Research on the Classification of New Energy Industry Policy Texts Based on BERT Model
Abstract
1. Introduction
2. Literature Review
2.1. Research on New Energy Industry Policy Classification
2.2. Text Classification Methods
3. Research Methodology
3.1. Research Framework
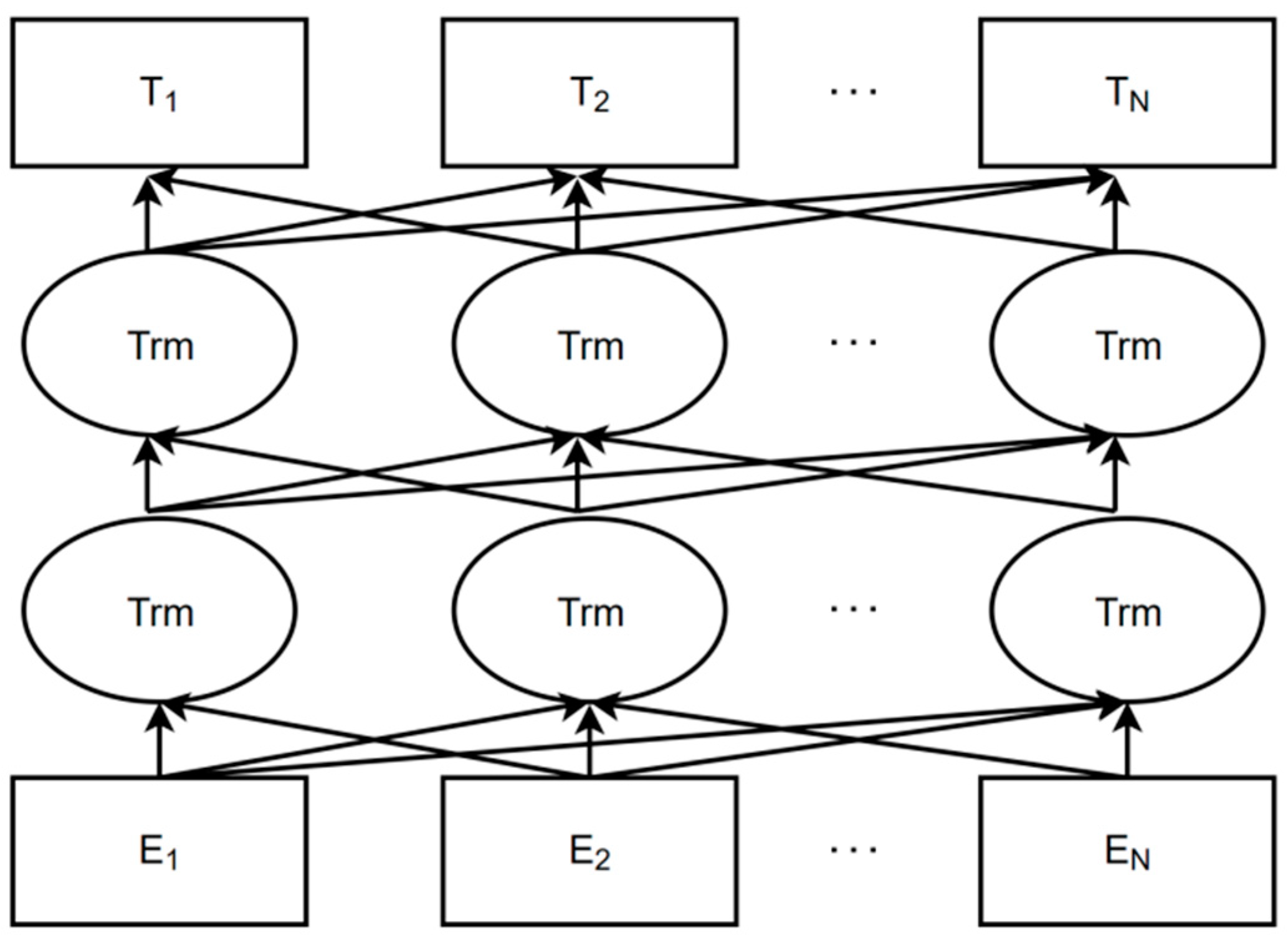
3.2. BERT Model
3.3. Samples and Data Processing
3.4. Experimental Environment and Parameter Settings
3.5. Evaluation Indices
4. Results
4.1. New Energy Industry Policy Classification System
4.2. Model Comparison
4.3. Ablation Study
4.4. Text Classification Result Analysis
5. Conclusions
Author Contributions
Funding
Institutional Review Board Statement
Informed Consent Statement
Data Availability Statement
Conflicts of Interest
References
- Chishti, M.Z.; Ahmad, M.; Rehman, A.; Khan, M.K. Mitigations pathways towards sustainable development: Assessing the influence of fiscal and monetary policies on carbon emissions in BRICS economies. J. Clean. Prod. 2021, 292, 12603. [Google Scholar] [CrossRef]
- Yin, L.M.; Liu, J. Impact of Environmental Economic Transformation Based on Sustainable Development on Financial Eco-Efficiency. Sustainability 2023, 15, 856. [Google Scholar] [CrossRef]
- Sinha, A.; Shahbaz, M.; Sengupta, T. Renewable energy policies and contradictions in causality: A case of Next 11 countries. J. Clean. Prod. 2018, 197, 73–84. [Google Scholar] [CrossRef]
- Xu, B.; Lin, B.Q. Do we really understand the development of China’s new energy industry? Energy Econ. 2018, 74, 733–745. [Google Scholar] [CrossRef]
- Wang, Q.; Kwan, M.-P.; Fan, J.; Zhou, K.; Wang, Y.-F. A study on the spatial distribution of the renewable energy industries in China and their driving factors. Renew. Energy 2019, 139, 161–175. [Google Scholar] [CrossRef]
- Wu, G.; Zeng, M.; Peng, L.L.; Liu, X.M.; Li, B.; Duan, J.H. China’s new energy development: Status, constraints and reforms. Renew. Sustain. Energy Rev. 2016, 53, 885–896. [Google Scholar] [CrossRef]
- Chang, Y.H.; Fang, Z.; Li, Y.F. Renewable energy policies in promoting financing and investment among the East Asia Summit countries: Quantitative assessment and policy implications. Energy Policy 2016, 95, 427–436. [Google Scholar] [CrossRef]
- Wang, Q.Q.; Li, C.B. An evolutionary analysis of new energy and industry policy tools in China based on large-scale policy topic modeling. PLoS ONE 2021, 16, e0252502. [Google Scholar] [CrossRef]
- Lin, B.; Xu, B. How to promote the growth of new energy industry at different stages? Energy Policy 2018, 118, 390–403. [Google Scholar] [CrossRef]
- Wang, S. Exploring the Sustainability of China’s New Energy Vehicle Development: Fresh Evidence from Population Symbiosis. Sustainability 2022, 14, 10796. [Google Scholar] [CrossRef]
- Zeng, M.; Liu, X.M.; Li, N.; Xue, S. Overall review of renewable energy tariff policy in China: Evolution, implementation, problems and countermeasures. Renew. Sustain. Energy Rev. 2013, 25, 260–271. [Google Scholar] [CrossRef]
- Singh, R.; Sood, Y.R. Current status and analysis of renewable promotional policies in Indian restructured power sector: A review. Renew. Sustain. Energy Rev. 2011, 15, 657–664. [Google Scholar] [CrossRef]
- Ma, Y.M.; Huang, J.X.; Wang, F.; Rui, X. Research on multi-label classification of S&T policy content combining BERT and Multi-Scale CNN. J. Intell. 2022, 41, 157–163. (In Chinese) [Google Scholar]
- Huang, C.; Yang, C.; Su, J. Identifying core policy instruments based on structural holes: A case study of China’s nuclear energy policy. J. Informetr. 2021, 15, 101145. [Google Scholar] [CrossRef]
- Rothwell, R.; Zegveld, W. Reindustrialization and Technology; Logman Group Limited: London, UK, 1985; pp. 83–104. [Google Scholar]
- Tu, Q.; Mo, J.L.; Fan, Y. The evolution and evaluation of China’s renewable energy policies and their implications for the future. Chin. J. Popul. Resour. 2020, 30, 29–36. (In Chinese) [Google Scholar]
- Wang, X.Z.; Zou, H.H. Study on the effect of wind power industry policy types on the innovation performance of different ownership enterprises: Evidence from China. Energy Policy 2018, 122, 241–252. [Google Scholar] [CrossRef]
- Zhi, Q.; Sun, H.H.; Li, Y.X.; Xu, Y.R.; Su, J. China’s solar photovoltaic policy: An analysis based on policy instruments. Appl. Energy 2014, 129, 308–319. [Google Scholar] [CrossRef]
- Zhang, H.M.; Xu, Z.D.; Sun, C.W.; Elahi, E. Targeted Poverty Alleviation Using Photovoltaic Power: Review of Chinese Policies. Energy Policy 2018, 120, 550–558. [Google Scholar] [CrossRef]
- Wang, X.; Wang, J.; Xu, C.; Zhang, K.; Li, G. Electric Vehicle Charging Infrastructure Policy Analysis in China: A Framework of Policy Instrumentation and Industrial Chain. Sustainability 2023, 15, 2663. [Google Scholar] [CrossRef]
- Gao, W.; Hu, X.Y. New energy vehicle policy effect: Does scale or innovation serve as an intermediary? Sci. Res. Manag. 2020, 41, 32–44. (In Chinese) [Google Scholar] [CrossRef]
- Wang, B.J.; Yu, P. Evaluation on the policy efficacy and effect of photovoltaic industry: Quantitative analysis of China’s policy texts from 2010 to 2020. Soft Sci. 2022, 36, 9–16. (In Chinese) [Google Scholar] [CrossRef]
- Zhang, Y.A.; Zhou, Y.Y. Policy instrument mining and quantitative evaluation of new energy vehicles subsidies. Chin. J. Popul. Resour. 2017, 27, 188–197. (In Chinese) [Google Scholar]
- Zeng, J.J.; Hu, J.X. Textual and quantitative research of solar industry in China from the perspective of policy tools. Sci. Technol. Manag. Res. 2014, 34, 224–228. (In Chinese) [Google Scholar]
- Wang, X.L.; Huang, L.C.; Daim, T.; Li, X.; Li, Z.Q. Evaluation of China’s new energy vehicle policy texts with quantitative and qualitative analysis. Technol. Soc. 2021, 67, 101770. [Google Scholar] [CrossRef]
- Bădulescu, L.A. Data mining classification experiments with decision trees over the forest covertype database. In Proceedings of the 21st International Conference on System Theory, Control and Computing, Sinaia, Romania, 19–21 October 2017. [Google Scholar] [CrossRef]
- Awad, N.A.; Mahmoud, A. Analyzing customer reviews on social media via applying association rule. Comput. Mater. Contin. 2021, 68, 1519–1530. [Google Scholar] [CrossRef]
- Liu, Y.; Beldona, S. Extracting revisit intentions from social media big data: A rule-based classification model. Int. J. Contemp. Hosp. Manag. 2021, 33, 2176–2193. [Google Scholar] [CrossRef]
- Gao, H.; Zeng, X.; Yao, C. Application of improved distributed naive Bayesian algorithms in text classification. J. Supercomput. 2019, 75, 5831–5847. [Google Scholar] [CrossRef]
- Jiang, S.Y.; Pang, G.S.; Wu, M.L.; Kuang, L.M. An improved K-nearest-neighbor algorithm for text categorization. Expert Syst. Appl. 2012, 39, 1503–1509. [Google Scholar] [CrossRef]
- Zhang, L. Implementation of classification and recognition algorithm for text information based on support vector machine. Int. J. Pattern Recogn. 2020, 34, 2053005. [Google Scholar] [CrossRef]
- Chen, C.W.; Tseng, S.P.; Wang, J.F. Outpatient text classification system using LSTM. J. Inf. Sci. Eng. 2021, 37, 365–379. [Google Scholar] [CrossRef]
- Liu, M.Q.; Liu, L.Z.; Cao, J.Y.; Du, Q. Co-attention network with label embedding for text classification. Neurocomputing 2022, 471, 61–69. [Google Scholar] [CrossRef]
- Hinton, G.E.; Salakhutdnov, R.R. Reducing the dimensionality of data with neural networks. Science 2006, 313, 504–507. [Google Scholar] [CrossRef] [PubMed]
- Kim, Y. Convolutional neural networks for sentence classification. arXiv 2014. [Google Scholar] [CrossRef]
- Liu, P.; Qiu, X.; Huang, X. Recurrent neural network for text classification with multi-task learning. In Proceedings of the Twenty-Fifth International Joint Conference on Artificial Intelligence, New York, NY, USA, 9–15 July 2016. [Google Scholar] [CrossRef]
- Devlin, J.; Chang, M.-W.; Lee, K.; Toutanova, K. BERT: Pre-training of Deep Bidirectional Transformers for Language Understanding. In Proceedings of the 2019 Conference of the North American Chapter of the Association for Computational Linguistics: Human Language Technologies, Minneapolis, MN, USA, 2–7 June 2019. [Google Scholar] [CrossRef]
- Chen, X.; Cong, P.; Lv, S. A Long-Text Classification Method of Chinese News Based on BERT and CNN. IEEE Access 2022, 10, 34046–34057. [Google Scholar] [CrossRef]
- Jiang, X.C.; Song, C.; Xu, Y.C.; Li, Y.; Peng, Y.L. Research on sentiment classification for netizens based on the BERT-BiLSTM-TextCNN model. PeerJ Comput. Sci. 2022, 8, e1005. [Google Scholar] [CrossRef]
- Weng, X.; Zhao, J.; Jiang, C.; Ji, Y. Research on sentiment classification of futures predictive texts based on BERT. Computing 2021. [Google Scholar] [CrossRef]
- She, X.; Chen, J.; Chen, G. Joint Learning With BERT-GCN and Multi-Attention for Event Text Classification and Event Assignment. IEEE Access 2022, 10, 27031–27040. [Google Scholar] [CrossRef]
- Zhao, J.; Li, C. Research on the Classification of Policy Instruments Based on BERT Model. Discret. Dyn. Nat. Soc. 2022, 2022, 6123348. [Google Scholar] [CrossRef]
- Liao, Z. The evolution of wind energy policies in China (1995–2014): An analysis based on policy instruments. Renew. Sustain. Energy Rev. 2016, 56, 464–472. [Google Scholar] [CrossRef]
- Shen, W. Who drives China’s renewable energy policies? Understanding the role of industrial corporations. Environ. Dev. 2017, 21, 87–97. [Google Scholar] [CrossRef]
- Cheng, Q.; Yi, H. Complementarity and substitutability: A review of state level renewable energy policy instrument interactions. Renew. Sustain. Energy Rev. 2017, 67, 683–691. [Google Scholar] [CrossRef]
- Liu, X.; Li, J.; Han, L.; Zhou, B. Empirical analysis of the role of new energy transition in promoting china’s economy. Front. Environ. Sci. 2022, 10, 955730. [Google Scholar] [CrossRef]
- Wang, X.; Li, C.; Shang, J.; Yang, C.; Zhang, B.; Ke, X. Strategic Choices of China’s New Energy Vehicle Industry: An Analysis Based on ANP and SWOT. Energies 2017, 10, 537. [Google Scholar] [CrossRef]
- Li, X.; Peng, Y.; He, Q.; He, H.; Xue, S. Development of New-Energy Vehicles under the Carbon Peaking and Carbon Neutrality Strategy in China. Sustainability 2023, 15, 7725. [Google Scholar] [CrossRef]
- Qiu, L.; Yang, D.; Hong, K.; Wu, W.; Zeng, W. The Prospect of China’s Renewable Automotive Industry Upon Shrinking Subsidies. Front. Energy Res. 2021, 9, 661585. [Google Scholar] [CrossRef]




| Name | Configuration |
|---|---|
| CPU | Intel (R) Core (TM) i7 CPU @ 2.8 GHz |
| Memory | 16 GB |
| GPU | Intel Iris Pro 1536 MB |
| System | MacOs 11.6.8 |
| Hyperparameter | Value |
|---|---|
| Optimizer name | Adam |
| Batch size | 512 |
| Epochs | 5 |
| Learning rate | 5 × 10−5 |
| Dropout rate | 0.1 |
| Instrument Type | Subdivision of Policy Instrument | Definition and Examples |
|---|---|---|
| Supply side | Funding support | The government promotes industry development through financial investment, including special funds for renewable energy, subsidies for the purchase of new energy vehicles, and subsidies for electricity prices |
| Technical support | The government provides support for the innovative development of new energy-related technologies, including talent training, action plans for the innovative development of new energy industries, and integrated platforms for industry, academia, and research | |
| Project construction | The government promotes the development and utilization of new energy by means of project construction, including the construction of photovoltaic power plant projects and decentralized wind power projects | |
| Infrastructure construction | The government improves the supporting infrastructure required by the new energy industry, including the construction of urban and rural distribution grids, new energy vehicle charging piles, hydrogen refueling supporting infrastructure construction, etc. | |
| Environmental | Tax incentives | The government has issued tax relief policies related to the new energy industry, including a 50% instant refund of VAT and corporate income tax |
| Financial support | The government provides a good financing environment for new energy enterprises through direct or indirect means, including renewable energy stock project tariff subsidy confirmation loans, green bonds, green credit, etc. | |
| Regulatory control | The government strengthens the supervision and management of new energy industry activities, including new energy development and utilization management methods, product quality regulation, etc. | |
| Goal planning | The government makes overall layout and goal guidance for new energy industry, including renewable energy development planning, solar energy development planning, etc. | |
| Demand-side | Promotion and application | The government encourages the application and promotion of achievements related to the new energy industry, including the promotion and application of photovoltaic power generation and building integration, and the application of biomass energy in agricultural production and rural life |
| Government procurement | The government promotes the consumption of technology products and services related to the new energy industry through purchases, including new energy vehicle procurement and public sector vehicle electrification programs | |
| Trade control | The government uses import and export trade controls for new energy products to stimulate demand, including product tariffs, trade agreements, etc. |
| Input | Output | ||
|---|---|---|---|
| Title | Topic Sentence 1 | Topic Sentence 2 | Policy Type |
| Interim Measures for the Management of Financial Subsidy Funds for Solar Photovoltaic Building Applications | Strengthening the management of financial assistance funds for solar photovoltaic building applications | The subsidy rate for solar photovoltaic buildings is in principle set at RMB 20/Wp | Funding support, Supply side |
| The 12th Five-Year Plan for the Development of New Energy in Shanghai | Strengthening new energy planning guidance | Main tasks for the development of new energy in the 12th Five-Year Plan | Goal planning, Environmental |
| Implementation plan for the purchase of new energy vehicles by government agencies and public institutions | Regulating the management of new energy vehicle procurement | Inclusion of new energy vehicles in the centralized government procurement catalogue and priority procurement | Government procurement, Demand-side |
| Model | Precision | Recall | F1 |
|---|---|---|---|
| FastText | 79.21% | 83.15% | 81.07% |
| TextCNN | 84.01% | 86.13% | 84.96% |
| BERT | 86.92% | 88.60% | 87.74% |
| Policy Category | Precision | Recall | F1 |
|---|---|---|---|
| Funding support | 87.12% | 86.23% | 86.67% |
| Technical support | 85.76% | 92.25% | 88.89% |
| Project construction | 90.23% | 91.31% | 90.77% |
| Infrastructure construction | 85.21% | 86.22% | 85.71% |
| Tax incentives | 87.13% | 86.95% | 87.04% |
| Financial support | 76.12% | 80.56% | 78.28% |
| Regulatory control | 79.33% | 84.02% | 81.61% |
| Goal planning | 88.42% | 91.81% | 90.08% |
| Promotion and application | 89.73% | 87.27% | 88.48% |
| Government procurement | 87.35% | 84.25% | 85.77% |
| Trade control | 89.01% | 92.29% | 90.62% |
| Ablation Experiment | Precision | Recall | F1 |
|---|---|---|---|
| Ablation experiment 1: policy titles | 85.93% | 87.70% | 86.75% |
| Ablation experiment 2: policy topic sentences | 86.24% | 87.13% | 86.58% |
| Ours: policy titles + topic sentences | 86.92% | 88.60% | 87.74% |
Disclaimer/Publisher’s Note: The statements, opinions and data contained in all publications are solely those of the individual author(s) and contributor(s) and not of MDPI and/or the editor(s). MDPI and/or the editor(s) disclaim responsibility for any injury to people or property resulting from any ideas, methods, instructions or products referred to in the content. |
© 2023 by the authors. Licensee MDPI, Basel, Switzerland. This article is an open access article distributed under the terms and conditions of the Creative Commons Attribution (CC BY) license (https://creativecommons.org/licenses/by/4.0/).
Share and Cite
Li, Q.; Xiao, Z.; Zhao, Y. Research on the Classification of New Energy Industry Policy Texts Based on BERT Model. Sustainability 2023, 15, 11186. https://doi.org/10.3390/su151411186
Li Q, Xiao Z, Zhao Y. Research on the Classification of New Energy Industry Policy Texts Based on BERT Model. Sustainability. 2023; 15(14):11186. https://doi.org/10.3390/su151411186
Chicago/Turabian StyleLi, Qian, Zezhong Xiao, and Yanyun Zhao. 2023. "Research on the Classification of New Energy Industry Policy Texts Based on BERT Model" Sustainability 15, no. 14: 11186. https://doi.org/10.3390/su151411186
APA StyleLi, Q., Xiao, Z., & Zhao, Y. (2023). Research on the Classification of New Energy Industry Policy Texts Based on BERT Model. Sustainability, 15(14), 11186. https://doi.org/10.3390/su151411186

