Integrated Thermodynamic and Control Modeling of an Air-to-Water Heat Pump for Estimating Energy-Saving Potential and Flexibility in the Building Sector
Abstract
1. Introduction
- -
- The dynamic response of HP for the two typical compressor management strategies: (i) a sequential control of multiple compressors, with compressors running at a constant speed, and (ii) a variable-speed control where the rotating speed of the compressors is continuously varied;
- -
- The capability to analyze new HPs’ management strategies aimed at increasing the seasonal COP or improving building flexibility. In this respect, this paper investigated the typical control of the HPs based on “heating curves” which assumes a variable temperature setpoint of the hot water with the outdoor temperature;
- -
- The analysis of the dynamic operation of the HP when comparing different heating devices supplied by HPs (e.g., fan coils or heating floor).
2. Materials and Methods
2.1. Thermodynamic Modeling of an Air-to-Water Heat Pump Operating in Heating Mode
2.2. Description and Modeling of the Control Strategies
2.2.1. Details on the Control Scheme for the Variable-Speed HP
2.2.2. Details on the Control Scheme for HPs with Constant-Speed Compressors
3. Case Study: Description and Simulation
3.1. Details on the Air-to-Water Heat Pump
3.2. Details on Simulation Performed and Assumptions
- -
- Variable-speed CMPs, where the speed of both CMPs is continuously varied between minimum and maximum values via VFDs, as shown in Figure 2 (in the following, this option will be briefly indicated as variable-speed HP);
- -
- Constant-speed CMPs with sequential control, where, since the CMPs speed is constant, the heating demand is covered by cycling ON–OFF each CMPs following a sequential approach, as shown in Figure 3a (this option will be briefly indicated as constant-speed HP).
3.3. Implementation of a Control Strategy Based on the “Heating Curve”
3.4. Details on Model Solving and Main Assumptions
4. Results and Discussion
4.1. Results for the Variable-Speed Heat Pump
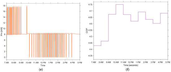
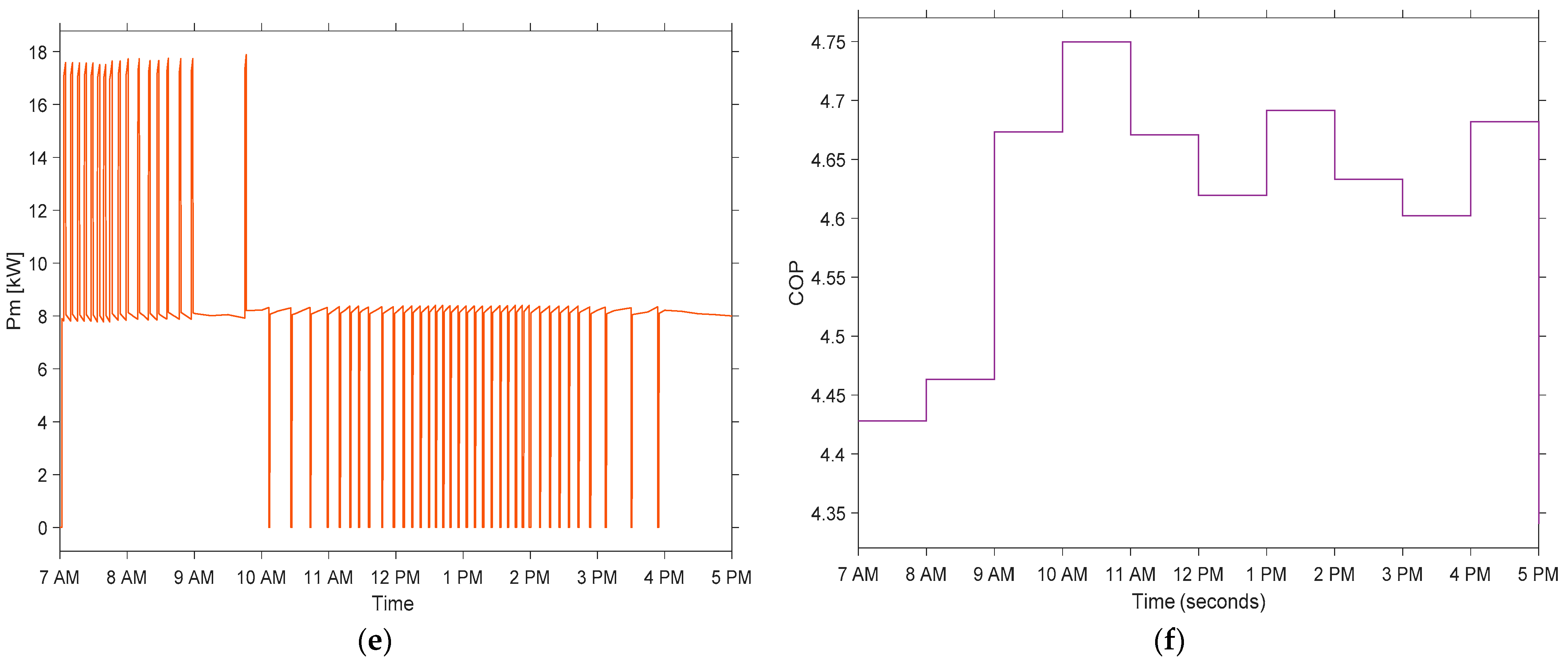
4.2. Results for the Constant-Speed Heat Pump with Sequential Control of Compressors
Effects of Hydraulic Inertia on the Operation of Constant-Speed HPs in Heating Mode
4.3. Analysis of the HP Operation Based on “Heating Curve”
4.4. Analysis of the Response of HPs in the Case of Low-Temperature Heating Devices
5. Conclusions
Author Contributions
Funding
Institutional Review Board Statement
Informed Consent Statement
Data Availability Statement
Conflicts of Interest
Nomenclature
| Acronyms | |
| CMP | Compressor |
| CND | Condenser |
| CTRL | Control |
| EVP | Evaporator |
| EV | Expansion Valve |
| HP | Heat Pump |
| IM | Induction Motor |
| LS | Least Square |
| PI | Proportional and Integrator |
| RES | Renewable Energy Source |
| RMS | Root Mean Square |
| SHR | Sensible Heat Ratio |
| SC | Sequential control |
| SVM | Space vector modulation |
| VFD | Variable frequency drive |
| VSI | Voltage Source Inverter |
| Variables | |
| COP | Coefficient of Performance (dimensionless) |
| HL | Building Heating Load (W) |
| HC | Heating Capacity (W) |
| Vdes | Desired volume of water in the hydronic loop (m3) |
| Da,b,c | Inverter duty cycles (sec) |
| Mass flowrate of water circulating in the hydronic loop (kg/s) | |
| Cnom | Nominal HP capacity delivered (heating or cooling mode) (W) |
| NRMSE | Normalized Root Mean Square Error Index |
| ODT | Outdoor air temperature (°C) |
| Tws,ref | Reference Temperature of the water supplied to the hydronic loop (°C) |
| cw | Specific heat capacity of water (kJ/(kg °C)) |
| Twr | Temperature of the water returning from the hydronic loop (°C) |
| Tws | Temperature of the water supplied to the hydronic loop (°C) |
| Va,b,c | Three-phase voltages (V) |
| Greek Letters | |
| Compressor rotating speed (rpm) | |
| ρw | Density of water (kg/m3) |
References
- International Energy Agency (IEA). Heating; IEA: Paris, France, 2022. [Google Scholar]
- Ehsan, A.; Preece, R. Quantifying the Impacts of Heat Decarbonisation Pathways on the Future Electricity and Gas Demand. Energy 2022, 254, 124229. [Google Scholar] [CrossRef]
- Nowak, T. European Heat Pump Market. 2021. Available online: https://www.ehpa.org/ (accessed on 21 January 2023).
- European Union. Commission Communication from the Commission to the European Parliament, The European Council, The Council, The European Economic and Social Committee and the Committee of the Regions 2022. Available online: https://www.eea.europa.eu/policy-documents/communication-from-the-commission-to-1 (accessed on 22 January 2023).
- Østergaard, P.A.; Lund, H.; Thellufsen, J.Z.; Sorknæs, P.; Mathiesen, B. V Review and Validation of EnergyPLAN. Renew. Sustain. Energy Rev. 2022, 168, 112724. [Google Scholar] [CrossRef]
- Mathiesen, B.V.; Lund, H.; Connolly, D.; Wenzel, H.; Østergaard, P.A.; Möller, B.; Nielsen, S.; Ridjan, I.; Karnøe, P.; Sperling, K.; et al. Smart Energy Systems for Coherent 100% Renewable Energy and Transport Solutions. Appl. Energy 2015, 145, 139–154. [Google Scholar] [CrossRef]
- Bashir, A.A.; Lund, A.; Pourakbari-Kasmaei, M.; Lehtonen, M. Optimizing Power and Heat Sector Coupling for the Implementation of Carbon-Free Communities. Energies 2021, 14, 1911. [Google Scholar] [CrossRef]
- Fischer, D.; Madani, H. On Heat Pumps in Smart Grids: A Review. Renew. Sustain. Energy Rev. 2017, 70, 342–357. [Google Scholar] [CrossRef]
- Posma, J.; Lampropoulos, I.; Schram, W.; van Sark, W. Provision of Ancillary Services from an Aggregated Portfolio of Residential Heat Pumps on the Dutch Frequency Containment Reserve Market. Appl. Sci. 2019, 9, 590. [Google Scholar] [CrossRef]
- Gjorgievski, V.Z.; Markovska, N.; Abazi, A.; Duić, N. The Potential of Power-to-Heat Demand Response to Improve the Flexibility of the Energy System: An Empirical Review. Renew. Sustain. Energy Rev. 2021, 138, 110489. [Google Scholar] [CrossRef]
- Guelpa, E.; Verda, V. Demand Response and Other Demand Side Management Techniques for District Heating: A Review. Energy 2021, 219, 119440. [Google Scholar] [CrossRef]
- Salpakari, J.; Mikkola, J.; Lund, P.D. Improved Flexibility with Large-Scale Variable Renewable Power in Cities through Optimal Demand Side Management and Power-to-Heat Conversion. Energy Convers. Manag. 2016, 126, 649–661. [Google Scholar] [CrossRef]
- Lund, H.; Østergaard, P.A.; Nielsen, T.B.; Werner, S.; Thorsen, J.E.; Gudmundsson, O.; Arabkoohsar, A.; Mathiesen, B.V. Perspectives on Fourth and Fifth Generation District Heating. Energy 2021, 227, 120520. [Google Scholar] [CrossRef]
- D’Ettorre, F.; De Rosa, M.; Conti, P.; Testi, D.; Finn, D. Mapping the Energy Flexibility Potential of Single Buildings Equipped with Optimally-Controlled Heat Pump, Gas Boilers and Thermal Storage. Sustain. Cities Soc. 2019, 50, 101689. [Google Scholar] [CrossRef]
- Péan, T. Heat Pump Controls to Exploit the Energy Flexibility of Building Thermal Loads; Springer: Berlin/Heidelberg, Germany, 2020. [Google Scholar]
- Sperber, E.; Frey, U.; Bertsch, V. Reduced-Order Models for Assessing Demand Response with Heat Pumps—Insights from the German Energy System. Energy Build. 2020, 223, 110144. [Google Scholar] [CrossRef]
- Zhang, L.; Good, N.; Mancarella, P. Building-to-Grid Flexibility: Modelling and Assessment Metrics for Residential Demand Response from Heat Pump Aggregations. Appl. Energy 2019, 233–234, 709–723. [Google Scholar] [CrossRef]
- Zanetti, E.; Azzolin, M.; Bortolin, S.; Busato, G.; Del Col, D. Experimental Data and Modelling of a Dual Source Reversible Heat Pump Equipped with a Minichannels Evaporator. Therm. Sci. Eng. Prog. 2022, 35, 101471. [Google Scholar] [CrossRef]
- Puttige, A.R.; Andersson, S.; Östin, R.; Olofsson, T. Application of Regression and ANN Models for Heat Pumps with Field Measurements. Energies 2021, 14, 1750. [Google Scholar] [CrossRef]
- Puttige, A.R.; Andersson, S.; Östin, R.; Olofsson, T. Modeling and Optimization of Hybrid Ground Source Heat Pump with District Heating and Cooling. Energy Build. 2022, 264, 112065. [Google Scholar] [CrossRef]
- Maier, L.; Schönegge, M.; Henn, S.; Hering, D.; Müller, D. Assessing Mixed-Integer-Based Heat Pump Modeling Approaches for Model Predictive Control Applications in Buildings. Appl. Energy 2022, 326, 119894. [Google Scholar] [CrossRef]
- Liu, H.; Cai, J. A Robust Gray-Box Modeling Methodology for Variable-Speed Direct-Expansion Systems with Limited Training Data. Int. J. Refrig. 2021, 129, 128–138. [Google Scholar] [CrossRef]
- Artuso, P.; Tosato, G.; Rossetti, A.; Marinetti, S.; Hafner, A.; Banasiak, K.; Minetto, S. Dynamic Modelling and Validation of an Air-to-Water Reversible R744 Heat Pump for High Energy Demand Buildings. Energies 2021, 14, 8238. [Google Scholar] [CrossRef]
- Xu, Z.; Sun, X.; Li, X.; Wang, Z.; Xu, W.; Shao, S.; Xu, C.; Yang, Q.; Li, H.; Zhao, W. On-off Cycling Model Featured with Pattern Recognition of Air-to-Water Heat Pumps. Appl. Therm. Eng. 2021, 196, 117317. [Google Scholar] [CrossRef]
- Kim, Y.-J.; Norford, L.K.; Kirtley, J.L. Modeling and Analysis of a Variable Speed Heat Pump for Frequency Regulation through Direct Load Control. IEEE Trans. Power Syst. 2015, 30, 397–408. [Google Scholar] [CrossRef]
- Abid, M.; Hewitt, N.; Huang, M.-J.; Wilson, C.; Cotter, D. Domestic Retrofit Assessment of the Heat Pump System Considering the Impact of Heat Supply Temperature and Operating Mode of Control—A Case Study. Sustainability 2021, 13, 10857. [Google Scholar] [CrossRef]
- Zakula, T.; Gayeski, N.T.; Armstrong, P.R.; Norford, L.K. Variable-Speed Heat Pump Model for a Wide Range of Cooling Conditions and Loads. Hvacr Res. 2011, 17, 670–691. [Google Scholar] [CrossRef]
- Ma, J.; Kim, D.; Braun, J.E.; Horton, W.T. Development and Validation of a Dynamic Modeling Framework for Air-Source Heat Pumps under Cycling of Frosting and Reverse-Cycle Defrosting. Energy 2023, 272, 127030. [Google Scholar] [CrossRef]
- Roccatello, E.; Prada, A.; Baggio, P.; Baratieri, M. Impact of Startup and Defrosting on the Modeling of Hybrid Systems in Building Energy Simulations. J. Build. Eng. 2023, 65, 105767. [Google Scholar] [CrossRef]
- Rossi di Schio, E.; Ballerini, V.; Dongellini, M.; Valdiserri, P. Defrosting of Air-Source Heat Pumps: Effect of Real Temperature Data on Seasonal Energy Performance for Different Locations in Italy. Appl. Sci. 2021, 11, 8003. [Google Scholar] [CrossRef]
- Sezen, K.; Gungor, A. Performance Analysis of Air Source Heat Pump According to Outside Temperature and Relative Humidity with Mathematical Modeling. Energy Convers. Manag. 2022, 263, 115702. [Google Scholar] [CrossRef]
- Popovac, M.; Emhofer, J.; Reichl, C. Frosting in a Heat Pump Evaporator Part B: Numerical Analysis. Appl. Therm. Eng. 2021, 199, 117488. [Google Scholar] [CrossRef]
- Bagarella, G.; Lazzarin, R.; Noro, M. Sizing Strategy of on–off and Modulating Heat Pump Systems Based on Annual Energy Analysis. Int. J. Refrig. 2016, 65, 183–193. [Google Scholar] [CrossRef]
- Liu, S.; Bai, X.; Deng, S.; Zhang, L.; Wei, M. A Modeling Study on Developing the Condensing-Frosting Performance Maps for a Variable Speed Air Source Heat Pump. J. Build. Eng. 2022, 58, 104990. [Google Scholar] [CrossRef]
- Harild Rasmussen, T.B.; Wu, Q.; Zhang, M. Primary Frequency Support from Local Control of Large-Scale Heat Pumps. Int. J. Electr. Power Energy Syst. 2021, 133, 107270. [Google Scholar] [CrossRef]
- Bechtel, S.; Rafii-Tabrizi, S.; Scholzen, F.; Hadji-Minaglou, J.-R.; Maas, S. Influence of Thermal Energy Storage and Heat Pump Parametrization for Demand-Side-Management in a Nearly-Zero-Energy-Building Using Model Predictive Control. Energy Build. 2020, 226, 110364. [Google Scholar] [CrossRef]
- Ding, Y.; Bai, Y.; Tian, Z.; Wang, Q.; Su, H. Coordinated Optimization of Robustness and Flexibility of Building Heating Systems for Demand Response Control Considering Prediction Uncertainty. Appl. Therm. Eng. 2023, 223, 120024. [Google Scholar] [CrossRef]
- Abokersh, M.H.; Saikia, K.; Cabeza, L.F.; Boer, D.; Vallès, M. Flexible Heat Pump Integration to Improve Sustainable Transition toward 4th Generation District Heating. Energy Convers. Manag. 2020, 225, 113379. [Google Scholar] [CrossRef]
- Montrose, R.S.; Gardner, J.F.; Satici, A.C. Centralized and Decentralized Optimal Control of Variable Speed Heat Pumps. Energies 2021, 14, 4012. [Google Scholar] [CrossRef]
- Lee, Z.; Gupta, K.; Kircher, K.J.; Zhang, K.M. Mixed-Integer Model Predictive Control of Variable-Speed Heat Pumps. Energy Build. 2019, 198, 75–83. [Google Scholar] [CrossRef]
- Dengiz, T.; Jochem, P.; Fichtner, W. Demand Response with Heuristic Control Strategies for Modulating Heat Pumps. Appl. Energy 2019, 238, 1346–1360. [Google Scholar] [CrossRef]
- Baeten, B.; Rogiers, F.; Helsen, L. Reduction of Heat Pump Induced Peak Electricity Use and Required Generation Capacity through Thermal Energy Storage and Demand Response. Appl. Energy 2017, 195, 184–195. [Google Scholar] [CrossRef]
- Efkarpidis, N.A.; Vomva, S.A.; Christoforidis, G.C.; Papagiannis, G.K. Optimal Day-to-Day Scheduling of Multiple Energy Assets in Residential Buildings Equipped with Variable-Speed Heat Pumps. Appl. Energy 2022, 312, 118702. [Google Scholar] [CrossRef]
- Arteconi, A.; Polonara, F. Assessing the Demand Side Management Potential and the Energy Flexibility of Heat Pumps in Buildings. Energies 2018, 11, 1846. [Google Scholar] [CrossRef]
- Schibuola, L.; Scarpa, M.; Tambani, C. Demand Response Management by Means of Heat Pumps Controlled via Real Time Pricing. Energy Build. 2015, 90, 15–28. [Google Scholar] [CrossRef]
- Meesenburg, W.; Markussen, W.B.; Ommen, T.; Elmegaard, B. Optimizing Control of Two-Stage Ammonia Heat Pump for Fast Regulation of Power Uptake. Appl. Energy 2020, 271, 115126. [Google Scholar] [CrossRef]
- Manner, P.; Alapera, I.; Honkapuro, S. Domestic Heat Pumps as a Source of Primary Frequency Control Reserve. In Proceedings of the 2020 17th International Conference on the European Energy Market (EEM), Stockholm, Sweden, 16–18 September 2020. [Google Scholar] [CrossRef]
- Romero Rodríguez, L.; Brennenstuhl, M.; Yadack, M.; Boch, P.; Eicker, U. Heuristic Optimization of Clusters of Heat Pumps: A Simulation and Case Study of Residential Frequency Reserve. Appl. Energy 2019, 233–234, 943–958. [Google Scholar] [CrossRef]
- Bartolucci, L.; Cordiner, S.; Mulone, V.; Santarelli, M. Ancillary Services Provided by Hybrid Residential Renewable Energy Systems through Thermal and Electrochemical Storage Systems. Energies 2019, 12, 2429. [Google Scholar] [CrossRef]
- Szreder, M.; Miara, M. Effect of Heat Capacity Modulation of Heat Pump to Meet Variable Hot Water Demand. Appl. Therm. Eng. 2020, 165, 114591. [Google Scholar] [CrossRef]
- Liu, H.; Cai, J. Improved Superheat Control of Variable-Speed Vapor Compression Systems in Provision of Fast Load Balancing Services. Int. J. Refrig. 2021, 132, 187–196. [Google Scholar] [CrossRef]
- Clauß, J.; Georges, L. Model Complexity of Heat Pump Systems to Investigate the Building Energy Flexibility and Guidelines for Model Implementation. Appl. Energy 2019, 255, 113847. [Google Scholar] [CrossRef]
- Bagarella, G.; Lazzarin, R.M.; Lamanna, B. Cycling Losses in Refrigeration Equipment: An Experimental Evaluation. Int. J. Refrig. 2013, 36, 2111–2118. [Google Scholar] [CrossRef]
- Michele, V.; Diego, D. Le Centrali Frigorifere; Editoriale Delfino: Milano, Italy, 2015. [Google Scholar]
- Cirrincione, M.; Pucci, M.; Vitale, G. Power Converters and AC Electrical Drives with Linear Neural Networks; CRC Press: Boca Raton, FL, USA, 2016. [Google Scholar]
- Piacentino, A.; Barbaro, C. A Comprehensive Tool for Efficient Design and Operation of Polygeneration-Based Energy Μgrids Serving a Cluster of Buildings. Part II: Analysis of the Applicative Potential. Appl. Energy 2013, 111, 1222–1238. [Google Scholar] [CrossRef]
- Meteonorm: Meteonorm, Global Meteorological Database; Version 7.1.7.201517; Handbook Part II: Theory; PVsyst: Satigny, Switzerland, 2015.
- IMST-Art; v.4.0; IMST-Group Instituto de Ingeniería Energética Universidad Politécnica de Valencia: Valencia, Spain, 2021.
- Blanco Castro, J.; Urchueguía, J.F.; Corberán, J.M.; Gonzálvez, J. Optimized Design of a Heat Exchanger for an Air-to-Water Reversible Heat Pump Working with Propane (R290) as Refrigerant: Modelling Analysis and Experimental Observations. Appl. Therm. Eng 2005, 25, 2450–2462. [Google Scholar] [CrossRef]
- Braun, J.E.; Klein, S.A.; Mitchell, J.W. Effictiveness Models for Cooling Towers and Cooling Coils; ASHRAE Transactions: Peachtree Corners, GA, USA, 1989; Volume 95, Part 2. [Google Scholar]
- Sabiana, “Carisma” Fan Coils. Available online: https://www.sabiana.it/it/products/carisma-crc (accessed on 12 December 2022).
- MathWorks MATLAB; v.R2022b; MathWorks: Natick, MA, USA, 2022.
- Kumar, M.D.; Catrini, P.; Piacentino, A.; Cirrincione, M. Advanced Modeling and Energy-Saving-Oriented Assessment of Control Strategies for Air-Cooled Chillers in Space Cooling Applications. Energy Convers. Manag. 2023. under review. [Google Scholar]
- Olesen, B.W.; Parsons, K.C. Introduction to thermal comfort standards and to the proposed new version of EN ISO 7730. Energy Build. 2002, 34, 537–549. [Google Scholar] [CrossRef]














| Refrigerant Circuit | |
|---|---|
| Refrigerant | R410a |
| Condenser Type | Fin and Tube |
| Number of Condenser | 1 |
| Condenser Fan Power [kW] | 1.5 |
| Metering Device | Electronic Expansion Valve (EEV) |
| Evaporator Water Flowrate [m3/h] | 7.0 |
| Evaporator Pump Power [kW] | 2 |
| Compressor Type (and Number) | Scroll (no. 2) |
| Compressor Power (each) [kW] | 9.0 |
| Refrigerant Charge [kg] | 14.3 |
| Variable | Range | Interval | HP Control | ||
|---|---|---|---|---|---|
| ODT | [°C] | 5–17 | +4 °C | Variable-Speed CMPs | |
| ωCMP [rpm] | |||||
| 1000–6200 | (+400 rpm) | ||||
| Tw,r | [°C] | 25–55 | +10 °C | ON-OFF CMPs | |
| ωCMP [rpm] | |||||
| 2900 | (-) | ||||
| Delivered Capacity | Absorbed Power | |||||
|---|---|---|---|---|---|---|
| VS-Heating | L1 | 0.012 | RMSE [kW]: 3.01 NRMSE [%]: 3.34 | K1 | 0.0034 | RMSE [kW]: 1.71 NRMSE [%]: 7.15 |
| L2 | 1.21 | K2 | −0.083 | |||
| L3 | −0.21 | K3 | 0.089 | |||
| Delivered Capacity | Absorbed Power | |||||
|---|---|---|---|---|---|---|
| CS-Heating | L1 | 0.0107 | RMSE [kW]: 0.704 NRMSE [%]: 3.66 | K1 | 0.0004 | RMSE [kW]: 0.102 NRMSE [%]: 1.87 |
| L2 | 0.9572 | K2 | −0.0002 | |||
| L3 | −0.207 | K3 | 0.1698 | |||
| Changes in CMP State | Threshold Values |
|---|---|
| CMP 1: OFF, CMP 2: OFF | = +1.0 °C) |
| CMP 1: OFF, CMP 2: OFF | = +0.5 °C) |
| CMP 1: OFF, CMP 2: ON | |
| CMP 1: ON, CMP 2: ON |
Disclaimer/Publisher’s Note: The statements, opinions and data contained in all publications are solely those of the individual author(s) and contributor(s) and not of MDPI and/or the editor(s). MDPI and/or the editor(s) disclaim responsibility for any injury to people or property resulting from any ideas, methods, instructions or products referred to in the content. |
© 2023 by the authors. Licensee MDPI, Basel, Switzerland. This article is an open access article distributed under the terms and conditions of the Creative Commons Attribution (CC BY) license (https://creativecommons.org/licenses/by/4.0/).
Share and Cite
Kumar, D.M.; Catrini, P.; Piacentino, A.; Cirrincione, M. Integrated Thermodynamic and Control Modeling of an Air-to-Water Heat Pump for Estimating Energy-Saving Potential and Flexibility in the Building Sector. Sustainability 2023, 15, 8664. https://doi.org/10.3390/su15118664
Kumar DM, Catrini P, Piacentino A, Cirrincione M. Integrated Thermodynamic and Control Modeling of an Air-to-Water Heat Pump for Estimating Energy-Saving Potential and Flexibility in the Building Sector. Sustainability. 2023; 15(11):8664. https://doi.org/10.3390/su15118664
Chicago/Turabian StyleKumar, Dhirendran Munith, Pietro Catrini, Antonio Piacentino, and Maurizio Cirrincione. 2023. "Integrated Thermodynamic and Control Modeling of an Air-to-Water Heat Pump for Estimating Energy-Saving Potential and Flexibility in the Building Sector" Sustainability 15, no. 11: 8664. https://doi.org/10.3390/su15118664
APA StyleKumar, D. M., Catrini, P., Piacentino, A., & Cirrincione, M. (2023). Integrated Thermodynamic and Control Modeling of an Air-to-Water Heat Pump for Estimating Energy-Saving Potential and Flexibility in the Building Sector. Sustainability, 15(11), 8664. https://doi.org/10.3390/su15118664

