The Factors Affecting the Quality of the Temperature Vegetation Dryness Index (TVDI) and the Spatial–Temporal Variations in Drought from 2011 to 2020 in Regions Affected by Climate Change
Abstract
1. Introduction
2. Materials and Methods
2.1. Research Area
2.2. Data Selection
2.3. Methodology
- (1)
- Normalized Difference Vegetation Index (NDVI)
- (2)
- Temperature Vegetation Drought Index (TVDI)
- (3)
- Trend analysis methodology
- (4)
- Crop water stress index (CWSI)
- (5)
- Statistical analysis
3. Results and Discussion
3.1. NDVI–LST Characteristic Space
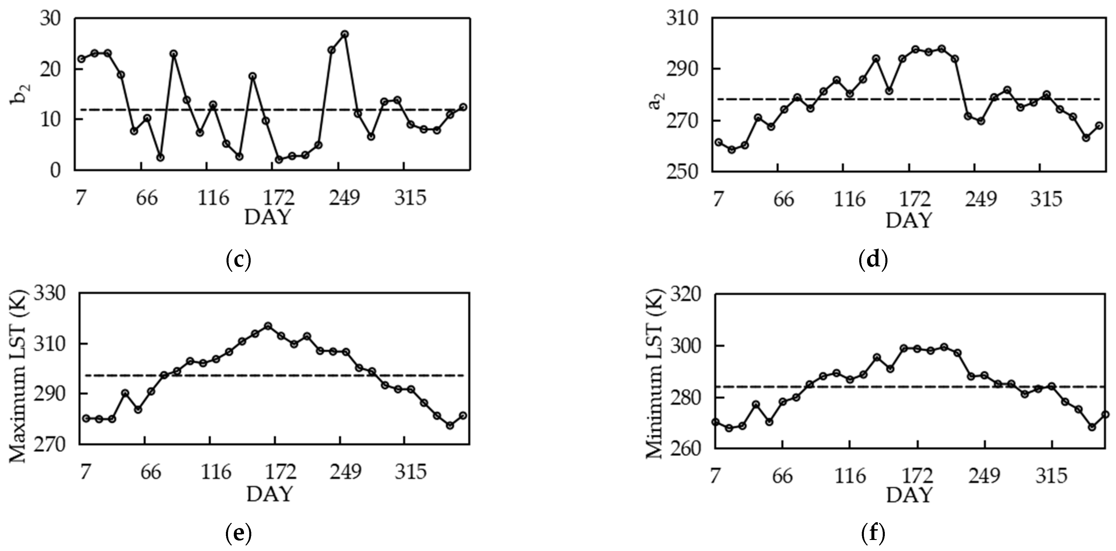
3.2. Analysis of the Variation Trends of the Warm and Cold Edges
3.3. Factors That Affect the TVDI
3.4. Comparison of the Soil Moisture with the TVDI and CWSI
3.5. Spatial–Temporal Evolution of Droughts in Shandong from 2011 to 2020
4. Conclusions
Author Contributions
Funding
Informed Consent Statement
Data Availability Statement
Conflicts of Interest
References
- Javed, T.; Li, Y.; Rashid, S.; Li, F.; Hu, Q.Y.; Feng, H.; Chen, X.G.; Ahmad, S.; Liu, F.G.; Pulatov, B. Performance and relationship of four different agricultural drought indices for drought monitoring in China’s mainland using remote sensing data. Sci. Total Environ. 2021, 759, 143530. [Google Scholar] [CrossRef]
- Sirisena, J.; Augustijn, D.; Nazeer, A.; Bamunawala, J. Use of Remote-Sensing-Based Global Products for Agricultural Drought Assessment in the Narmada Basin, India. Sustainability 2022, 14, 13050. [Google Scholar] [CrossRef]
- Chen, L.; Chen, X.; Cheng, L.; Zhou, P.; Liu, Z.Y. Compound hot droughts over China: Identification, risk patterns and variations. Atmos. Res. 2019, 227, 210–219. [Google Scholar] [CrossRef]
- Zhao, C.; Brissette, F.; Chen, J.; Martel, J.L. Frequency change of future extreme summer meteorological and hydrological droughts over North America. J. Hydrol. 2020, 584, 124316. [Google Scholar] [CrossRef]
- Rahimzadeh-Bajgiran, P.; Berg, A.A.; Champagne, C.; Omasa, K. Estimation of soil moisture using optical/thermal infrared remote sensing in the Canadian Prairies. ISPRS J. Photogramm. Remote Sens. 2013, 83, 94–103. [Google Scholar] [CrossRef]
- Jung, H.; Won, J.; Kang, S.; Kim, S. Characterization of the Propagation of Meteorological Drought Using the Copula Model. Water 2022, 14, 3293. [Google Scholar] [CrossRef]
- Salvacion, A.R. Mapping meteorological drought hazard in the Philippines using SPI and SPEI. Spat. Inf. Res. 2021, 29, 949–960. [Google Scholar] [CrossRef]
- Afshar, M.H.; Al-Yaari, A.; Yilmaz, M.T. Comparative evaluation of microwave L-band VOD and optical NDVI for agriculture drought detection over central Europe. Remote Sens. 2021, 13, 1251. [Google Scholar] [CrossRef]
- Guo, N.; Wang, X.P.; Wang, W.; Wang, L.J.; Hu, D.; Sha, S. Drought remote sensing monitoring technology progress. Meteorol. Sci. Technol. Prog. 2020, 10, 10–20. [Google Scholar]
- Gerhards, M.; Schlerf, M.; Mallick, K.; Udelhoven, T. Challenges and future perspectives of multi-/Hyperspectral thermal infrared remote sensing for crop water-stress detection: A review. Remote Sens. 2019, 11, 1240. [Google Scholar] [CrossRef]
- Refati, D.C.; Silva, J.L.B.; Macedo, R.S.; Lima, R.C.C.; Silva, M.V.; Pandorfi, H.; Silva, P.C.; Oliveira-Júnior, J.F. Influence of drought and anthropogenic pressures on land use and land cover change in the brazilian semiarid region. J. South Am. Earth Sci. 2023, 126, 104362. [Google Scholar] [CrossRef]
- Nanzad, L.; Zhang, J.; Tuvdendorj, B.; Nabil, M.; Zhang, S.; Bai, Y. NDVI anomaly for drought monitoring and its correlation with climate factors over Mongolia from 2000 to 2016. J. Arid. Environ. 2019, 164, 69–77. [Google Scholar] [CrossRef]
- Lei, T.J.; Li, S.C.; Li, X.H.; Feng, J.; Lu, J.X.; Qu, W. Research progress on drought remote sensing monitoring indicators. Water Conserv. Hydropower Technol. 2019, 50, 25–31. [Google Scholar]
- Wang, Z.K.; Guo, J.; Ling, H.B.; Han, F.F.; Kong, Z.J.; Wang, W.Q. Function zoning based on spatial and temporal changes in quantity and quality of ecosystem services under enhanced management of water resources in arid basin. Ecol. Indic. 2022, 137, 108725. [Google Scholar] [CrossRef]
- Ali, S.; Basit, A.; Makanda, T.A.; Inamullah; Khan, F.U.; Sajid, M.; Riaz, T.; Abbasi, H.F.; Manzoor; Sohail, A. Improving drought mitigation strategies and disaster risk reduction through MODIS and TRMM-based data in relation to climate change over Pakistan. Environ. Sci. Pollut. Res. Int. 2023, 30, 40563–40575. [Google Scholar] [CrossRef] [PubMed]
- Ma, Z.C.; Sun, P.; Zhang, Q.; Hu, Y.Q.; Jiang, W. Characterization and evaluation of MODIS-derived crop water stress index (CWSI) for monitoring drought from 2001 to 2017 over Inner Mongolia. Sustainability 2021, 13, 916. [Google Scholar] [CrossRef]
- West, H.; Quinn, N.; Horswell, M. Remote sensing for drought monitoring & impact assessment: Progress, past challenges and future opportunities. Remote Sens. Environ. 2019, 232, 111291. [Google Scholar]
- Nemani, R.; Pierce, L.; Running, S.; Goward, S. Developing satellite-derived estimates of surface moisture status. J. Appl. Meteorol. Climatol. 1993, 32, 548–557. [Google Scholar] [CrossRef]
- Goetz, S.J. Multi-sensor analysis of NDVI, surface temperature and biophysical variables at a mixed grassland site. Int. J. Remote Sens. 1997, 18, 71–94. [Google Scholar] [CrossRef]
- Zhou, X.; Wang, P.; Tansey, K.; Zhang, S.; Wang, L. Developing a fused vegetation temperature condition index for drought monitoring at field scales using Sentinel-2 and MODIS imagery. Comput. Electron. Agric. 2020, 168, 105144. [Google Scholar] [CrossRef]
- Carlson, T.N.; Perry, E.M.; Schmugge, T.J. Remote estimation of soil moisture availability and fractional vegetation cover for agricultural fields. Agric. For. Meteorol. 1990, 52, 45–69. [Google Scholar] [CrossRef]
- PRiCE, J.C. Using spatial context in satellite data to infer regional scale evapotranspiration. IEEE Trans. Geosci. Remote Sens. 1990, 28, 940–948. [Google Scholar] [CrossRef]
- Sandholt, I.; Rasmussen, K.; Andersen, J. A simple interpretation of the surface temperature/vegetation index space for assessment of surface moisture status. Remote Sens. Environ. 2002, 79, 213–224. [Google Scholar] [CrossRef]
- Tang, R.; Li, Z.L.; Tang, B. An application of the Ts–VI triangle method with enhanced edges determination for evapotranspiration estimation from MODIS data in arid and semi-arid regions: Implementation and validation. Remote Sens. Environ. 2010, 114, 540–551. [Google Scholar] [CrossRef]
- Liang, L.; Zhao, S.; Qin, Z.; Xun, H.K.; Chen, C.; Luo, Y.X.; Zhou, X.D. Drought change trend using MODIS TVDI and its relationship with climate factors in China from 2001 to 2010. J. Integr. Agric. 2014, 13, 1501–1508. [Google Scholar] [CrossRef]
- Liu, L.; Liang, L.; Schwartz, M.D.; Donnelly, A.; Wang, Z.S.; Schaaf, C.B.; Liu, L.Y. Evaluating the potential of MODIS satellite data to track temporal dynamics of autumn phenology in a temperate mixed forest. Remote Sens. Environ. 2015, 160, 156–165. [Google Scholar] [CrossRef]
- Liu, Y.; Yue, H. The temperature vegetation dryness index (TVDI) based on Bi-parabolic NDVI-Ts space and gradient-based structural similarity (GSSIM) for long-term drought assessment across Shaanxi province, China (2000–2016). Remote Sens. 2018, 10, 959. [Google Scholar] [CrossRef]
- Wan, W.; Han, Y.; Wu, H.; Liu, F.; Liu, Z. Application of the source–sink landscape method in the evaluation of agricultural non-point source pollution: First estimation of an orchard-dominated area in China. Agric. Water Manag. 2021, 252, 106910. [Google Scholar] [CrossRef]
- Bian, Z.; Roujean, J.L.; Fan, T.Y.; Dong, Y.D.; Hu, T.; Cao, B.; Li, H.; Du, Y.M.; Xiao, Q.L.; Liu, Q.H. An angular normalization method for temperature vegetation dryness index (TVDI) in monitoring agricultural drought. Remote Sens. Environ. 2023, 284, 113330. [Google Scholar] [CrossRef]
- Ehrlich, D.; Lambin, E.F. Broad scale land-cover classification and interannual climatic variability. Int. J. Remote Sens. 1996, 17, 845–862. [Google Scholar] [CrossRef]
- Jia, K.; Liang, S.; Wei, X.Q.; Yao, Y.J.; Su, Y.R.; Jiang, B.; Wang, X.X. Land cover classification of Landsat data with phenological features extracted from time series MODIS NDVI data. Remote Sens. 2014, 6, 11518–11532. [Google Scholar] [CrossRef]
- Jiang, H.H. Variation characteristics and correlation analysis of drought disasters in Shandong Province. Disasterology 2000, 15, 51–55. [Google Scholar]
- Ahmad, M.M.; Yaseen, M.; Saqib, S.E. Climate change impacts of drought on the livelihood of dry land smallholders: Implications of adaptation challenges. Int. J. Disaster Risk Reduct. 2022, 80, 103210. [Google Scholar] [CrossRef]
- Jiang, M.Y.; Xue, X.P.; Zhang, L.J.; Chen, Y.Y.; Zhao, C.; Song, H.Y.; Wang, N. Peanut Drought Risk Zoning in Shandong Province, China. Sustainability 2022, 14, 3322. [Google Scholar] [CrossRef]
- Tucker, C. Red and photographic infrared linear combinations for monitoring vegetation. Remote Sens. Environ. 1979, 8, 127–150. [Google Scholar] [CrossRef]
- Chen, H.M.; Zhao, Y.; Fu, X.; Tang, M.F.; Guo, M.J.; Zhang, S.Q.; Zhu, Y.; Qu, L.Y.; Wu, G. Impacts of regional land-use patterns on ecosystem services in the typical agro-pastoral ecotone of northern China. Ecosyst. Health Sustain. 2022, 8, 2110521. [Google Scholar] [CrossRef]
- Kumar, V.; Sharma, A.; Bhardwaj, R.; Thukral, A.K. Comparison of different reflectance indices for vegetation analysis using Landsat-TM data. Remote Sens. Appl. Soc. Environ. 2018, 12, 70–77. [Google Scholar] [CrossRef]
- Szabó, S.; Elemér, L.; Kovács, Z.; Püspöki, Z.; Kertész, Á.; Singh, S.K.; Balázs, B. NDVI dynamics as reflected in climatic variables: Spatial and temporal trends—A case study of Hungary. GIScience Remote Sens. 2019, 56, 624–644. [Google Scholar] [CrossRef]
- Idso, S.B.; Jackson, R.D.; Pinter Jr, P.J.; Reginato, R.J.; Hatfield, J.L. Normalizing the stress-degree-day parameter for environmental variability. Agric. Meteorol. 1981, 24, 45–55. [Google Scholar] [CrossRef]
- Hu, X.; Ren, H.; Tansey, K.; Zheng, Y.T.; Ghent, D.; Liu, X.F.; Yan, Y. Agricultural drought monitoring using European Space Agency Sentinel 3A land surface temperature and normalized difference vegetation index imageries. Agric. For. Meteorol. 2019, 279, 107707. [Google Scholar] [CrossRef]
- Kwon, Y.J.; Ryu, S.; Cho, J.; Lee, Y.W.; Park, N.W.; Chung, C.Y.; Hong, S. Infrared Soil Moisture Retrieval Algorithm Using Temperature-Vegetation Dryness Index and Moderate Resolution Imaging Spectroradiometer Data. Asia-Pac. J. Atmos. Sci. 2020, 56, 275–289. [Google Scholar] [CrossRef]
- Ryu, S.; Kwon, Y.J.; Kim, G.; Hong, S. Temperature vegetation dryness index-based soil moisture retrieval algorithm developed for Geo-KOMPSAT-2A. Remote Sens. 2021, 13, 2990. [Google Scholar] [CrossRef]
- Chen, C.F.; Son, N.T.; Chang, L.Y.; Chen, C.C. Monitoring of soil moisture variability in relation to rice cropping systems in the Vietnamese Mekong Delta using MODIS data. Appl. Geogr. 2011, 31, 463–475. [Google Scholar] [CrossRef]
- Son, N.T.; Chen, C.F.; Chen, C.R.; Chang, L.Y.; Minh, V.Q. Monitoring agricultural drought in the Lower Mekong Basin using MODIS NDVI and land surface temperature data. Int. J. Appl. Earth Obs. Geoinf. 2012, 18, 417–427. [Google Scholar] [CrossRef]
- Ji, Z.; Pan, Y.; Li, N. Integrating the temperature vegetation dryness index and meteorology parameters to dynamically predict crop yield with fixed date intervals using an integral regression model. Ecol. Model. 2021, 455, 109651. [Google Scholar] [CrossRef]
- Shashikant, V.; Mohamed Shariff, A.R.; Wayayok, A.; Kamal, M.R.; Lee, Y.P.; Takeuchi, W. Utilizing TVDI and NDWI to classify severity of agricultural drought in Chuping, Malaysia. Agronomy 2021, 11, 1243. [Google Scholar] [CrossRef]
- Liu, Y.; Yue, H.; Li, Y.; Lu, Y. Remote Sensing Monitoring of Spring Drought in Henan Province Based on MODIS. Agric. Res. Arid. Areas 2018, 36, 218–223. [Google Scholar]
- Li, C.; Adu, B.; Wu, J.; Qin, G.X.; Li, H.H.; Han, Y.D. Spatial and temporal variations of drought in Sichuan Province from 2001 to 2020 based on modified temperature vegetation dryness index (TVDI). Ecol. Indic. 2022, 139, 108883. [Google Scholar] [CrossRef]
- Zhao, J.P. Drought Analysis of Hunan Province Based on Temperature Vegetation Drought Index. Master’s Thesis, Hunan Normal University, Changsha, China, 2018. [Google Scholar]
- Wang, Z.D.; Guo, P.; Wan, H.; Yang, G. Drought monitoring and analysis of Shandong Province from 2014 to 2016 based on MODIS data. Soil Water Conserv. Res. 2019, 26, 330–336. [Google Scholar]
- Zhang, F.; Zhang, L.W.; Shi, J.J.; Huang, J.F. Soil moisture monitoring based on land surface temperature-vegetation index space derived from MODIS data. Pedosphere 2014, 24, 450–460. [Google Scholar] [CrossRef]
- Du, L.T.; Tian, Q.J.; Wang, L.; Huang, Y.; Nan, L. Construction of comprehensive drought monitoring model based on multi-source remote sensing data. J. Agric. Eng. 2014, 30, 126–132. [Google Scholar]
















| Drought Level | Soil Moisture Status | TVDI | CWSI |
|---|---|---|---|
| Wetness | Surface moist | (0, 0.2] | (0, 0.4] |
| Normal | Normal soil moisture or near-surface dry air | (0.2, 0.4] | (0.4, 0.6] |
| Slight drought | Soil surface dry, dry yellow leaves | (0.4, 0.6] | (0.6, 0.7] |
| Moderate drought | Dry soil layer in soil, dry yellow leaves | (0.6, 0.8] | (0.7, 0.8] |
| Severe drought | Extremely dry soil layer in soil, dry yellow leaves | (0.8, 1] | (0.8, 1.0] |
Disclaimer/Publisher’s Note: The statements, opinions and data contained in all publications are solely those of the individual author(s) and contributor(s) and not of MDPI and/or the editor(s). MDPI and/or the editor(s) disclaim responsibility for any injury to people or property resulting from any ideas, methods, instructions or products referred to in the content. |
© 2023 by the authors. Licensee MDPI, Basel, Switzerland. This article is an open access article distributed under the terms and conditions of the Creative Commons Attribution (CC BY) license (https://creativecommons.org/licenses/by/4.0/).
Share and Cite
Guo, Y.; Han, L.; Zhang, D.; Sun, G.; Fan, J.; Ren, X. The Factors Affecting the Quality of the Temperature Vegetation Dryness Index (TVDI) and the Spatial–Temporal Variations in Drought from 2011 to 2020 in Regions Affected by Climate Change. Sustainability 2023, 15, 11350. https://doi.org/10.3390/su151411350
Guo Y, Han L, Zhang D, Sun G, Fan J, Ren X. The Factors Affecting the Quality of the Temperature Vegetation Dryness Index (TVDI) and the Spatial–Temporal Variations in Drought from 2011 to 2020 in Regions Affected by Climate Change. Sustainability. 2023; 15(14):11350. https://doi.org/10.3390/su151411350
Chicago/Turabian StyleGuo, Yuchen, Liusheng Han, Dafu Zhang, Guangwei Sun, Junfu Fan, and Xiaoyu Ren. 2023. "The Factors Affecting the Quality of the Temperature Vegetation Dryness Index (TVDI) and the Spatial–Temporal Variations in Drought from 2011 to 2020 in Regions Affected by Climate Change" Sustainability 15, no. 14: 11350. https://doi.org/10.3390/su151411350
APA StyleGuo, Y., Han, L., Zhang, D., Sun, G., Fan, J., & Ren, X. (2023). The Factors Affecting the Quality of the Temperature Vegetation Dryness Index (TVDI) and the Spatial–Temporal Variations in Drought from 2011 to 2020 in Regions Affected by Climate Change. Sustainability, 15(14), 11350. https://doi.org/10.3390/su151411350

