Energy Accumulation Characteristics and Induced Rockburst Mechanism of Roadway Surrounding Rock under Multiple Mining Disturbances: A Case Study
Abstract
:1. Introduction
2. Project Background
2.1. Project Overview
2.2. Failure Characteristics of the Accident Roadway
- (1)
- The accident roadway showed obvious characteristics of sectional damage. The 4203 haulage roadway is divided into five sections from the end of the working face outwards. As shown in Figure 1, the surrounding rock of the roadway within a range of 0–41 m in front of the working face was severely damaged (length 41 m). The transfer machine head was inclined, with one side close to the roof and the other side located 350 mm away from the roof, as shown in Figure 2. The roof with a range of 41–51 m in front of the working face was basically intact (length 10 m). The 51–70 m section in front of the working face presented evidence of the impact roof collapse (length 19 m), and its height of 2.0–2.5 m reached the direct roof. Most of the anchor rods on the side were exposed, the coal side was collapsed. The 70–200 m section in front of the working face was the damaged section outside the roof falling area, with 70–115 m being more severe. The roof and sides appeared to have a net pocket, and the floor bulge was severe. The normal rock pressure manifestation section was located 200 m away from the front of the working face, and the roadway surrounding rock was basically intact.
- (2)
- The accident roadway had typical dynamic damage characteristics. Some single hydraulic props were bent at 0–41 m in front of the working face. Within the 19-m-long roof fall and wall collapse section, more than 30 sets of roof bolts were broken, accounting for nearly 30% of the total number of bolts, most of them were broken without necking, and all 19 anchor cables were pulled apart, which is evidently different from the breaking and failure characteristics of bolts and anchor cables in ordinary roof fall accidents, as shown in Figure 3. According to the data provided by the Center of Seismological Network of Shanxi Province, the SHC Shenchi Station (~42 km away), PIG Pianguan Station (~83 km away), KEL Kelan Station (~80 km away), and L1410 Yuanping Station (~78 km away) all experienced obvious “earthquake anomalies” when the accident occurred.


3. Establishment of a Numerical Model
3.1. Numerical Calculation Model
3.2. Calculation Schemes
4. Stress Environment Characteristics of the Roadway Surrounding Rock
4.1. Vector Characteristics of the Mining Roadway Surrounding Rock Stress State
4.2. Distribution Characteristics of the Surrounding Rock Stress Field of Mining Roadway
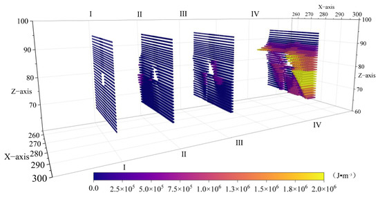
5. Energy Accumulation Characteristics of the Roadway Surrounding Rock
5.1. Energy Accumulation Characteristics of the Roadway Surrounding Rock
5.2. Super Energy Package of the Roadway Surrounding Rock and Its Evolution Characteristics
5.2.1. Super Energy Package and Its Connotation
5.2.2. Evolution Characteristics of Super Energy Package
6. Discussion
6.1. Energy Evolution Process of the Surrounding Rock of Mining Roadway
- (1)
- Energy input
- (2)
- Energy accumulation
- (3)
- Energy dissipation
- (4)
- Energy release
6.2. Mechanism of Rockburst Induced by Energy Accumulation in the Surrounding Rock of Mining Roadway
7. Conclusions
- (1)
- The stress environment characteristics of the roadway surrounding rock under the influence of multiple mining disturbances were studied and analyzed. The degree of stress concentration in the surrounding rock of the roadway will increase several times as the number of mining disturbances increases. The stress concentration degree of the roadway roof surrounding rock and the uneven degree of the stress field distribution are relatively higher, and the peak maximum principal stress can reach 5–10 times that outside the mining-affected area. During the mining process of the working face, as the distance from the stopping position of the adjacent working face decreases, the stress concentration degree of the roadway surrounding rock continues to increase during its dynamic migration.
- (2)
- Under the influence of multiple mining disturbances, a large amount of elastic energy is accumulated in the roadway surrounding rock and a super-high-density energy package is formed in the roadway surrounding rock. The maximum energy density value in the super energy package can reach 50–185 times that of outside the mining-affected area. The degree of energy accumulation in the super energy package will change significantly with the change of the location of the working face. When the huge energy accumulated in the super energy package reaches a certain limit, it may become the main energy source of the dynamic disaster accident. This relationship can be used as an important theoretical basis for determining the size and location of the energy source of rockburst.
- (3)
- The evolution process of the surrounding rock energy of a mining roadway and the mechanism of induced rockburst are expounded. Under the influence of multiple mining disturbances, the energy of the surrounding rock system of the mining roadway is continuously accumulated and forms a super energy package with a very high energy density value. When the huge energy accumulated in the super energy package is suddenly and violently released, it can cause dynamic destruction of the surrounding rock, such as rock mass ejection, surrounding rock vibration, and roadway roof fall, which are accompanied by the sound of surrounding rock fracture. The degree of energy accumulation in the super energy package is closely related to the magnitude of rockburst.
Author Contributions
Funding
Institutional Review Board Statement
Informed Consent Statement
Data Availability Statement
Acknowledgments
Conflicts of Interest
References
- Pan, Y.S.; Song, Y.M.; Zhu, C.L.; Ren, H.; Xu, H.L. Localization method of coal rock deformation for rock burst prediction. J. China Coal Soc. 2023, 48, 185–198. [Google Scholar]
- Pan, J.F.; Kang, H.P.; Yan, Y.D.; Ma, X.H.; Ma, W.T.; Lu, C.; Lv, D.Z.; Xu, G.; Feng, M.H.; Xia, Y.X.; et al. The method mechanism and application of preventing rock burst by artificial liberation layer of roof. J. China Coal Soc. 2023, 48, 636–648. [Google Scholar]
- Zhang, H.W.; Li, S.; Han, J.; Song, W.H.; Lan, T.W.; Rong, H.; Fu, X.; Yang, Z.H. Geo-dynamic division and its application in study of rock burst. Coal Sci. Technol. 2023, 51, 191–202. [Google Scholar]
- Jang, F.X.; Zhang, X.; Zhu, S.T. Discussion on key problems in prevention and control system of coal mine rock burst. Coal Sci. Technol. 2023, 51, 203–213. [Google Scholar]
- Yang, Y.; Cao, A.; Liu, Y.; Bai, X.; Yan, Z.; Wang, S.; Wang, C. Understanding the Mechanism of Strong Mining Tremors near the Goaf Area of Longwall Mining: A Case Study. Appl. Sci. 2023, 13, 5364. [Google Scholar] [CrossRef]
- Song, D.Z. Research on Rockburst Evolutionary Process and Energy Dissipation Characteristics. Ph.D. Thesis, China University of Mining and Technology, Xuzhou, China, 2012. [Google Scholar]
- Zhu, X.J.; Pan, Y.S.; Li, Q.; Wang, A.W.; Wang, K.X.; Chen, J.J. Softening zone energy extremum criterion and experimental study of roadway rock burst. J. China Univ. Min. Technol. 2021, 50, 975–982. [Google Scholar]
- Wang, G.; Li, G.; Dou, L.; Mu, Z.; Gong, S.; Cai, W. Applicability of energy-absorbing support system for rockburst prevention in underground roadways. Int. J. Rock Mech. Min. 2020, 132, 104396. [Google Scholar] [CrossRef]
- Xu, C.; Fu, Q.; Cui, X.; Wang, K.; Zhao, Y.; Cai, Y. Apparent-Depth Effects of the Dynamic Failure of Thick Hard Rock Strata on the Underlying Coal Mass During Underground Mining. Rock Mech. Rock Eng. 2019, 52, 1565–1576. [Google Scholar] [CrossRef]
- Li, X.L.; Chen, S.J.; Wang, E.Y.; Li, Z.H. Rockburst mechanism in coal rock with structural surface and the microseismic (MS) and electromagnetic radiation (EMR) response. Eng. Fail. Anal. 2021, 124, 105396. [Google Scholar] [CrossRef]
- Zhu, S.T.; Feng, Y.; Jiang, F.X. Determination of abutment pressure in coal mines with extremely thick alluvium stratum: A typical kind of rockburst mines in China. Rock Mech. Rock Eng. 2016, 49, 1943–1952. [Google Scholar] [CrossRef]
- Shi, T.W.; Pan, Y.S.; Wang, A.W.; Dai, L.P. Classification of rock burst in coal mine based on energy storage and release bodies. J. China Coal Soc. 2020, 45, 524–532. [Google Scholar]
- Xue, C.C.; Cao, A.Y.; Guo, W.H.; Liu, Y.Q.; Wen, Y.Y.; Hu, Y.; Li, X.W. Energy evolution law and rock burst mechanism of deep thick seams with large inclination. J. Min. Saf Eng. 2021, 38, 876–885. [Google Scholar]
- Zhang, J.W.; Dong, X.K.; Cai, H.T.; Yang, L.; Zhao, S.K.; Wang, Q.; Lv, Y.L.; Jia, L.L.; Bai, J.J.; Zheng, B.; et al. Structure evolution and rockbursts prevention in multi-face mining in geological anomaly area. Coal Sci. Technol. 2023, 51, 95–105. [Google Scholar] [CrossRef]
- Wang, S.W.; Ju, W.J.; Pan, J.F.; Lu, C. Mechanism of energy partition evolution of excavation roadway rockburst in coal seam under tectonic stress field. J. China Coal Soc. 2019, 44, 2000–2010. [Google Scholar]
- Konicek, P.; Waclawik, P. Stress changes and seismicity monitoring of hard coal longwall mining in high rockburst risk areas. Tunn. Undergr. Space Technol. 2018, 81, 237–251. [Google Scholar] [CrossRef]
- Jiang, L.S.; Kong, P.; Zhang, P.P.; Shu, J.M.; Wang, Q.B.; Chen, L.J.; Wu, Q.L. Dynamic analysis of the rock burst potential of a longwall panel intersecting with a fault. Rock Mech. Rock Eng. 2020, 53, 1737–1754. [Google Scholar] [CrossRef]
- Ma, N.J.; Guo, X.F.; Zhao, Z.Q.; Zhao, X.D.; Liu, H.T. Occurrence mechanisms and judging criterion on circular tunnel butterfly rock burst in homogeneous medium. J. China Coal Soc. 2016, 41, 2679–2688. [Google Scholar]
- Lippmann, H. Mechanical Considerations of Bumps in Coal Mines, Rockbursts and Seismicity in Mines; Fairhurst, E., Ed.; Balkema: Rotterdam, The Netherlands, 1990; pp. 279–284. [Google Scholar]
- Li, X.Y.; Ma, N.J.; Zhong, Y.P.; Gao, Q.C. Storage and release regular of elastic energy distribution in tight roof fracturing. Chin. J. Rock Mech. Eng. 2007, 26, 2786–2793. [Google Scholar]
- Zhou, L.; Chen, J.X.; Zhou, C.L.; Zhu, Z.M.; Dong, Y.Q.; Wang, H.B. Study on failure behaviors of mixed-mode cracks under static and dynamic loads. Geomech. Eng. 2022, 29, 567–582. [Google Scholar]
- Zhou, L.; Ma, L.J.; Zhu, Z.M.; Dong, Y.Q.; Huang, J.W.; Cui, S.H. Study of the coupling effect of elliptical cavities and cracks on tunnel stability under dynamic loads. Theor. Appl. Fract. Mec. 2022, 121, 103502. [Google Scholar] [CrossRef]
- Guo, H.J. Research on the Energy Evolution Laws of Surrounding Rock Unloading and the Rockburst Mechanism in Solid Coal Roadway Excavation. Ph.D. Thesis, China University of Mining and Technology, Xuzhou, China, 2019. [Google Scholar]
- Hao, F.K.; Li, H.T.; Zhou, K.; Wang, X. Study on Numerical Simulation of Main Control Factors for Energy Distribution of Mine Pressure Bump. Coal Sci. Technol. 2014, 42, 31–34. [Google Scholar]
- Tan, Y.L.; Wang, Z.H.; Liu, X.S.; Wang, C.W. Estimation of dynamic energy induced by coal mining and evaluation of burst risk. J. China Coal Soc. 2021, 46, 123–131. [Google Scholar]
- Chen, G.B.; Zhang, J.W.; He, Y.L.; Zhang, G.H.; Li, T. Derivation of pre-peak energy distribution formula and energy accumulation tests of coal-rock combined body. Rock Soil Mech. 2022, 43, 130–143+154. [Google Scholar]
- Shcherbakov, S.S. Modeling of the damaged state by the finite-element method on simultaneous action of contact and noncontact loads. J. Eng. Phys. Thermophys. 2012, 85, 472–477. [Google Scholar] [CrossRef]
- Shcherbakov, S.S. Spatial stress-strain state of tribofatigue system in roll–shaft contact zone. Strength Mater. 2013, 45, 35–43. [Google Scholar] [CrossRef]
- Zhuravkov, M.A.; Sherbakov, S.S.; Krupoderov, A.V. Modeling of volumetric damage of multielement clamp-knife-base tribo-fatigue system. ZAMM Z. Angew. Math. Mech. 2017, 97, 60–69. [Google Scholar] [CrossRef]
- Sherbakov, S.S.; Shemet, L.A.; Nasan, A.A. Computer modeling of volumetric damageability in the mine roadway neighbourhood. Dokl. BGUIR 2020, 18, 47–54. [Google Scholar] [CrossRef]
- Qian, M.G.; Shi, P.W.; Xu, J.L. Mine Pressure and Strata Control, 2nd ed.; China University of Mining and Technology Press: Xuzhou, China, 2010; pp. 46–48. [Google Scholar]
- Du, F.; Ma, J.; Guo, X.; Wang, T.; Dong, X.; Li, J.; He, S.; Nuerjuma, D. Rockburst mechanism and the law of energy accumulation and release in mining roadway: A case study. Int. J. Coal Sci. Technol. 2022, 9, 67. [Google Scholar] [CrossRef]
- Hao, Z.; Guo, L.F.; Zhao, X.D.; Chen, G.X.; Zhang, G.H. Analysis of burst failure energy characteristics of mining roadway surrounding rock. J. China Coal Soc. 2020, 45, 3995–4005. [Google Scholar]
- Zhang, Z.Z. Energy Evolution Mechanism during Rock Deformation and Failure. Ph.D. Thesis, China University of Mining and Technology, Xuzhou, China, 2013. [Google Scholar]
- Bieniawski, Z.T.; Denkhaus, H.G.; Vogler, U.W. Failure of fractured rock. Int. J. Rock Mech. Min. Sci. 1969, 6, 323–330, IN29–IN32, 331–341. [Google Scholar] [CrossRef]
- Qi, Q.X.; Li, Y.Z.; Zhao, S.K.; Pan, P.Z.; Wei, X.Z. Discussion on the mechanism and control of coal bump among mine group. J. China Coal Soc. 2019, 44, 141–150. [Google Scholar]
- Holub, K.; Rusajova, J.; Holecko, J. Particle velocity generated by rockburst during exploitation of the longwall and its impact on the workings. Int. J. Rock Mech. Min. Sci. 2011, 48, 942–949. [Google Scholar] [CrossRef]
- Liu, X.S.; Tan, Y.L.; Ning, J.G.; Tian, C.L.; Tian, Z.W. Energy criterion of abutment pressure induced strain-mode rockburst. Rock Soil Mech. 2016, 37, 2929–2936. [Google Scholar]












| Stratum | Density/(kg/m3) | Bulk Modulus/GPa | Shear Modulus/GPa | Cohesion/MPa | Friction Angle/° |
|---|---|---|---|---|---|
| mudstone | 2480 | 9.97 | 7.35 | 4.4 | 32 |
| medium-coarse sandstone | 2630 | 18.7 | 22.0 | 6.6 | 36 |
| coal seam 4−2 | 1380 | 4.91 | 2.01 | 3.7 | 32 |
| fine sandstone | 2540 | 2.7 | 1.6 | 4.0 | 35 |
| mudstone | 2480 | 9.97 | 7.35 | 4.6 | 32 |
| coal seam 9 | 1380 | 4.91 | 2.01 | 3.8 | 32 |
| mudstone | 2480 | 9.97 | 7.35 | 4.2 | 32 |
| fine sandstone | 2540 | 2.7 | 1.6 | 4.0 | 35 |
Disclaimer/Publisher’s Note: The statements, opinions and data contained in all publications are solely those of the individual author(s) and contributor(s) and not of MDPI and/or the editor(s). MDPI and/or the editor(s) disclaim responsibility for any injury to people or property resulting from any ideas, methods, instructions or products referred to in the content. |
© 2023 by the authors. Licensee MDPI, Basel, Switzerland. This article is an open access article distributed under the terms and conditions of the Creative Commons Attribution (CC BY) license (https://creativecommons.org/licenses/by/4.0/).
Share and Cite
Ma, Z.; Li, S.; Zhao, X. Energy Accumulation Characteristics and Induced Rockburst Mechanism of Roadway Surrounding Rock under Multiple Mining Disturbances: A Case Study. Sustainability 2023, 15, 9595. https://doi.org/10.3390/su15129595
Ma Z, Li S, Zhao X. Energy Accumulation Characteristics and Induced Rockburst Mechanism of Roadway Surrounding Rock under Multiple Mining Disturbances: A Case Study. Sustainability. 2023; 15(12):9595. https://doi.org/10.3390/su15129595
Chicago/Turabian StyleMa, Zhenkai, Sheng Li, and Xidong Zhao. 2023. "Energy Accumulation Characteristics and Induced Rockburst Mechanism of Roadway Surrounding Rock under Multiple Mining Disturbances: A Case Study" Sustainability 15, no. 12: 9595. https://doi.org/10.3390/su15129595
APA StyleMa, Z., Li, S., & Zhao, X. (2023). Energy Accumulation Characteristics and Induced Rockburst Mechanism of Roadway Surrounding Rock under Multiple Mining Disturbances: A Case Study. Sustainability, 15(12), 9595. https://doi.org/10.3390/su15129595
