A Seismic Fragility Assessment Method for Urban Function Spatial Units: A Case Study of Xuzhou City
Abstract
1. Introduction
2. Literature Review
3. Methodology and Data
3.1. Study Area
3.2. Framework and Methodology
3.3. Data
4. Results
4.1. Corresponding Function and Building Structure
4.1.1. Correspondence of the Functional Structure of Spatial Units
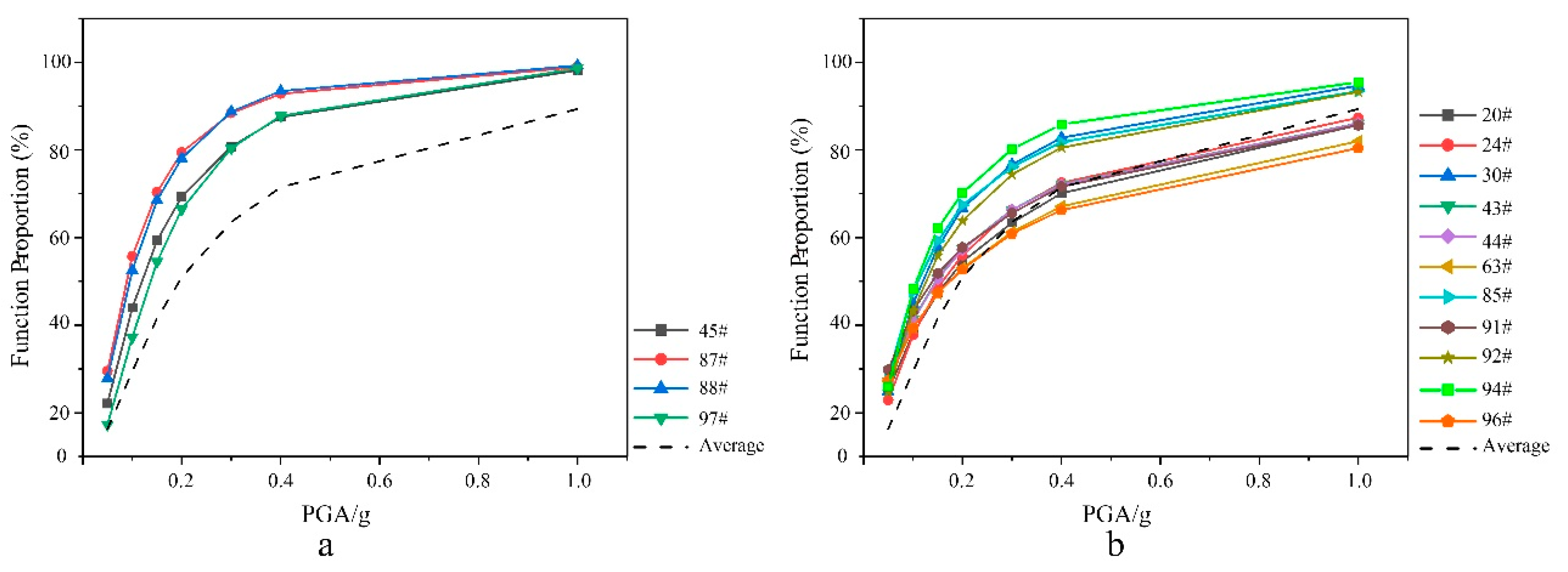
4.1.2. Unit Functional Proportion
4.2. Corresponding Function and Building Structure
4.3. Assessment of Functional Loss
5. Conclusions and Recommendations
5.1. Conclusions
- (1)
- The fragility parameters of urban functional spatial units depend on the different construction standards and functional proportions adopted by the spatial units. Its fragility reflects an averaged macroscopic expression based on structural fragility. Research shows that, by using different spaces, the construction age ratio and function ratio of the units are feasible. Spatial unit fragility provides convenience for urban planning to judge loss at the spatial level without going back to individual buildings.
- (2)
- Regarding function spatial units in the study area after fragility assessments, fragility curves of existing structures were compared with China; the results showed that, compared with the empirical method, the fragility of spatial units was higher than the experience. As a result, most of limit states changed within 1~2 intensity. In addition, it had generally high fragility in the standard 2001. It shows that the fragility of spatial units is within the range of existing research results.
- (3)
- The Monte Carlo method was used to calculate the loss proportion of 90 functional spatial units in the study area. It was found that the loss proportion calculated by the historical experience method and spatial units in three complete communities in the study area were basically the same. There was a 1.5–2.0 times difference in the average value of functional spatial unit losses at the rare earthquake level. Under earthquake protection, the loss ratio of Wangling subdistrict was basically the same, while the average loss ratios of Huanglou subdistrict and Pengcheng subdistrict were slightly higher than the actual evaluation results. Under the earthquake level, the earthquake damage ratios of Huanglou subdistrict and Pengcheng subdistrict were largely similar, while the average unit loss of Wangling subdistrict was less than the actual evaluation result.
5.2. Recommendations
Supplementary Materials
Author Contributions
Funding
Institutional Review Board Statement
Informed Consent Statement
Data Availability Statement
Acknowledgments
Conflicts of Interest
References
- Wallemacq, P.; UNISDR; CRED. Economic Losses, Poverty and Disasters 1998–2017; UNISDR: Geneva, Switzerland; CRED: Brussels, Belgium, 2018. [Google Scholar]
- Silva, V.; Akkar, S.; Baker, J.; Bazzurro, P.; Castro, J.M.; Crowley, H.; Dolsek, M.; Galasso, C.; Lagomarsino, S.; Monteiro, R. Current challenges and future trends in analytical fragility and vulnerability modeling. Earthq. Spectra 2019, 35, 1927–1952. [Google Scholar] [CrossRef]
- Moehle, J.; Deierlein, G.G. A framework methodology for performance-based earthquake engineering. In Proceedings of the 13th World Conference on Earthquake Engineering, Vancouver, BC, Canada, 1–6 August 2004. [Google Scholar]
- Martins, L.; Silva, V. Development of a fragility and vulnerability model for global seismic risk analyses. Bull. Earthq. Eng. 2021, 19, 6719–6745. [Google Scholar] [CrossRef]
- Biglari, M.; Formisano, A.J. Damage Probability Matrices and Empirical Fragility Curves From Damage Data on Masonry Buildings After Sarpol-e-zahab and Bam Earthquakes of Iran. Front. Built Environ. 2020, 6, 2. [Google Scholar] [CrossRef]
- D’Ayala, D.F.; Paganoni, S. Assessment and analysis of damage in L’Aquila historic city centre after 6th April 2009. Bull. Earthq. Eng. 2011, 9, 81–104. [Google Scholar] [CrossRef]
- Barbat, A.H.; Pujades, L.G.; Lantada, N.J. Seismic damage evaluation in urban areas using the capacity spectrum method: Application to Barcelona. Soil Dyn. Earthq. Eng. 2008, 28, 851–865. [Google Scholar] [CrossRef]
- Sandoli, A.; Calderoni, B.; Lignola, G.P.; Prota, A. Seismic vulnerability assessment of minor Italian urban centres: Development of urban fragility curves. Bull. Earthq. Eng. 2022, 20, 5017–5046. [Google Scholar] [CrossRef]
- Vicente, R.; Parodi, S.; Lagomarsino, S.; Varum, H.; Silva, J. Seismic vulnerability and risk assessment: Case study of the historic city centre of Coimbra, Portugal. Bull. Earthq. Eng. 2011, 9, 1067–1096. [Google Scholar] [CrossRef]
- Wiebe, D.M.; Cox, D.T. Application of fragility curves to estimate building damage and economic loss at a community scale: A case study of Seaside, Oregon. Nat. Hazards 2014, 71, 2043–2061. [Google Scholar] [CrossRef]
- Whitman, R.V. Damage Probability Matrices for Prototype Buildings; Seismic Design Decision Analysis, Report No. 8; Structures Publication: Washington, DC, USA, 1973. [Google Scholar]
- Faccioli, E.; Pessina, V.; Calvi, G.; Borzi, B. A study on damage scenarios for residential buildings in Catania city. J. Seismol. 1999, 3, 327–343. [Google Scholar] [CrossRef]
- Orsini, G. A model for buildings’ vulnerability assessment using the parameterless scale of seismic intensity (PSI). Earthq. Spectra 1999, 15, 463–483. [Google Scholar] [CrossRef]
- Spence, R.; Coburn, A.; Pomonis, A.; Sakai, S. Correlation of ground motion with building damage: The definition of a new damage-based seismic intensity scale. In Proceedings of the Tenth World Conference on Earthquake Engineering, Madrid, Spain, 19–24 July 1992; pp. 551–556. [Google Scholar]
- Brazee, R.J. Reevaluation of Modified Mercalli Intensity Scale for earthquakes using distance as determinant. Bull. Seismol. Soc. Am. 1979, 69, 911–924. [Google Scholar] [CrossRef]
- Rota, M.; Penna, A.; Strobbia, C. Typological fragility curves from Italian earthquake damage data. In Proceedings of the 1st European Conference on Earthquake Engineering and Seismology, Geneva, Switzerland, 3–8 September 2006. [Google Scholar]
- Fotopoulou, S.; Karafagka, S.; Pitilakis, K. Vulnerability assessment of low-code reinforced concrete frame buildings subjected to liquefaction-induced differential displacements. Soil Dyn. Earthq. Eng. 2018, 110, 173–184. [Google Scholar] [CrossRef]
- Zuccaro, G.; Perelli, F.L.; De Gregorio, D.; Cacace, F. Empirical vulnerability curves for Italian mansory buildings: Evolution of vulnerability model from the DPM to curves as a function of accelertion. Bull. Earthq. Eng. 2021, 19, 3077–3097. [Google Scholar] [CrossRef]
- Cheng, H.; Chen, Z.; Huang, Y. Quantitative physical model of vulnerability of buildings to urban flow slides in construction solid waste landfills: A case study of the 2015 Shenzhen flow slide. Nat. Hazards 2022, 112, 1567–1587. [Google Scholar] [CrossRef]
- Peduto, D.; Nicodemo, G.; Maccabiani, J.; Ferlisi, S. Multi-scale analysis of settlement-induced building damage using damage surveys and DInSAR data: A case study in The Netherlands. Eng. Geol. 2017, 218, 117–133. [Google Scholar] [CrossRef]
- Thapa, S.; Shrestha, A.; Lamichhane, S.; Adhikari, R.; Gautam, D. Catchment-scale flood hazard mapping and flood vulnerability analysis of residential buildings: The case of Khando River in eastern Nepal. J. Hydrol. Reg. Stud. 2020, 30, 100704. [Google Scholar] [CrossRef]
- Del Gaudio, C.; Ricci, P.; Verderame, G.; Manfredi, G. Development and urban-scale application of a simplified method for seismic fragility assessment of RC buildings. Eng. Struct. 2015, 91, 40–57. [Google Scholar] [CrossRef]
- Karimzadeh, S.; Askan, A.; Erberik, M.A.; Yakut, A. Seismic damage assessment based on regional synthetic ground motion dataset: A case study for Erzincan, Turkey. Nat. Hazards 2018, 92, 1371–1397. [Google Scholar] [CrossRef]
- Yuan, X.; Zhong, J.; Zhu, Y.; Chen, G.; Dagli, C. Post-earthquake regional structural damage evaluation based on artificial neural networks considering variant structural properties. Structures 2023, 52, 971–982. [Google Scholar] [CrossRef]
- Du, A.; Wang, X.; Xie, Y.; Dong, Y. Regional seismic risk and resilience assessment: Methodological development, applicability, and future research needs—An earthquake engineering perspective. Reliab. Eng. Syst. Saf. 2023, 233, 109104. [Google Scholar] [CrossRef]
- Biglari, M.; Formisano, A. Urban seismic scenario-based risk analysis using empirical fragility curves for Kerend-e-gharb after Mw 7.3, 2017 Iran earthquake. Bull. Earthq. Eng. 2022, 20, 6487–6503. [Google Scholar] [CrossRef]
- Ruggieri, S.; Calò, M.; Cardellicchio, A.; Uva, G. Analytical-mechanical based framework for seismic overall fragility analysis of existing RC buildings in town compartments. Bull. Earthq. Eng. 2022, 20, 8179–8216. [Google Scholar] [CrossRef]
- Li, Y.; Liu, C.; Li, Y. Identification of Urban Functional Areas and Their Mixing Degree Using Point of Interest Analyses. Land 2022, 11, 996. [Google Scholar] [CrossRef]
- Lin, S.B.; Xie, L.L.; Gong, M.S.; Li, M. Methodology for estimating seismic capacity of city building. J. Nat. Disasters 2011, 20, 31–37. [Google Scholar]
- Okoli, C.; Pawlowski, S.D. The Delphi method as a research tool: An example, design considerations and applications. Inf. Manag. 2004, 42, 15–29. [Google Scholar] [CrossRef]
- Yin, Z. Classification of Structure Vulnerability and Evaluation of Earthquake Damage From Future Earthquakes. Earthq. Res. China 1996, 12, 49–55. [Google Scholar]
- Xie, L.; Ma, Y.; Zhai, C. Performance-Based Seismic Design and Design Ground Motion; China Science Publishing & Media Ltd.: Beijing, China, 2009. [Google Scholar]
- Yang, W. Study on the Seismic Fragility of RC Frame Structures; Xi’an University of Architecture & Technology: Xi’an, China, 2016. [Google Scholar]
- Lingxin, Z.; Hao, C.; Baijie, Z.; Junkai, S.; Ning, L. Comparison of vulnerability of hybrid masonry-concrete structures designed according to different seismic design code. Earthq. Eng. Eng. Dyn. 2021, 1–8. [Google Scholar] [CrossRef]
- GB50011-2001; Code for Seismic Design of Buildings (English Version). China Architecture & Building Press: Beijing, China, 2001.
- Cimellaro, G.P.; Reinhorn, A.M.; Bruneau, M.J.E. Framework for analytical quantification of disaster resilience. Eng. Struct. 2010, 32, 3639–3649. [Google Scholar] [CrossRef]
- Dong, Y.; Frangopol, D.M. Performance-based seismic assessment of conventional and base-isolated steel buildings including environmental impact and resilience. Earthq. Eng. Struct. Dyn. 2016, 45, 739–756. [Google Scholar] [CrossRef]
- Jiang, K. Some Studies on Seismic Damage for Urban Building; Beijing University of Technology: Beijing, China, 2008. [Google Scholar]
- GB 50413-2007; Standard for Urban Planning on Earthquake Resistance and Hazardous Prevention, MHURD. China Architecture & Building Press: Beijing, China, 2007; pp. 14–15.









| Countries | Taxonomy | Description |
|---|---|---|
| USA | ATC-13 | 78 structures, 40 of buildings. |
| USA | HAZUS | 36 structures, 3 height ranges. |
| EU | EMS-98 | 15 types, including 7 of masonry, 6 of RC |
| EU | RISK-UE | 7cities, 23 types. |
| Group | Description |
|---|---|
| –1978 | Before the Tangshan earthquake, the buildings were basically in the non-fortification stage |
| 1978~1989 | The buildings are fortified in accordance with the Code1978 |
| 1989–2001 | The buildings are fortified in accordance with the Code 1989 |
| 2001– | The buildings are fortified in accordance with the Code 2001 |
| Fortification Intensity | 2001– | 1989–2001 | 1978–1989 | –1978 |
|---|---|---|---|---|
| VII | High-Code | Moderate-Code | Low-Code | Pre-Code |
| Data | Description | Source |
|---|---|---|
| Boundary data | Includes the boundary of the research area, communities, etc. | |
| Spatial units | An unit for assessing fragility. | Draw by author |
| POI | Includes 19,291 POI of the research area with name, type, address, latitude and longitude. | Gaode Map API |
| and | Thirty-six structures types, four seismic design levels (high-code, moderate-code, low-code, pre-code) | HAZUS |
| Fun-Level 1 | Fun-Level 2 | Fun-Level 3 | HAZUS Fragility |
|---|---|---|---|
| Public service(A) | Sports | Fitness sites (FS) | PC1 |
| Sports buildings (SB) | S1 | ||
| Toilet | Public Toilet (TO) | RM2 | |
| Education and Research | Primary and Secondary (PS) | C1 | |
| Training institution (TI) | S5 | ||
| Research institution (RI) | C2 | ||
| Art museum (AM) | C1 | ||
| University (UN) | C1 | ||
| Cultural facility | Exhibition hall (EH) | S4 | |
| Museum (MU) | C1 | ||
| Library (LI) | C1 | ||
| Training (TR) | C1 | ||
| Palace of Culture (PC) | S1 | ||
| Cultural relics and historic sites | Cultural relics and historic sites (CR) | W1 | |
| Administration | Government (GO) | C1 | |
| Social organization (SO) | S4 | ||
| Commercial service(B) | Commercial service | Beauty (BE) | C3 |
| Convenience store (CS) | C3 | ||
| Shopping mall (SM) | PC2 | ||
| Entertainment venues (EV) | S1 | ||
| Bazaar (BA) | PC1 | ||
| Movie theater (MT) | S1 | ||
| Service hall (SH) | C3 | ||
| Hotel (HO) | C2 | ||
| Catering (CA) | S1 | ||
| Business facility | Incorporated business (IB) | C1 | |
| Office building (OB) | C1 | ||
| Finance and insurance (FI) | C1 | ||
| Retail provision | Automobile service (AS) | C2 | |
| Residential(R) | Residential support | Kindergarten (KI) | C1 |
| Community | Community (CO) | C1 |
| ID | μ(S) | μ(M) | μ(E) | μ(C) | β(S) | β(M) | β(E) | β(C) |
|---|---|---|---|---|---|---|---|---|
| 1 | 0.09 | 0.19 | 0.53 | 1.18 | 0.63 | 0.62 | 0.64 | 0.66 |
| 2 | 0.09 | 0.19 | 0.52 | 1.18 | 0.64 | 0.64 | 0.61 | 0.67 |
| 3 | 0.08 | 0.15 | 0.4 | 0.87 | 0.64 | 0.66 | 0.66 | 0.65 |
| 4 | 0.08 | 0.15 | 0.41 | 0.91 | 0.65 | 0.64 | 0.65 | 0.63 |
| … | … | … | … | … | … | … | … | … |
| 78 | 0.11 | 0.23 | 0.63 | 1.49 | 0.64 | 0.64 | 0.63 | 0.64 |
| 79 | 0.11 | 0.23 | 0.63 | 1.42 | 0.65 | 0.64 | 0.64 | 0.63 |
| 80 | 0.1 | 0.2 | 0.55 | 1.26 | 0.65 | 0.65 | 0.65 | 0.64 |
| … | … | … | … | … | … | … | … | … |
| 96 | 0.09 | 0.18 | 0.51 | 1.11 | 1.33 | 1.63 | 1.8 | 1.96 |
| 97 | 0.08 | 0.13 | 0.25 | 0.41 | 0.64 | 0.65 | 0.64 | 0.66 |
| Source | Applicability of Structure | Description |
|---|---|---|
| Yin, 1996 [31] | Steel, RC | Empirical method |
| Xie, 2008 [32] | General | Applicable to new buildings |
| Yang, 2016 [33] | RC | IDA |
| Zhang, 2021 [34] | Masonry | IDA, Code for seismic design of buildings (GB50011-2001) [35] |
| Damage State (DSj) | Proportion (S) |
|---|---|
| No impact (j = 1) | (0, 0.05, 0.1) |
| Mild impact (j = 2) | (0.1, 0.2, 0.3) |
| Moderate impact (j = 3) | (0.3, 0.5, 0.7) |
| Extremely impact (j = 4) | (0.7, 0.8, 0.9) |
| Completely impact (j = 5) | (0.9, 0.95, 1.0) |
| Comunity | Spatial Units | Frequent Earthquake | Fortification Earthquakes | Rare Earthquake |
|---|---|---|---|---|
| Huanglou | 66~68# | 0.1551 | 0.3080 | 0.5406 |
| Jiang [38] | 0.1531 | 0.1882 | 0.2819 | |
| Wangling | 28#/29#, 56~58# | 0.1272 | 0.2416 | 0.4624 |
| Jiang [38] | 0.1840 | 0.2249 | 0.3220 | |
| Pengcheng | 61~64# | 0.1688 | 0.2923 | 0.4972 |
| Jiang [38] | 0.1762 | 0.2158 | 0.3140 |
Disclaimer/Publisher’s Note: The statements, opinions and data contained in all publications are solely those of the individual author(s) and contributor(s) and not of MDPI and/or the editor(s). MDPI and/or the editor(s) disclaim responsibility for any injury to people or property resulting from any ideas, methods, instructions or products referred to in the content. |
© 2023 by the authors. Licensee MDPI, Basel, Switzerland. This article is an open access article distributed under the terms and conditions of the Creative Commons Attribution (CC BY) license (https://creativecommons.org/licenses/by/4.0/).
Share and Cite
Fei, Z.; Guo, X.; Odongo, J.O.; Ma, D.; Ren, Y.; Wu, J.; Wang, W.; Zhu, J. A Seismic Fragility Assessment Method for Urban Function Spatial Units: A Case Study of Xuzhou City. Sustainability 2023, 15, 8022. https://doi.org/10.3390/su15108022
Fei Z, Guo X, Odongo JO, Ma D, Ren Y, Wu J, Wang W, Zhu J. A Seismic Fragility Assessment Method for Urban Function Spatial Units: A Case Study of Xuzhou City. Sustainability. 2023; 15(10):8022. https://doi.org/10.3390/su15108022
Chicago/Turabian StyleFei, Zhitao, Xiaodong Guo, Janes Ouma Odongo, Donghui Ma, Yuanyuan Ren, Jiajia Wu, Wei Wang, and Junyi Zhu. 2023. "A Seismic Fragility Assessment Method for Urban Function Spatial Units: A Case Study of Xuzhou City" Sustainability 15, no. 10: 8022. https://doi.org/10.3390/su15108022
APA StyleFei, Z., Guo, X., Odongo, J. O., Ma, D., Ren, Y., Wu, J., Wang, W., & Zhu, J. (2023). A Seismic Fragility Assessment Method for Urban Function Spatial Units: A Case Study of Xuzhou City. Sustainability, 15(10), 8022. https://doi.org/10.3390/su15108022

