Wave Power Trends over the Mediterranean Sea Based on Innovative Methods and 60-Year ERA5 Reanalysis
Abstract
1. Introduction
2. Data Used
3. Methodology
3.1. Wave Power Computations
3.2. Mann–Kendall Test for Trend Analysis
3.3. Innovative Trend Analysis Methods
4. Results and Discussion
4.1. Spatial Assessment of the Annual and Seasonal Trends
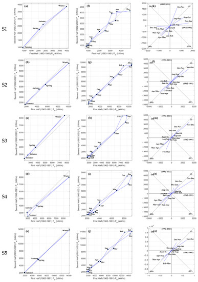
4.2. Detailed Assessment Based on the Innovative Methods for the Hot-Spot Locations
5. Conclusions
Author Contributions
Funding
Institutional Review Board Statement
Informed Consent Statement
Data Availability Statement
Acknowledgments
Conflicts of Interest
Appendix A







References
- Giorgi, F. Climate change hot-spots. Geophys. Res. Lett. 2006, 33, 8. [Google Scholar] [CrossRef]
- IPCC. Climate Change 2022: Impacts, Adaptation and Vulnerability. Contribution of Working Group II to the Sixth Assessment Report of the Intergovernmental Panel on Climate Change; Pörtner, H.-O., Roberts, D.C., Tignor, M., Poloczanska, E.S., Mintenbeck, K., Alegr, A., Eds.; Cambridge University Press: Cambridge, UK; New York, NY, USA, 2022; Available online: https://www.ipcc.ch/report/sixth-assessment-report-working-group-ii/ (accessed on 6 June 2022).
- IPCC. IPCC CLIMATE CHANGE 2013 Climate Change 2013. In Researchgate.Net. Available online: https://www.researchgate.net/profile/Abha_Chhabra2/publication/271702872_Carbon_and_Other_Biogeochemical_Cycles/links/54cf9ce80cf24601c094a45e/Carbon-and-Other-Biogeochemical-Cycles.pdf (accessed on 1 May 2019).
- Kaur, S.; Kumar, P.; Weller, E.; Young, I.R. Positive relationship between seasonal Indo-Pacific Ocean wave power and SST. Sci. Rep. 2021, 11, 17419. [Google Scholar] [CrossRef] [PubMed]
- Iglesias, G.; Carballo, R. Wave energy and nearshore hot spots: The case of the SE Bay of Biscay. Renew. Energy 2010, 35, 2490–2500. [Google Scholar] [CrossRef]
- Aristodemo, F.; Algieri Ferraro, D. Feasibility of WEC installations for domestic and public electrical supplies: A case study off the Calabrian coast. Renew. Energy 2018, 121, 261–285. [Google Scholar] [CrossRef]
- Bromirski, P.D.; Cayan, D.R.; Helly, J.; Wittmann, P. Wave power variability and trends across the North Pacific. J. Geophys. Res. Ocean. 2013, 118, 6329–6348. [Google Scholar] [CrossRef]
- Bromirski, P.D.; Cayan, D.R. Wave power variability and trends across the North Atlantic influenced by decadal climate patterns. J. Geophys. Res. Ocean. 2015, 120, 3419–3443. [Google Scholar] [CrossRef]
- Simonetti, I.; Cappietti, L. Mediterranean coastal wave-climate long-term trend in climate change scenarios and effects on the optimal sizing of OWC wave energy converters. Coast. Eng. 2023, 179, 104247. [Google Scholar] [CrossRef]
- Zheng, C.W.; Wu, G.X.; Chen, X.; Wang, Q.; Gao, Z.S.; Chen, Y.G.; Luo, X. CMIP5-Based Wave Energy Projection: Case Studies of the South China Sea and the East China Sea. IEEE Access 2019, 7, 82753–82763. [Google Scholar] [CrossRef]
- Karunarathna, H.; Maduwantha, P.; Kamranzad, B.; Rathnasooriya, H.; De Silva, K. Impacts of Global Climate Change on the Future Ocean Wave Power Potential: A Case Study from the Indian Ocean. Energies 2020, 13, 3028. [Google Scholar] [CrossRef]
- Pourali, M.; Kavianpour, M.R.; Kamranzad, B.; Alizadeh, M.J. Future variability of wave energy in the Gulf of Oman using a high resolution CMIP6 climate model. Energy 2023, 262, 125552. [Google Scholar] [CrossRef]
- Shao, Z.; Gao, H.; Liang, B.; Lee, D. Potential, trend and economic assessments of global wave power. Renew. Energy 2022, 195, 1087–1102. [Google Scholar] [CrossRef]
- De Leo, F.; De Leo, A.; Besio, G.; Briganti, R. Detection and quantification of trends in time series of significant wave heights: An application in the Mediterranean Sea. Ocean Eng. 2020, 202, 107155. [Google Scholar] [CrossRef]
- Caloiero, T.; Aristodemo, F.; Ferraro, D.A. Annual and seasonal trend detection of significant wave height, energy period and wave power in the Mediterranean Sea. Ocean Eng. 2022, 243, 110322. [Google Scholar] [CrossRef]
- Vanem, E.; Walker, S.E. Identifying trends in the ocean wave climate by time series analyses of significant wave height data. Ocean Eng. 2013, 61, 148–160. [Google Scholar] [CrossRef]
- Anoop, T.R.; Kumar, V.S.; Shanas, P.R.; Johnson, G. Surface Wave Climatology and Its Variability in the North Indian Ocean Based on ERA-Interim Reanalysis. J. Atmos. Ocean. Technol. 2015, 32, 1372–1385. [Google Scholar] [CrossRef]
- Mao, M.; Van Der Westhuysen, A.J.; Xia, M.; Schwab, D.J.; Chawla, A. Modeling wind waves from deep to shallow waters in Lake Michigan using unstructured SWAN. J. Geophys. Res. Ocean. 2016, 121, 3836–3865. [Google Scholar] [CrossRef]
- Aydoğan, B.; Ayat, B. Spatial variability of long-term trends of significant wave heights in the Black Sea. Appl. Ocean Res. 2018, 79, 20–35. [Google Scholar] [CrossRef]
- Caloiero, T.; Aristodemo, F.; Ferraro, D.A. Trend analysis of significant wave height and energy period in southern Italy. Theor. Appl. Climatol. 2019, 138, 917–930. [Google Scholar] [CrossRef]
- De Leo, F.; Besio, G.; Mentaschi, L. Trends and variability of ocean waves under RCP8.5 emission scenario in the Mediterranean Sea. Ocean Dyn. 2021, 71, 97–117. [Google Scholar] [CrossRef]
- Islek, F.; Yuksel, Y.; Sahin, C. Spatiotemporal long-term trends of extreme wind characteristics over the Black Sea. Dyn. Atmos. Ocean. 2020, 90, 101132. [Google Scholar] [CrossRef]
- Amarouche, K.; Akpınar, A. Increasing Trend on Storm Wave Intensity in the Western Mediterranean. Climate 2021, 9, 11. [Google Scholar] [CrossRef]
- Amarouche, K.; Bingölbali, B.; Akpınar, A. New wind-wave climate records in the Western Mediterranean Sea. Clim. Dyn. 2021, 58, 1899–1922. [Google Scholar] [CrossRef]
- Akçay, F.; Bingölbali, B.; Akpınar, A.; Kankal, M. Trend detection by innovative polygon trend analysis for winds and waves. Front. Mar. Sci. 2022, 9, 1479. [Google Scholar] [CrossRef]
- Acar, E.; Akpınar, A.; Kankal, M.; Amarouche, K. Increasing trends in spectral peak energy and period in a semi-closed sea. Renew. Energy 2023, 205, 1092–1104. [Google Scholar] [CrossRef]
- Reguero, B.G.; Losada, I.J.; Méndez, F.J. A recent increase in global wave power as a consequence of oceanic warming. Nat. Commun. 2019, 10, 205. [Google Scholar] [CrossRef] [PubMed]
- Ahn, S.; Neary, V.S. Non-stationary historical trends in wave energy climate for coastal waters of the United States. Ocean Eng. 2020, 216, 108044. [Google Scholar] [CrossRef]
- Divinsky, B.V.; Kosyan, R.D. Climatic trends in the fluctuations of wind waves power in the Black Sea. Estuar. Coast. Shelf Sci. 2020, 235, 106577. [Google Scholar] [CrossRef]
- Caloiero, T.; Aristodemo, F. Trend Detection of Wave Parameters along the Italian Seas. Water 2021, 13, 1634. [Google Scholar] [CrossRef]
- Hall, C.; Jensen, R.E.; Wang, D.W. Wave power trends along the U.S. coastline: In situ measurements and model hindcast estimates. Ocean Dyn. 2022, 1, 3. [Google Scholar] [CrossRef]
- Kamranzad, B.; Amarouche, K.; Akpınar, A. Linking the long-term variability in global wave energy to swell climate and redefining suitable coasts for energy exploitation. Sci. Rep. 2022, 12, 14692. [Google Scholar] [CrossRef]
- Barbariol, F.; Bidlot, J.R.; Cavaleri, L.; Sclavo, M.; Thomson, J.; Benetazzo, A. Maximum wave heights from global model reanalysis. Prog. Oceanogr. 2019, 175, 139–160. [Google Scholar] [CrossRef]
- Şen, Z. Innovative Trend Analysis Methodology. J. Hydrol. Eng. 2012, 17, 1042–1046. [Google Scholar] [CrossRef]
- Acar, E.; Kankal, M.; Akçay, F.; Şan, M. Innovative polygon trend analyses with star graph for rainfall and temperature data in agricultural regions of Turkey. Environ. Earth Sci. 2022, 81, 530. [Google Scholar] [CrossRef]
- Bonavita, M.; Hólm, E.; Isaksen, L.; Fisher, M. The evolution of the ECMWF hybrid data assimilation system. Q. J. R. Meteorol. Soc. 2016, 142, 287–303. [Google Scholar] [CrossRef]
- Hersbach, H.; Bell, B.; Berrisford, P.; Biavati, G.; Horányi, A.; Muñoz Sabater, J.; Nicolas, J.; Peubey, C.; Radu, R.; Rozum, I.; et al. ERA5 Hourly Data on Single Levels from 1979 to Present. Copernicus Climate Change Service (C3S) Climate Data Store (CDS). 2018. Available online: https://cds.climate.copernicus.eu/cdsapp#!/dataset/reanalysis-era5-single-levels?tab=overview (accessed on 9 April 2023).
- Barbariol, F.; Davison, S.; Falcieri, F.M.; Ferretti, R.; Ricchi, A.; Sclavo, M.; Benetazzo, A. Wind Waves in the Mediterranean Sea: An ERA5 Reanalysis Wind-Based Climatology. Front. Mar. Sci. 2021, 8, 1615. [Google Scholar] [CrossRef]
- Benetazzo, A.; Davison, S.; Barbariol, F.; Mercogliano, P.; Favaretto, C.; Sclavo, M. Correction of ERA5 Wind for Regional Climate Projections of Sea Waves. Water 2022, 14, 1590. [Google Scholar] [CrossRef]
- Karathanasi, F.E.; Soukissian, T.H.; Hayes, D.R. Wave Analysis for Offshore Aquaculture Projects: A Case Study for the Eastern Mediterranean Sea. Climate 2022, 10, 2. [Google Scholar] [CrossRef]
- Kozyrakis, G.V.; Spanoudaki, K.; Varouchakis, E.A. Long-term wave energy potential estimation in the Aegean and Ionian seas using dynamic downscaling and wave modelling techniques. Appl. Ocean Res. 2023, 131, 103446. [Google Scholar] [CrossRef]
- Kardakaris, K.; Boufidi, I.; Soukissian, T. Offshore Wind and Wave Energy Complementarity in the Greek Seas Based on ERA5 Data. Atmosphere 2021, 12, 1360. [Google Scholar] [CrossRef]
- Abu Zed, A.A.; Kansoh, R.M.; Iskander, M.M.; Elkholy, M. Wind and wave climate southeastern of the Mediterranean Sea based on a high-resolution SWAN model. Dyn. Atmos. Ocean. 2022, 99, 101311. [Google Scholar] [CrossRef]
- Şen, Z.; Şişman, E.; Dabanli, I. Innovative Polygon Trend Analysis (IPTA) and applications. J. Hydrol. 2019, 575, 202–210. [Google Scholar] [CrossRef]
- Karimirad, M. Offshore Energy Structures; Springer International Publishing: Cham, Switzerland, 2014. [Google Scholar] [CrossRef]
- Amrutha, M.M.; Sanil Kumar, V. Spatial and temporal variations of wave energy in the nearshore waters of the central west coast of India. Ann. Geophys. 2016, 34, 1197–1208. [Google Scholar] [CrossRef]
- Mann, H.B. Nonparametric Tests Against Trend Author (s): Henry B. Mann Published by: The Econometric Society Stable. Econometrica 1945, 13, 245–259. Available online: http://www.jstor.com/stable/1907187 (accessed on 8 April 2021). [CrossRef]
- Kendall, M. Rank Correlation Methods; Griffin: London, UK, 1975; Available online: https://www.worldcat.org/title/rank-correlation-methods/oclc/3827024 (accessed on 12 April 2021).
- Şen, Z. Up-to-date statistical essentials in climate change and hydrology: A review. Int. J. Glob. Warm. 2020, 22, 392–431. [Google Scholar] [CrossRef]
- Şen, Z. Conceptual monthly trend polygon methodology and climate change assessments. Hydrol. Sci. J. 2021, 66, 503–512. [Google Scholar] [CrossRef]
- Güçlü, Y.S. Improved visualization for trend analysis by comparing with classical Mann-Kendall test and ITA. J. Hydrol. 2020, 584, 124674. [Google Scholar] [CrossRef]
- Nissen, K.M.; Leckebusch, G.C.; Pinto, J.G.; Renggli, D.; Ulbrich, S.; Ulbrich, U. Cyclones Causing Wind Storms in the Mediterranean: Characteristics, Trends and Links to Large-Scale Patterns. Nat. Hazards Earth Syst. Sci. 2010, 10, 1379–1391. [Google Scholar] [CrossRef]
- Lionello, P.; Galati, M.B. Links of the Significant Wave Height Distribution in the Mediterranean Sea with the Northern Hemisphere Teleconnection Patterns. Adv. Geosci. 2008, 17, 13–18. [Google Scholar] [CrossRef]
- Pecher, A.; Kofoed, J. Handbook of Ocean Wave Energy; Pecher, A., Kofoed, J., Eds.; Springer Nature: Berlin/Heidelberg, Germany, 2017. [Google Scholar]





| Locations | Lon (°) | Lat (°) | Depth (m) | Site |
|---|---|---|---|---|
| S1 | 0.5 | 39 | 752 | Balearic Sea |
| S2 | 13 | 35.5 | 540 | Strait of Sicily |
| S3 | 24.5 | 32.5 | 1800 | Libyan Sea |
| S4 | 30.5 | 35 | 2413 | Levantine Sea |
| S5 | 21.5 | 35 | 3339 | Libyan Sea |
| S6 | −4 | 36 | 1286.5 | Alboran Sea |
| S7 | 16 | 42.5 | 128 | Adriatic Sea |
| S8 | 6 | 42 | 2534 | Gulf of Lion |
| S9 | 9 | 43.5 | 1971 | Ligurian Sea |
| S10 | 13 | 40 | 3595 | Tyrrhenian Sea |
| S11 | 19 | 37 | 3465 | Ionian Sea |
| S12 | 25.5 | 39 | 196 | Aegean Sea |
| S1 | S2 | S3 | S4 | S5 | S6 | S7 | S8 | S9 | S10 | S11 | S12 | |||||||||||
|---|---|---|---|---|---|---|---|---|---|---|---|---|---|---|---|---|---|---|---|---|---|---|
| ITA | Annual | 3.963 | −4.903 | 7.964 | −8.208 | −0.433 | −3.439 | −3.480 | −4.689 | −3.746 | −6.149 | 2.864 | 1.002 | |||||||||
| Winter | −3.219 | −6.984 | 7.892 | −10.087 | −3.422 | −8.946 | −7.127 | −3.734 | −9.743 | −12.611 | −0.087 | 2.237 | ||||||||||
| Spring | 7.590 | −4.840 | 5.195 | −7.436 | −0.038 | −0.462 | −8.669 | −11.555 | −11.785 | −3.326 | 1.390 | 6.778 | ||||||||||
| Summer | 6.695 | −9.786 | 11.094 | −19.977 | 8.469 | 8.028 | −8.344 | −4.956 | −6.630 | −7.692 | −0.577 | 4.636 | ||||||||||
| Autumn | 10.349 | 1.149 | 9.170 | 5.288 | 3.041 | −6.783 | 8.774 | 0.180 | 12.377 | 3.240 | 11.720 | −8.360 | ||||||||||
| Change Rate | ||||||||||||||||||||||
| > 5% | >12.5% | >10% | >7.5% | >5% | >2.5% | >2% | >1.5% | >1% | >0.5% | ±0.5% | >−0.5% | >−1% | >−1.5% | >−2% | >−2.5% | >−5% | >−7.5% | >−10% | >−12.5% | >−15% | ||
| S1 | S2 | S3 | S4 | S5 | S6 | S7 | S8 | S9 | S10 | S11 | S12 | |||||||||
|---|---|---|---|---|---|---|---|---|---|---|---|---|---|---|---|---|---|---|---|---|
| MK | Annual | 0.984 | −1.361 | 2.952 | −2.478 | −0.012 | −0.632 | −1.336 | −1.263 | −1.276 | −1.178 | 1.118 | 0.437 | |||||||
| Winter | −0.364 | −1.045 | 1.871 | −0.692 | −0.607 | −0.802 | −0.729 | −1.105 | −1.008 | −0.875 | 0.024 | 0.547 | ||||||||
| Spring | 1.664 | −1.543 | 1.895 | −1.640 | 0.328 | 0.814 | −0.765 | −1.421 | −0.996 | 0.304 | 0.255 | 0.583 | ||||||||
| Summer | 0.158 | −2.296 | 1.847 | −5.430 | 1.178 | 0.231 | −0.474 | −1.057 | −1.798 | −2.272 | −0.170 | 0.777 | ||||||||
| Autumn | 0.972 | 0.194 | 1.446 | 0.790 | 0.583 | −1.506 | −0.158 | −0.085 | 0.717 | 0.364 | 2.247 | −0.692 | ||||||||
| Confidence Level | ||||||||||||||||||||
| >99.9% | >99% | >98% | >95% | >90% | >85% | >80% | >75% | >50% | ±50% | >50% | >75% | >80% | >85% | >90% | >95% | >98% | >99% | >99.9% | ||
Disclaimer/Publisher’s Note: The statements, opinions and data contained in all publications are solely those of the individual author(s) and contributor(s) and not of MDPI and/or the editor(s). MDPI and/or the editor(s) disclaim responsibility for any injury to people or property resulting from any ideas, methods, instructions or products referred to in the content. |
© 2023 by the authors. Licensee MDPI, Basel, Switzerland. This article is an open access article distributed under the terms and conditions of the Creative Commons Attribution (CC BY) license (https://creativecommons.org/licenses/by/4.0/).
Share and Cite
Acar, E.; Akpınar, A.; Kankal, M.; Amarouche, K. Wave Power Trends over the Mediterranean Sea Based on Innovative Methods and 60-Year ERA5 Reanalysis. Sustainability 2023, 15, 8590. https://doi.org/10.3390/su15118590
Acar E, Akpınar A, Kankal M, Amarouche K. Wave Power Trends over the Mediterranean Sea Based on Innovative Methods and 60-Year ERA5 Reanalysis. Sustainability. 2023; 15(11):8590. https://doi.org/10.3390/su15118590
Chicago/Turabian StyleAcar, Emine, Adem Akpınar, Murat Kankal, and Khalid Amarouche. 2023. "Wave Power Trends over the Mediterranean Sea Based on Innovative Methods and 60-Year ERA5 Reanalysis" Sustainability 15, no. 11: 8590. https://doi.org/10.3390/su15118590
APA StyleAcar, E., Akpınar, A., Kankal, M., & Amarouche, K. (2023). Wave Power Trends over the Mediterranean Sea Based on Innovative Methods and 60-Year ERA5 Reanalysis. Sustainability, 15(11), 8590. https://doi.org/10.3390/su15118590

