Next Article in Journal
Far-Field Influences Shadow the Effects of a Nuclear Power Plant’s Discharges in a Semi-Enclosed Bay
Previous Article in Journal
Perception of Green Product Consumption in the Context of the COVID-19 Pandemic in an Emerging Economy
 
 
Font Type:
Arial Georgia Verdana
Font Size:
Aa Aa Aa
Line Spacing:
Column Width:
Background:
Article

Third-Party Governance of Groundwater Ammonia Nitrogen Pollution: An Evolutionary Game Analysis Considering Reward and Punishment Distribution Mechanism and Pollution Rights Trading Policy

School of Management, Shanghai University of Engineering Science, Shanghai 201620, China
*
Author to whom correspondence should be addressed.
Sustainability 2023, 15(11), 9091; https://doi.org/10.3390/su15119091
Submission received: 30 April 2023 / Revised: 26 May 2023 / Accepted: 30 May 2023 / Published: 5 June 2023

Abstract

With the acceleration of Chinese industrialization, industrial wastewater is discharged in large quantities, leading to a groundwater environment with high ammonia nitrogen characteristics in many places, which seriously endangers people’s health and makes the treatment of ammonia nitrogen by enterprises an urgent issue. Therefore, based on the principle of “no-fault responsibility”, this paper combines China’s pollution trading rights policy and the reward and punishment distribution mechanism to provide a three-party governance model for groundwater ammonia nitrogen treatment under the benefit sharing of emissions trading. By constructing a tripartite evolutionary game model of groundwater ammonia nitrogen pollution treatment among sewage discharge enterprises, third-party governance enterprises and local governments, the role mechanisms of the strategic choices of different participating actors are analyzed. Finally, the validity of the model is verified via simulation, and the influence of key variables on the evolutionary stability of the system and the strategic choices of the participating parties under different situations are discussed. The research results show that setting reasonable reward and punishment allocation coefficients is the basis for promoting active pollution treatment among sewage discharge enterprises and third-party governance enterprises; a change in pollution rights trading revenue is a key factor affecting the strategic choices of the three parties; sewage discharge enterprises show stronger revenue sensitivity than third-party governance enterprises; and an environmental treatment credit system built by the government can effectively enhance the enthusiasm of enterprises to control pollution. Based on the research results of this paper, the participation of third-party governance enterprises in pollution rights trading is explored, which effectively promotes enterprises to actively carry out groundwater ammonia nitrogen treatment and provides a reference for the government to improve the construction of a sustainable development system for the water environment.

1. Introduction

In recent years, with accelerated industrialization and urbanization in China, the discharge of industrial wastewater and domestic sewage wastewater has shown a significant incremental trend, and the large number of pathogens and chemicals in wastewater has caused serious impacts on the water environment and people’s health [1]. In water environment pollution, ammonia nitrogen industrial wastewater pollution has the greatest impact. The massive discharge of ammonia nitrogen wastewater not only causes the pollution of surface water environment, the eutrophication of water bodies and the occurrence of red tide in water bodies, but it also leads to nitrate nitrogen entering groundwater, which will destroy drinking water resources. Numerous medical studies have reported that the incidence of liver and stomach cancers is closely related to the amounts of nitrates consumed by the human body due to the serious health effects of nitrates and nitrites generated by the oxidation of ammonia nitrogen in groundwater [2]. Currently, ammonia nitrogen pollution in groundwater has attracted widespread attention from all walks of life at home and abroad, and ammonia nitrogen pollution management is imminent. To promote ammonia nitrogen pollution control in groundwater and the sustainable development of the water environment, the Chinese government has issued a series of policy documents, such as the pollution rights trading mechanism, to foster the enthusiasm of enterprises and their initiatives [3]. As an important way to solve the pollution of the water environment, the pollution rights trading mechanism aims to determine the initial discharge rights of watersheds through the total water pollutant discharge control standards set by the government and issue them to sewage discharge enterprises in the form of compensation or free of charge. In a market economy, sewage discharge enterprises can trade their pollution rights among themselves; thus, the pollution rights trading mechanism also incentivizes enterprises to trade their excess pollution rights to enterprises with higher pollution control costs to achieve the goal of total pollutant control. In addition, the Chinese government actively innovates its governance model and vigorously promotes third-party governance of water pollution through the collaboration of sewage enterprises and third-party environmental protection service enterprises to effectively improve environmental conditions. However, the current development of a third-party governance industry is still in its infancy, and some deep-seated conflicts and problems need to be addressed: on the one hand, current third-party environmental service companies are mixed, and their supervision and audit mechanism is not yet perfect; on the other hand, the main contractual responsibility of sewage companies and pollution treatment parties is not clear, making it difficult to achieve effective synergy.
In this context, this paper guides third-party governance enterprises to participate in groundwater ammonia nitrogen pollution control actions by combining reward and punishment mechanisms and pollution rights trading policies. By analyzing the interests and decisions of local governments, third-party governance enterprises and sewage enterprises in the process of groundwater ammonia nitrogen pollution treatment, we aim to stimulate the enthusiasm of governments and enterprises to participate in ammonia nitrogen treatment and explore stable strategies and institutional guarantees of tripartite collaborative treatment. This study has important theoretical and practical significance for achieving effective treatment of groundwater ammonia nitrogen pollution and promoting the sustainable development of the water environment.

2. Literature Review

In recent years, pollution rights trading policies and emissions trading systems have attracted different degrees of attention from scholars as an important way to solve the water environment pollution problem. In their study on initial discharge rights allocation, Djuwita et al. measured the allocation of river pollutant discharge rights based on the total maximum daily load (TMDL) of river pollutant discharge [4]. Huang et al. constructed an allocation model based on the fuzzy cooperative game theory to reallocate the discharge rights of an area to enterprises with the same total amount of pollution discharge [5]. Xie et al. distributed initial discharge rights of water contaminants using the DEA and Nash non-cooperative game approaches while considering the environmental effectiveness of each location [6]. In order to analyze the distribution of wastewater discharge rights in a river basin, Yao et al. took into account the trading of wastewater discharge rights in sub-intervals and proposed a multi-objective model [7]. The study on the cost of pollutant emission rights by Tian et al. covered the market bidding procedure used to determine the cost of water pollution rights trading in the Taihu Lake Basin. Additionally, they proposed an enhanced model for a bilateral bidding auction that took into consideration the cost and volume of transactions involving water emission rights [8]. Based on the theory of the restoration cost method, Liang et al. used the water quality–economic impact function to calculate the price of paid use of water pollutant discharge rights [9]. However, most of the initial pricing of China’s emissions trading relies on the use of command-and-control methods. This form of initial pricing causes the trading price of emission rights to fail to reflect the actual value of emission rights [10].
For studying the conflicts of interest in water environment pollution control between local governments and enterprises, game theory is a very effective method. In a study on transboundary water pollution using a game approach, Shi et al. considered the stability and fairness of four pollution cost allocation schemes and developed a game-theoretic simulation model to analyze the cost-effectiveness of reducing water pollutant discharges in four regions of the Jalu River basin [11]. Jiang et al. introduced an ecological compensation criterion and established a cross-regional boundary pollution abatement differential game model with continuous coverage of upstream and downstream regions to analyze the relevant optimal feedback equilibrium for overall environmental quality [12]. T Lai et al. analyzed the transboundary water pollution problem based on emissions trading using a differential game approach [13]. Zeng et al. proposed a hybrid game theory and mathematical planning model (HGT-MPM) to solve the transboundary water pollution problem in two cities in northern China by reasonably allocating the water rights and pollutant discharge rights of the two cities [14]. De Frutos et al. investigated the strategic effects of regional investments in adopting clean technologies and examined the feedback equilibrium of a dynamic game of non-cooperative transboundary pollution between two regions in an infinite range [15]. Evolutionary game theory was used by Yuan et al. to examine stakeholders’ tactical decision-making involving conflicts of interests around water pollution [16]. To determine how groundwater stakeholders can best benefit from environmental protection, Nazari et al. used a dynamic non-cooperative game [17]. Aghmashhadi et al. conducted a strategic analysis of stakeholders’ interaction behavior to address water pollution and other issues using a non-cooperative game model [18]. According to Liu et al., dynamic reward and punishment policies can successfully achieve a dynamic balance between economic and environmental interests [19]. Xiao et al. constructed a cross-sectoral model of water pollution dynamics and studied the feedback equilibrium of a non-cooperative game between two industries and agriculture to jointly solve the water pollution discharge problem [20]. All of the above studies assume that each game subject is perfectly rational, while this paper considers the finite rationality of game subjects more realistically.
Effective environmental improvement can be achieved through third-party governance. In their study of third-party environmental governance, Zhou et al. used gray correlation analysis and principal component analysis to explore the applicability of a third-party management model for environmental pollution control in China from the perspective of environmental management effectiveness and economy [21]. Through their research, Hamilton et al. discovered that third-party actors are frequently required to promote cooperation and achieve environmental governance goals when policy actors are not cooperating [22]. Xu et al. developed a three-party evolutionary game model, proposed a third-party governance approach for managing soil heavy metal pollution, and examined how government agencies, companies that pollute the environment, and third-party governance organizations evolved their tactical choices [23]. ur Rehman et al. evaluated different on-site and off-site methods for the remediation of heavy metal-contaminated soils from an environmental and geotechnical engineering perspective [24]. By examining the relevant third-party liability principles for corporate environmental pollution control, Wu further defined the legal accountability and responsibility allocation of third-party control of environmental pollution [25].
From the above literature, there is not enough research on third-party governance of water pollution, and the advantages and disadvantages of third-party governance models are more often analyzed at the legal and institutional levels. In addition, although more scholars have studied third-party governance models using a game approach based on the evolutionary game model of governments and enterprises, most of the studies have assumed that each game subject is perfectly rational, while this paper considers the limited rationality of game subjects, which is more in line with reality. Therefore, compared with existing studies, the innovations of this paper are as follows: (1) Exploring the combination of pollution rights trading policies and the promotion of third-party pollution governance in accordance with the latest Chinese pollution rights trading mechanism, which states that “the amount of pollution treated by third-party governance enterprises will be credited to the pollution discharge rights accounts of sewage discharge enterprises, and that third-party governance enterprises will be supported to share reasonably in the proceeds of emissions trading of sewage discharge enterprises through contractual agreements”. (2) By considering the joint participation of sewage enterprises and third-party governance enterprises in pollution rights trading, the strategic option of purchasing ammonia nitrogen emission rights is introduced from a new perspective, allowing enterprises to have a more practical choice. (3) In reality, a third-party governance system is complex, and a tripartite evolutionary game approach can take into account the interests of each subject more comprehensively and analyze the key issues affecting the effective operation of the proposed third-party ammonia and nitrogen governance model so as to formulate targeted measures. (4) The focus is on exploring the impact of reward and punishment distribution policies on the evolution of the system, with a view toward providing a reference for relevant government departments to formulate relevant policies.

3. Problem Description and Basic Assumptions

Due to the wide sources of ammonia nitrogen wastewater and the high difficulty of treatment, the funding and technical bottlenecks of sewage discharge enterprises have led to a lack of motivation in the treatment of ammonia nitrogen pollution in wastewater. In order to achieve the goal of ammonia nitrogen pollution control, the introduction of third-party governance enterprises under government guidance can effectively improve the effectiveness of ammonia nitrogen pollution control. However, due to the inherent profit motives of local governments, sewage discharge enterprises and third-party governance enterprises, one party may have moral hazard problems that are not conducive to the other parties in the cooperation. Therefore, based on the principle of “no fault liability”, combining pollution rights trading policies with reward and punishment distribution mechanisms can clarify the responsibilities and rights of various stakeholders in the process of ammonia nitrogen pollution control, and explore sustainable operational mechanisms for groundwater ammonia nitrogen pollution control. In order to further clarify the relevant issues, this study proposes the following hypotheses:
Hypothesis 1:
Local governments, sewage discharge enterprises and third-party governance enterprises make up the three parties in the game model. All three parties in the game have bounded rationality. There is information asymmetry among the subjects, and their game behavior is random and affects each other.
Hypothesis 2:
Assuming that the probability of sewage discharge enterprises adopting the “active treatment” strategy is  x , then the probability of adopting the “negative treatment” strategy is  1 x ; the probability of third-party governance enterprises adopting the “active investment” strategy is  y , then the probability of the “negative investment” strategy is  1 y ; and the probability of a local government adopting the positive regulation strategy of “guiding” is  z , and the probability of adopting the strategy of “not guiding” is  1 z .
Hypothesis 3:
Based on the opinion of the latest Chinese pollution rights trading policy that “the amount of pollution treated by third-party governance enterprises will be credited to the pollution discharge rights accounts of sewage discharge enterprises”, the combination of the policy of pollution rights trading and the mode of third-party pollution governance is explored. Sewage discharge enterprises and third-party governance enterprises jointly carry out emission reduction tasks by signing contracts, and the third-party governance enterprises no longer charge emission reduction fees but share profits and losses with the sewage discharge enterprises, and the distribution coefficient of rewards and punishments is  α ( 0 α 1 ) . On the issue of responsibility attribution, it is judged according to the “no-fault liability principle” [23]: if neither party is at fault or both have opportunistic behaviors, both parties shall jointly bear the government’s rewards or punishments according to the distribution ratio; if there is a fault, the sewage discharge enterprises shall bear full responsibility, and the third-party governance enterprises shall receive all rewards; if the third-party governance enterprises are unilaterally at fault, the third-party governance enterprises shall bear full responsibility, and the sewage discharge enterprises shall receive all rewards. The specific situation classification and responsibility definition are shown in Table 1.
Hypothesis 4:
When sewage discharge enterprises choose to actively treat groundwater ammonia nitrogen pollution, the cost of purchasing treatment technology is  C e , and these enterprises obtain environmental protection material incentives  α V  from local governments in the form of subsidies, as well as additional benefits  R  from the negative investment by third-party governance enterprises through supervision and reporting, At the same time, additional reputation benefits  K  will be gained from the environmental governance credit system established by the government. Contrarily, with the guidance of local governments, if sewage discharge enterprises choose negative treatment, they will be fined  α P  by the local governments with a loss of reputation  K .
Hypothesis 5:
When both sewage discharge enterprises and third-party governance enterprises choose active treatment strategies, the total ammonia nitrogen discharge of the sewage discharge enterprises is less than the initial quota of pollution rights allocated by the government, and additional income  W  can be obtained by selling excess pollution rights. The total amount of ammonia nitrogen discharge from sewage discharge enterprises is exactly equal to the initial discharge quota allotted by the government when one of the sewage discharge enterprises and third-party governance enterprises chooses the “free rider” behavior of negative treatment. The excess quota of pollution discharge rights that must be purchased is  W  when the initial government-allocated pollution discharge rights quota for ammonia nitrogen is exceeded by the total amount of nitrogen discharged by the sewage discharge enterprises.
Hypothesis 6:
For third-party governance enterprises, choosing an active investment strategy requires paying a certain cost  C h  for upgrading and maintaining ammonia nitrogen pollution treatment equipment. Third-party governance enterprises will receive local governments’ environmental protection material incentives  ( 1 α ) V , the extra benefits  R  obtained from reporting the unfair treatment of sewage discharge enterprises, as well as the reputation benefits  H , if local governments adopt the guiding strategy. Conversely, if third-party governance enterprises choose to invest negatively, these third-party governance enterprises will be fined  ( 1 α ) P  by the local governments with a loss in their reputation  H .
Hypothesis 7:
For local governments, the special funds for ammonia nitrogen pollution treatment are  C g . If the groundwater environment is optimized, local governments will receive rewards  M  from higher authorities, regardless of whether the local governments choose the guiding strategy or not, when sewage discharge enterprises and third-party governance enterprises simultaneously choose active behaviors. However, when a certain party has a moral hazard and the groundwater environment is not optimized, local governments will be subjected to administrative accountability and fines  M  from the superior government, whereas they are exempted from accountability when choosing a guiding strategy. Generally, it is believed that the higher-level government policy support is greater than the regulatory cost and implementation incentive policy, which means  M > C g + V .

4. Model Construction and Analysis

4.1. Payment Matrix

The game payment matrix of sewage discharge enterprises, third-party governance enterprises, and local governments for the treatment of ammonia nitrogen pollution is constructed in accordance with the aforementioned model assumptions and parameter definitions, as shown in Table 2.

4.2. Evolutionary Game Model Construction

Local governments, sewage discharge enterprises, and third-party governance enterprises are the three game subjects in the ammonia nitrogen pollution treatment system. The replication dynamic equation of each subject is built in accordance with the payment matrix, and the dynamic change speed of each subject under various strategies is understood.
From Table 1, the expected revenues and the average expected revenue of sewage discharge enterprises selecting the “active treatment” and “negative treatment” are, respectively, U e 1 , U e 2 and U e ¯ :
U e 1 = y z ( K + α ( V + W ) C e ) + y ( 1 z ) ( K + α W C e ) + z ( 1 y ) ( K + R + V C e ) + ( 1 y ) ( 1 z ) ( K C e )
U e 2 = y z ( P K ) + y ( 1 z ) ( K ) + z ( 1 y ) ( α P K α W ) + ( 1 y ) ( 1 z ) ( K α W )
U e ¯ = x U e 1 + ( 1 x ) U e 2
Based on the Malthus dynamics equation, the replication dynamics equation of sewage discharge enterprises is as follows:
F ( x ) = x ( 1 x ) ( 2 K C e + α W + R z + V z + P α z + P y z R y z V y z P α y z + V α y z )
Similarly, the expected revenues and the average expected revenue of third-party governance enterprises choosing the “active investment” and “negative investment” are, respectively, U h 1 , U h 2 and U h ¯ :
U h 1 = x z ( H + ( 1 α ) ( V + W ) C h ) + x ( 1 z ) ( H + ( 1 α ) W C h ) + z ( 1 x ) ( H + R + V C h ) + ( 1 x ) ( 1 z ) ( H C e )
U h 2 = x z ( P H ) + x ( 1 z ) ( H ) + z ( 1 x ) ( ( 1 α ) P H ( 1 α ) G ) + ( 1 x ) ( 1 z ) ( H ( 1 α ) G )
U h ¯ = y U h 1 + ( 1 y ) U h 2
Based on the Malthus dynamics equation, the replication dynamics equation of third-party governance enterprises is as follows:
F ( y ) = y ( 1 y ) ( W C e + 2 H W α + C e x C h x + C e z C h z + P z + R z + V z P α z C e x z + C h x z R x z + P α x z V α x z )
Similarly, the expected revenues and the average expected revenue of local governments choosing “guiding” and “not guiding” are, respectively, U g 1 , U g 2 and U g ¯ :
U g 1 = x y ( M C g V ) + x ( 1 y ) ( P C g V R ) + y ( 1 x ) ( P C g V R ) + ( 1 x ) ( 1 y ) ( P C g )
U g 2 = x y ( M ) x ( 1 y ) ( M ) y ( 1 x ) ( M ) ( 1 x ) ( 1 y ) ( M )
U g ¯ = z U g 1 + ( 1 z ) U g 2
Based on the Malthus dynamics equation, the replication dynamics equation of local governments is as follows:
F ( z ) = z ( 1 z ) ( C g + M P + R x + R y + V x + V y M x y + P x y 2 R x y V x y )
The three-dimensional replication dynamics system equation for reducing ammonia nitrogen discharge in the water environment by local governments, sewage discharge enterprises and third-party treatment enterprises is constructed from the replication dynamic equations of the three groups:
{ F ( x ) = x ( 1 x ) ( 2 K C e + α W + R z + V z + P α z + P y z R y z V y z P α y z + V α y z ) F ( y ) = y ( 1 y ) ( W C e + 2 H W α + C e x C h x + C e z C h z + P z + R z + V z P α z C e x z + C h x z R x z + P α x z V α x z ) F ( z ) = z ( 1 z ) ( C g + M P + R x + R y + V x + V y M x y + P x y 2 R x y V x y )

4.3. Stability Analysis

Overall, 15 replication dynamic equilibrium points can be found by solving Equation (13) if the right-hand term is set equal to 0. Among them, there are 8 pure-strategy replication dynamic equilibrium points, namely E 1 ( 0 , 0 , 0 ) , E 2 ( 1 , 0 , 0 ) , E 3 ( 0 , 1 , 0 ) , E 4 ( 0 , 0 , 1 ) , E 5 ( 1 , 1 , 0 ) , E 6 ( 1 , 0 , 1 ) , E 7 ( 0 , 1 , 1 ) and E 8 ( 1 , 1 , 1 ) , and the remaining points are not purely strategic solutions. Since the strategic combination (equilibrium point) of an asymmetric evolutionary game is an evolutionary stable strategy, it means that it must be a strict Nash equilibrium. In turn, the strict Nash equilibrium, also known as the pure-strategy equilibrium, indicates that stable equilibria arise only in pure-strategy equilibrium solutions. Therefore, it is necessary to discuss the stability of the 8 pure-strategy equilibria [25].
According to the judgment method of evolutionary stability strategy (ESS), the stability of differential equations is analyzed using a Jacobian matrix [26]. To derive the Jacobian matrix (14), we take the partial derivative of Equation (13):
J = [ ( 2 x 1 ) ( 2 K C e + W α + R z + V z + P α z + P y z R y z V y z P α y z + V α y z ) x ( x 1 ) ( P z + R z + V z + P α z V α z ) x ( 1 x ) ( R + V + P α + P y R y V y P α y + V α y ) y ( y 1 ) ( C h C e + C e z C h z + R z P α z + V α z ) ( 2 y 1 ) ( W C e + 2 H W α + C e x C h x + C e z C h z + P z + R z + V z P α z C e x z + C h x z R x z + P α x z V α x z ) y ( y 1 ) ( C e C h + P + R + V P α    C e x + C h x R x + P α x V α x ) z ( z 1 ) ( R + V M y + P y 2 R y V y )   z ( z 1 ) ( R + V M x + P x 2 R x V x ) ( 2 z 1 ) ( C g + M P + R x + R y + V x + V y M x y + P x y 2 R x y V x y ) ]
In this study, the feature roots were used to examine the strategy’s asymptotic stability [26]. When examining the prerequisites for this strategy’s asymptotic stability using the equilibrium point E 1 ( 0 , 0 , 0 ) as an example, the equilibrium point’s Jacobian matching matrix is as follows:
J 1 = [ 2 K C e + W α W C e + 2 H W α P M C g ]
The solution eigenvalues are λ 1 = 2 K C e + W α , λ 2 = W C e + 2 H W α , and λ 3 = P M C g . When condition 1 is satisfied, that is, C e > 2 K + W α , C e + W α > W + 2 H and P < M + C g , the system E 1 ( 0 , 0 , 0 ) is asymptotically stable at the equilibrium point.
Similarly, by substituting various pure-strategy equilibrium points into the system’s Jacobian matrix, the eigenvalues and their stability can be discovered based on the aforementioned requirements. Table 3 displays these findings.
According to Lyapunov’s first law, the equilibrium point is asymptotically stable if all eigenvalues of a Jacobian matrix have negative real portions; otherwise, this equilibrium point is an unstable point [27]. The only stable point E 5 ( 1 , 1 , 0 ) in the evolution of the system is when the local government abstains from supervision and the sewage discharge enterprises and third-party governance enterprises actively reduce discharge. The proposition that can be drawn from this is as follows:
Proposition 1: When condition 5 holds true, that is, C e < 2 K + W α and C h < 2 H , the system has one and only one evolutionary stable point E 5 ( 1 , 1 , 0 ) , which is (active emission reduction, active emission reduction, no guidance).
Proof. 
The condition of a stable point of system evolution is that all eigenvalues are negative. As shown in Table 3, when the eigenvalues meet the given conditions, the system has an evolutionary stable point E 5 ( 1 , 1 , 0 ) , and the system has an evolutionary stable strategy. Thus, Proposition 1 is established. □
The above proposition shows that when the evolutionary stability strategy of the system is (active treatment, active investment, not guiding), the benefits obtained by sewage discharge enterprises from selecting the active treatment are greater than the costs of purchasing green production technology, and the benefits obtained by third-party governance enterprises from selecting the active investment are greater than the costs of upgrading and maintaining ammonia nitrogen pollution treatment equipment. The pollution rights trading system will increase the enthusiasm of enterprises to reduce discharge. At this point, enterprises will choose the active treatment strategy, and local governments will no longer need to direct and oversee these activities.

5. Numerical Simulation

From the above analysis, it can be seen that all equilibrium situations may be established as long as certain conditions are met. However, considering practical needs, this paper only presents further real-case simulation analysis for the most ideal stable equilibrium state, E 5 ( 1 , 1 , 0 ) , so as to verify the accuracy of the previous analysis of the stability of system evolution and to analyze the impact of important parameters on the evolution of game players’ behaviors. Based on references [16,19] and consultation with industry experts, the model’s initial parameters values are set as follows: C e = 60 , C h = 50 , α = 0.5 , C g = 50 , V = 3 , R = 3 , P = 4 , K = 5 , H = 5 , M = 10 , and W = 150 .

5.1. System Stability Test

The replicated dynamics equation is made to evolve 50 times over the course of time by substituting the initial values of the specified parameters into the model. Figure 1 displays the simulation results. The figure shows that the system will eventually converge to the E 5 ( 1 , 1 , 0 ) point regardless of the game subjects’ initial strategy probability. The model’s validity is confirmed by the simulation results, which agree with the findings of the system evolution stability analysis.

5.2. The Influence of Key Variables on the Behavior Evolution of Participants

The strategic choices of game players are influenced by various factors. Therefore, based on the ideal equilibrium point E 5 ( 1 , 1 , 0 ) , this section further explores the impact of key factors on the selection of the three-party agents’ strategies and system stability. In order to eliminate the impact of the initial strategy selection probability of each agent on the stability of system evolution, we set the initial probability to ( x , y , z ) = ( 0 . 5 , 0.5 , 0.5 ) .

5.2.1. The Influence of Reward and Punishment Distribution Coefficient on the Behavior Evolution of Participants

To investigate the impact of the reward and punishment distribution coefficient on the system evolution results, only the values of the reward and punishment distribution coefficient are changed, which are 0.3, 0.5 and 0.7, respectively. Figure 2, Figure 3 and Figure 4 display the results of the simulation.
From Figure 2, Figure 3 and Figure 4, it can be seen that the critical value of the reward and punishment distribution coefficient is between 0.3 and 0.5. When the distribution coefficient is less than this critical value, the system evolves to the point E 3 ( 0 , 1 , 0 ) , and sewage discharge enterprises choose negative treatment strategies. When the distribution coefficient gradually increases from 0.3, the convergence rate of sewage discharge enterprises toward choosing active treatment strategies gradually accelerates, and the system evolves to the ideal state point E 5 ( 1 , 1 , 0 ) . Ultimately, sewage discharge enterprises will choose active treatment strategies. For third-party governance enterprises, the impact of the change in the reward and punishment distribution coefficient on their strategy selection is opposite to that of sewage discharge enterprises. When the reward and punishment distribution coefficient gradually increases from 0.3, the system evolves to the point E 2 ( 1 , 0 , 0 ) . The convergence rate of third-party governance enterprises choosing negative investment strategies gradually accelerates, and ultimately, third-party governance enterprises will choose negative investment strategies. This is because the change in the distribution coefficient of rewards and punishments will directly affect the size of the profits of sewage discharge enterprises and third-party governance enterprises. In practice, when the reward and punishment distribution policies set by local governments are unreasonable, a higher or lower reward and punishment distribution coefficient will cause dissatisfaction from the other parties, leading to “free riding” behavior among sewage discharge enterprises and third-party treatment enterprises, thereby reducing the enthusiasm for ammonia nitrogen pollution control.

5.2.2. The Influence of Income from Pollution Rights Trading on the Evolution of the Behavior of Participants

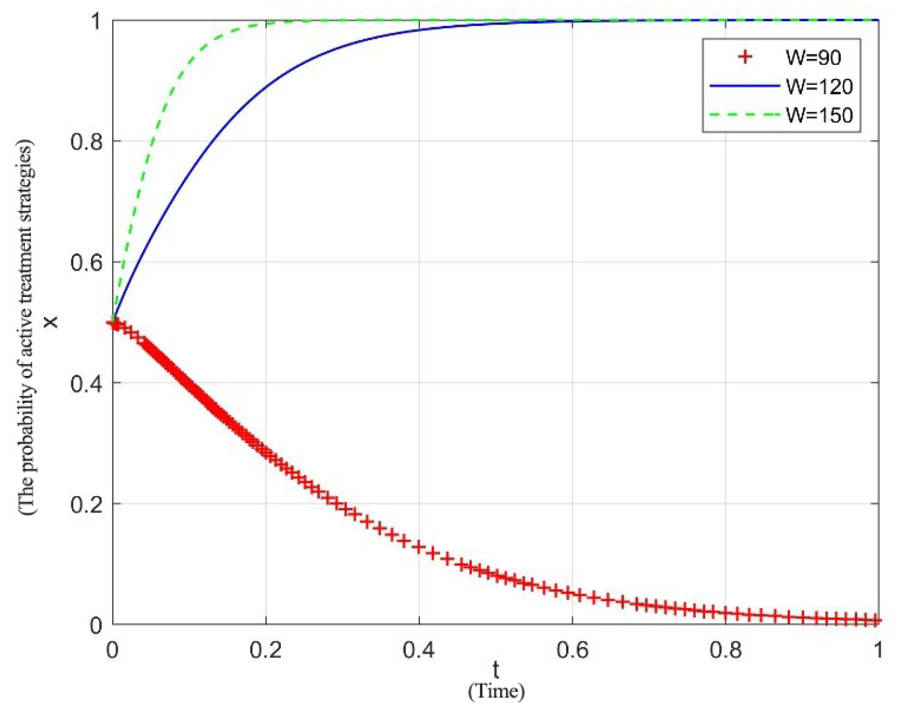
In this paper, as the main source of revenue for sewage discharge enterprises and third-party governance enterprises, the income from pollution rights trading has an important influence on the stability of system evolution. A simulation analysis of the evolution process of each subject was performed, with the initial values of other parameters remaining the same and the value of emission rights trading income being changed to 90, 120 and 150. The results are displayed in Figure 5, Figure 6 and Figure 7.
From Figure 5, Figure 6 and Figure 7, it can be seen that when the income from pollution rights trading is small, the evolutionary stability point of the system evolves to E 1 ( 0 , 0 , 0 ) . At this time, the evolutionary stability strategies of sewage discharge enterprises and third-party governance enterprises are negative treatment and negative investment. Then, as the income from pollution rights trading increases, the convergence rate of enterprises choosing active strategies gradually accelerates, and the system evolves to the equilibrium point E 5 ( 1 , 1 , 0 ) . At this point, the evolutionary stability strategies of sewage discharge enterprises and third-party governance enterprises are active treatment and active investment. Sewage discharge enterprises demonstrate greater income sensitivity than third-party governance enterprises when comparing their evolutionary stability strategies to those of the latter. This is because sewage discharge enterprises have technical barriers in the process of ammonia nitrogen pollution control, so they need to pay higher technical costs. In the pollution rights trading market, the income from pollution rights trading is related to the initial allocation amount of ammonia nitrogen discharge and the trading price of ammonia nitrogen discharge. When the initial discharge limit of ammonia nitrogen for enterprises changes or the market price of ammonia nitrogen pollution rights trading fluctuates, it will affect the income obtained from pollution rights trading.

5.2.3. The Influence of Reputation Benefits on the Behavior Evolution of Participants

According to the analysis of system stability, the size of the reputation benefits enjoyed by sewage discharge enterprises and third-party governance enterprises also has an impact on the system’s stability. Therefore, the focus of this section is on how reputation benefits affect the participants’ behavioral patterns by changing only K and H to two, five and eight for the reputation benefits of sewage discharge enterprises and third-party governance enterprises, while leaving the other parameters’ initial values alone. The outcomes are displayed in Figure 8, Figure 9 and Figure 10.
From Figure 8, Figure 9 and Figure 10, it can be seen that under the influence of comprehensive factors, changes in the value of reputation benefits do not change the stability of system evolution, and the system always evolves to the ideal state point E 5 ( 1 , 1 , 0 ) . Sewage discharge enterprises and third-party governance enterprises will always choose active treatment and active investment strategies. Although changing the value of reputation benefits alone does not affect the evolutionary stability strategies of sewage discharge enterprises and third-party governance enterprises, their convergence rate to active strategies accelerates with an increase in reputation benefits. It can be seen that local governments’ efforts to improve the reputation and efficiency of sewage discharge enterprises and third-party governance enterprises by building a credit system for the environmental governance market are of great significance for reducing opportunism behaviors, such as “free riding”.

6. Conclusions

This paper explores the strategic choices of different subjects in the process of groundwater ammonia nitrogen pollution treatment by constructing a tripartite evolutionary game model of local governments, sewage discharge enterprises and third-party governance enterprises based on China’s pollution rights trading policy and incentive mechanism of reward and punishment distribution, and numerical simulation of the model was conducted. The results of the study show the following: (1) A reasonable formulation of reward and punishment allocation coefficients is an important factor to promote active pollution treatment by both sewage discharge enterprises and the third-party governance enterprises. (2) Under the benefit sharing of pollution rights trading, higher benefits can effectively enhance the enthusiasm of third-party governance enterprises in ammonia nitrogen pollution treatment. (3) The high cost of ammonia nitrogen treatment makes sewage discharge enterprises show a stronger revenue sensitivity compared to third-party governance enterprises. (4) The establishment of an environmental governance credit system can effectively enhance the enthusiasm of enterprises in ammonia nitrogen pollution control and ensure the good development of ammonia nitrogen cooperative control.
Based on the above findings, we draw the following management insights: (1) In the process of groundwater ammonia nitrogen pollution treatment, sewage discharge enterprises and third-party governance enterprises must clearly define the governance responsibilities of each subject in the contract and can clarify the standards of both parties in the environmental pollution tort liability according to the principle of “no-fault liability principle”. (2) The government should speed up the improvement in the incentive mechanism of reward and punishment distribution, reasonably formulate the coefficient of reward and punishment distribution, and fully mobilize the enthusiasm of enterprises to comply with the law and cooperate using a differentiated reward and punishment mechanism. (3) The government should accelerate the guidance of third-party governance enterprises to participate in pollution rights trading and reasonably share the proceeds of emissions trading of sewage discharge enterprises through contractual agreements. (4) The government should actively build a relevant credit evaluation system and reporting public platform to enhance the positive incentive effect of reputation benefits so as to improve the groundwater environmental management mechanism.
In addition, this paper examines the evolution model of the tripartite ammonia nitrogen pollution treatment under the pollution rights trading policy. In practice, building a multi-participant groundwater sustainable development system is widely accepted, and the capacity of public oversight will play an increasingly important role in the ammonia nitrogen pollution treatment process. Therefore, future research can take into account the behaviors of public subjects in the analysis and discuss the synergistic effect of a pollution rights trading system in the context of sustainable groundwater development and a public whistleblowing mechanism in the process of ammonia nitrogen pollution treatment by building a four-party game model.

Author Contributions

Conceptualization, Z.L.; methodology, W.S.; software, W.S.; formal analysis, Z.L.; data curation, Z.L.; writing—original draft preparation, W.S. All authors have read and agreed to the published version of the manuscript.

Funding

This research was funded by the National Social Science Fund of China (Grant No. 22BGL203).

Institutional Review Board Statement

Not applicable.

Informed Consent Statement

Not applicable.

Data Availability Statement

The simulation data can be obtained from the corresponding author upon request.

Conflicts of Interest

All authors declare no conflict of interest related to this study.

References

  1. Clark, J.R.; Terwilliger, A.; Avadhanula, V.; Tisza, M.; Cormier, J.; Javornik-Cregeen, S.; Ross, M.C.; Hoffman, K.L.; Troisi, C.; Hanson, B.; et al. Wastewater Pandemic Preparedness: Toward an End-to-End Pathogen Monitoring Program. Front. Public Health 2023, 11, 633. [Google Scholar] [CrossRef]
  2. Venugopal, V.; Sasidharan, A. Seafood industry effluents: Environmental hazards, treatment and resource recovery. J. Environ. Chem. Eng. 2021, 9, 104758. [Google Scholar]
  3. Liu, Z.; Zhang, S.; Li, L.; Hu, B.; Liu, R.; Zhao, Z.; Zhao, Y. Research on the construction and prediction of China’s national fitness development index system under social reform. Front. Public Health 2022, 783, 878515. [Google Scholar]
  4. Djuwita, M.R.; Hartono, D.M.; Mursidik, S.S.; Soesilo, T.E.B. Pollution Load Allocation on Water Pollution Control in the Citarum River. J. Eng. Technol. Sci. 2021, 53. [Google Scholar] [CrossRef]
  5. Huang, X.; Chen, X.; Huang, P. Research on fuzzy cooperative game model of allocation of pollution discharge rights. Water 2018, 10, 662. [Google Scholar] [CrossRef]
  6. Xie, Q.; Xu, Q.; Rao, K.; Dai, Q. Water pollutant discharge permit allocation based on DEA and non-cooperative game theory. J. Environ. Manag. 2022, 302, 113962. [Google Scholar] [CrossRef] [PubMed]
  7. Yao, L.; He, L.; Chen, X. Trade-off between equity and efficiency for allocating wastewater emission permits in watersheds considering transaction. J. Environ. Manag. 2020, 270, 110898. [Google Scholar] [CrossRef] [PubMed]
  8. Tian, G.; Liu, J.; Wei, B. Pricing of Water Pollution Rights under Improved Bilateral Auction Model and Simulation in Taihu Lake. Ecol. Econ. 2020, 36, 172–177. [Google Scholar]
  9. Liang, Y.; YU, L.; Zhang, P. Study on pricing for paid use of water pollutants emission permits based on a method of cost renewing. Environ. Eng. 2017, 35, 159–162. [Google Scholar]
  10. Li, G.; Masui, T. Assessing the impacts of China’s environmental tax using a dynamic computable general equilibrium model. J. Clean. Prod. 2019, 208, 316–324. [Google Scholar]
  11. Shi, G.M.; Wang, J.N.; Zhang, B.; Zhang, Z.; Zhang, Y.L. Pollution control costs of a transboundary river basin: Empirical tests of the fairness and stability of cost allocation mechanisms using game theory. J. Environ. Manag. 2016, 177, 145–152. [Google Scholar] [CrossRef]
  12. Jiang, K.; You, D.; Li, Z.; Shi, S. A differential game approach to dynamic optimal control strategies for watershed pollution across regional boundaries under eco-compensation criterion. Ecol. Indic. 2019, 105, 229–241. [Google Scholar] [CrossRef]
  13. Lai, J.; Wan, J.; Zhang, S. Numerical methods for two person games arising from transboundary pollution with emission permit trading. Appl. Math. Comput. 2019, 350, 11–31. [Google Scholar] [CrossRef]
  14. Zeng, Y.; Li, J.; Cai, Y.; Tan, Q.; Dai, C. A hybrid game theory and mathematical programming model for solving trans-boundary water conflicts. J. Hydrol. 2019, 570, 666–681. [Google Scholar] [CrossRef]
  15. De Frutos, J.; Gatón, V.; López-Pérez, P.M.; Martín-Herrán, G. Investment in cleaner technologies in a transboundary pollution dynamic game: A numerical investigation. Dyn. Games Appl. 2022, 12, 813–843. [Google Scholar]
  16. Yuan, L.; He, W.; Degefu, D.M.; Kong, Y.; Wu, X.; Xu, S.; Wan, Z.; Ramsey, T.S. Elucidating competing strategic behaviors using prospect theory, system dynamics, and evolutionary game: A case of transjurisdictional water pollution problem in China. Environ. Sci. Pollut. Res. 2022, 29, 20829–20843. [Google Scholar] [CrossRef]
  17. Nazari, S.; Ahmadi, A.; Rad, S.K.; Ebrahimi, B. Application of non-cooperative dynamic game theory for groundwater conflict resolution. J. Environ. Manag. 2020, 270, 110889. [Google Scholar]
  18. Aghmashhadi, A.H.; Zahedi, S.; Kazemi, A.; Fürst, C.; Cirella, G.T. Conflict Analysis of Physical Industrial Land Development Policy Using Game Theory and Graph Model for Conflict Resolution in Markazi Province. Land 2022, 11, 501. [Google Scholar] [CrossRef]
  19. Liu, Z.; Lang, L.; Li, L.; Zhao, Y.; Shi, L. Evolutionary game analysis on the recycling strategy of household medical device enterprises under government dynamic rewards and punishments. Math. Biosci. Eng. 2021, 18, 6434–6451. [Google Scholar]
  20. Xiao, L.; Liu, J.; Ge, J. Dynamic game in agriculture and industry cross-sectoral water pollution governance in developing countries. Agric. Water Manag. 2021, 243, 106417. [Google Scholar]
  21. Zhou, W.; Chen, L.; Feng, L. Effectiveness evaluation on third-party governance model for environmental pollution in China. Environ. Sci. Pollut. Res. 2019, 26, 17305–17320. [Google Scholar]
  22. Hamilton, M.; Fischer, A.P.; Jasny, L. Bridging collaboration gaps in fragmented environmental governance systems. Environ. Sci. Policy 2021, 124, 461–470. [Google Scholar] [CrossRef]
  23. Wei, Y.; Tang, S.; Chen, P. On the Definition of Administrative Responsibility in the Third-party Governance of Environmental Pollution. Environ. Prot. 2022, 50, 51–55. [Google Scholar]
  24. Ur Rehman, Z.; Junaid, M.F.; Ijaz, N.; Khalid, U.; Ijaz, Z. Remediation methods of heavy metal contaminated soils from environmental and geotechnical standpoints. Sci. Total Environ. 2023, 2023, 161468. [Google Scholar]
  25. Wu, Y. Reform and Analysis of the Division of Legal Responsibility between Enterprises and Third-Party Governance under Environmental Pollution. J. Environ. Public Health 2022, 2022, 5168699. [Google Scholar] [CrossRef]
  26. Xu, S.; Zhou, Z.; Liu, K. Multi-evolutionary game research on heavy metal pollution control in soil: Based on a third-party perspective. Sustainability 2020, 12, 5306. [Google Scholar] [CrossRef]
  27. Liu, Z.; Qian, Q.; Hu, B.; Shang, W.L.; Li, L.; Zhao, Y.; Han, C. Government regulation to promote coordinated emission reduction among enterprises in the green supply chain based on evolutionary game analysis. Resour. Conserv. Recycl. 2022, 182, 106290. [Google Scholar] [CrossRef]
Figure 1. Stability test of the equilibrium point E 5 ( 1 , 1 , 0 ) .
Figure 1. Stability test of the equilibrium point E 5 ( 1 , 1 , 0 ) .
Sustainability 15 09091 g001
Figure 2. System evolution trend when reward and punishment distribution coefficient changes.
Figure 2. System evolution trend when reward and punishment distribution coefficient changes.
Sustainability 15 09091 g002
Figure 3. The influence of reward and punishment distribution coefficient on the evolution strategy of sewage discharge enterprises.
Figure 3. The influence of reward and punishment distribution coefficient on the evolution strategy of sewage discharge enterprises.
Sustainability 15 09091 g003
Figure 4. The influence of reward and punishment distribution coefficient on the evolution strategy of third-party governance enterprises.
Figure 4. The influence of reward and punishment distribution coefficient on the evolution strategy of third-party governance enterprises.
Sustainability 15 09091 g004
Figure 5. The evolution trend of the system when the income from pollution rights trading changes.
Figure 5. The evolution trend of the system when the income from pollution rights trading changes.
Sustainability 15 09091 g005
Figure 6. The influence of income from pollution rights trading on the evolution strategy of sewage discharge enterprises.
Figure 6. The influence of income from pollution rights trading on the evolution strategy of sewage discharge enterprises.
Sustainability 15 09091 g006
Figure 7. The influence of income from pollution rights trading on the evolution strategy of third-party governance enterprises.
Figure 7. The influence of income from pollution rights trading on the evolution strategy of third-party governance enterprises.
Sustainability 15 09091 g007
Figure 8. System evolution trend when revenue from reputation benefits changes.
Figure 8. System evolution trend when revenue from reputation benefits changes.
Sustainability 15 09091 g008
Figure 9. The influence of reputation benefits on the evolution strategy of sewage discharge enterprises.
Figure 9. The influence of reputation benefits on the evolution strategy of sewage discharge enterprises.
Sustainability 15 09091 g009
Figure 10. The influence of reputation benefits on the evolution strategy of third-party governance enterprises.
Figure 10. The influence of reputation benefits on the evolution strategy of third-party governance enterprises.
Sustainability 15 09091 g010
Table 1. Groundwater environmental pollution tort liability division in the third-party governance model.
Table 1. Groundwater environmental pollution tort liability division in the third-party governance model.
SituationsNeither party is at faultSewage discharge enterprises are not at fault, while third-party governance enterprises are at faultSewage discharge enterprises are at fault, while third-party governance enterprises are not at faultBoth parties are at fault
ResponsibilityShared government rewardsThird-party enterprises bear full responsibilitySewage discharge enterprises bear full responsibilityShared tort liability
Table 2. Payment matrix.
Table 2. Payment matrix.
Local Governments
Guiding zNot Guiding 1 − z
Third-Party Governance Enterprises
Active Investment
y
Negative Investment
1 y
Active Investment
y
Negative Investment
1 y
Sewage discharge enterprisesActive treatment
x
K + α ( V + W ) C e
H + ( 1 α ) ( V + W ) C h
M C g V
K + R + V C e
P H
P C g V R
K + α W C e
H + ( 1 α ) W C h
M
K C e
H
M
Negative treatment
1 x
P K
H + R + V C h
P C g V R
α P K α W
( 1 α ) P H ( 1 α ) G
P C g
K
H C e
M
K α W
H ( 1 α ) G
M
Table 3. Eigenvalues and stability analysis of equilibrium points.
Table 3. Eigenvalues and stability analysis of equilibrium points.
Serial NumberBalance Point Eigenvalues   λ 1 , λ 2 , λ 3 Asymptotic Stability
1 E 1 ( 0 , 0 , 0 ) 2 K C e + W α , 2 H C e + W W α , P M C g Condition 1
2 E 2 ( 1 , 0 , 0 ) C e 2 K W α , 2 H C e + W W α , P M C g R V Condition 2
3 E 3 ( 0 , 1 , 0 ) 2 K C e + W α , C e 2 H W + W α , P M C g R V Condition 3
4 E 4 ( 0 , 0 , 1 ) 2 K C e + R + V + W α + P α , W C h + 2 H + P + R + V W α P α
C g + M P
Condition 4
5 E 5 ( 1 , 1 , 0 ) C e 2 K W α , C h 2 H W + W α , C g V Condition 5
6 E 6 ( 1 , 0 , 1 ) C e 2 K R V W α P α , 2 H C h + P + V + W V α W α ,
C g   + M P + R + V
Condition 6
7 E 7 ( 0 , 1 , 1 ) 2 K C e + P + V α + W α , C h W 2 H P R V + W α + P α ,
C g + M P + R + V
Condition 7
8 E 8 ( 1 , 1 , 1 ) C e 2 K P V α W α , C h 2 H P V W + V α + W α
C g + V
Unstable point
Note: When conditions 1~7 are satisfied, the corresponding eigenvalues of each equilibrium point are all less than 0.
Disclaimer/Publisher’s Note: The statements, opinions and data contained in all publications are solely those of the individual author(s) and contributor(s) and not of MDPI and/or the editor(s). MDPI and/or the editor(s) disclaim responsibility for any injury to people or property resulting from any ideas, methods, instructions or products referred to in the content.

Share and Cite

MDPI and ACS Style

Sun, W.; Liu, Z. Third-Party Governance of Groundwater Ammonia Nitrogen Pollution: An Evolutionary Game Analysis Considering Reward and Punishment Distribution Mechanism and Pollution Rights Trading Policy. Sustainability 2023, 15, 9091. https://doi.org/10.3390/su15119091

AMA Style

Sun W, Liu Z. Third-Party Governance of Groundwater Ammonia Nitrogen Pollution: An Evolutionary Game Analysis Considering Reward and Punishment Distribution Mechanism and Pollution Rights Trading Policy. Sustainability. 2023; 15(11):9091. https://doi.org/10.3390/su15119091

Chicago/Turabian Style

Sun, Wenzhuo, and Zheng Liu. 2023. "Third-Party Governance of Groundwater Ammonia Nitrogen Pollution: An Evolutionary Game Analysis Considering Reward and Punishment Distribution Mechanism and Pollution Rights Trading Policy" Sustainability 15, no. 11: 9091. https://doi.org/10.3390/su15119091

APA Style

Sun, W., & Liu, Z. (2023). Third-Party Governance of Groundwater Ammonia Nitrogen Pollution: An Evolutionary Game Analysis Considering Reward and Punishment Distribution Mechanism and Pollution Rights Trading Policy. Sustainability, 15(11), 9091. https://doi.org/10.3390/su15119091

Note that from the first issue of 2016, this journal uses article numbers instead of page numbers. See further details here.

Article Metrics

Back to TopTop