developing countries, such as China and India, where consumers usually demonstrate their success by owning products, and thus, their acceptance of smartphone leasing is generally low, the implementation of buyback programs is particularly important for both manufacturers and retailers.
Proposition 4(2) shows that when consumers’ acceptance of leasing is in the range [α0, α1], the supply chain profit, consumer surplus, and social welfare values in model SL are larger than those in model HSL, which are larger than those in model S. This highlights the fact that consumers can always benefit from a retailer’s hybrid selling–leasing transformation. However, the implementation of buyback programs leads to an increase in both wholesale and selling prices, which can have a negative impact on the dual marginal utility of the supply chain, resulting in a decrease in supply chain profit, consumer surplus, and social welfare.
To analyze the environmental impact of hybrid selling–leasing transformation and buyback programs, the environmental impacts of the supply chain system in model S, SL, and HSL were calculated, and they are , , and . By comparison, Proposition 5 can be established.
Proposition 5.
The environmental impacts of the supply chain system have the following properties:
- (1)
- If and , .
- (2)
- .
Proof of Proposition 5.
See Appendix A. ☐
Proposition 5(1) shows that when consumers’ acceptance of leasing is higher than the ratio of the environmental impact of leasing a smartphone unit to the environmental impact of selling a smartphone unit and the cost of a smartphone is lower than a certain threshold value, the environmental impact of the supply chain system in model SL is smaller than that in model S. This indicates that hybrid selling–leasing transformation can optimize the environmental impact of the supply chain system.
Proposition 5(2) shows that the environmental impact of the supply chain system in model HSL is smaller than that in model SL. This indicates that when the retailer chooses to provide a mixed selling and leasing service, if the manufacturer chooses to buy back used leasing smartphones at a certain high price, which is not less than their residual value, the leasing quantity will be increased, and the selling quantity will be decreased because the smartphones being sold have the possibility of not being recycled and reused in a timely and formal manner, so the buyback program will reduce the environmental impact of the supply chain system by promoting more smartphones being leased. Therefore, a buyback program can optimize the environmental impact of a supply chain system.
5.2. Influence Analysis of Parameters
The following analyzes the influence of consumers’ acceptance of leasing on the equilibrium price, demand, profit, consumer surplus, and environmental impact of models SL and HSL and obtains the corresponding properties.
Proposition 6.
In model SL,
- (1)
- As α increases, , , , , , and increase, while , , , and decrease.
- (2)
- As re increases, , , , , and increase, while , , and decrease, and and first decrease, and then increase.
Proof of Proposition 6.
See Appendix A. ☐
Proposition 6(1) shows that in model SL when consumers’ acceptance of leasing improves, the leasing quantity increases, but the selling quantity decreases; additionally, the total wholesale quantity, the wholesale price, the selling price, the leasing price, and the manufacturer’s profits all increase, while the retailer’s profits and the supply chain system’s environmental impact decrease. This indicates that if the manufacturer does not buy back used leasing smartphones, the retailer who provides a mixed selling and leasing service cannot directly benefit from the improved consumers’ acceptance of leasing. This is because the competition in the selling and leasing business causes a decrease in the selling quantity, and the combined effect of the decrease in the selling quantity and the increase in the wholesale price causes the retailer to lose too much profit. Therefore, the retailer generally lacks the motivation to promote their leasing business by increasing consumers’ acceptance of leasing. In contrast, the manufacturer can benefit from the improved consumers’ acceptance of leasing. As a result, they may be more motivated to promote leasing by improving consumers’ acceptance.
Proposition 6(2) shows that in model SL, when the residual value of a used leasing smartphone unit increases, the leasing price decreases, the leasing quantity increases, the selling quantity decreases, and the wholesale quantity increases, and so both the wholesale price and selling price increase. Because the wholesale quantity and wholesale price increase, the manufacturer’s profits also increase, and because the leasing quantity increases and the selling quantity decreases, the environmental impact of the supply chain system decreases. Additionally, unless the residual value of used leasing smartphones is higher than a certain threshold, the retailer’s profits and consumer surplus will decrease.
Proposition 7.
In model HSL,
- (1)
- As α increases, , , , , , and increase, , , decrease;
- (2)
- As re increases, , , , , , increase, , , decrease.
Proof of Proposition 7.
See Appendix A. ☐
Proposition 7(1) shows that in model HSL when consumers’ acceptance of leasing improves, the leasing quantity increases, but the selling quantity decreases; additionally, the total wholesale quantity, the leasing price, the manufacturer’s profits, and the retailer’s profits all increase, the buyback price and the supply chain’s environmental impact decrease, and the wholesale price and the selling price does not change. This demonstrates that if the manufacturer chooses to buy back used leasing smartphones from the retailer, the manufacturer, the retailer, and consumers, all can directly benefit from the improved consumers’ acceptance of leasing. This is because, even though the competition in the selling and leasing business induces a decrease in the selling quantity, the unchanging wholesale price allows the retailer to make more money from the leasing business. In essence, the buyback program can not only prompt the retailer to rent out more smartphones but can also prompt the retailer to become interested in improving consumers’ acceptance of leasing.
Proposition 7(2) shows that in model HSL, when the residual value of used leasing smartphones increases, the leasing price decreases, the buyback price increases, the leasing quantity increases, the selling quantity decreases, the wholesale quantity increases, and the wholesale price and the selling price do not change; because the wholesale quantity increases, the manufacturer’s profits also increase; because the buyback price and the leasing quantity increase, the retailer’s profits also increase; because the leasing price decreases, the consumer surplus increases; and because the leasing quantity increases and the selling quantity decreases, the environmental impact of the supply chain system decreases.
6. Numerical Simulations
This section designs numerical simulations to further verify the above conclusions. In order to make the simulation results more realistic and reliable [53], the parameter setting of the numerical simulations was based on real data, which came from the corresponding websites and are shown in Table 1.
Table 1.
The dataset used to describe the numerical simulation.
6.1. Impact of Consumers’ Acceptance of Leasing
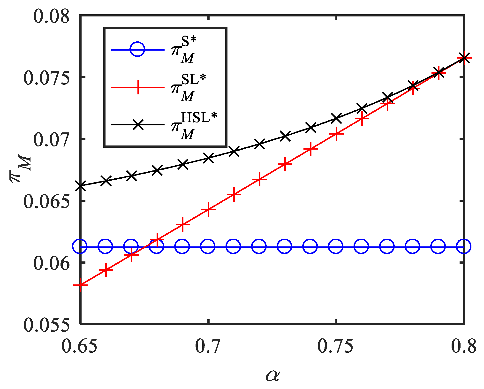
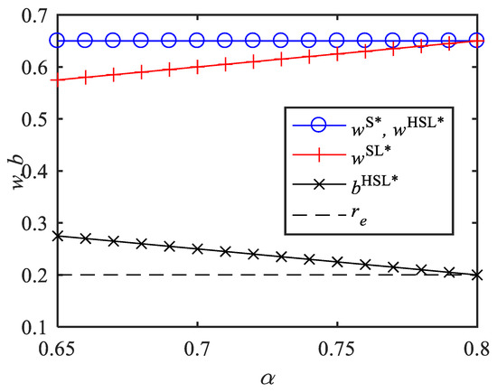
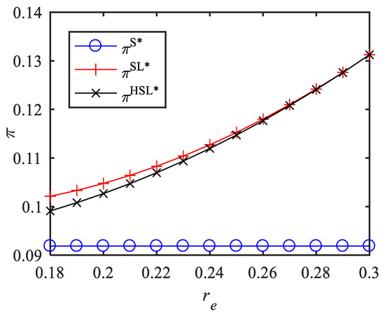
Without loss of generality, we set c = 0.3 and re = 0.2 by normalizing the data for the cost of a new iPhone and the selling price of a used iPhone in Table 1 (the selling price of a used iPhone is used to describe the residual value of a used leasing iPhone) [54]. To guarantee the nonexistence of a negative purchasing and leasing demand in model SL and HSL, α is defined to be in the range [0.65, 0.8]. The results are shown in Figure 3, Figure 4, Figure 5, Figure 6, Figure 7, Figure 8, Figure 9 and Figure 10.
Figure 3.
Impact of α on wholesale and buyback price.
Figure 4.
Impact of α on selling and leasing price.
Figure 5.
Impact of α on wholesale quantity.
Figure 6.
Impact of α on selling and leasing quantity.
Figure 7.
Impact of α on manufacturer’s profits.
Figure 8.
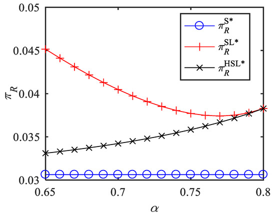
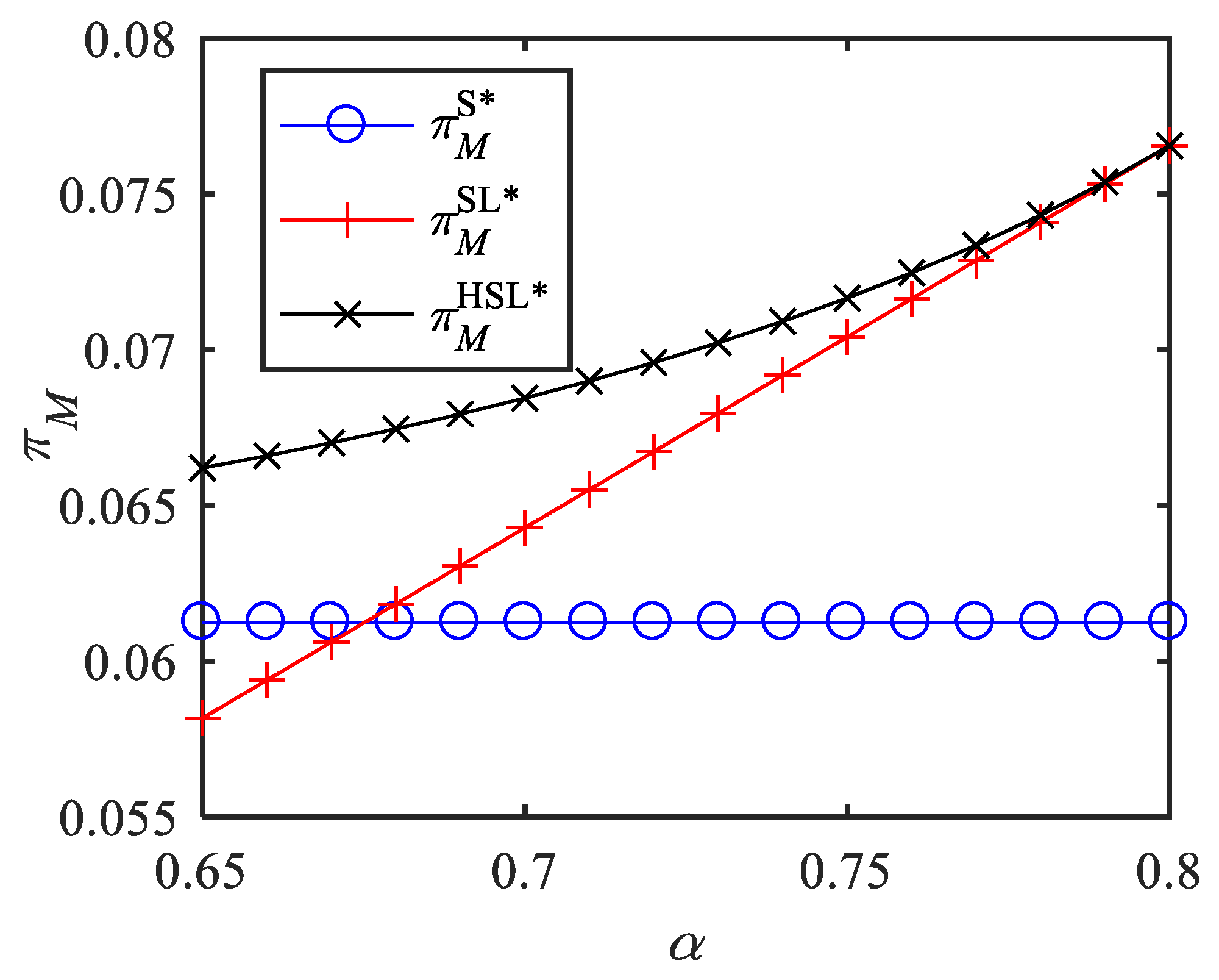
Impact of α on retailer’s profits.
Figure 9.
Impact of α on supply chain profit.
Figure 10.
Impact of α on consumer surplus.
Figure 3 illustrates that in response to the retailer’s hybrid selling–leasing transformation, if the manufacturer chooses to buy back used leasing smartphones, they should not adjust the wholesale price and set a high buyback price which is higher than the residual value of a used leasing smartphone unit, and as consumers’ acceptance of leasing improves, they should lower the buyback price, and not adjust the wholesale price.
Figure 4 illustrates that after the hybrid selling–leasing transformation, if the manufacturer chooses to buy back used leasing smartphones, the retailer should not adjust the selling price, and otherwise, the retailer should lower the selling price. Whether the manufacturer chooses to buy back used leasing smartphones or not, as consumers’ acceptance of leasing improves, the retailer should raise the leasing price.
Figure 5 illustrates that whether the manufacturer chooses to buy back used leasing smartphones or not, if the retailer conducts a hybrid selling–leasing transformation, the wholesale quantity will increase, and after the hybrid selling–leasing transformation, the wholesale quantity increases with consumers’ acceptance of leasing.
Figure 6 illustrates that after a hybrid selling–leasing transformation without a buyback program, the selling quantity will increase when consumers’ acceptance of leasing is relatively small. Additionally, after a hybrid selling–leasing transformation with a buyback program, the selling quantity will decrease with consumers’ acceptance of leasing, and the leasing quantity will increase with consumers’ acceptance of leasing.
Figure 7 illustrates that the manufacturer might lose profits due to the retailer’s hybrid selling–leasing transformation, but the implementation of a buyback program can serve as a solution to mitigate this risk. After a hybrid selling–leasing transformation, whether the manufacturer chooses to buy back used leasing smartphones or not, the manufacturer’s profits increase with consumers’ acceptance of leasing.
Figure 8 illustrates that whether the manufacturer chooses to buy back used leasing smartphones or not, a hybrid selling–leasing transformation can increase the retailer’s profits, while consumers’ acceptance of leasing satisfies certain conditions. After a hybrid selling–leasing transformation, if the manufacturer chooses to buy back used leasing smartphones, the retailer’s profits increase with consumers’ acceptance of leasing, and otherwise, the retailer’s profits decrease with consumers’ acceptance of leasing.
Figure 9 illustrates that whether the manufacturer chooses to buy back used leasing smartphones or not, a hybrid selling–leasing transformation can increase the supply chain profit, while consumers’ acceptance of leasing satisfies certain conditions. Additionally, after a hybrid selling–leasing transformation, whether the manufacturer chooses to buy back used leasing smartphones or not, the supply chain profit increases with consumers’ acceptance of leasing.
Figure 10 illustrates that whether the manufacturer chooses to buy back used leasing smartphones or not, a hybrid selling–leasing transformation can increase consumer surplus, while consumers’ acceptance of leasing satisfies certain conditions. After a hybrid selling–leasing transformation, if the manufacturer chooses not to buy back used leasing smartphones, consumer surplus decreases with consumers’ acceptance of leasing, and otherwise, the consumer surplus increases with consumers’ acceptance of leasing.
6.2. Impact of Residual Value
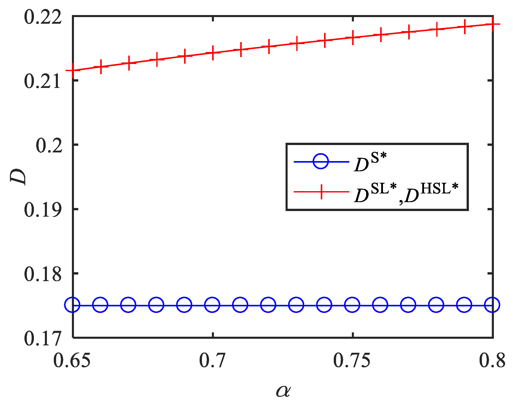
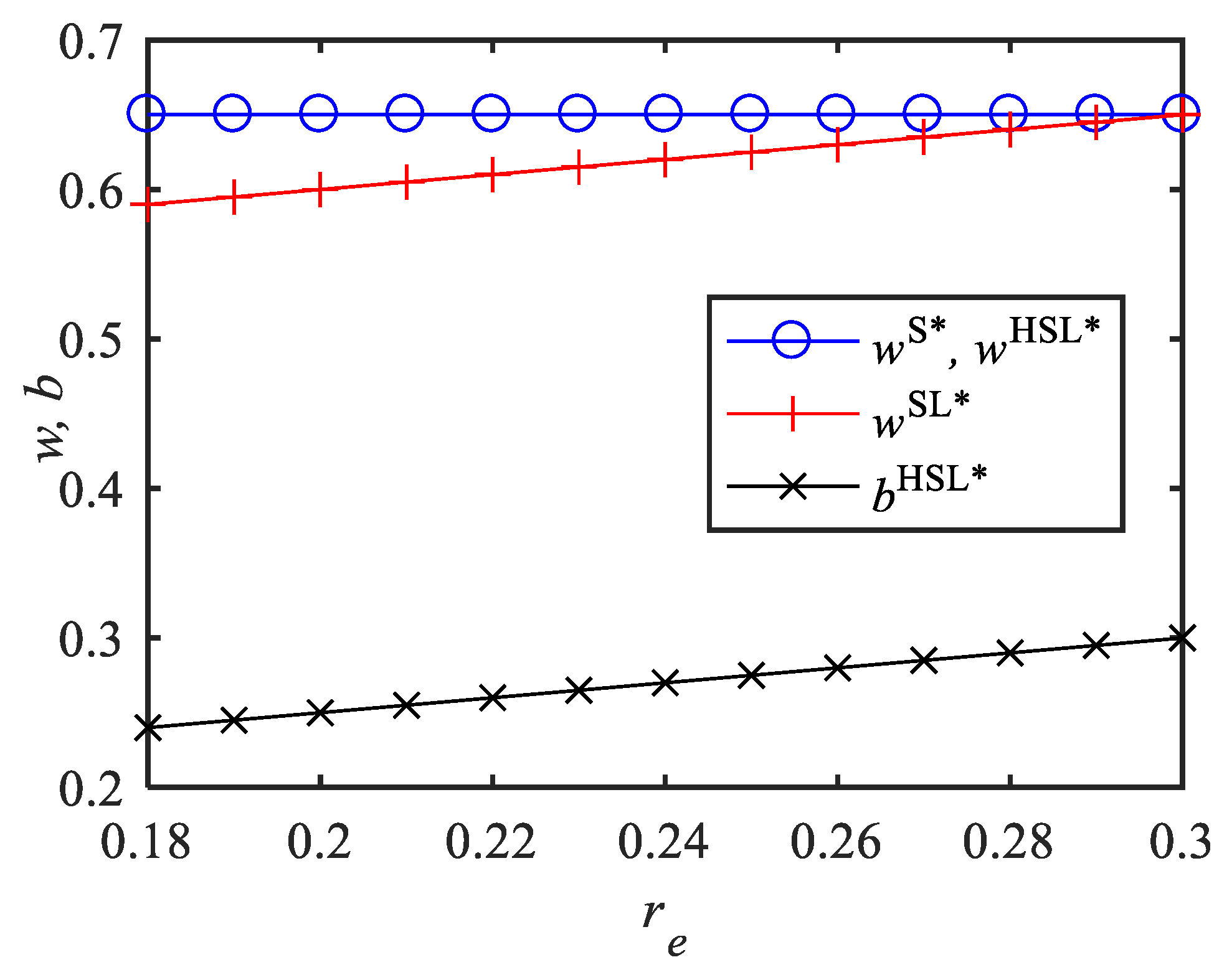
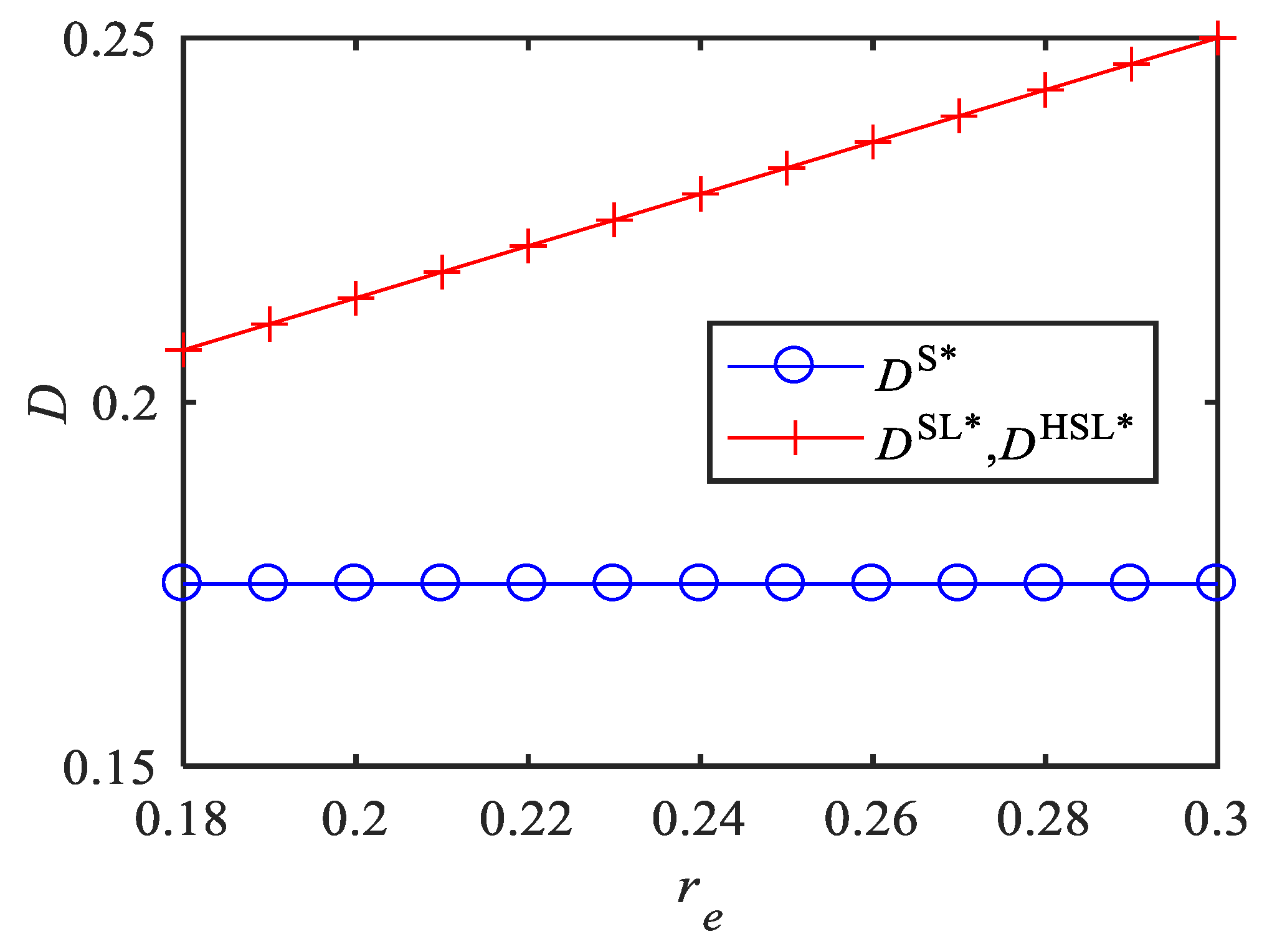
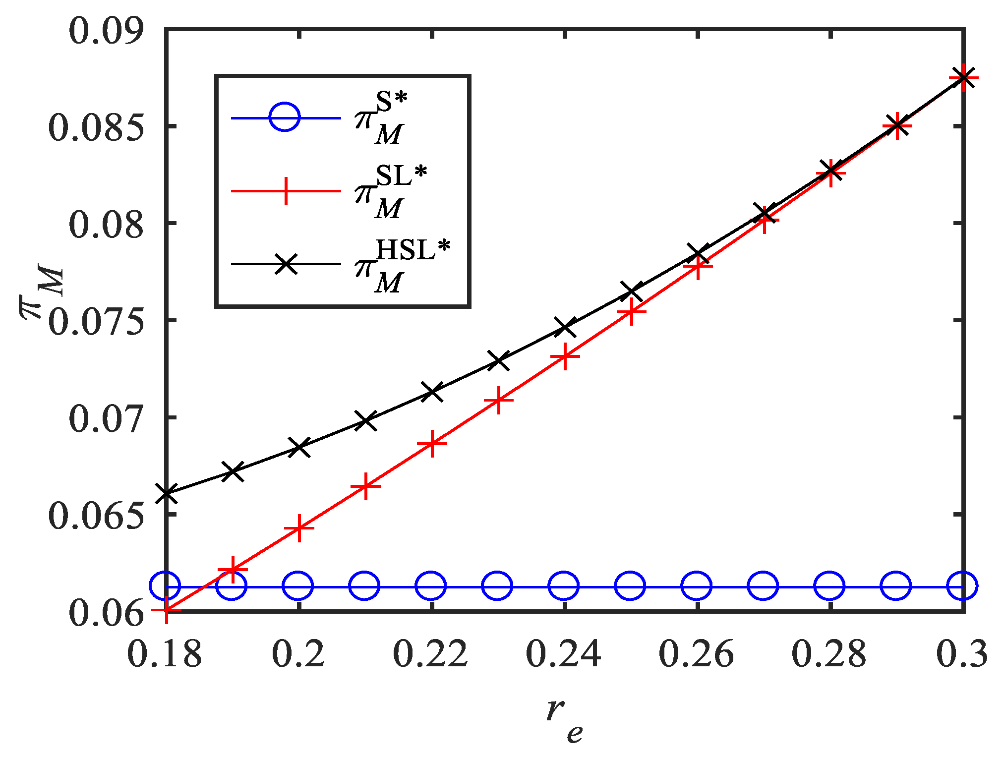
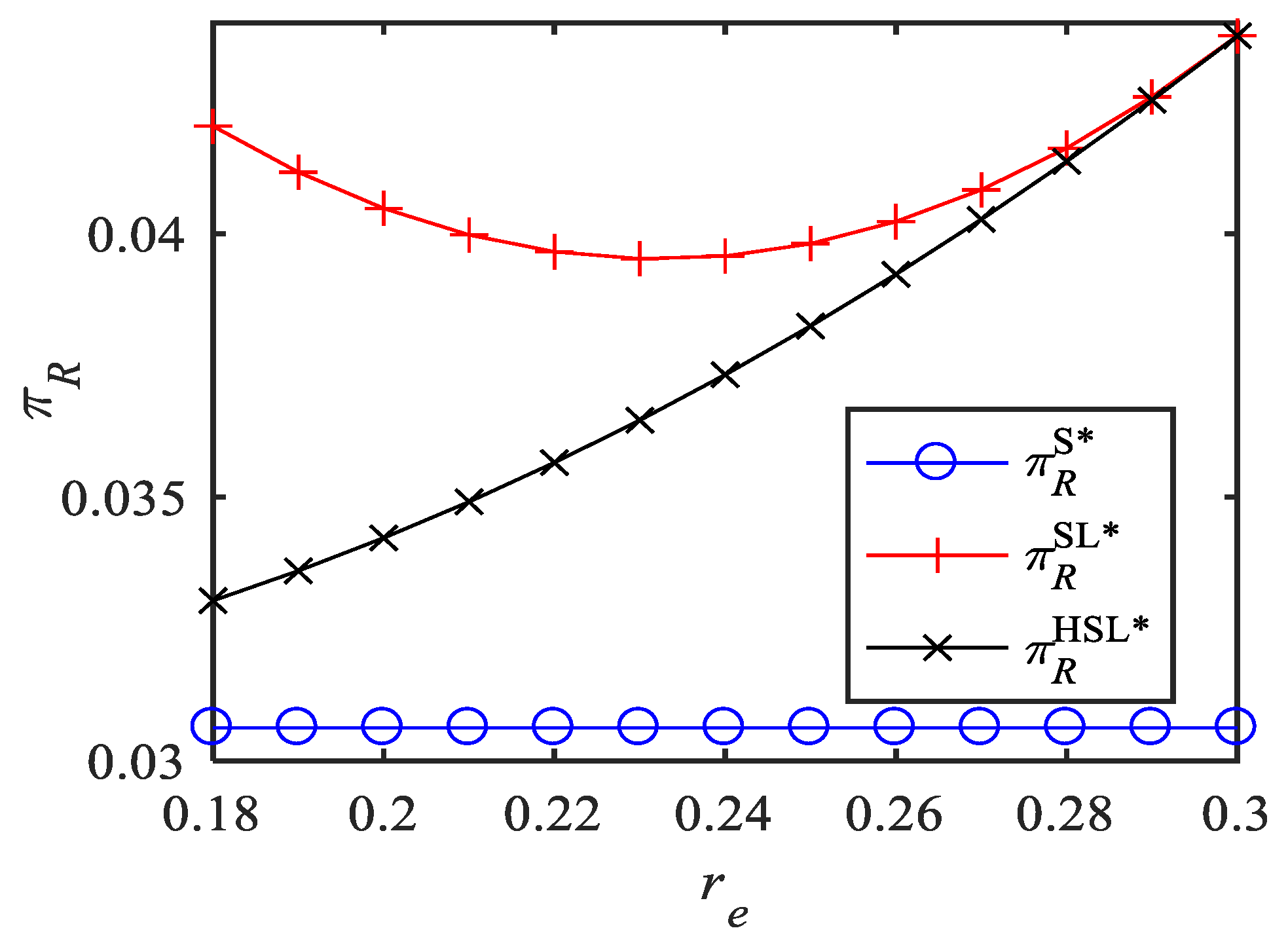
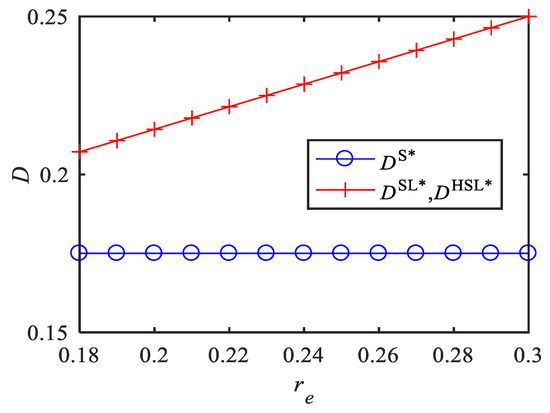
Without loss of generality, we set c = 0.3 by normalizing the data of the cost of a new iPhone in Table 1 and set α = 0.7 according to the following formula: (Leasing price of New iPhone)/(Selling price of New iPhone) [27,53]. To guarantee the nonexistence of a negative purchasing and leasing demand in model SL and HSL, re is defined to be in the range [0.18, 0.3]. The results are shown in Figure 11, Figure 12, Figure 13, Figure 14, Figure 15, Figure 16, Figure 17 and Figure 18.
Figure 11.
Impact of re on wholesale and buyback price.
Figure 12.
Impact of re on selling and leasing price.
Figure 13.
Impact of re on wholesale quantity.
Figure 14.
Impact of re on selling and leasing quantity.
Figure 15.
Impact of re on manufacturer’s profit.
Figure 16.
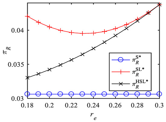
Impact of re on retailer’s profit.
Figure 17.
Impact of re on supply chain profit.
Figure 18.
Impact of re on consumer surplus.
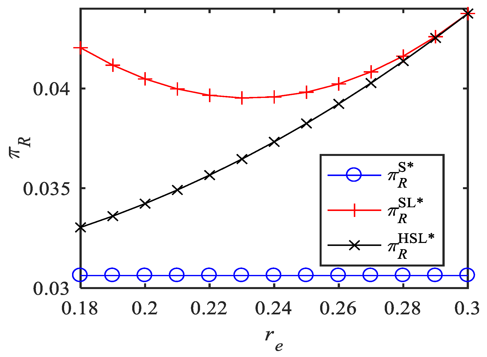
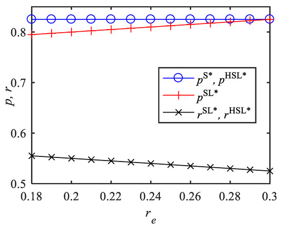
Figure 11 illustrates that in response to the retailer’s hybrid selling–leasing transformation, if the manufacturer chooses to buy back used leasing smartphones, they should set a higher buyback price for used leasing smartphones with a higher residual value; if the manufacturer chooses not to buy back used leasing smartphones, they should set a higher wholesale price for new smartphones with a higher residual value after leasing.
Figure 12 illustrates that after a hybrid selling–leasing transformation, whether the manufacturer chooses to buy back used leasing smartphones or not, the retailer should set a lower leasing price for new smartphones with a higher residual value after leasing; if the manufacturer chooses not to buy back used leasing smartphones, the retailer should set a higher selling price for new smartphones with a higher residual value after leasing.
Figure 13 illustrates that after a hybrid selling–leasing transformation, whether the manufacturer chooses to buy back used leasing smartphones or not, the wholesale quantity of new smartphones with a higher residual value after leasing is higher.
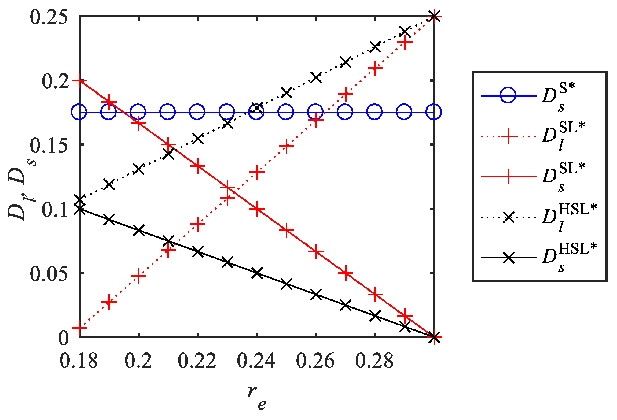
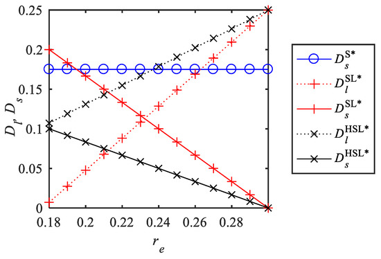
Figure 14 illustrates that after a hybrid selling–leasing transformation, whether the manufacturer chooses to buy back used leasing smartphones or not, the leasing quantity of new smartphones with a higher residual value after leasing is higher, the selling quantity of new smartphones with a higher residual value after leasing is lower.
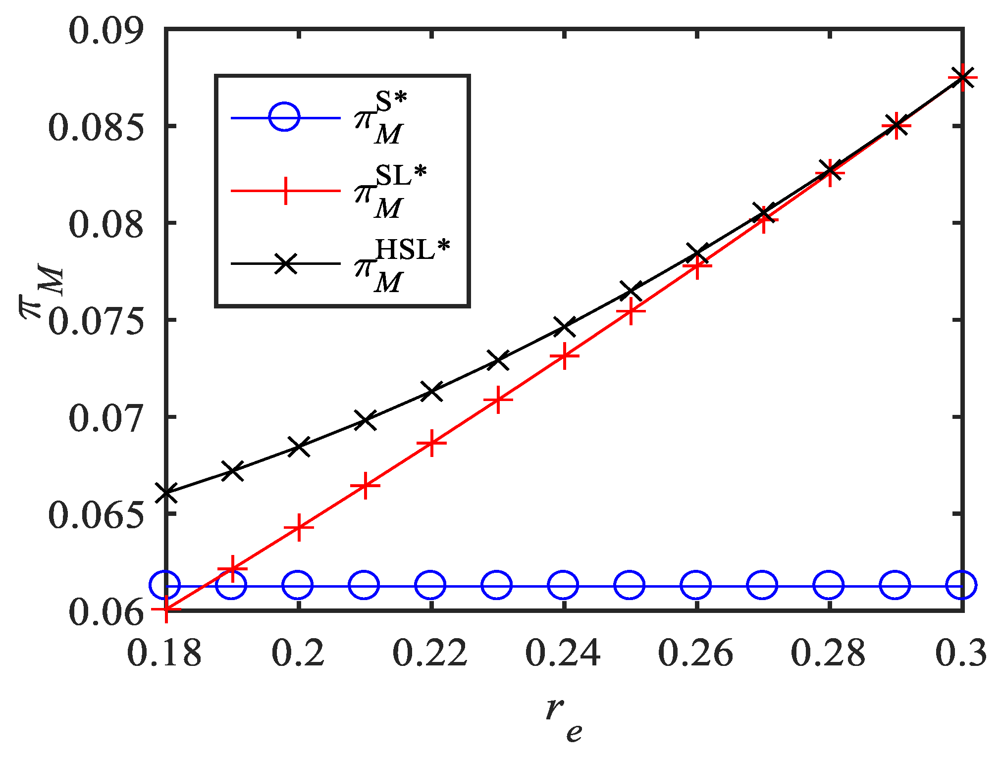
Figure 15 illustrates that after a hybrid selling–leasing transformation, whether the manufacturer chooses to buy back used leasing smartphones or not, they can always benefit from the rise in the residual value of used leasing smartphones.
Figure 16 illustrates that after a hybrid selling–leasing transformation, if the manufacturer chooses to buy back used leasing smartphones, the retailer can always benefit from the rise in the residual value of used leasing smartphones.
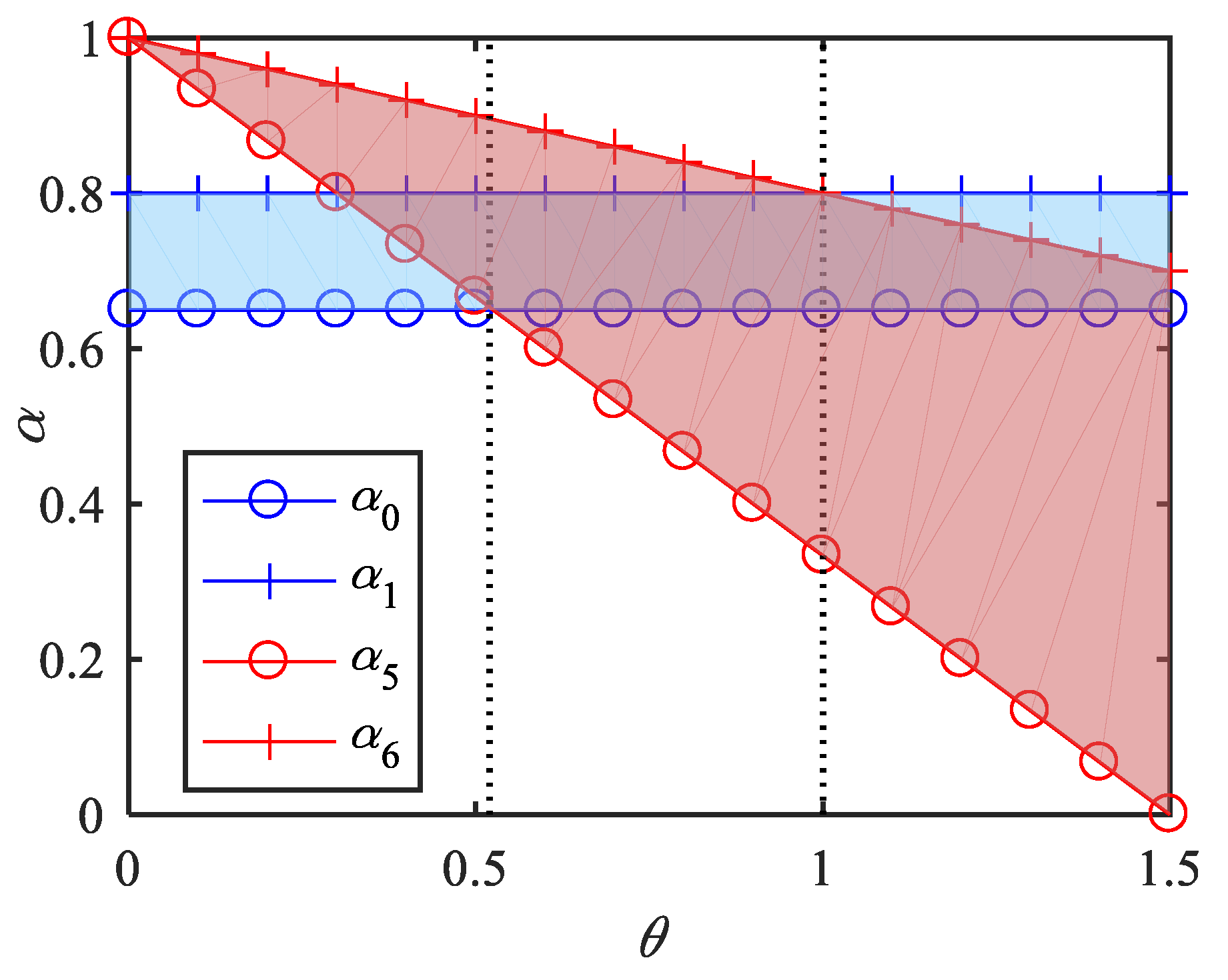
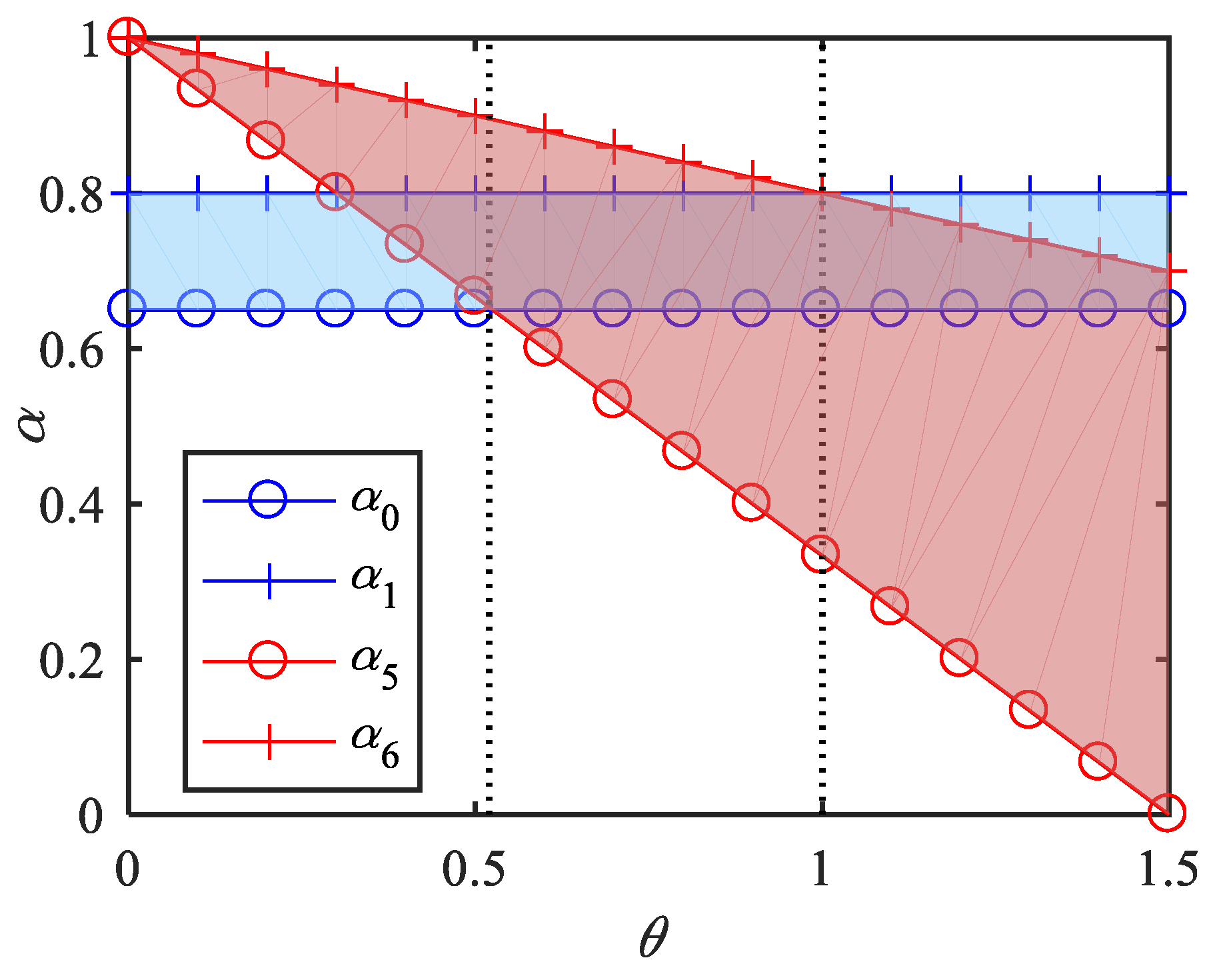
7. Extensions
In the study above, the resident value of used leasing smartphone units for the manufacturer and the retailer is assumed to be the same. In this section, we relax this assumption and assume that the resident values of used leasing smartphones for the manufacturer and retailer are θre. θ (0 ≤ θ ≤ c/re) is the manufacturer’s used leasing smartphone reusing efficiency factor. θ reflects the manufacturer’s reuse ability of used leasing smartphones. By plugging θre into model HSL and recalculating, the equilibrium decision results are as follows.
| Wholesale price () | |
| Buyback price () | |
| Leasing price () | |
| Selling price () | |
| Wholesale quantity () | |
| Leasing quantity () | |
| Selling quantity () | |
| Profit of manufacturer () | |
| Profit of retailer () | |
| Profit of supply chain () | |
| Consumer surplus () | |
| Social welfare () |
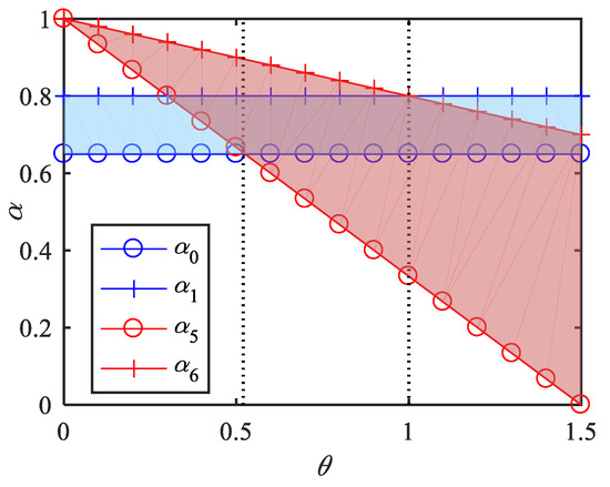
To guarantee the nonexistence of a negative purchasing and leasing demand, the condition α5 ≤ α ≤ α6 (α5 = 1 − θre/c, α6 = 1 − θre) needs to be satisfied. Without loss of generality, we set c = 0.3 and re = 0.2 and obtain Figure 19.
Figure 19.
Impact of θ on consumers’ acceptance of leasing.
Figure 19 shows the impact of θ on consumers’ acceptance of leasing when new smartphone purchasing and leasing demand coexist. In model SL, when consumers’ acceptance of leasing is in the range [α0, α1], new smartphone purchasing and leasing demand coexist. In model HSL, when consumers’ acceptance of leasing is in the range [α5, α6], new smartphone purchasing and leasing demand coexist. When the manufacturer chooses to buy back used leasing smartphones, if 0 < θ < 0.52, only when consumers’ acceptance of leasing is high enough do new smartphone purchasing and leasing demand coexist; if 0.52 < θ < 1, consumers’ acceptance of leasing space in which new smartphone purchasing and leasing demand coexist will increase; if 1 < θ < 1.5, consumers’ acceptance of leasing space in which new smartphone purchasing and leasing demand coexist will also increase, and when the consumers’ acceptance of leasing is high enough, there will only be leasing demand. Figure 19 further confirms that buyback programs have the potential to drive a retailer to conduct a hybrid selling–leasing transformation.
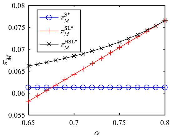
Figure 20.
Impact of θ on the manufacturer’s and retailer’s profits.
Figure 20 shows the impact of θ on the manufacturer’s and retailer’s profits. When θ is small, neither the manufacturer nor the retailer can benefit from the buyback program; when θ is medium, only the manufacturer can benefit from the buyback program; when θ is large, both the manufacturer and retailer can benefit from the buyback program. Figure 20 confirms a different and interesting conclusion that if manufacturers were more capable of repurposing used leasing smartphones, they could encourage retailers to actively participate in buyback programs. In some developed countries, such as the United States, Canada, the United Kingdom, Germany, etc., consumers are more environmentally conscious, and their acceptance of leasing smartphones is generally high. It is particularly important for manufacturers to ensure the implementation of buyback programs by improving their ability to repurpose used leasing smartphones.
8. Conclusions
This paper mainly studies the optimal price decisions of a manufacturer when considering buying back used leasing smartphones from a retailer hybrid selling and leasing new smartphones to promote smartphone leasing, which is considered to be a more sustainable and environmental consumption pattern. The results show that:
- (1)
- When consumers’ acceptance of leasing is moderate, purchasing and leasing demand coexist, and the retailer should conduct a hybrid selling–leasing transformation to attain more profit. If the manufacturer chooses to buy back used leasing smartphones from the retailer, he should set a high buyback price that is not lower than the residual value of the used leasing smartphone unit.
- (2)
- The buyback program cannot change a retailer’s leasing price, but it can increase a retailer’s selling price, thereby widening the gap between the selling and leasing prices, boosting leasing demand, increasing the manufacturer’s profits, and mitigating the supply chain system’s environmental impact. Additionally, when consumers have a relatively low acceptance of leasing, without a buyback program, there is no leasing demand, but with a buyback program, there is leasing demand, which allows both the manufacturer and retailer to benefit from hybrid selling–leasing transformation. Consistent with the conclusions of Xue et al. [37], this result shows that a buyback program can benefit all supply chain members under certain conditions.
- (3)
- After a hybrid selling–leasing transformation, there will be internal competition between the retailer’s selling and leasing businesses, and because of this competition, without a buyback program, the retailer’s profits will decline as consumers’ acceptance of leasing rises. However, with a buyback program, the retailer’s profits will surge as consumers’ acceptance of leasing rises, enhancing the retailer’s motivation to promote smartphone leasing by improving consumers’ acceptance of leasing.
Based on the research conclusions, from the perspectives of governments, manufacturers, and retailers, the following suggestions are put forward to promote the development of the smartphone leasing market:
- (1)
- Promote hybrid selling–leasing transformation. To smooth the channels for retailers’ hybrid selling–leasing transformation, the government must provide robust backing for intermediary leasing platforms, which can be achieved via tax incentives and financial subsidies. At the same time, retailers should actively expand their leasing business and then identify and analyze consumers’ acceptance of leasing based on historical data to scientifically set smartphone leasing prices.
- (2)
- Pay attention to the buyback program. In response to retailers’ hybrid selling–leasing transformation, manufacturers should not adjust the wholesale price but offer a buyback program for used leasing smartphones and appropriately set a higher buyback price that is not lower than the residual value of used leasing smartphones. When the leasing market is sluggish, retailers who provide a mixed selling and leasing service should actively participate in smartphone buyback programs.
- (3)
- Improving consumers’ acceptance of leasing. The government should promote the leasing and replacement of smartphones among consumers in a reasonable manner while also implementing strict regulations in the leasing market to reduce the risks associated with smartphone leasing. Additionally, the establishment and improvement of a social credit system can help to lower the security deposit required for smartphone leasing. Manufacturers should continue to innovate and iterate their smartphone designs, creating secure and convenient replacement systems to encourage consumers to lease and replace their devices. Retailers who have participated in manufacturer buyback programs can improve the quality of their leasing services by utilizing network credit systems and blockchain technology while also promoting the benefits of smartphone leasing and replacement to consumers.
In this paper, to simplify the analysis and highlight the research focus, the model is abstracted and simplified. For example, how the manufacturer and the retailer formally dispose of used leasing smartphones is not specifically discussed; the resident value of used leasing smartphone units for the manufacturer and the retailer are assumed to be the same and exogenous, and so on. In fact, when manufacturers introduce new smartphones, the resident value of used leasing smartphones will be affected by multiple factors. For example, accounting for consumers’ heterogeneous preferences for new and old smartphones may lead to more realistic conclusions. In addition, this paper does not consider the recycling behavior of manufacturers and retailers for smartphones purchased by consumers. When considering this factor, the smartphone supply chain involves a closed loop of selling-recycling-remanufacturing and a closed loop of leasing-recycling-remanufacturing. How to coordinate the relationship between the two is significant for the sustainable development of the smartphone supply chain. Additionally, this is the current focus of future research in this area.
Author Contributions
Conceptualization, G.T. and C.L.; methodology, G.T.; software, G.T.; validation, G.T. and C.L.; formal analysis, G.T. and C.L.; writing—original draft preparation, G.T. and C.L.; writing—review and editing, G.T. and C.L. All authors have read and agreed to the published version of the manuscript.
Funding
This research was funded by the National Social Science Foundation of China (Grant no. 18BJY009).
Institutional Review Board Statement
Not applicable.
Informed Consent Statement
Not applicable.
Data Availability Statement
The simulation data used to support the findings of this study are included within the article.
Acknowledgments
The authors are particularly grateful to the editors and reviewers for their most insightful and valuable comments on this paper, which played an important role in improving the quality of the research.
Conflicts of Interest
The authors declare no conflict of interest.
Appendix A
Proof of Lemma 1.
In model S, the retailer’s profits are represented by . , so the retailer’s profits are concave in . According to the first-order optimality condition, we obtain . Substituting into the manufacturer’s profit function, we obtain , because , and the manufacturer’s profits are concave in . According to the first-order optimality condition, we obtain . Substituting into , . Additionally, we then substitute and into corresponding formulas and obtain other equilibrium results of Lemma 1. ☐
Proof of Lemma 2.
In SL mode, the retailer’s profits are
The Hessian matrix about and is , and
, . Thus, the retailer’s profits are concave in and . According to the first-order optimality conditions, we obtain , . Substituting and into the manufacturer’s profit function, the manufacturer’s profits are concave in . According to the first-order optimality condition, we obtain . Substituting into and , we obtain , . Additionally, we then substitute , and into the corresponding formulas, and obtain the other equilibrium results of Lemma 2. ☐
Proof of Lemma 3.
In HSL mode, the retailer’s profits are
The Hessian matrix of about and is , and
, . Thus, the retailer’s profits are concave in and . According to the first-order optimality conditions, we obtain and .
We substitute and into the manufacturer’s profit function. The Hessian matrix of about and is , and
, . According to the first-order optimality conditions, we obtain and . Substituting and into and , we obtain and , respectively. Additionally, we then substitute , , and into the corresponding formulas, obtaining other equilibrium results of Lemma 3. ☐
Proof of Lemma 4.
, and , , when , , when , , so , , . ☐
Proof of Proposition 1.
- (1)
- , , , , , and , so .
- (2)
- , , , , , , so .
- (3)
- .
- (4)
- , , so , . ☐
Proof of Lemma 5.
- (1)
- , , , so .
- (2)
- , , , . ☐
Proof of Proposition 2.
- (1)
- , .
- (2)
- , let , we can find , ; if , , , if , , . , , , , so if , , if , .
- (3)
- , , , so . ☐
Proof of Proposition 3.
- (1)
- If , ; If , .
- (2)
- If , ; , , let , we have , and , so if , , if , ; and if , , if , , if , , if , , , so . ☐
Proof of Proposition 4.
- (1)
- If , ; ; , , so .
- (2)
- If , , , ; , , so ; , and , so . ☐
Proof of Proposition 5.
- (1)
- , so if and , .
- (2)
- . We obtain the following conclusion from Proposition 2, if , . Because , , so . ☐
Proof of Proposition 6.
- (1)
- , , ; , , ; , , increase with , so increases with ; because , where , so , decreases as increases. is maximum when , and , , , so and decrease as increases; , and because , , so .
- (2)
- , , ; , , ; , , when , , when , ; , and because , , so . ☐
Proof of Proposition 7.
- (1)
- , , , if , , if , because , , , so ; , ; , , , and if , , if , because , , so , , ; , and because , , so .
- (2)
- , , ; , ; , , , ; , and because , , so . ☐
References
- Cheshmeh, Z.A.; Bigverdi, Z.; Eqbalpour, M.; Kowsari, E.; Ramakrishna, S.; Gheibi, M. A comprehensive review of used electrical and electronic equipment management with a focus on the circular economy-based policy-making. J. Clean. Prod. 2023, 398, 136132. [Google Scholar] [CrossRef]
- Chinese People Have 1.856 Billion Phones, More Than Half of the Old Phones “Lying” at Home? Available online: https://new.qq.com/rain/a/20221029A072EC00 (accessed on 7 July 2023).
- Ghiasi, M.; Wang, Z.; Mehrandezh, M.; Jalilian, S.; Ghadimi, N. Evolution of smart grids towards the Internet of energy: Concept and essential components for deep decarbonisation. IET Smart Grid. 2023, 6, 86–102. [Google Scholar] [CrossRef]
- Hobson, K.; Lynch, N.; Lilley, D.; Smalley, G. Systems of practice and the Circular Economy: Transforming mobile phone product service systems. Environ. Innov. Soc. Transit. 2018, 26, 147–157. [Google Scholar] [CrossRef]
- Poppelaars, F.; Bakker, C.; Van Engelen, J. Does Access Trump Ownership? Exploring Consumer Acceptance of Access-Based Consumption in the Case of Smartphones. Sustainability 2018, 10, 2133. [Google Scholar] [CrossRef]
- Peng, Y.; Li, H. A Leasing Platform Service Supply Chain Network Equilibrium Model Considering Digital Detection Technology Investment and Big Data Marketing. Sustainability 2023, 15, 9955. [Google Scholar] [CrossRef]
- Mashhadi, A.R.; Vedantam, A.; Behdad, S. Investigation of consumer’s acceptance of product-service-systems: A case study of cell phone leasing. Resour. Conserv. Recycl. 2019, 143, 36–44. [Google Scholar] [CrossRef]
- Wang, S.; Lin, Q.; Zhou, Z.; Nie, C. Exploring the Role of Attitudinal Factors in Electric Vehicle Timeshare Rentals Adoption. Appl. Sci. 2023, 13, 12. [Google Scholar] [CrossRef]
- Xiong, Y.; Yan, W.; Fernandes, K.; Xiong, Z.K.; Guo, N. “Bricks vs. Clicks”: The impact of manufacturer encroachment with a dealer leasing and selling of durable goods. Eur. J. Oper. Res. 2012, 217, 75–83. [Google Scholar] [CrossRef]
- Smartphone Rental Business Emerges, but Market Response Lukewarm. Available online: https://www.chinadaily.com.cn/business/tech/2017-08/22/content_30949022.htm (accessed on 30 January 2023).
- “Gome Rent” Tests the Waters of Mobile Phone Rental. Available online: https://finance.china.com.cn/roll/20170815/4350406.shtml (accessed on 30 January 2023).
- Zhao, M.; Wang, X. Perception value of product-service systems: Neural effects of service experience and customer knowledge. J. Retail. Consum. Serv. 2021, 62, 102617. [Google Scholar] [CrossRef]
- Ghiasi, M.; Niknam, T.; Wang, Z.; Mehrandezh, M.; Dehghani, M.; Ghadimi, N. A comprehensive review of cyber-attacks and defense mechanisms for improving security in smart grid energy systems: Past, present and future. Electr. Power Syst. Res. 2023, 215, 108975. [Google Scholar] [CrossRef]
- Dehghani, M.; Ghiasi, M.; Niknam, T.; Kavousi-Fard, A.; Shasadeghi, M.; Ghadimi, N.; Taghizadeh-Hesary, F. Blockchain-Based Securing of Data Exchange in a Power Transmission System Considering Congestion Management and Social Welfare. Sustainability 2021, 13, 90. [Google Scholar] [CrossRef]
- Tian, G.; Li, C.; Li, D. How does the electronic smartphones retailer transform operational modes considering consumers’ acceptance of leasing? Math. Probl. Eng. 2022, 2022, 1–17. [Google Scholar] [CrossRef]
- Purohit, D.; Staelin, R. Rentals, sales, and buybacks: Managing secondary distribution channels. J. Mark. Res. 1994, 31, 325–338. [Google Scholar] [CrossRef]
- Purohit, D. Dual distribution channels: The competition between rental agencies and dealers. Market. Sci. 1997, 16, 228–245. [Google Scholar] [CrossRef]
- Esenduran, G.; Lu, L.X.; Swaminathan, J.M. Buyback pricing of durable goods in dual distribution channels. Environ. Innov. Soc. Transit. 2020, 22, 412–428. [Google Scholar] [CrossRef]
- Agrawal, V.; Atasu, A.; Ülkü, S. Leasing, modularity, and the circular economy. Manag. Sci. 2021, 67, 6782–6802. [Google Scholar] [CrossRef]
- Agrawal, V.V.; Bellos, I. The potential of servicizing as a green business model. Manag. Sci. 2017, 63, 1545–1562. [Google Scholar] [CrossRef]
- Amasawa, E.; Shibata, T.; Sugiyama, H.; Hirao, M. Environmental potential of reusing, renting, and sharing consumer smartphones: Systematic analysis approach. J. Clean. Prod. 2020, 242, 118487. [Google Scholar] [CrossRef]
- Desai, P.S.; Purohit, D. Competition in durable goods markets: The strategic consequences of leasing and selling. Market. Sci. 1999, 18, 42–58. [Google Scholar] [CrossRef]
- Bhaskaran, S.R.; Gilbert, S.M. Selling and leasing strategies for durable goods with complementary smartphones. Manag. Sci. 2005, 51, 1278–1290. [Google Scholar] [CrossRef]
- Tilson, V.; Wang, Y.; Yang, W. Channel strategies for durable goods: Coexistence of selling and leasing to individual and corporate consumers. Prod. Oper. Manag. 2009, 18, 402–410. [Google Scholar] [CrossRef]
- Gilbert, S.M.; Randhawa, R.S.; Sun, H. Optimal Per-Use Rentals and Sales of Durable Smartphones and Their Distinct Roles in Price Discrimination. Prod. Oper. Manag. 2014, 23, 393–404. [Google Scholar] [CrossRef]
- Yu, Y.; Dong, Y.; Guo, X. Pricing for sales and per-use rental services with vertical differentiation. Eur. J. Oper. Res. 2018, 270, 586–598. [Google Scholar] [CrossRef]
- Jalili, M.; Pangburn, M.S. Pricing joint sales and rentals: When are purchase-conversion discounts optimal? Prod. Oper. Manag. 2020, 29, 2679–2695. [Google Scholar] [CrossRef]
- Liu, J.; Mantin, B.; Song, X. Rent, sell, and remanufacture: The manufacturer’s choice when remanufacturing can be outsourced. Eur. J. Oper. Res. 2022, 303, 184–200. [Google Scholar] [CrossRef]
- Choi, T.M.; Li, D.; Yan, H. Mean–variance analysis of a single supplier and retailer supply chain under a returns policy. Eur. J. Oper. Res. 2008, 184, 356–376. [Google Scholar] [CrossRef]
- Pasternack, B.A. Optimal pricing and return policies for perishable commodities. Market. Sci. 1985, 4, 166–176. [Google Scholar] [CrossRef]
- Padmanabhan, V.I.P.L.; Png, I.P. Returns policies: Make money by making good. Mit. Sloan. Manag. Rev. 1995, 37, 65–72. [Google Scholar]
- Lau, H.S.; Lau, A.H.L. Manufacturer’s pricing strategy and return policy for a single-period commodity. Eur. J. Oper. Res. 1999, 116, 291–304. [Google Scholar] [CrossRef]
- Lau, A.H.L.; Lau, H.S.; Willett, K.D. Willett, Demand uncertainty and returns policies for a seasonal product: An alternative model. Int. J. Prod. Econ. 2000, 66, 1–12. [Google Scholar] [CrossRef]
- Granot, D.; Yin, S. On the effectiveness of returns policies in the price-dependent newsvendor model. Nav. Res. Log. 2015, 52, 765–779. [Google Scholar] [CrossRef]
- Zhao, Y.; Choi, T.M.; Cheng, T.C.E.; Sethi, S.P.; Wang, S. Buyback contracts with price-dependent demands: Effects of demand uncertainty. Eur. J. Oper. Res. 2014, 239, 663–673. [Google Scholar] [CrossRef]
- Ji, X.; Sun, J.; Wang, Z. Turn bad into good: Using transshipment-before-buyback for disruptions of stochastic demand. Int. J. Prod. Econ. 2017, 185, 150–161. [Google Scholar] [CrossRef]
- Xue, W.; Hu, Y.; Chen, Z. The value of buyback contract under price competition. Int. J. Prod. Res. 2019, 57, 2679–2694. [Google Scholar] [CrossRef]
- Doganoglu, T.; Inceoglu, F. Buyback contracts to solve upstream opportunism. Eur. J. Oper. Res. 2020, 287, 875–884. [Google Scholar] [CrossRef]
- Chen, J. The impact of sharing customer returns information in a supply chain with and without a buyback policy. Eur. J. Oper. Res. 2011, 213, 478–488. [Google Scholar] [CrossRef]
- Wu, J.; Zou, L.; Gong, Y.; Chen, M. The anti-collusion dilemma: Information sharing of the supply chain under buyback contracts. Transport. Res. E-Log. 2021, 152, 102413. [Google Scholar] [CrossRef]
- Zhang, Q.; Chen, J.; Chen, B. Information strategy in a supply chain under asymmetric customer returns information. Transport. Res. E-Log. 2021, 155, 102511. [Google Scholar] [CrossRef]
- Gong, M.; Lian, Z.; Xiao, H. Inventory control policy for perishable smartphones under a buyback contract and Brownian demands. Int. J. Prod. Econ. 2022, 251, 108522. [Google Scholar] [CrossRef]
- Li, D.; Chen, J.; Chen, B.; Liao, Y. Manufacturer’s contract choice and retailer’s returns management strategy. Transport. Res. E-Log. 2022, 165, 102862. [Google Scholar] [CrossRef]
- Handset Leasing and Telecommunication Operators (From Implementing to Saving an Entire Industry). Available online: https://www.researchgate.net/publication/341655539_Handset_Leasing_and_Telecommunication_Operators_From_Implementing_to_saving_an_Entire_Industry (accessed on 30 January 2023).
- Rousseau, S. Millennials’ acceptance of product-service systems: Leasing smartphones in Flanders (Belgium). J. Clean. Prod. 2020, 246, 118992. [Google Scholar] [CrossRef]
- Li, Y.; Bai, X.; Xue, K. Business modes in the sharing economy: How does the OEM cooperate with third-party sharing platforms? Int. J. Prod. Econ. 2020, 221, 107467. [Google Scholar] [CrossRef]
- Coto-Millán, P. Theory of utility and consumer behaviour: A comprehensive review of concepts, properties and the most significant theorems. In Utility and Production: Theory and Applications; Springer: Berlin/Heidelberg, Germany, 1999; pp. 7–23. [Google Scholar] [CrossRef]
- Akbary, P.; Ghiasi, M.; Pourkheranjani, M.R.R.; Alipour, H.; Ghadimi, N. Extracting Appropriate Nodal Marginal Prices for All Types of Committed Reserve. Comput. Econ. 2019, 53, 1–26. [Google Scholar] [CrossRef]
- Liu, Z.; Xiao, Y.; Feng, J. Manufacturer’s Sharing Servitization Transformation and Product Pricing Strategy. Sustainability 2021, 13, 1503. [Google Scholar] [CrossRef]
- Lin, J.; Li, Z.; Mohamed, N.; Virginia, S.; Aris, S. Push or Pull? The impact of ordering policy choice on the dynamics of a hybrid closed-loop supply chain. Eur. J. Oper. Res. 2022, 300, 282–295. [Google Scholar] [CrossRef]
- Huang, J.; Leng, M.; Parlar, M. Demand functions in decision modeling: A comprehensive survey and research directions. Decis. Sci. 2013, 44, 557–609. [Google Scholar] [CrossRef]
- Agrawal, V.V.; Ferguson, M.; Toktay, L.B.; Thomas, V.M. Is leasing greener than selling? Market. Sci. 2012, 58, 523–533. [Google Scholar] [CrossRef]
- Ghiasi, M.; Ghadimi, N.; Ahmadinia, E. An analytical methodology for reliability assessment and failure analysis in distributed power system. SN Appl. Sci. 2019, 44, 1–9. [Google Scholar] [CrossRef]
- Ferrer, G.; Swaminathan, J.M. Managing new and remanufactured smartphones. Market. Sci. 2006, 52, 15–26. [Google Scholar]
Disclaimer/Publisher’s Note: The statements, opinions and data contained in all publications are solely those of the individual author(s) and contributor(s) and not of MDPI and/or the editor(s). MDPI and/or the editor(s) disclaim responsibility for any injury to people or property resulting from any ideas, methods, instructions or products referred to in the content. |
© 2023 by the authors. Licensee MDPI, Basel, Switzerland. This article is an open access article distributed under the terms and conditions of the Creative Commons Attribution (CC BY) license (https://creativecommons.org/licenses/by/4.0/).



















