Enhanced Hydrological Simulations in Paddy-Dominated Watersheds Using the Hourly SWAT-MODFLOW-PADDY Modeling Approach
Abstract
1. Introduction
2. Materials and Methods
2.1. General Characteristics of the Study Area
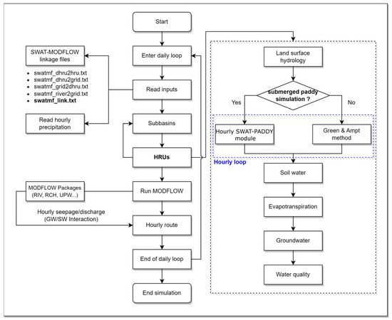
2.2. Description of SWAT-MODFLOW Model
2.3. Model Setup and Input Data
2.4. Surface Water–Groundwater Interactions for Hourly SWAT-MODFLOW
2.5. Development of Hourly SWAT-PADDY Module
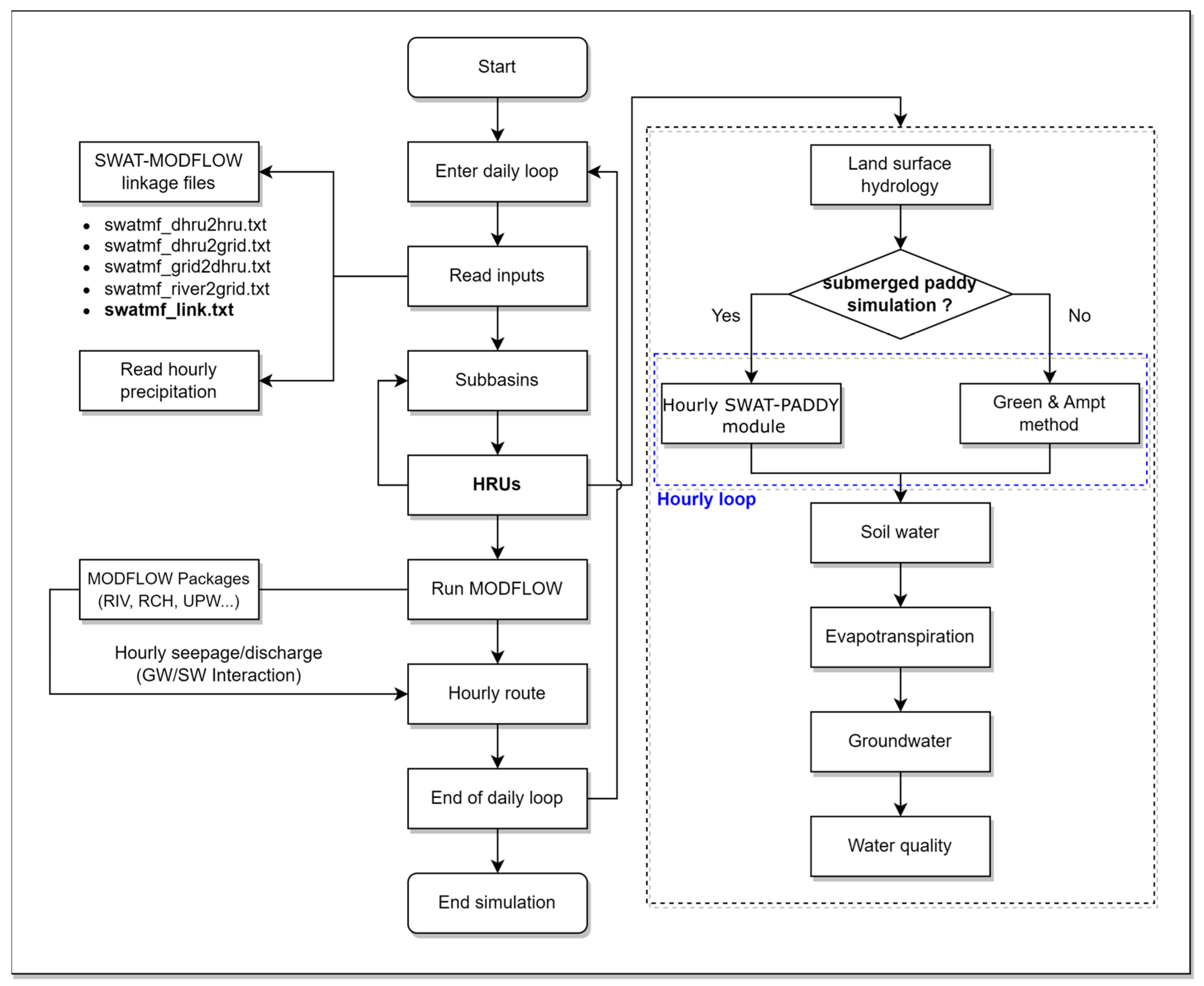
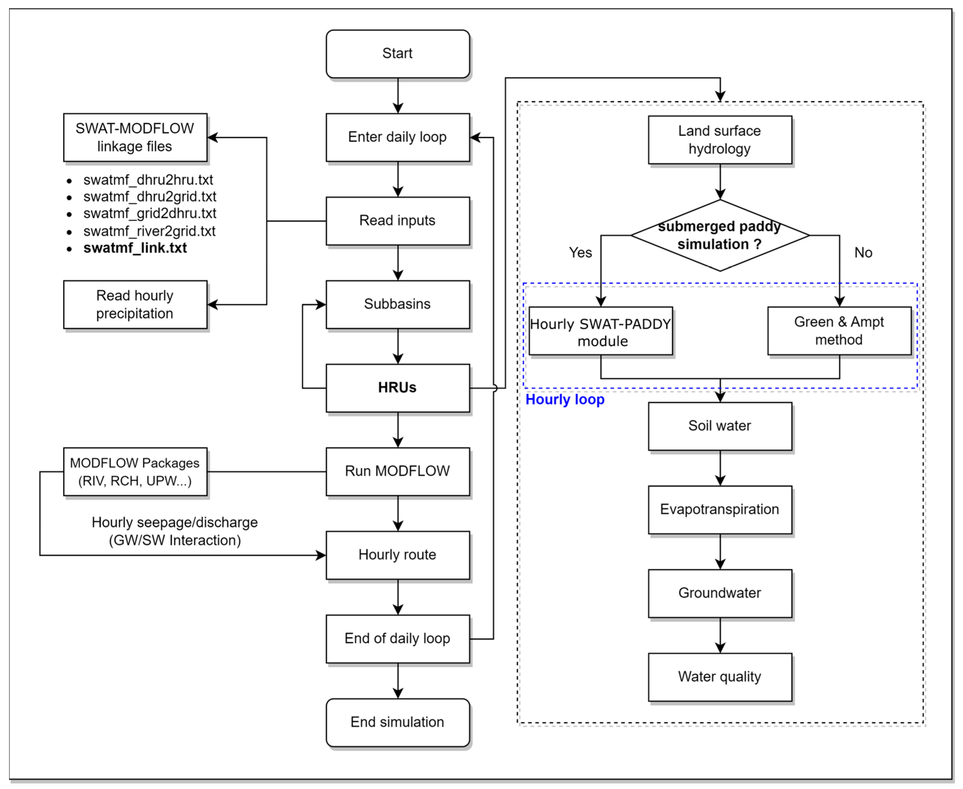
2.6. Linking the SWAT-MODFLOW Model with Hourly SWAT-PADDY Module
2.7. Calibration and Validation of the Hourly SWAT-MODFLOW-PADDY Model
3. Results and Discussion
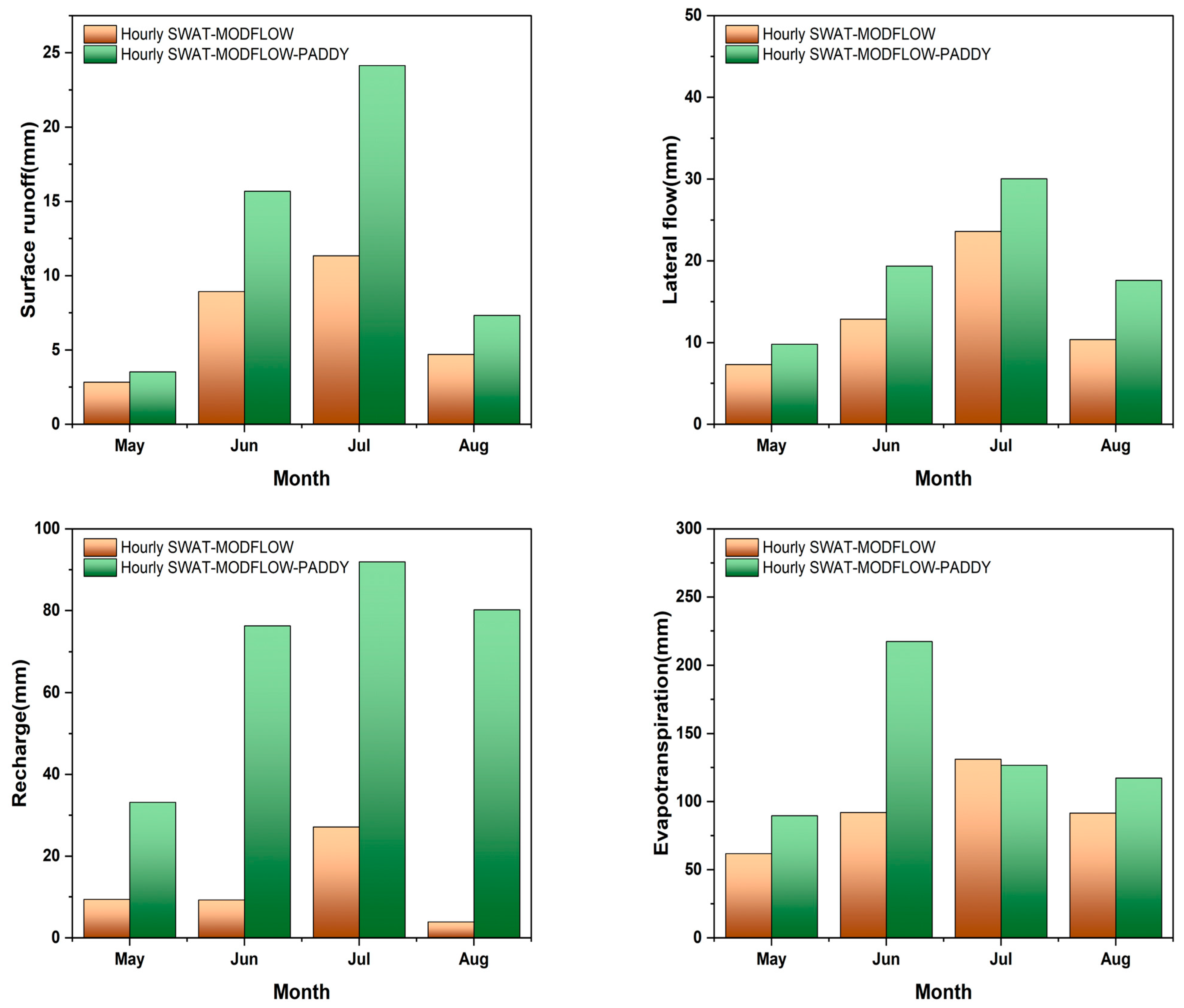
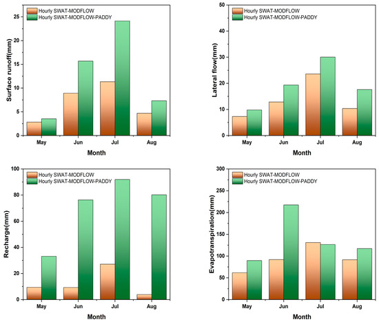
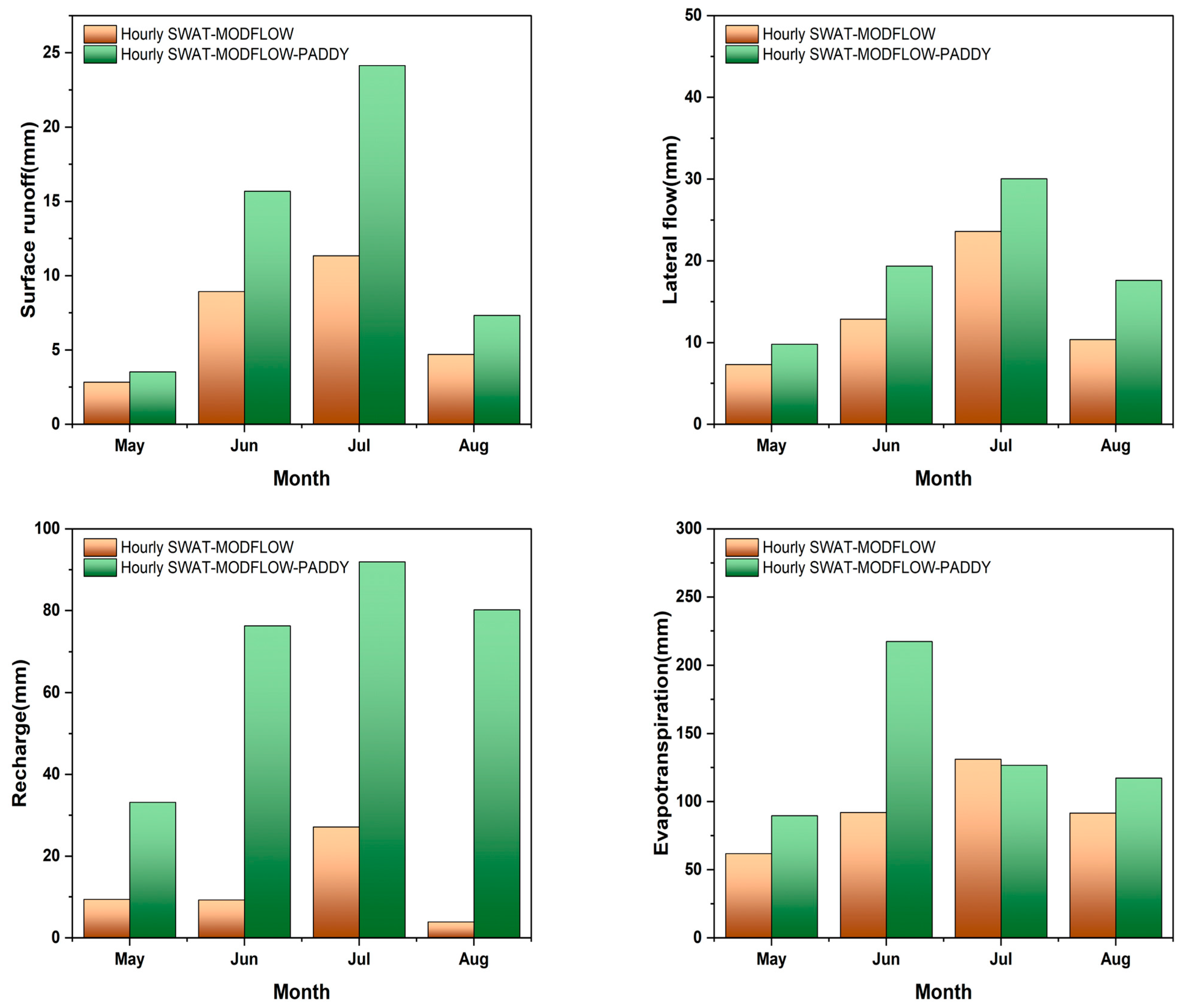
3.1. Runoff and Soil Moisture Predictions with Paddy Field-Specific Hydrological Modeling
3.2. Performance Evaluation of Hourly SWAT-MODFLOW-PADDY Model
3.3. Spatial Distribution of the Groundwater Recharge and Surfacewater–Groundwater Interaction
4. Conclusions
Author Contributions
Funding
Institutional Review Board Statement
Informed Consent Statement
Data Availability Statement
Conflicts of Interest
References
- Matsuno, Y.; Nakamura, K.; Masumoto, T.; Matsui, H.; Kato, T.; Sato, Y. Prospects for Multifunctionality of Paddy Rice Cultivation in Japan and Other Countries in Monsoon Asia. Paddy Water Environ. 2006, 4, 189–197. [Google Scholar] [CrossRef]
- Han, J.; Zhang, Z.; Luo, Y.; Cao, J.; Zhang, L.; Zhuang, H.; Cheng, F.; Zhang, J.; Tao, F. Annual Paddy Rice Planting Area and Cropping Intensity Datasets and Their Dynamics in the Asian Monsoon Region from 2000 to 2020. Agric. Syst. 2022, 200, 103437. [Google Scholar] [CrossRef]
- Phan, N.T.; Lee, J.-Y.; Kien, N.D. The Impact of Land Fragmentation in Rice Production on Household Food Insecurity in Vietnam. Sustainability 2022, 14, 11162. [Google Scholar] [CrossRef]
- Devkota, K.P.; Pasuquin, E.; Elmido-Mabilangan, A.; Dikitanan, R.; Singleton, G.R.; Stuart, A.M.; Vithoonjit, D.; Vidiyangkura, L.; Pustika, A.B.; Afriani, R.; et al. Economic and Environmental Indicators of Sustainable Rice Cultivation: A Comparison across Intensive Irrigated Rice Cropping Systems in Six Asian Countries. Ecol. Indic. 2019, 105, 199–214. [Google Scholar] [CrossRef]
- Natuhara, Y. Ecosystem Services by Paddy Fields as Substitutes of Natural Wetlands in Japan. Ecol. Eng. 2013, 56, 97–106. [Google Scholar] [CrossRef]
- Anan, M.; Yuge, K.; Nakano, Y.; Saptomo, S.; Haraguchi, T. Quantification of the Effect of Rice Paddy Area Changes on Recharging Groundwater. Paddy Water Environ. 2007, 5, 41–47. [Google Scholar] [CrossRef]
- Chang, Y.-C.; Lin, W.-T.; Hsu, N.-S.; Kan, C.-E. Reuse of Return Flow from Wetland Paddy to Supplement Industrial Water Needs. Irrig. Drain. 2009, 59, 345–355. [Google Scholar] [CrossRef]
- Yoshida, T.; Nakano, T.; Shin, K.; Tsuchihara, T.; Minakawa, H.; Miyazu, S.; Kubota, T. Quantification of Seasonal Variabilities in Groundwater Discharge in an Extensive Irrigation Watershed Using H, O, and Sr Isotopes. Hydrol. Earth Syst. Sci. Discuss. 2018, 551, 1–33. [Google Scholar] [CrossRef]
- Kaandorp, V.P.; Molina-Navarro, E.; Andersen, H.E.; Bloomfield, J.P.; Kuijper, M.J.M.; de Louw, P.G.B. A Conceptual Model for the Analysis of Multi-Stressors in Linked Groundwater–Surface Water Systems. Sci. Total Environ. 2018, 627, 880–895. [Google Scholar] [CrossRef]
- Zheng, J.; Wang, W.; Ding, Y.; Liu, G.; Xing, W.; Cao, X.; Chen, D. Assessment of Climate Change Impact on the Water Footprint in Rice Production: Historical Simulation and Future Projections at Two Representative Rice Cropping Sites of China. Sci. Total Environ. 2020, 709, 136190. [Google Scholar] [CrossRef]
- Xiao-jun, W.; Jian-yun, Z.; Shahid, S.; ElMahdi, A.; Rui-min, H.; Zhen-xin, B.; Ali, M. Water Resources Management Strategy for Adaptation to Droughts in China. Mitig. Adapt. Strateg. Glob. Chang. 2012, 17, 923–937. [Google Scholar] [CrossRef]
- Ali, N.I.M.; Aiyub, K.; Lam, K.C.; Abas, A. A Bibliometric Review on the Inter-Connection between Climate Change and Rice Farming. Environ. Sci. Pollut. Res. 2022, 29, 30892–30907. [Google Scholar] [CrossRef]
- Arnold, J.G.; Srinivasan, R.; Muttiah, R.S.; Williams, J.R. Large Area Hydrologic Modelling and Assessment. Part I—Model Development. J. Am. Water Resour. Assoc. 1998, 34, 73–89. [Google Scholar] [CrossRef]
- Bicknell, B.R.; Imhoff, J.C.; Kittle, J.L., Jr.; Donigan, A.S., Jr.; Johanson, R.C.; Barnwell, T.O. Hydrological Simulation Program—Fortran User’s Manual for Version 11; United States Environmental Protection Agency: Washington, DC, USA, 1996; p. 100.
- Bailey, R.T.; Wible, T.C.; Arabi, M.; Records, R.M.; Ditty, J. Assessing Regional-Scale Spatio-Temporal Patterns of Groundwater–Surface Water Interactions Using a Coupled SWAT-MODFLOW Model. Hydrol. Process. 2016, 30, 4420–4433. [Google Scholar] [CrossRef]
- Aliyari, F.; Bailey, R.T.; Tasdighi, A.; Dozier, A.; Arabi, M.; Zeiler, K. Coupled SWAT-MODFLOW Model for Large-Scale Mixed Agro-Urban River Basins. Environ. Model. Softw. 2019, 115, 200–210. [Google Scholar] [CrossRef]
- Zhang, L.; Dai, Y.; Lin, J.; Han, J.; Sun, X.; Li, X.; Liu, P.; Liao, A. Evaluating Spatiotemporal Variations of Groundwater–Surface Water Interaction Using an Integrated Hydrological Model in Huashan Basin, China. Sustainability 2022, 14, 14325. [Google Scholar] [CrossRef]
- Chunn, D.; Faramarzi, M.; Smerdon, B.; Alessi, D.S. Application of an Integrated SWAT–MODFLOW Model to Evaluate Potential Impacts of Climate Change and Water Withdrawals on Groundwater–Surface Water Interactions in West-Central Alberta. Water 2019, 11, 110. [Google Scholar] [CrossRef]
- Rafiei, V.; Nejadhashemi, A.P.; Mushtaq, S.; Bailey, R.T.; An-Vo, D.A. Groundwater-surface water interactions at wetland interface: Advancement in catchment system modeling. Environ. Model. Softw. 2022, 152, 105407. [Google Scholar] [CrossRef]
- Gao, F.; Feng, G.; Han, M.; Dash, P.; Jenkins, J.; Liu, C. Assessment of Surface Water Resources in the Big Sunflower River Watershed Using Coupled SWAT–MODFLOW Model. Water 2019, 11, 528. [Google Scholar] [CrossRef]
- Salmani, H.; Javadi, S.; Eini, M.R.; Golmohammadi, G. Compilation Simulation of Surface Water and Groundwater Resources Using the SWAT-MODFLOW Model for a Karstic Basin in Iran. Hydrogeol. J. 2023. [Google Scholar] [CrossRef]
- Aslam, R.A.; Shrestha, S.; Usman, M.N.; Khan, S.N.; Ali, S.; Sharif, M.S.; Sarwar, M.W.; Saddique, N.; Sarwar, A.; Ali, M.U.; et al. Integrated SWAT-MODFLOW Modeling-Based Groundwater Adaptation Policy Guidelines for Lahore, Pakistan under Projected Climate Change, and Human Development Scenarios. Atmosphere 2022, 13, 2001. [Google Scholar] [CrossRef]
- Sakaguchi, A.; Eguchi, S.; Kato, T.; Kasuya, M.; Ono, K.; Miyata, A.; Tase, N. Development and Evaluation of a Paddy Module for Improving Hydrological Simulation in SWAT. Agric. Water Manag. 2014, 137, 116–122. [Google Scholar] [CrossRef]
- Tsuchiya, R.; Kato, T.; Jeong, J.; Arnold, J.G. Development of SWAT-Paddy for Simulating Lowland Paddy Fields. Sustainability 2018, 10, 3246. [Google Scholar] [CrossRef]
- Ouyang, W.; Wei, P.; Gao, X.; Srinivasan, R.; Yen, H.; Xie, X.; Liu, L.; Liu, H. Optimization of SWAT-Paddy for Modeling Hydrology and Diffuse Pollution of Large Rice Paddy Fields. Environ. Model. Softw. 2020, 130, 104736. [Google Scholar] [CrossRef]
- Gassman, P.; Jeong, J.; Boulange, J.; Narasimhan, B.; Kato, T.; Somura, H.; Watanabe, H.; Eguchi, S.; Cui, Y.; Sakaguchi, A.; et al. Simulation of Rice Paddy Systems in SWAT: A Review of Previous Applications and Proposed SWAT+ Rice Paddy Module. Int. J. Agric. Biol. Eng. 2022, 15, 1–24. [Google Scholar] [CrossRef]
- Kang, T.-S.; Kim, J.; Yang, D.; Yu, N.; Shin, M.; Lim, K.-J. A Study on How to Reduce the Amount of Groundwater Used in the Dry Season and Improve the Water Quality of the Base Runoff. J. Korean Soc. Agric. Eng. 2022, 64, 27–35. [Google Scholar] [CrossRef]
- Taie Semiromi, M.; Koch, M. Analysis of Spatio-Temporal Variability of Surface–Groundwater Interactions in the Gharehsoo River Basin, Iran, Using a Coupled SWAT-MODFLOW Model. Environ. Earth Sci. 2019, 78, 201. [Google Scholar] [CrossRef]
- Harbaugh, A.W. MODFLOW-2005: The U.S. Geological Survey Modular Ground-Water Model—The Ground-Water Flow Process; USGS: Reston, VA, USA, 2005. [CrossRef]
- Niswonger, R.G.; Panday, S.; Ibaraki, M. MODFLOW-NWT, a Newton Formulation for MODFLOW-2005. US Geol. Surv. Tech. Methods 2011, 6, 44. [Google Scholar] [CrossRef]
- Bailey, R.; Park, S. SWAT-MODFLOW Tutorial Version 3 Documentation for Preparing and Running SWAT-MODFLOW Simulations; Department of Civil and Environmental Engineering, Colorado State University: Fort Collins, CO, USA, 2019; pp. 1–89. [Google Scholar]
- Winston, R.B. ModelMuse: A Graphical User Interface for MODFLOW-2005 and PHAST; U.S. Geological Survey: Reston, VA, USA, 2009.
- Mein, R.G.; Larson, C.L. Modeling Infiltration during a Steady Rain. Water Resour. Res. 1973, 9, 384–394. [Google Scholar] [CrossRef]
- Jeong, J.; Kannan, N.; Arnold, J.; Glick, R.; Gosselink, L.; Srinivasan, R. Development and Integration of Sub-Hourly Rainfall-Runoff Modeling Capability Within a Watershed Model. Water Resour. Manag. 2010, 24, 4505–4527. [Google Scholar] [CrossRef]
- Choi, S.-K. APEX-Paddy Model Development and Climate Change Impact Assessment for Paddy Rice; Department of Landscape Architecture and Rural Systems Engineering, Seoul National University: Seoul, Republic of Korea, 2019. [Google Scholar]
- Bennett, M.G.; Schofield, K.A.; Lee, S.S.; Norton, S.B. Response of Chlorophyll a to Total Nitrogen and Total Phosphorus Concentrations in Lotic Ecosystems: A Systematic Review Protocol. Environ. Evid. 2017, 6, 18. [Google Scholar] [CrossRef]
- Abbaspour, K.C. Swat-Cup: SWAT Calibration Uncertainty Program—A User Manual; Swiss Federal Institute of Aquatic Science and Technology: Dübendorf, Switzerland, 2013. [Google Scholar]
- Wu, H.; Chen, B. Evaluating Uncertainty Estimates in Distributed Hydrological Modeling for the Wenjing River Watershed in China by GLUE, SUFI-2, and ParaSol Methods. Ecol. Eng. 2015, 76, 110–121. [Google Scholar] [CrossRef]
- Abbaspour, K.C.; Johnson, C.A.; van Genuchten, M.T. Estimating Uncertain Flow and Transport Parameters Using a Sequential Uncertainty Fitting Procedure. Vadose Zone J. 2004, 3, 1340–1352. [Google Scholar] [CrossRef]
- Moriasi, D.N.; Arnold, J.G.; Van Liew, M.W.; Bingner, R.L.; Harmel, R.D.; Veith, T.L. Model Evaluation Guidelines for Systematic Quantification of Accuracy in Watershed Simulations. Trans. ASABE 2007, 50, 885–900. [Google Scholar] [CrossRef]
- Nash, J.E.; Sutcliffe, J.V. River Flow Forecasting through Conceptual Models Part I—A Discussion of Principles. J. Hydrol. 1970, 10, 282–290. [Google Scholar] [CrossRef]
- Gupta, H.V.; Sorooshian, S.; Yapo, P.O. Status of Automatic Calibration for Hydrologic Models: Comparison with Multilevel Expert Calibration. J. Hydrol. Eng. 1999, 4, 135–143. [Google Scholar] [CrossRef]
- Moriasi, D.; Gitau, M.; Pai, N.; Daggupati, P. Hydrologic and Water Quality Models: Performance Measures and Evaluation Criteria. Trans. ASABE American Soc. Agric. Biol. Eng. 2015, 58, 1763–1785. [Google Scholar] [CrossRef]
- Alam, M.A.; Rahman, M.M.; Biswas, J.C.; Akhter, S.; Maniruzzaman, M.; Choudhury, A.K.; Jahan, M.A.H.S.; Miah, M.M.U.; Sen, R.; Kamal, M.Z.U.; et al. Nitrogen Transformation and Carbon Sequestration in Wetland Paddy Field of Bangladesh. Paddy Water Environ. 2019, 17, 677–688. [Google Scholar] [CrossRef]
- Doherty, J.E.; Hunt, R.J. Approaches to Highly Parameterized Inversion—A Guide to Using PEST for Groundwater-Model Calibration; USGS: Reston, VA, USA, 2010. [CrossRef]















| Data Type | Layer 1 | Layer 2 | 
|---|---|---|
| Hydraulic conductivity (m/day) | 0.998–2.251 | 0.145–0.730 | 
| The vertical hydraulic conductivity (m/day) | 0.099–0.225 | 0.015–0.073 | 
| Specific storage | 0.0001 | 0.0001 | 
| Specific yield (1/m) | 0.2 | 0.2 | 
| Date of Paddy Farming by Sub-Watersheds | Farming Schedule | ||
|---|---|---|---|
| Downstream | Middle Stream | Upstream | |
| May 12th | May 12th | May 12th | Fertilization (Org-N 2.08 kg/ha, Org-P 1.88 kg/ha) | 
| May 23rd | May 23rd | May 23rd | Start irrigation 50 mm | 
| June 6th | June 3rd | May 31st | Irrigation 20 mm | 
| June 22nd | June 19th | June 16th | Fertilization (Org-N 0.83 kg/ha) | 
| July 8th | July 5th | July 2nd | Midsummer drainage 70 mm | 
| July 18th | July 15th | July 12th | Irrigation 120 mm | 
| July 22nd | July 19th | July 16th | Fertilization (Org-N 0.83 kg/ha) | 
| September 7th | September 4th | September 1st | Drainage 120 mm | 
| Models | R2 | NSE | PBIAS | 
|---|---|---|---|
| Hourly SWAT-MODFLOW | 0.64 (0.60) | 0.75 (0.65) | 48.10 (48.32) | 
| Hourly SWAT-MODFLOW-PADDY | 0.77 (0.73) | 0.77 (0.75) | 13.10 (13.34) | 
| Models | TN | TP | ||||
|---|---|---|---|---|---|---|
| R2 | NSE | PBIAS | R2 | NSE | PBIAS | |
| Hourly SWAT-MODFLOW | 0.63 | 0.65 | 18.14 | 0.65 | 0.69 | −2.45 | 
| Hourly SWAT-MODFLOW-PADDY | 0.73 | 0.74 | 13.46 | 0.83 | 0.83 | −6.32 | 
| Disclaimer/Publisher’s Note: The statements, opinions and data contained in all publications are solely those of the individual author(s) and contributor(s) and not of MDPI and/or the editor(s). MDPI and/or the editor(s) disclaim responsibility for any injury to people or property resulting from any ideas, methods, instructions or products referred to in the content. | 
© 2023 by the authors. Licensee MDPI, Basel, Switzerland. This article is an open access article distributed under the terms and conditions of the Creative Commons Attribution (CC BY) license (https://creativecommons.org/licenses/by/4.0/).
Share and Cite
Lee, S.; Park, Y.S.; Kim, J.; Lim, K.J. Enhanced Hydrological Simulations in Paddy-Dominated Watersheds Using the Hourly SWAT-MODFLOW-PADDY Modeling Approach. Sustainability 2023, 15, 9106. https://doi.org/10.3390/su15119106
Lee S, Park YS, Kim J, Lim KJ. Enhanced Hydrological Simulations in Paddy-Dominated Watersheds Using the Hourly SWAT-MODFLOW-PADDY Modeling Approach. Sustainability. 2023; 15(11):9106. https://doi.org/10.3390/su15119106
Chicago/Turabian StyleLee, Seoro, Youn Shik Park, Jonggun Kim, and Kyoung Jae Lim. 2023. "Enhanced Hydrological Simulations in Paddy-Dominated Watersheds Using the Hourly SWAT-MODFLOW-PADDY Modeling Approach" Sustainability 15, no. 11: 9106. https://doi.org/10.3390/su15119106
APA StyleLee, S., Park, Y. S., Kim, J., & Lim, K. J. (2023). Enhanced Hydrological Simulations in Paddy-Dominated Watersheds Using the Hourly SWAT-MODFLOW-PADDY Modeling Approach. Sustainability, 15(11), 9106. https://doi.org/10.3390/su15119106
 
        




 
       