Abstract
In order to elucidate the adaptation mechanisms of the stoichiometric characteristics of Abies georgei var. smithii in southeastern Tibet to different habitats, the spatial and temporal dynamics of the nutrient contents and stoichiometric ratios among the leaf, branch, stem, and root organs were analyzed on Sejila Mountain in southeastern Tibet at different elevations (3500 m, 3900 m, and 4300 m). The results show that (1) the C and K contents of the fir organs did not change significantly with increasing elevation in the same season, while the N and P contents showed an overall increasing trend with increasing elevation, with the C and N contents being the highest in the leaves. The distribution order was leaves > branches > roots > stem; the P and K content order in each organ was branches > leaves > roots > stem. (2) At the same elevation and in different seasons, the Abies georgei var. smithii organs showed a similar convergence in terms of nutrient storage and utilization strategies, and more nutrients were optimally allocated between the assimilated and stored organs in the alpine habitats, which represents a “trade-off” strategy. (3) Compared to the findings of the global-scale studies, this study area has low N, P, and K contents, and its growth is limited by both N and P. Due to physiological and nutrient balance constraints, the content of the N-limited elements in the plants is relatively stable, which is in line with the “limiting element stability hypothesis”. (4) Principal component analysis showed that the influence of environmental factors on the stoichiometric characteristics of the different organs of Abies georgei var. smithii had a spatial scale effect, and that Abies georgei var. smithii demonstrated increased accumulation of N and P contents when subjected to environmental stress, which promoted the domestication and adaptation of the plant, enabling it to show good nutrient accumulation capacity and good adaptation strategies even at high elevation; thus, it has become a pioneer tree species at high elevations. This research work shows that the resilient adaptation of Abies georgei var. smithiir to environmental change has led to differences in the nutrient uptake and use efficiency and the adaptation patterns of the organs at different altitudinal gradients, with each organ adapting to habitat changes by adjusting its nutrient storage strategy between habitats.
1. Introduction
Ecological chemometrics is a discipline that explores the relationship between energy and multiple chemical elemental balances at different levels of ecosystem interactions; ecological studies at different scales can be unified at the elemental level through ecological chemometrics [1,2]. These studies mainly focus on dynamic equilibrium and growth rate theories. Dynamic equilibrium theory suggests that organisms can control their own characteristics so that their internal environment does not change drastically in response to changes in the external environment, keeping their nutrient supply within a relatively stable range. Growth rate theory suggests that the organism can adjust its C:N:P:K ratio to adapt to changes in its growth rate and thus respond to changes in the external environment [3]. Carbon (C), nitrogen (N), phosphorus (P), and potassium (K) are essential nutrients for plant growth. C is the skeleton element and structural substance of life [4]; as the assimilation product of photosynthesis, it is the material basis and energy source of physiological and biochemical processes in plants. Meanwhile, N, P, and K are important constituents of organic matter, such as amino acids, proteins, and nucleic acids, in plants undergoing plant growth and development and metabolic processes; they are equally important elements for determining the type of vegetation limitation [5,6,7]. C:N, C:P, and C:K indicators can reflect the efficiency of a plant’s use of nutrients, control many physiological and biochemical processes in plants, and determine the C, N, and P use, storage, and transfer in ecosystems. The thresholds of N:P, N:K, and K:P act as factors by which to judge the environment and determine the key indicators of the adaptation of plant growth to nutrient supply [8,9]. Nutrient uptake and use, as well as metabolism, are not uniformly distributed among plant elements at different stages of growth and development. It is therefore necessary to explore the response and adaptation of plant nutrients to environmental changes. The current studies on ecological chemometric characteristics have mostly focused on different communities [10,11], different forest stands [12,13], different successional stages [14,15], and different elevations [16,17]. However, most of these studies have focused on the variation in the stoichiometric characteristics of plant leaf organs. Plant growth, metabolism, and phenological development all require specific and optimal nutrients, and there is some variation in the nutrient status of each plant organ in response to various environmental factors in nutrient allocation, while the stoichiometric characteristics of different parts of the branch, root, and stem organs are often overlooked.
Abies georgei var. smithii is a dominant species in the alpine dark conifer forests of southeast Tibet; it is mainly distributed in the alpine zone of southeast Tibet, northwest Yunnan, and south Sichuan at an elevation of 2500–4400 m. It is of great ecological value in terms of water conservation, soil and water conservation, and maintenance of the ecological balance [18]. In recent years, the population of this community has been declining; it is difficult to renew and has been listed as a Grade II protected plant [19]. In view of this, this study selected Abies georgei var. smithii at different elevations and during different seasons on Sejila Mountain as the research object. By analyzing the spatiotemporal dynamic characteristics of the C, N, P, and K nutrient contents and their stoichiometric ratios in different parts of Abies georgei var. smithii leaves, branches, roots, and stems, we aimed to gain a deeper understanding of the distribution of nutrients in plants and their adaptation strategies to environmental changes. The following three questions need to be answered: do nutrient partitioning conditions differ between the organs at different altitudinal gradients? How do plants regulate elemental stoichiometry to adapt to the heterogeneity of environmental changes? Are nutrient contents and stoichiometric ratios in plants affected by different seasons?
2. Materials and Methods
2.1. Study Area
Located in the territory of Linzhi City in southeastern Tibet (94°12′~35′ E, 29°15′~50′ N), Sejila Mountain belongs to the intersection of the eastern section of the Nyainqêntanglha Shanmai and Himalayan mountain systems, with the highest elevation at around 5300 m. It is in the central transition zone of the humid and semi-humid mountains of southeastern Tibet and is in the boundary zone between eastern and central-western Linzhi County; it is the watershed between the Nyang River Basin and the Parlung Zangbo. The region has a humid subalpine cold-temperate climate zone with distinct wet and dry seasons. At the same time, the climate zone and vegetation zone types are very rich. The terrain is high and steep, and the vertical height difference is nearly 3000 m. It has a typical mountain range system, which has a clear vertical spectrum band along the elevation rise [20]. Sejila Mountain has become a typical core area for ecological research in southeastern Tibet, where vegetation nutrients vary in a clear vertical band with increasing elevation, making it a “natural laboratory” for studying vegetation nutrients and their response to climate (see Figure 1).
Figure 1.
Distribution of vertical climate zones of Sejila Mountain.
2.2. Sample Site Survey
In order to monitor nutrient changes in the growth dynamics of Abies georgei var. smithii on Sejila, a 30 m by 30 m fixed monitoring forest sample plot was set up at 400 m elevation intervals in the Sejila Abies georgei var. smithii forest at 3500 m, 3900 m, and 4300 m elevations, respectively (Table 1).
Table 1.
Basic characteristics of plant growth states.
The main climate indicators at an elevation of 3500 m (94°43′–34′ E, 29°41′–56′ N) are as follows: the annual average temperature is 5.78 °C, and the warmest monthly average temperature is 12–16 °C. This section contains a cool, moist, and dark coniferous forest in the mountainous temperate zone, with Abies georgei var. smithii, Picea likiangensis var. linzhiensis, Betula utilis, etc., as the superior tree species. The shrub layer mainly includes Fargesia spathacea, etc. The soil type is mostly mountainous acid brown soil.
At an elevation of 3900 m (94°42′~54′ E, 29°39′~1′ N), the main climatic indicators are as follows: the average annual temperature is 4.40 °C, and the average temperature of the warmest month is 6~10 °C. This section contains a cold, wet, and dark coniferous forest in the subalpine cold temperate zone. The shrub layer mainly includes Spiraea schneideriana, Sorbus rehderiana, etc. The soil type is mostly mountain leached ash soil.
The upper and lower sections at an elevation of 4300 m (94°41′–45′ E, 29°36′–51′ N) are, respectively, ice desert areas and tundra areas. The main climate indicator is as follows: the annual average temperature is 1.23 °C, which means that these sections belong to the alpine cold zone and contains alpine cold wet shrub meadow. Most of the vegetation is shrub vegetation, such as Rhododendron pingianum, Salix lindleyana, Rhodiola fastigiata, etc. The soil type is mainly alpine meadow soil.
2.3. Sample Collection and Analysis
In order to ensure uniformity in the phenological stages of the Abies georgei var. smithii at different elevations, samples were collected at different elevations in August (growing period) and November (dormant period) of the same year, and five standard trees of the same size and relatively complete and similar height were selected for each sample site.
Leaf and branch sampling: High pruning shears were used to collect new branches (1–2 years old) and leaves (1–3 years old) of the sample plants in order to represent the whole plant. In order to make the samples more representative, the branches and leaves were collected in four different directions, east, west, south, and north, and then mixed in proportion to each other as samples of leaves and branches of a single plant.
Stem sampling: Five cores were drilled to the pith at 1.3 m from the tree diameter at breast height using a 5 mm inner diameter growth cone and then mixed in the same proportions for the individual trunk samples. To avoid pathogens attacking the sample plants, the holes left in the sampling area were finally filled with butter.
Root sampling: Root samples were obtained at a depth of 0–30 cm in the soil layer by digging, washing, and screening for fine roots of less than 2 mm.
The well-labelled samples were sealed and placed in a portable freezer and brought back to the laboratory on the same day to be split and cleaned for pre-treatment; then, the samples were quickly killed in the oven at 105 °C (15 min) and then dried at 80 °C to a constant weight, crushed and sieved to 1 mm, placed in a self-sealing bag, and stored in a box with a desiccant for backup.
The samples were mainly analyzed to determine the C, N, P, and K elemental contents. The elemental analyzer method (vario EL cube CHNOS Elemental Analyzer, Elementar Analysensysteme GmbH, Hanau Hessian, Germany) was used to determine the C and N contents of the different organs of the plants. HNO3-H2O2 ablation—using the ICP-OES method (iCAP 6300 ICP-OES Spectrometer, Thermo Fisher, Waltham, MA USA)—was used to determine the P and K contents of the different organs of the plants. The meteorological data were mainly derived from the long-term observations of three sample sites at different elevations: mountain temperate mixed coniferous forest—3500 m; sub-boreal dark coniferous forest—3900 m; and alpine boreal mixed forest—4300 m. The data were selected from January to December 2021. The meteorological instrument rack was set up in the forest. The system automatically calculated and stored the observed meteorological data at intervals of 10 min. The meteorological data were downloaded every other month. The data collector was the HOBO H21-USB, which is produced by the American Onset Company (Table 2).
Table 2.
Overview of meteorological monitoring equipment.
2.4. Data Analysis
The raw data obtained from Sejila Abies georgei var. smithii were initially collated using Microsoft Excel 2021, and the data were statistically analyzed using SPSS 25.0 software at the level of significance (α = 0.05). Multi-factor analysis of variance (ANOVA) and Duncan’s test were used for multiple comparisons to analyze the seasonal differences in nutrient content between the organs at different elevation gradients, and the data results were expressed as means and plotted in Origin 2021. The coefficient of variation (CV) = standard deviation/mean × 100%. In order to better characterize the elements, the “psych” package in R 4.0.3 was used to map and analyze the environmental factors separately from the C, N, P, and K contents of Abies georgei var. smithii plant organs. Their stoichiometric ratios for principal component analysis (PCA) were determined in order to screen the correlation between the highest loading elements and their stoichiometric ratios on the main axis of the PCA.
3. Results
3.1. Characteristics of Variation in C, N, P, and K Contents of Different Organs and Their Stoichiometric Ratios
The degree of influence of the elevation, organs, seasons, and their interactions on plant nutrient content and stoichiometry varied. As can be seen from Table 3 and Table 4, the changes in the C, N, P, and K contents and their stoichiometric ratios were mainly influenced to the greatest extent by the organs, all at highly significant levels (p < 0.001), with climate being the least influential. However, in the interaction between elevation and the other three factors, except for the effect on the C:K and N:K ratios that did not reach a significant level, all the factors showed a significant level (p < 0.05). In contrast, season was insignificant at any level in the analysis of variance (p > 0.05). With the exception of the C content and K:P ratio, the C:N and C:K ratios were affected to the same extent, in the following order: organ; organ and elevation; elevation, organ, and season and the interaction of the three; season; and the interaction of elevation and season.
Table 3.
Analysis of the sources of variation in the C, N, P and K content of Abies georgei var. smithii.
Table 4.
Analysis of the sources of variation in the ecological stoichiometry ratios of Abies georgei var. smithii.
The analysis of the coefficient of variation reflects the magnitude of the differences in nutrient content between the elevations, seasons, and organs. The four organs of Abies georgei var. smithii differed in the variability of their C, N, P, and K contents and their stoichiometric ratios throughout the growing period (Table 5). During the growing period, the variability of C in all four organs was minimal and weak, with the highest coefficients of variation in the N content (21.6%, 34.2%) being moderate in the branches at 3500 m and in the stem at 4300 m; high in the roots and stem at 3900 m and 4300 m (47.3%, 55.0%); and high in the stem and root organs at 3900 m. The highest coefficients of variation (36.5%, 39.5%, 66.8%) were found for the K content in the stem and root organs at 3900 m and the stem organs at 4300 m. The C:N ratio showed the highest coefficient of variation for the branch and stem organs at 3500 m and 4300 m and displayed moderate variation; the C:P ratio showed the lowest coefficient of variation for the leaf organs at 3500–3900 m (8.17%, 8.96%) and displayed weak variation; the C:K ratio showed the lowest coefficient of variation for the stem and branch organs at 3500 m and 4300 m and displayed weak variation; and the N:P ratio showed the highest coefficient of variation for branch organs at 4300 m and displayed high variation. The highest coefficient of variation in the N:P ratio was height variation; the smallest coefficient of variation in the N:K ratio was in the branch organs at all elevations; the coefficient of variation in the K:P ratio was moderate except for the branch and stem at 3900 m and the stem organ at 4300 m; and the coefficient of variation varied between weak and moderate variation during the dormant period. In addition, in terms of overall performance, the mean coefficient of variation within the different elevations and organs was greater for the growing period than for the dormant period (CV ≤ 15% was defined as weak variation; 15% < CV ≤ 35% as moderate variation; 35% < CV ≤ 100% as high variation; and CV ≥ 100% as strong variation [21,22]).
Table 5.
Coefficient of variation between different elevations and organs (%).
3.2. Effect of Different Seasons at the Same Elevation on the C, N, P, and K Contents of Various Organs of Abies georgei var. smithii
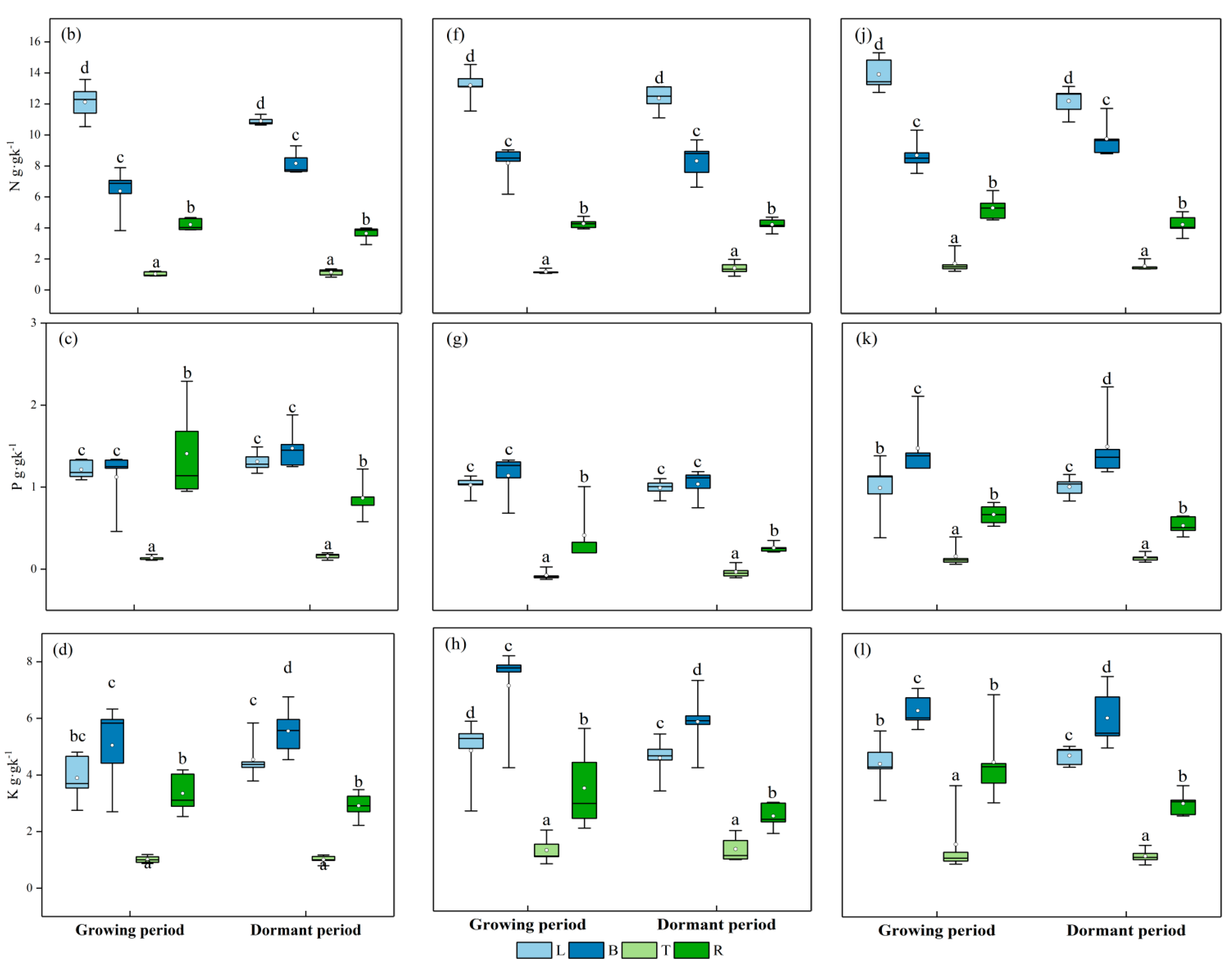
As can be seen from Figure 2, the C, N, P, and K contents of the plants and their stoichiometric ratios at different seasons at the same elevation do not follow the same pattern of variation throughout the growing period. From the different organs, the C content of the leaves showed the highest values in seasonal variation at 3500 m above sea level with 514.62 g·kg−1 and 518.33 g·kg−1, respectively, with a significant difference (p > 0.05) in the stem organs as the minimum value. The N content of the leaves showed a decreasing trend between seasons at the same elevation, with the maximum values occurring in the growing period at 12.12, 13.18, and 13.91 g·kg−1, respectively; the N content of the branches and trunks showed an increasing trend in seasonal changes, except for the stem organs, which showed a decreasing trend at 4300 m above sea level in the growing period, with a greater value for the growing period than for the dormant period, and the differences were insignificant (p < 0.05). The seasonal variation of the roots showed a decreasing trend, with maximum values occurring during the growing period at 4.21, 4.26, and 5.29 g·kg−1, respectively. The P content of the leaves, branches, and stems showed a decreasing trend at 3500 m, while the roots showed an increasing seasonal variation. The P content of the branches at an elevation of 3900 m was the highest, at 1.27 and 1.18 g·kg−1, respectively, and the P content of the leaves, branches, and roots showed a decreasing seasonal trend, while the stem showed increasing seasonal variation. The K content of the branches was the maximum at the same elevation between seasons, 5.05, 6.95, and 6.27 g·kg−1, respectively; its level in the stem was the minimum, and the difference was significant (p > 0.05).

Figure 2.
Characteristics of nutrient content of various organs of Abies georgei var. smithii at the same elevation in different seasons. L: leaf; B: branches; T: stem; R: roots, (a–l) Representing the characteristics of changes in the nutrient content of each organ in different seasons at the same elevation in terms of C, N, P and K. Different lowercase letters represent significant differences among different organs at the same elevation (p < 0.05).
The results of the multi-factor ANOVA showed (Table 6) that the nutrient content of the various organs of Abies georgei var. smithii varied in different patterns across the elevation gradients in different seasons. As the plants developed between the growing period and dormant period, the C:N ratios of the leaves at an elevation of 3500 m were 42.77 and 47.60, respectively, which were higher than those of the leaves at an elevation of 3900 m and 4300 m. However, the C:N ratio of the leaves was the smallest among the organs, showing the following order: stem > root > branch > leaf. The C:P ratios differed consistently among the organs of the same life type, showing that the levels in the stem organs were significantly higher than those in the leaves, branches, and roots and that there was a significantly greater value for the growing period than for the dormant period (p < 0.05). The C:K ratio of the leaves tended to decrease in different seasons at the same elevation, while that of the root organ tended to increase in the opposite direction. The leaf to stem N:P ratio showed a decreasing trend in seasonal variation, ranging from 10.00 to 13.43 and 7.77 to 8.51, respectively, with its maximum values all in the growing period. The N:K ratio of the leaves was higher in the growing period (3.20) than in the dormant period (2.44), except at 3500 m above sea level. The other organs showed greater values for the growing period than for the dormant period at the same elevation in different seasons, with significant differences. The variation in the K:P ratio from the branches to the stem at the same elevation under different seasons showed a decreasing trend with significant differences (p < 0.05).
Table 6.
Characterization of inter-organ stoichiometric ratios under different climatic zones (Mean ± standard deviation).
3.3. Effect of Different Elevations on Ecological Stoichiometric Ratios of Various Organs of Abies georgei var. smithii in the Same Season
During the growing period (Figure 3a–d), the C contents of the leaves and roots varied from 510.94 to 514.61 g·kg−1 and from 471.58 to 475.40 g·kg−1 at different altitudinal gradients, respectively, with the highest C contents in the leaves at 3500 m above sea level, with insignificant difference (p > 0.05). The C content of the branches and roots showed an increasing–decreasing trend with increasing elevation, with the highest values of 503.07 g·kg−1 and 485.41 g·kg−1 at 3900 m above sea level, respectively, with insignificant differences (p > 0.05). The N content of the Abies georgei var. smithii organs at different elevation gradients showed the same trend; they all showed an increasing trend, and the nutrient content of its stem was the smallest, showing a significant difference (p < 0.05) with the following order: leaf > branches > roots > stem. The P content of the Abies georgei var. smithii leaves, branches, and roots showed a decreasing–increasing trend with increasing elevation, while that of the stem organs showed an increasing trend, with a maximum value of 0.25 g·kg−1 at 4300 m. The K content of the leaves and branches showed an increasing–decreasing trend with an increasing elevation, with the maximum values of 4.66 and 6.95 g·kg−1 at 3900 m, respectively, while that of the roots showed a decreasing–increasing trend, with the maximum values of 4.66 and 6.95 g·kg−1 at 4300 m. The roots showed an opposite decreasing–increasing trend, with a maximum value of 4.46 g·kg−1 at 4300 m above sea level and insignificant differences (p > 0.05). During the dormant period (Figure 3e–h), the C content of the Abies georgei var. smithii leaves and branches showed a decreasing trend with increasing elevation, with the maximum values of 518.33 and 507.63 g·kg−1 at 3500 m, respectively, and the difference was significant (p < 0.05). The N content of all of the organs, except for the leaf organs, showed an increasing trend with increasing elevation, while the P content of all of the organs, except for the stem organs, showed a decreasing–rising trend with increasing elevation. The K content of the leaves and roots showed a decreasing–increasing trend with elevation, while the K content of the branches showed an increasing trend with elevation, and the maximum values for the leaves, branches, and roots were 4.70, 6.01, and 3.00 g·kg−1 at 4300 m above sea level, respectively, with insignificant differences (p > 0.05). At the same time, all of the organs at different elevations showed the following trend: branch > leaf > root > stem.

Figure 3.
Characteristics of the nutrient contents of the four organs at different elevations in the same season. L: leaves; B: branches; T: stem; R: roots; (a–h) represent the characteristics of changes in the nutrient content of various organs at different elevations in the same season in terms of C, N, P, and K. Different lowercase letters indicate significant differences between organs in different seasons at the same elevation (p < 0.05).
The C:N ratios of all of the organs showed a decreasing trend with increasing elevation during the growing period, with the highest values being 42.77, 83.49, 466.29, and 115.15 at an elevation of 3500 m, respectively, with significant differences (p < 0.05). The C:K ratios of the leaves and stem showed a decreasing trend with increasing elevation, with the highest values being 137.47 and 474.30 at 3500 m, respectively; these values were insignificantly different (p > 0.05). The N:K ratios of all of the organs except for the root organ showed an increasing trend with increasing elevation. At the different elevation gradients, all the organs showed an increasing–decreasing trend with increasing elevation, except for the K:P ratio of the leaves, and the difference was significant (p < 0.05). During the dormant period, the C:N, C:P, and C:K ratios showed the same trend with increasing elevation in all of the organs except for the C:P ratio of the branches, and the C:N ratio showed the following order: stem > root > branch > leaf; the C:P and C:K ratios showed the order stem > root > leaf > branch. In contrast, there was no obvious pattern in the N:P and N:K ratios, but they uniformly presented the maximum value for the leaf organ ratio, and the difference was significant (p < 0.05).
3.4. Principal Component Analysis of Environmental Factors on Plant C, N, P, K, and Stoichiometric Ratios
To understand the correlation between the C, N, P, and K contents of Abies georgei var. smithii and its ecological stoichiometric ratios and environmental factors, a principal component analysis (PCA) of the C, N, P, and K contents of Abies georgei var. smithii leaves, branches, roots, and stem organs and the environmental factors is presented in Figure 4. In Figure 4, the length of the arrow indicates the size of the indicator (importance), and the size of the angle between two indicators and between the indicator and the main axis indicates the correlation between the indicators; the smaller the angle, the greater the correlation. From Figure 4a, it can be seen that the contributions of the PC1 axis and PC2 axis during the growing period were 44.8% and 23.4%, respectively, and the cumulative contribution was 68.2%. AT and AH were positively correlated with the C, N, and P contents and negatively correlated with the C:N, C:P, and C:K ratios, and AT and AH were the main factors affecting the stoichiometry of the different organs at the 3500 m elevation. In addition, the 4300 m elevation was the main factor affecting the stoichiometry of the different organs. The main factor affecting the stoichiometry was ST. Meanwhile, the contributions of the PC1 and PC2 axes during the dormant period (Figure 4b) were 44.8% and 23.4%, respectively, with a cumulative contribution of 68.2%. They showed a similar convergence in the growing period, with AT positively correlated with the C, N, and P contents and negatively correlated with the CN, CP, and CK ratios. At the 3500 m elevation, AT was the main factor affecting the stoichiometry of the different organs, and at the 4300 m elevation, the main factor affecting the stoichiometry of the different organs was ST. The PC1 factor loadings indicated that the nutrient contents and stoichiometry ratios were clearly separated along the two ends of the PC1 axis, meaning that the N, P, and K contents varied in opposite trends to the C:N, C:P, and C:K ratios.
Figure 4.
Principal component analysis (PCA) of environmental factors and the content and stoichiometric ratios of four elements in different organs of Abies georgei var. smithii. AT: air temperature; AH: air humidity; ST: soil temperature; SH: soil (10 cm) humidity. Yellow circle: 3500 m above sea level; green circle: 3900 m; basket circle: 4300 m. (a) represents the principal component analysis of the growing period; (b) represents the principal component analysis of the dormant period.
4. Discussion
4.1. Spatial and Temporal Dynamics of Inter-Organ Nutrient Content of Abies georgei var. Smithii
Different plant organs have different structural materials and functional properties. The inhibitory effects of environmental changes on the C, N, P, and K contents in the different organs of the same tree species vary. Different growth rhythms also exhibit significant differences [23]. In this study, the C contents of the Abies georgei var. smithii leaves were 513.12 g·kg−1 and 512.68 g·kg−1 during the seasonal changes, respectively, and were higher than the global average C content of leaves (464.00 g·kg−1) [24]. The C content of the leaves and branches showed an upward–downward trend from the growing period to the dormant period (Figure 2), which is similar to the results of Zhao [25] et al. This may be due to the fact that plants are in a rapid growth state during the growing period, with strong photosynthesis and an accelerated rate of carbon fixation, while the growth of the leaves weakens and withers during the dormant period, resulting in a decrease in leaf C content [26]. From Figure 2 and Figure 3a,e, it can be seen that the C content of both the stem and the root organs tends to increase with the elevation gradient in the seasonal dynamics, showing a greater value for the growing period than for the dormant period, and the difference is insignificant (p > 0.05). This may be because roots and stems, as organs that absorb and transport nutrients, have the most vigorous metabolic and productive activities during the growing period, and the accumulation of carbohydrate substances is effective, resulting in a rapid increase in biomass, which dilutes the C content of the roots and stems [27]. When it comes to the dormant period, the growth rate of woody plants slows down, and the biomass tends to stabilize. The C element content of the roots and stems accumulates and increases, resulting in the C content of the dormant period being higher than that of the growing period. In addition, compared with other related studies [28,29], the overall variation in C content in this study was relatively small, which is consistent with the results of Liu [30] et al., indicating that C content, as the main structural material for plant growth and development, has a relatively small seasonal variation compared to the contents of N, P, and K, which serve as functional elements. Overall, the C content of each organ at an elevation of 3500 m was higher than that at an elevation of 4300 m, which reflects the fact that Abies georgei var. smithii at lower elevations has a higher capacity for C accumulation.
Overall, the nitrogen (N) content of Abies georgei var. smithii varied from 6.68 to 6.48 g·kg−1 during the seasonal changes, which was significantly lower than the results of different regions, such as those of the national average [31] (20.20 g·kg−1) and the Hulunbuir saline land [32] (19.68 g·kg−1). The nutrient changes of each organ in response to elevation were consistent; they all showed an increasing trend with the increase in elevation, with the distribution sequence being leaves > branches > roots > stem. The N content of both the leaves and the roots of the Abies georgei var. smithii was higher during the growing period than during the dormant period. This could be due to the leaves being the main organs for plant assimilation and metabolism and the fact that plants transport a large amount of nutrients to the leaf organs during the growth stage. As the roots connect the aboveground and underground nutrient cycling parts and play an important role in nutrient absorption to meet the needs of plant growth, the N content is transported to the branches and stems for storage before the dormant period, resulting in a decrease in N content in the leaves during the dormant period. In other words, in a limited-resource environment, plants optimize resource allocation between functional traits; this is a “trade-off” strategy [33,34]. On the other hand, as the elevation increases and the temperature drops, the leaf organs produce carboxylation reactions to resist the inhibitory effects of low temperature on enzymes, and the enhancement of the carboxylation capacity leads to an increase in the N content [35]. At this time, various functions of the plant itself begin to gradually decline during the dormant period: enzyme activity decreases, and physiological effects such as photosynthesis and transpiration begin to weaken. The ability to absorb and assimilate nutrients is relatively low, which is also the reason for the N content of the leaf and root organs becoming higher during the growing period than during the dormant period. This is similar to the results of Li et al.’s research [36]. Except for that of the root organ, the phosphorus (P) content showed a pattern of being lower during the growing period than during the dormant period, which may be because the root growth is slow, and it showed a relatively stable state during the seasonal changes; these results are similar to those of Yang Xiuyun’s research [37]. The potassium (K) content showed the opposite pattern to the P content, with a higher content during the growing period than during the dormant period, except for the leaf organs. The sequence of distribution from large to small was branches > leaves > roots > stem. The P and K contents of the leaves during the growing period and dormant period were 1.19 g·kg−1 and 1.22 g·kg−1 and 4.32 g·kg−1 and 4.55 g·kg−1, respectively, both of which were lower than the national [31] average (1.46 g·kg−1, 15.09 g·kg−1). In addition, both showed significant seasonal effects in the leaf and branch organs, indicating that the P and K nutrient elements are volatile in the leaves and branches as the season changes. This is similar to the research results of Xie et al. [38] on the artificial forest of Pinus tabulaeformis in northern China. As the elevation increases and the temperature drops sharply, Abies georgei var. smithii adopts a defensive life strategy under long-term environmental stress, indicating that the utilization of plant nutrients in different growth stages and the distribution differences of organ nutrients are jointly affected by the limited supply of environmental nutrients and their own physiological characteristics. In addition, Abies georgei var. smithii is a common evergreen tree species in the area.
4.2. Spatial and Temporal Dynamics of Inter-Organ Stoichiometric Ratios in Abies georgei var. smithii
The ecological stoichiometry ratios can be used to reveal the nutritional status of plants and the nutrient supply capacity of regional habitats [39]. The variations of the C:N, C:P, and C:K ratios throughout the seasons can reflect the balance between competition and life defense strategies. When the C content is higher, the ratios of C:N, C:P, and C:K are also higher, indicating that the plant adopts a life defense strategy with a lower photosynthetic rate [40]. In this study, under the spatiotemporal dynamic distribution, the C:N, C:P, and C:K ratios of all the organs were higher than the global [24] average level (22.50, 232.00, 30.73) and decreased with increasing elevation. This is the opposite result to the seasonal changes in the N, P, and K contents, showing that the efficient utilization of elements by Abies georgei var. smithii in the environment with relatively poor nutrient supply was displayed both in and out of the growing period, with a higher efficiency during the growing period than the dormant period. These findings are similar to those of Niu et al. [41]. This may be due to the fact that the vegetation and temperature reached a higher equilibrium state during this period, causing the utilization rate of N, P, and K to be relatively higher. Furthermore, there were differentiated features in the stoichiometric ratios of C, N, P, and K in the different growth rhythms of Abies georgei var. smithii, indicating that the plant has different resource allocation strategies for C, N, P, and K under different environmental conditions (such as substrate nutrient status, elevation, temperature, and water supply).
Tilman pointed out in the competition ratio model that plants with lower nutrient content are more likely to survive in nutrient-poor environments for a long time [42]. In this study, the N:P ratios of Abies georgei var. smithii tree leaves, branches, roots, and trunks were all less than 14, indicating that their growth was mainly limited by N [43,44] (Table 6). In addition, the N content remained stable within a certain range under temporal and spatial dynamics (Figure 2). We speculate that this may be a strategy for Abies georgei var. smithii trees to maintain their metabolic ability in low-temperature environments, selectively adjusting their nutrient composition to reduce fluctuations in important and limited nutrient content, which is consistent with the “Stability of Limiting Elements Hypothesis” [45]. In terms of seasonal dynamics, the N:P ratio of the leaves showed a significant decreasing trend as the growth season progressed, indicating that the dilution effect of N caused by cell elongation and expansion in Abies georgei var. smithii tree leaf organs was stronger than that of P, which may be related to the specific absorption of N and P contents at different elevation gradients. The N:P ratio of the branches showed a decreasing and then increasing trend, while that of the roots and trunks showed the opposite trend, indicating that the growth of Abies georgei var. smithii trees was alleviated by N limitation as the season changed. This result is inconsistent with the results of Fan [46] et al. on the N:P ratio of wetland plants in Jiaozhou Bay, which may be related to differences in habitat, species, and environmental factors. Venterink [47,48] found that when N:K > 2.1 and K:P < 3.4, K was the main limiting factor. In this study, except for the N:K ratio of Abies georgei var. smithii tree leaves (3.16) being greater than 2.1, the N:K ratios of the branches, trunks, and roots were all less than 2.1 along the coastal elevation gradient in different seasons, while the K:P ratio thresholds (5.01, 4.53) were all greater than 3.4 among the different organs, indicating that the Abies georgei var. smithii trees in this study area were not limited by K, which may be related to their resistance and tolerance to drought and barrenness. In summary, plants with lower N and P contents tend to become dominant species in environments limited by N and P contents [42]. In addition, plant–apoptotic matter–soil is a complete nutrient cycle system; this study only performed a systematic analysis for plant nutrients, and did not study the characteristics of apoptotic matter and soil nutrients; so, the C, N, P, and K in the nutrient cycle system cannot be better reflected. Future research should pay attention to the integrity of nutrient cycle system research.
4.3. Relationship between Stoichiometric Ratios and Seasonal Variation in Various Organs of Abies georgei var. smithii
In plant growth, plants that have strong adaptability to stressful environments have stronger nutrient storage capabilities than plants grown in a well-supplied environment [49]. They can respond to stress by adjusting or changing their own nutrient storage strategies. The PCA analysis results showed that, whether during the growing period or the dormant period, AT was positively correlated with the C, N, and P contents and negatively correlated with the C:N, C:P, and C:K ratios. This suggests that the stoichiometry of the nutrient reserves and utilization strategies in different organs (leaves, branches, roots, and stems) of Abies georgei var. smithii show similar trends with regard to spatiotemporal dynamics. This is similar to the results of Randrianalijaona et al. [50]. In addition, Abies georgei var. smithii showed a significant response to elevation gradient, with AT being the main factor affecting the stoichiometry of different organs at an elevation of 3500 m and ST being the main factor at an elevation of 4300 m. Therefore, we conclude that the differences in nutrient absorption and allocation during Abies georgei var. smithii growth are affected by elevation gradients. The N, P, and K contents were negatively correlated with the C:N, C:P, and C:K ratios on the PC1 axis. As expected, we found that the N:P ratio of the different organs of Abies georgei var. smithii decreased with the increasing N and P contents at higher elevations. When the plant has a low N:P ratio, this indicates that its growth rate is higher and that the plant will allocate more P to ribosomal RNA for rapid protein synthesis to maintain fast growth. This conclusion not only reflects the good adaptation strategy of Abies georgei var. smithii in high-elevation environments but also relates to the production of anti-stress mechanisms in plants under stressful environments. This mechanism requires plants to have higher nutritional investments in order to have a strong impact on the N:P ratio [51]. Therefore, the increase in the N and P contents in plants is a physiological and ecological characteristic of the resistance to environmental stress. The principal component analysis results in this study were consistent with the previous research results.
5. Conclusions
Compared with the global-scale studies, this study area has lower N, P, and K contents, and growth is limited by the combination of N and P. In addition, various organs of Abies georgei var. smithii exhibited similar convergence in their nutrient storage and utilization strategies at different seasonal scales. Under low temperature environmental stress, more nutrients are allocated to the assimilation organs and reproductive organs for resource optimization allocation; this is a “trade-off” strategy. The C:N, C:P, and C:K ratios of each organ under the spatial and temporal dynamic distribution were opposite to the N, P, and K contents, which showed a higher N, P, and K utilization efficiency to a certain extent, in accordance with the “Growth Rate Hypothesis”. The effect of environmental factors on the stoichiometry of the different organs of Abies georgei var. smithii was spatially scaled, i.e., at 4300 m ST was the indicator affecting the stoichiometry of most of the organs, while at 3500 m AT was the indicator affecting the stoichiometry of all of the organs. At the spatial scale, AT significantly affected the contents of C, N, and P (positive correlation); it significantly increased the N and P contents and reduced the N:P ratio, promoting plant domestication and adaptation. The results demonstrate that Sejila Abies georgei var. smithii has a good elevation gradient adaptation strategy and is a pioneer species at high elevations.
Author Contributions
Funding acquisition, Resources Supervision, J.L.; Writing—Original Draft, Conceptualization, Formal Analysis, Y.L.; Data Curation, Validation, F.F., W.C., H.D. and S.X.; put forward some constructive comments on the manuscript, J.L. All authors have read and agreed to the published version of the manuscript.
Funding
This research was funded by the Long-term Ecological Observations of Pinus densata Mast. in Southeast Tibet-National Field Scientific Observation and Research Station on Alpine Forest Eco-systems in Linzhi, Tibet (Science and Technology Innovation Base) (2023–2025) (XZ202301JD0001G); National Field Scientific Observation and Research Station (Ecosystem) Operation Subsidy Project of the Ministry of Science and Technology “National Forest Ecosystem Observation & Research Station of Nyingchi Tibet, Nyingchi, Tibet (LZF 2020–2025)”.
Institutional Review Board Statement
Not applicable.
Informed Consent Statement
Not applicable.
Data Availability Statement
Not applicable.
Conflicts of Interest
The authors declare no conflict of interest.
References
- Dong, X.; Zhang, J.; Xin, Z.; Huang, Y.; Han, C.; Li, Y.; Lu, Q. Ecological Stoichiometric Characteristics in Organs of Ammopiptanthus mongolicus in Different Habitats. Plants 2023, 12, 414. [Google Scholar] [CrossRef] [PubMed]
- Cai, G.J.; Suo, P.C.; Zhang, L.M.; Fu, Y.H.; Li, A.D. C, N, P stoichiometric characteristics in different organs of three constructive plants in Karst peak-cluster depressions in southern Guizhou, Southwest China. J. Guizhou Norm. Univ. 2021, 39, 36–44. [Google Scholar]
- Meng, Q.Q.; Ge, L.L.; Yang, X.M.; Wang, J.; Lin, Y.; He, Z.M.; QIU, L.Y.; Hu., H.T. Seasonal variation of C, N, and P stoichiometric characteristics in leaves of two plantations in Sanming, Fujian. Chin. J. Appl. Environ. Biol. 2019, 25, 776–782. [Google Scholar]
- Huang, K.; Cao, X.W.; Liu, J.Q.; Zhang, T.; Wang, F.; Huang, X.D. Ecological Stoichiometric Characteristics of C, N and P Contained in Different Organs of Quercus wutaishansea mary. Shaanxi For. Sci. Technol. 2021, 49, 9–13. [Google Scholar]
- Liu, S.; Luo, D.; Liu, Q.L.; Zhang, L.; Yang, H.G.; Shi, Z.M. Carbon and nitrogen storage and distribution in different forest ecosystems in the subalpine of western Sichuan. Acta Ecol. Sin. 2017, 37, 1074–1083. [Google Scholar]
- Wang, Y.H.; Cui, Y.F.; Xue, L.L. The reserve of carbon, nitrogen, phosphorus and potassium and their distribution features in youngand middle-aged Cupressus funebris forests in the Wuling MountainArea of Chongqing. J. Sichuan For. Sci. 2018, 39, 30. [Google Scholar]
- Zhao, Y.F.; Xu, F.L.; Wang, W.L.; Wang, G.X.; Chen, Q.C.; Zhao, H.Y.; Ma, Y.J. Seasonal variations of leaf C, N, P contents and stoichiometry of Larix principis-rupprechtii. J. Plant Nutr. Fertil. 2015, 21, 1328–1335. [Google Scholar]
- Wassen, M.J.; Olde Venterink, H.G.M.; de Swart, E.O.A.M. Nutrient concentrations in mire vegetation as a measure of nutrient limitation in mire ecosystems. J. Veg. Sci. 1995, 6, 5–16. [Google Scholar] [CrossRef]
- Guo, S.J.; Xie, M.M.; Zhang, L.; Sun, H.J.; Song, Y. Temporal variation of C, N, P stoichiometric in fine roots of Castanea mollissima. J. Plant Nutr. Fertil. 2018, 24, 825–832. [Google Scholar]
- Zhang, X.L.; Qin, H.; Niu, J.J.; Zhang, Y.B.; Shi, L.H.; Zheng, Y.R. Community Diversity and C, N and P Stoichiometric Characteristics of Subalpine-Alpine Meadows in Wutai Mountain. Res. Environ. Sci. 2022, 35, 2175–2184. [Google Scholar]
- Zhang, P.; Shen, Y.; Zhang, X.J.; Die, M.H.; Wen, H.C.; Ma, H.B. Ecological stoichiometric characteristics of C, N and P in leaves of dominant plants and community stability in Ningxia desert grassland. Chin. J. Grassl. 2022, 44, 18–26. [Google Scholar]
- Zuo, W.; He, K.N.; Tian, Y.; Wang, W.L. Surface litter stoichiometry for five forest types in alpine region, Qinghai, China. Chin. J. Ecol. 2016, 35, 2271. [Google Scholar]
- Yu, L.H.; Fang, X.; Xiang, W.H.; Shi, J.; Liu, Z.D.; Li, L.D. Stoichiometry of Carbon, Nitrogen, and Phosphorus in Litter and Soil of Four Types of Subtropical Stand. Sci. Silvae Sin. 2016, 52, 10–21. [Google Scholar]
- Qui, J.; Dai, H.T.; Xing, Y.Z.; Huang, D.J.; Yi, Q.J.; Cheng, D.W. Leaves, stems and roots stoichiometry characteristics of mangrove plants at different succession stages in Shankou National Mangrove Nature Reserve, China. J. Trop. Oceanogr. 2023, 1–12. [Google Scholar]
- Yuan, C.J.; Yu, L.F.; Yan, L.B.; Pi, F.J.; Yang, R.; Wu, L.; Li, X.J. Stoichiometry Characteristics of Leaf in Plant Functional Groups at Different Community Succession Stages in Central Guizhou Karst Area. J. West China For. Sci. 2017, 46, 124–132. [Google Scholar]
- Li, Z.F.; Liu, W.S.; Zhang, B.; Zheng, Z. Response of C:N:P ecological stoichiometric ratio of young tree leavesin tropical seasonal rain forest of Xishuangbanna to change of elevation. J. Cent. South Univ. For. Technol. 2012, 32, 80–85. [Google Scholar]
- Li, A.Q.; Zhang, S.S.; Wang, H.R.; Zhang, D.D.; Zhao, X.Y.; Guan, M.R.; Xu, X.N. Fine root morphological characteristics and its functions in mature Chinese firplantations along an elevation gradient in Dabie Mountains. Acta Ecol. Sin. 2020, 40, 719–727. [Google Scholar]
- Zhu, W.T.; Liu, H.S.; He, R.; Yu, D.R.; Xia, Y.; Dang, H.S. Spatial point pattern analysis and spatio-temporal dynamics of Abies georgei var. smithii forests in southeast Tibet. Acta Ecol. Sin. 2022, 42, 8977–8984. [Google Scholar]
- Li, J.R.; Gao, T.; Zhang, W.L.; Lu, J. Soil nutrient characteristics of four forest types of Abies georgei var. smithii in southeastern Tibet. J. Cent. South Univ. For. Technol. 2021, 41, 108–119. [Google Scholar]
- Luo, L.; Dan, Z.; Zhu, L.P.; Zhang, H.B. Vertical Gradient Changes of Temperature and Precipitation in the Sygera Mountains, Southeastern Qinghai-Xizang Plateau. Plateau Meteorol. 2021, 40, 37–46. [Google Scholar]
- Kobierski, M.; Dlugosz, J.; Piotrowska-Dlugosz, A. Determination of spatial variability of some magnesium forms in phaeozem using geostatistical methods. J. Elem. 2014, 19, 165–176. [Google Scholar] [CrossRef]
- McGroddy, M.E.; Daufresne, T.; Hedin, L.O. Scaling of C:N:P stoichiometry in forests worldwide: Implications of terrestrial redfield-type ratios. Ecology 2004, 85, 2390–2401. [Google Scholar] [CrossRef]
- Reich, P.B.; Oleksyn, J. Global patterns of plant leaf N and P in relation to temperature and latitude. Proc. Natl. Acad. Sci. USA 2004, 101, 11001–11006. [Google Scholar] [CrossRef] [PubMed]
- Yuan, Y.N.; Li, Z.C.; Wang, B.; Zhang, Y.J.; Huang, S.Y. Ecological stoichiometry in leaves, branches and roots of Torreya grandis with different forest ages and its stoichiometric homoeostasis. J. Nanjing For. Univ. 2021, 45, 135–142. [Google Scholar]
- Zhao, Y.F.; Xu, F.L.; Wang, W.L.; Wang, L.L.; Wang, G.X.; Sun, P.Y.; Bai, X.F. Seasonal variation in carbon, nitrogen and phosphorus content and their stoichiometric characteristics in the rootstocks and leaves of larch in northern China. Chin. Bull. Bot. 2014, 49, 560–568. [Google Scholar]
- Wei, Y.W.; Zhang, T.; Liu, J.; Han, X.; Qin, S.J.; Du, T.Y.; Zhou, Y.B. Spatial Distribution and Stoichiometry Characteristics of Leaves and Soil Organic Carbon, Nitrogen, Phosphorus and Calcium of the Main Needle Tree Species-Pinus koraiensis. J. Shenyang Agric. Univ. 2021, 52, 419–427. [Google Scholar]
- Pan, L.H.; Wei, J.L.; Chen, Y.S.; Zeng, C.; Fan, H.Q. Cyperus malaccensis and the distribution characteristics and seasonal dynamics of organic carbon, total nitrogen and total phosphorus in sediments. Wetl. Sci. 2012, 10, 467–473. [Google Scholar]
- Zheng, S.X.; Shang Guan, Z.P. Spatial distribution patterns of plant leaf nutrient composition in the Loess Plateau region. Prog. Nat. Sci. 2006, 21, 965–973. [Google Scholar]
- Chen, F.J.; Li, B.; Zhang, J.; Chen, W.N.; Wu, D.; Zhang, M. Analysis of Chemical Metrological Characteristics of 13 Main Plant Leaves in the Northwestern Plateau of Sichuan. J. Nucl. Agric. Sci. 2017, 31, 1179–1184. [Google Scholar]
- Liu, W.D.; Su, J.R.; Li, S.F.; Liang, X.D.; Zhang, Z.J.; Huang, X.B. Stoichiometry study of C, N and P in plant and soil at different successional stages of monsoon evergreen broad-leaved forest in Pu’er, Yunnan Province. Acta Ecol. Sin. 2015, 39, 52–62. [Google Scholar]
- Han, W.; Fang, J.; Guo, D.; Zhang, Y. Leaf nitrogen and phosphorus stoichiometry across 753 terrestrial plant species in China. New Phytol. 2005, 168, 377–385. [Google Scholar] [CrossRef] [PubMed]
- Su, Y.H.; Song, X.Q.; Zhang, J.W.; Zhang, Z.H.; Tang, Z.H. Ecological Stoichiometric Characteristics of C, N and P and Their Relationship with Soil Factors from Different Organs of the Halophytic Chenopodiaceae Plants in Hulunbuir. Bull. Bot. Res. 2022, 42, 910–920. [Google Scholar]
- Stearns, S.C. The Evolution of Life Histories; Oxford University Press: Oxford, UK, 1992. [Google Scholar]
- Zhang, D.Y. Evolution of Plant Life History and Reproductive Ecology; Science Press: Beijing, China, 2004. [Google Scholar]
- Shucun, S.; Lingzhi, C. Leaf nutrient dynamics and resorption efficiency of Quercus liaotungensis in the Dongling Mountain region. Acta Phytoecol. Sin. 2001, 25, 76–82. [Google Scholar]
- Li, Z.; Han, L.; Liu, Y.H.; An, S.Q.; Leng, X. C, N and P stoichiometric characteristics in leaves of Suaeda salsa during different growth phase in coastal wetlands of China. Chin. J. Plant Ecol. 2012, 36, 1054–1061. [Google Scholar] [CrossRef]
- Yang, X.Y.; Han, Y.Z.; Zhang, Y.X.; Wu, X.G. Effects of cutting disturbance on spatial heterogeneity of fine root biomass of Larix principis-rupprechtii. Acta Ecol. Sin. 2012, 32, 64–73. [Google Scholar] [CrossRef]
- Xie, H.C.; Ge, Y.; Sui, J.W.; Li, J.H.; Yang, M.S. The variation of nutrient con tents in needles of prince rupprecht’s larch plantation. J. For. Environ. 2005, 2, 163–166. [Google Scholar]
- Zheng, X.R.; Song, Y.L.; Wang, K.Q.; Zhang, Y.J.; Pan, Y. Response of nutrient release and ecological stoichiometry of litter to simulated nitrogen deposition in evergreen broad-leaved forest in central Yunnan. Chin. J. Appl. Ecol. 2021, 32, 23–30. [Google Scholar]
- Shipley, B.; Lechowicz, M.J.; Wright, I.; Reich, P.B. Fundamental trade-offs generating the worldwide leaf economics spectrum. Ecology 2006, 87, 535–541. [Google Scholar] [CrossRef]
- Niu, D.C.; Li, Q.; Jiang, S.G.; Chang, P.J.; Fu, H. Seasonal variations of leaf C:N:P stoichiometry of six shrubs in desert of China’s Alxa Plateau. Chin. J. Plant Ecol. 2013, 37, 317–325. [Google Scholar] [CrossRef]
- Cai, H.Y.; Li, Y.Q. Seasonal dynamics of leaf C, N and P stoichiometry in plants of typical steppe in Nei Mongol China. Chin. J. Plant Ecol. 2020, 44, 1138–1153. [Google Scholar]
- Koerselman, W.; Meuleman, A.F.M. The vegetation N: P ratio: A new tool to detect the nature of nutrient limitation. J. Appl. Ecol. 1996, 33, 1441–1450. [Google Scholar] [CrossRef]
- Zhang, J.; Li, X.; Chen, M.; Huang, L.; Li, M.; Zhang, X.; Cao, Y. Response of plant, litter, and soil C:N:P stoichiometry to growth stages in Quercus secondary forests on the Loess Plateau, China. J. For. Res. 2022, 40, 8570–8581. [Google Scholar] [CrossRef]
- Fan, Q.C.; Xie, W.X.; Wang, Z.Q.; Li, P. Seasonal Variations in C, N and P Stoichiometry of Spartina alterniflora. Environ. Sci. Technol. 2019, 42, 12–19. [Google Scholar]
- Tian, D.; Yan, Z.B.; Fang, J.Y. Review on characteristics and main hypotheses of plant ecological stoichiometry. Chin. J. Plant Ecol. 2021, 45, 682–713. [Google Scholar] [CrossRef]
- Olde Venterink, H.; Wassen, M.J.; Verkroost, A.W.M.; Ruiter, P.C. Species richness–productivity patterns differ between N-, P-, and K-limited wetlands. Ecology 2003, 84, 2191–2199. [Google Scholar] [CrossRef]
- Xing, S.; Cheng, X.; Kang, F.; Wang, J.; Yan, J.; Han, H. The patterns of N/P/K stoichiometry in the Quercus wutaishanica community among different life forms and organs and their responses to environmental factors in northern China. Ecol. Indic. 2022, 137, 108783. [Google Scholar] [CrossRef]
- Lin, T. The Ecophysiological Response of Leaves and Branches of Pinus Massoniana during 3-yr Continuous Rain Exclusion in a Red Soil Erosionarea; Fujian Normal University: Fuzhou, China, 2019. [Google Scholar]
- Randrianalijaona, J.A.; Ramanoelina PA, R.; Rasoarahona, J.R.E.; Gaydou, E.M. Seasonal and chemotype influences on the chemical composition of Lantana camara L.: Essential oils from Madagascar. Anal. Chim. Acta 2005, 545, 46–52. [Google Scholar] [CrossRef]
- Deng, C.H.; Wu, L.L.; Zhang, Y.T.; Qiao, H.; Liu, X.Y.; Hu, Y.J.; Chen, X.B.; Su, Y.R.; He, X.Y. The stoichiometry characteristics of soil and plant carbon. nitrogen, and phosphorus in different stand ages in Camellia oleifera plantation. Acta Ecol. Sin. 2019, 39, 9152–9161. [Google Scholar]
Disclaimer/Publisher’s Note: The statements, opinions and data contained in all publications are solely those of the individual author(s) and contributor(s) and not of MDPI and/or the editor(s). MDPI and/or the editor(s) disclaim responsibility for any injury to people or property resulting from any ideas, methods, instructions or products referred to in the content. |
© 2023 by the authors. Licensee MDPI, Basel, Switzerland. This article is an open access article distributed under the terms and conditions of the Creative Commons Attribution (CC BY) license (https://creativecommons.org/licenses/by/4.0/).





