Salt Cavern Thermal Damage Evolution Investigation Based on a Hybrid Continuum-Discrete Coupled Modeling
Abstract
1. Introduction
1.1. Problem Statement
1.2. Micromechanism of Thermal Damage
1.3. Development of Hybrid Modeling
2. Numerical Method
2.1. Model Description
2.2. Coupling Mechanism of FLAC-PFC
3. Thermal Progressive Damage Evolution
3.1. Thermal Effect at Three Observed Locations
3.2. Dynamic Response to Depressurization and Progressive Damage Characteristics
3.3. Energy Tracking
4. Results and Discussion
4.1. Influence of Confining Pressure
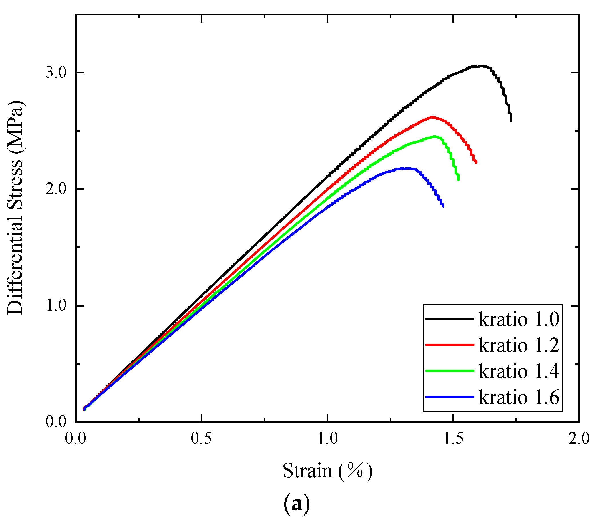
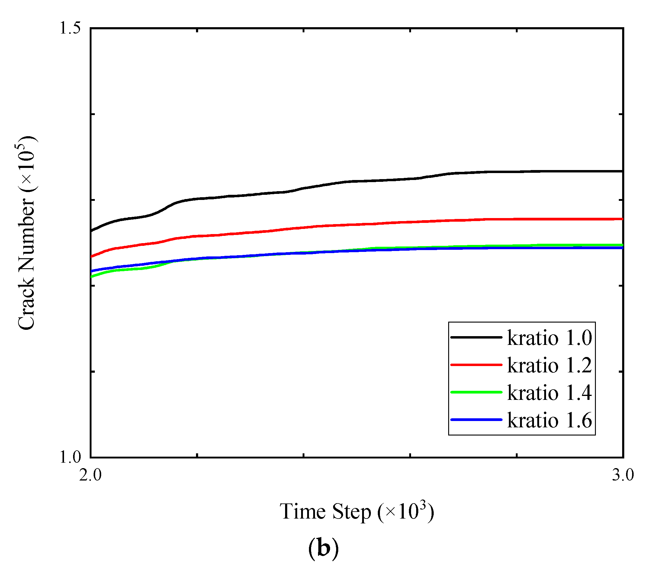
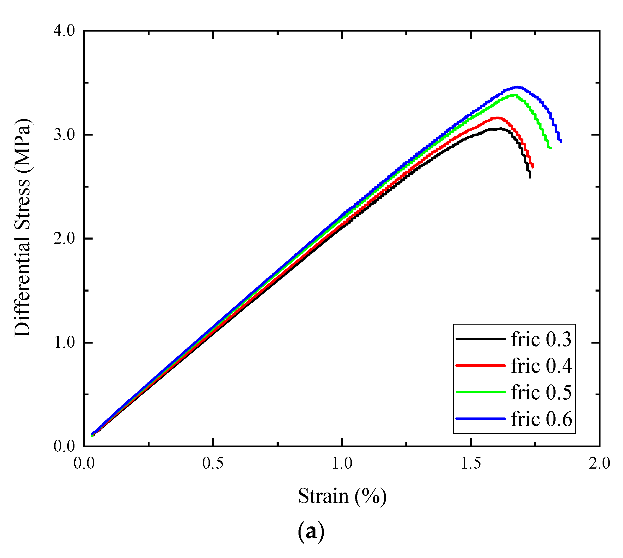
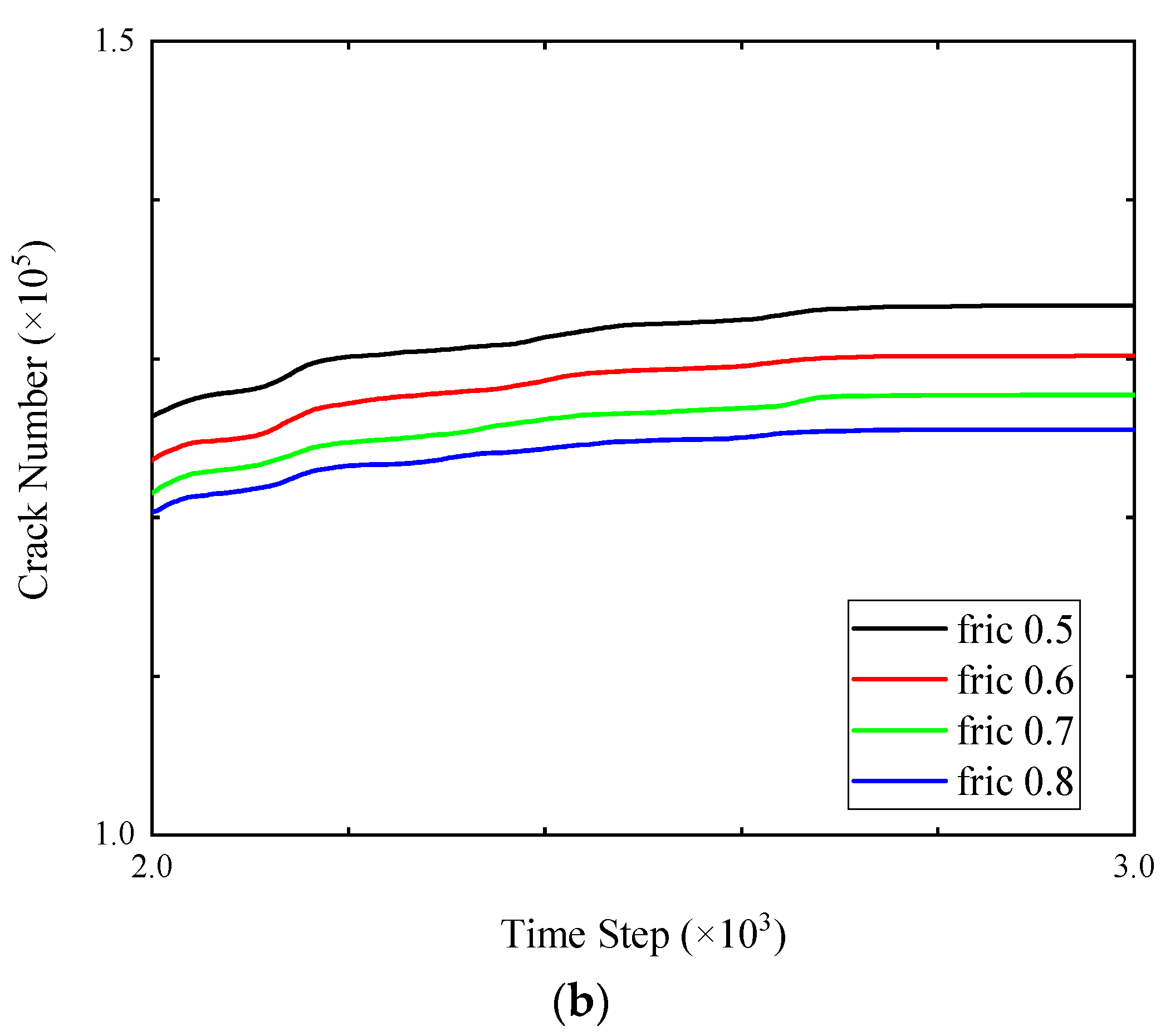
4.2. Effect of Particle Microproperties
4.3. Effect of Thermal Properties
5. Conclusions
Author Contributions
Funding
Institutional Review Board Statement
Informed Consent Statement
Data Availability Statement
Acknowledgments
Conflicts of Interest
References
- Li, S.-Y.; Urai, J.L. Rheology of rock salt for salt tectonics modeling. Pet. Sci. 2016, 13, 712–724. [Google Scholar] [CrossRef]
- Jackson, M.P.; Hudec, M.R. Salt Tectonics: Principles and Practice; Cambridge University Press: Cambridge, UK, 2017. [Google Scholar]
- Arson, C. Micro-macro mechanics of damage and healing in rocks. Open Géoméch. 2020, 2, 1–41. [Google Scholar] [CrossRef]
- AbuAisha, M.; Rouabhi, A.; Billiotte, J.; HadjeHassen, F. Noneisothermal twoephase hydrogen transport in rock salt during cycling in underground caverns. Int. J. Hydrogen Energy 2021, 46, 6632–6647. [Google Scholar] [CrossRef]
- Bérest, P.; Brouard, B.; Djizanne, H.; Hévin, G. Thermomechanical effects of a rapid depressurization in a gas cavern. Acta Geotech. 2014, 9, 181–186. [Google Scholar] [CrossRef]
- Sicsic, P.; Bérest, P. Thermal cracking following a blow out in a gas-storage cavern. Int. J. Rock Mech. Min. Sci. 2014, 7, 320–329. [Google Scholar] [CrossRef]
- Böttcher, N.; Görke, U.-J.; Kolditz, O.; Nagel, T. Thermo-mechanical investigation of salt caverns for short-term hydrogen storage. Environ. Earth Sci. 2017, 76, 98. [Google Scholar] [CrossRef]
- Li, W.; Nan, X.; Chen, J.; Yang, C. Investigation of thermal-mechanical effects on salt cavern during cyclying loading. Energy 2021, 232, 120969. [Google Scholar] [CrossRef]
- Wu, W.; Lu, D.; Romagnoli, A. A temperature gradient test system for investigating thermo-mechanical responses of containment materials of underground storage facilities. Rock Mech. Bull. 2023, 2, 100043. [Google Scholar] [CrossRef]
- Bérest, P. Heat transfer in salt caverns. Int. J. Rock Mech. Min. Sci. 2019, 120, 82–95. [Google Scholar] [CrossRef]
- Serbin, K.; Ślizowski, J.; Urbańczyk, K.; Nagy, S. The influence of thermodynamic effects on gas storage cavern convergence. Int. J. Rock Mech. Min. Sci. 2015, 79, 166–171. [Google Scholar] [CrossRef]
- Khaledi, K.; Mahmoudi, E.; Datcheva, M.; Schanz, T. Stability and serviceability of underground energy storage caverns in rock salt subjected to mechanical cyclic loading. Int. J. Rock Mech. Min. Sci. 2016, 86, 115–131. [Google Scholar] [CrossRef]
- Khaledi, K.; Mahmoudi, E.; Datcheva, M.; Schanz, T. Analysis of compressed air storage caverns in rock salt considering thermo-mechanical cyclic loading. Environ. Earth Sci. 2016, 75, 1149. [Google Scholar] [CrossRef]
- Blanco-Martín, L.; Rouabhi, A.; Billiotte, J.; Hadj-Hassen, F.; Tessier, B.; Hévin, G.; Hertz, E. Experimental and numerical investigation into rapid cooling of rock salt related to high frency cycling of storage caverns. Int. J. Rock Mech. Min. Sci. 2018, 102, 120–130. [Google Scholar] [CrossRef]
- Soubeyran, A.; Rouabhi, A.; Coquelet, C. Thermodynamic analysis of carbon dioxide storage in salt caverns to improve the Power-to-Gas process. Appl. Energy 2019, 242, 1090–1107. [Google Scholar] [CrossRef]
- Li, W.; Zhu, C.; Han, J.; Yang, C. Thermodynamic response of gas injection-and-withdrawal process in salt cavern for underground gas storage. Appl. Therm. Eng. 2019, 163, 114380. [Google Scholar] [CrossRef]
- Li, W.; Miao, X.; Yang, C. Failure analysis for gas storage salt cavern by thermo-mechanical modelling considering rock salt creep. J. Energy Storage 2020, 32, 102004. [Google Scholar] [CrossRef]
- Warren, J.K. Salt usually seals, but sometimes leaks: Implications for mine and cavern stabilities in the short and long term. Earth-Sic. Rev. 2017, 165, 302–341. [Google Scholar] [CrossRef]
- Wang, T.; Li, J.; Jing, G.; Zhang, Q.; Yang, C.; Daemen, J. Determination of the maximum allowable gas pressure for an underground gas storage salt cavern–A case study of Jintan, China. J. Rock Mech. Geotech. Eng. 2019, 11, 251–262. [Google Scholar] [CrossRef]
- Habibi, R.; Moomivand, H.; Ahmadi, M.; Asgari, A. Stability analysis of complex behavior of salt cavern subjected to cyclic loading by laboratory measurement and numerical modeling using LOCAS (case study: Nasrabad gas storage salt cavern). Environ. Earth Sci. 2021, 80, 317. [Google Scholar] [CrossRef]
- Yin, H.; Yang, C.; Ma, H.; Shi, X.; Zhang, N.; Ge, X.; Li, H.; Han, Y. Stability evaluation of underground gas storage salt caverns with micro-leakage interlayer in bedded rock salt of Jintan, China. Acta Geotech. 2020, 15, 549–563. [Google Scholar] [CrossRef]
- Fairhurst, C. The Waste Isolation Pilot Plant: A Potential Solution for the Disposal of Transuranic Waste; National Academy of Sciences: Washington, DC, USA, 1996. [Google Scholar]
- Hunsche, U.; Hampel, A. Rock salt—The mechanical properties of the host rock material for a radioactive waste repository. Eng. Geol. 1999, 52, 271–291. [Google Scholar] [CrossRef]
- Ngo, D.; Pellet, F. Numerical modeling of thermally-induced fractures in a large rock salt mass. J. Rock Mech. Geotech. Eng. 2018, 10, 844–855. [Google Scholar] [CrossRef]
- Zhu, C.; Arson, C. A thermo-mechanical damage model for rock stiffness during anisotropic crack opening and clusure. Acta Geotech. 2014, 9, 847–867. [Google Scholar] [CrossRef]
- Li, W.; Soliman, M.; Han, Y. Microscopic numerical modeling of Thermo-Hydro-Mechanical mechanisms in fluid injection process in unconsolidated formation. J. Pet. Sci. Eng. 2016, 146, 959–970. [Google Scholar] [CrossRef]
- Ding, J.; Chester, F.; Chester, J.; Shen, X.; Arson, C. Microcrack Network Development in Salt-Rock During Cyclic Loading at Low Confining Pressure. In Proceedings of the 51st US Rock Mechanics/Geomechanics Symposium, San Francisco, CA, USA, 25–28 June 2017. ARMA, American Rock Mechanics Association. [Google Scholar]
- Shen, X.; Arson, C.; Ding, J.; Chester, F.M.; Chester, J.S. Mechanisms of Anisotropy in Salt Rock Upon Microcrack Propagation. Rock Mech. Rock Eng. 2020, 53, 3185–3205. [Google Scholar] [CrossRef]
- Wu, X.; Li, Y.; Tang, C. Comparative study on heat extraction performance of three enhanced geothermal systems. Rock Mech. Bull. 2023, 2, 100041. [Google Scholar] [CrossRef]
- Shen, X.; Ding, J.; Arson, C.; Chester, J.S.; Chester, F.M. Micromechanical modeling for rate-dependent behavior of salt rock under cyclic loading. Int. J. Numer. Anal. Methods Géoméch. 2020, 45, 28–44. [Google Scholar] [CrossRef]
- Shojaei, A.; Shao, J. Porous Rock Fracture Mechanics with Application to Hydraulic Fracturing, Drilling and Structural Engineering; Woodhead Publishing: Duxford, UK, 2017. [Google Scholar]
- Wang, J.; Zhang, Q.; Song, Z.; Liu, X.; Wang, X.; Zhang, Y. Microstructural variations and damage evolvement of salt rock under cyclic loading. Int. J. Rock Mech. Min. Sci. 2022, 152, 105078. [Google Scholar] [CrossRef]
- Han, Y.; Ma, H.; Cui, H.; Liu, N. The Effects of Cycle Frequency on Mechanical Behavior of Rock Salt for Energy Storage. Rock Mech. Rock Eng. 2022, 55, 7535–7545. [Google Scholar] [CrossRef]
- Ding, J.; Chester, F.M.; Chester, J.S.; Shen, X.; Arson, C. Coupled Brittle and Viscous Micromechanisms Produce Semibrittle Flow, Grain-Boundary Sliding, and Anelasticity in Salt-Rock. J. Geophys. Res. Solid Earth 2021, 126, e2020JB021261. [Google Scholar] [CrossRef]
- Li, Z.; Suo, J.; Fan, J.; Fourmeau, M.; Jiang, D.; Nelias, D. Damage evolution of rock salt under multilevel amplitude creep-fatigue loading with acoustic emission monitoring. Int. J. Rock Mech. Min. Sci. 2023, 164, 105346. [Google Scholar] [CrossRef]
- Zhu, C.; Shen, X.; Arson, C.; Pouya, A. Numerical study of thermo-mechanical effects on the viscous damage behavior of rock salt caverns. In Proceedings of the 51st US Rock Mechanics/Geomechanics Symposium, San Francisco, CA, USA, 25–28 June 2017. [Google Scholar]
- Jing, L.; Stephansson, O. Fundamental of Discrete Element Methods for Rock Engineering Theory and Applications; Elsevier Science: Amsterdam, The Netherlands, 2007. [Google Scholar]
- Zhao, X.; Elsworth, D.; He, Y.; Hu, W.; Wang, T. A grain texture model to investigate effects of grain shape and orientation on macro-mechanical behavior of crystalline rock. Int. J. Rock Mech. Min. Sci. 2021, 148, 104971. [Google Scholar] [CrossRef]
- Hu, W.; Liu, K.; Potyondy, D.; Zhang, Q. 3D continuum-discrete coupled modelling of triaxial Hopkinson bar tests on rock under multiaxial static-dynamic loads. Int. J. Rock Mech. Min. Sci. 2020, 134, 104448. [Google Scholar] [CrossRef]
- Zhang, F.; Dontsov, E.; Mack, M. Fully coupled simulation of a hydraulic fracture interacting with natural fractures with a hybrid discrete-continuum method. Int. J. Numer. Anal. Methods Géoméch. 2017, 41, 1430–1452. [Google Scholar] [CrossRef]
- Zhang, F.; Damjanac, B.; Maxwell, S. Investigating Hydraulic Fracturing Complexity in Naturally Fractured Rock Masses Using Fully Coupled Multiscale Numerical Modeling. Rock Mech. Rock Eng. 2019, 52, 5137–5160. [Google Scholar] [CrossRef]
- Itasca Consulting Group, Inc. FLAC3D Users Manual; Itasca Consulting Group, Inc.: Minneapolis, MN, USA, 2017. [Google Scholar]
- Li, W.; Han, Y.; Wang, T.; Ma, J. DEM micromechanical modeling and laboratory experiment on creep behavior of salt rock. J. Nat. Gas Sci. Eng. 2017, 46, 38–46. [Google Scholar] [CrossRef]



























| Parameters | Units | Values |
|---|---|---|
| Young’s modulus | GPa | 30 |
| Poisson’s ratio | / | 0.3 |
| Density | kg/m3 | 2160 |
| Friction angle, φ | degrees | 45 |
| Tensile strength | MPa | 4 |
| Cohesion strength | MPa | 4 |
| Thermal conductivity | W/m· | 6.5 |
| Specific heat | J/kg· | 880 |
| Linear thermal expansion coefficient | −1 | 5 × 10−5 |
| Parameters | Units | Values |
|---|---|---|
| Particle density | kg/m3 | 2160 |
| Coefficient of interparticle friction | / | 0.3/0.4/0.5/0.6 |
| Normal-to-shear stiffness ratio | / | 1.0/1.2/1.4/1.6 |
| Thermal conductivity | W/m· | 6.5/7.5/8.5/9.5 |
| specific heat | J/kg· | 1000/2000/3000/4000 |
| Thermal expansion coefficient | 1 × 10−5/0.7 × 10−5/0.3 × 10−5/1 × 10−6 |
Disclaimer/Publisher’s Note: The statements, opinions and data contained in all publications are solely those of the individual author(s) and contributor(s) and not of MDPI and/or the editor(s). MDPI and/or the editor(s) disclaim responsibility for any injury to people or property resulting from any ideas, methods, instructions or products referred to in the content. |
© 2023 by the authors. Licensee MDPI, Basel, Switzerland. This article is an open access article distributed under the terms and conditions of the Creative Commons Attribution (CC BY) license (https://creativecommons.org/licenses/by/4.0/).
Share and Cite
Feng, K.; Li, W.; Nan, X.; Yang, G. Salt Cavern Thermal Damage Evolution Investigation Based on a Hybrid Continuum-Discrete Coupled Modeling. Sustainability 2023, 15, 8718. https://doi.org/10.3390/su15118718
Feng K, Li W, Nan X, Yang G. Salt Cavern Thermal Damage Evolution Investigation Based on a Hybrid Continuum-Discrete Coupled Modeling. Sustainability. 2023; 15(11):8718. https://doi.org/10.3390/su15118718
Chicago/Turabian StyleFeng, Kai, Wenjing Li, Xing Nan, and Guangzhi Yang. 2023. "Salt Cavern Thermal Damage Evolution Investigation Based on a Hybrid Continuum-Discrete Coupled Modeling" Sustainability 15, no. 11: 8718. https://doi.org/10.3390/su15118718
APA StyleFeng, K., Li, W., Nan, X., & Yang, G. (2023). Salt Cavern Thermal Damage Evolution Investigation Based on a Hybrid Continuum-Discrete Coupled Modeling. Sustainability, 15(11), 8718. https://doi.org/10.3390/su15118718

