Relationship of Meteorological Data with Heat Stress Effect on Dairy Cows of Smallholder Farmers
Abstract
1. Introduction
2. Materials and Methods
2.1. Study Area and Selection of Experimental Animals
2.2. Calculation of THI from Meteorological Data
2.3. Sampling Procedure and Chemical Analysis
2.4. Statistical Analysis
3. Results
3.1. Profile of Selected Animals
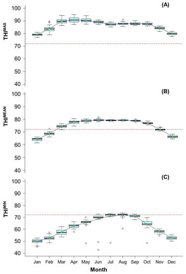
3.2. Temporal and Periodic Variations of THI
3.3. Relationship of THI with Milk Production and Rectal Temperature
3.4. Relationship of THI with Milk Composition
3.5. Multiple Regression Analysis among Milk Production, Rectal Temperature and THI
4. Discussion
5. Conclusions
Author Contributions
Funding
Institutional Review Board Statement
Informed Consent Statement
Data Availability Statement
Conflicts of Interest
References
- BBS. Statistical Year Book Bangladesh; Bangladesh Bureau of Statistics (BBS), Statistics Division, Ministry of Planning, Government of the People Republic of Bangladesh: Dhaka, Bangladesh, 2021; ISBN 9789844750470. [Google Scholar]
- Datta, A.K.; Haider, M.Z.; Ghosh, S.K. Economic Analysis of Dairy Farming in Bangladesh. Trop. Anim. Health Prod. 2019, 51, 55–64. [Google Scholar] [CrossRef] [PubMed]
- Uddin, M.M.; Sultana, M.N.; Ndambi, O.A.; Alqaisi, O.; Hemme, T.; Peters, K.J. Milk Production Trends and Dairy Development in Bangladesh. Outlook Agric. 2011, 40, 263–271. [Google Scholar] [CrossRef]
- Das, R.; Sailo, L.; Verma, N.; Bharti, P.; Saikia, J.; Imtiwati; Kumar, R. Impact of Heat Stress on Health and Performance of Dairy Animals: A Review. Vet. World 2016, 9, 260–268. [Google Scholar] [CrossRef] [PubMed]
- Pragna, P.; Archana, P.R.; Aleena, J.; Sejian, V.; Krishnan, G.; Bagath, M.; Manimaran, A.; Beena, V.; Kurien, E.K.; Varma, G.; et al. Heat Stress and Dairy Cow: Impact on Both Milk Yield and Composition. Int. J. Dairy Sci. 2017, 12, 1–11. [Google Scholar] [CrossRef]
- St-Pierre, N.R.; Cobanov, B.; Schnitkey, G. Economic Losses from Heat Stress by US Livestock Industries1. J. Dairy Sci. 2003, 86, E52–E77. [Google Scholar] [CrossRef]
- Atrian, P.; Shahryar, H.A. Heat Stress in Dairy Cows (A Review). Res. Zool. 2012, 2, 31–37. [Google Scholar] [CrossRef]
- Ravagnolo, O.; Misztal, I.; Hoogenboom, G. Genetic Component of Heat Stress in Dairy Cattle, Development of Heat Index Function. J. Dairy Sci. 2000, 83, 2120–2125. [Google Scholar] [CrossRef] [PubMed]
- Bohmanova, J.; Misztal, I.; Cole, J.B. Temperature-Humidity Indices as Indicators of Milk Production Losses Due to Heat Stress. J. Dairy Sci. 2007, 90, 1947–1956. [Google Scholar] [CrossRef]
- de Campos, I.L.; Chud, T.C.S.; Oliveira, H.R.; Baes, C.F.; Cánovas, A.; Schenkel, F.S. Using Publicly Available Weather Station Data to Investigate the Effects of Heat Stress on Milk Production Traits in Canadian Holstein Cattle. Can. J. Anim. Sci. 2022, 102, 368–381. [Google Scholar] [CrossRef]
- Carabaño, M.J.; Logar, B.; Bormann, J.; Minet, J.; Vanrobays, M.L.; Díaz, C.; Tychon, B.; Gengler, N.; Hammami, H. Modeling Heat Stress under Different Environmental Conditions. J. Dairy Sci. 2016, 99, 3798–3814. [Google Scholar] [CrossRef] [PubMed]
- Yousef, M.K. Stress Physiology: Definition and Terminology; CRC Press: Boca Raton, FL, USA, 1985. [Google Scholar]
- Aggarwala, A.C.; Sharma, R.M. A Laboratory Manual of Milk Inspection; Asia Publishing House: London, UK, 1961. [Google Scholar]
- AOAC. Official Methods of Analysis of the Association of Official’s Analytical Chemist, 17th ed.; Association of Official Analytical Chemist: Arlington, VA, USA, 2003. [Google Scholar]
- Armstrong, D.V. Heat Stress Interaction with Shade and Cooling. J. Dairy Sci. 1994, 77, 2044–2050. [Google Scholar] [CrossRef]
- Dikmen, S.; Hansen, P.J. Is the Temperature-Humidity Index the Best Indicator of Heat Stress in Lactating Dairy Cows in a Subtropical Environment? J. Dairy Sci. 2009, 92, 109–116. [Google Scholar] [CrossRef] [PubMed]
- Al Reyad, M.; Sarker, M.A.H.; Uddin, M.E.; Habib, R.; Rashid, M.H.U. Effect of Heat Stress on Milk Production and Its Composition of Holstein Friesian Crossbred Dairy Cows. Asian J. Med. Biol. Res. 2016, 2, 190–195. [Google Scholar] [CrossRef]
- Chanda, T.; Debnath, G.; Khan, K.; Rahman, M.; Chanda, G. Impact of Heat Stress on Milk Yield and Composition in Early Lactation of Holstein Friesian Crossbred Cattle. Bangladesh J. Anim. Sci. 2018, 46, 192–197. [Google Scholar] [CrossRef]
- Wang, T.; Zhong, R.; Zhou, D. Temporal–Spatial Distribution of Risky Sites for Feeding Cattle in China Based on Temperature/Humidity Index. Agriculture 2020, 10, 571. [Google Scholar] [CrossRef]
- Bouraoui, R.; Lahmar, M.; Majdoub, A.; Belyea, R. The Relationship of Temperature-Humidity Index with Milk Production of Dairy Cows in a Mediterranean Climate. Anim. Res. 2002, 51, 479–491. [Google Scholar] [CrossRef]
- Spiers, D.E.; Spain, J.N.; Sampson, J.D.; Rhoads, R.P. Use of Physiological Parameters to Predict Milk Yield and Feed Intake in Heat-Stressed Dairy Cows. J. Therm. Biol. 2004, 29, 759–764. [Google Scholar] [CrossRef]
- West, J.W. Effects of Heat-Stress on Production in Dairy Cattle. J. Dairy Sci. 2003, 86, 2131–2144. [Google Scholar] [CrossRef]
- Brown-Brandl, T.M.; Nienaber, J.A.; Eigenberg, R.A.; Hahn, G.L.; Freetly, H. Thermoregulatory Responses of Feeder Cattle. J. Therm. Biol. 2003, 28, 149–157. [Google Scholar] [CrossRef]
- Rhoads, M.L.; Rhoads, R.P.; VanBaale, M.J.; Collier, R.J.; Sanders, S.R.; Weber, W.J.; Crooker, B.A.; Baumgard, L.H. Effects of Heat Stress and Plane of Nutrition on Lactating Holstein Cows: I. Production, Metabolism, and Aspects of Circulating Somatotropin. J. Dairy Sci. 2009, 92, 1986–1997. [Google Scholar] [CrossRef]
- Sacido, M.B.; Loholaberry, F.; Sanchez, N.; Intruvini, J. Effect of Caloric Stress on Milk Production and Animal. In Proceedings of the International Grassland Congress Proceedings, Sao Pedro, Brazil, 11–21 February 2001. [Google Scholar]
- Segnalini, M.; Nardone, A.; Bernabucci, U.; Vitali, A.; Ronchi, B.; Lacetera, N. Dynamics of the Temperature-Humidity Index in the Mediterranean Basin. Int. J. Biometeorol. 2011, 55, 253–263. [Google Scholar] [CrossRef] [PubMed]
- Zheng, L.; Chenh, M.; Zhi-Cheng, G. Effects of Heat Stress on Milk Performance and Fatty Acids in Milk Fat of Holstein Dairy Cows. China Dairy Ind. 2009, 37, 17–19. [Google Scholar]
- Kadzere, C.T.; Murphy, M.R.; Silanikove, N.; Maltz, E. Heat Stress in Lactating Dairy Cows: A Review. Livest. Prod. Sci. 2002, 77, 59–91. [Google Scholar] [CrossRef]
- Najar, T.; Rejeb, M.; Rad, M.B.M. Modelling of the Effects of Heat Stress on Some Feeding Behaviour and Physiological Parameters in Cows. In Modelling Nutrient Digestion and Utilisation in Farm Animals; Wageningen Academic Publishers: Wageningen, The Netherlands, 2011; pp. 130–136. [Google Scholar]
- Wheelock, J.B.; Rhoads, R.P.; VanBaale, M.J.; Sanders, S.R.; Baumgard, L.H. Effects of Heat Stress on Energetic Metabolism in Lactating Holstein Cows. J. Dairy Sci. 2010, 93, 644–655. [Google Scholar] [CrossRef] [PubMed]
- Younes, R.B.; Ayadi, M.; Najar, T.; Caccamo, M.; Schadt, I.; M’Rad, M.B. Hormonal (Thyroxin, Cortisol) and Immunological (Leucocytes) Responses to Cistern Size and Heat Stress in Tunisia. J. Life Sci. 2011, 11, 332–338. [Google Scholar]
- West, J.W. Nutritional Strategies for Managing the Heat-Stressed Dairy Cow. J. Anim. Sci. 1999, 77 (Suppl 2), 21–35. [Google Scholar] [CrossRef]
- Xue, B.; Wang, Z.S.; Li, S.L.; Wang, L.Z.; Wang, Z.X. Temperature-Humidity Index on Performance of Cows. China Anim. Husb. Vet. Med. 2010, 37, 153–157. [Google Scholar]
- Xu, W.; Zhao, Y.; Cao, L.; Zhou, J.; Guo, G.; Dong, G.; Wang, Y. Study on the Effect of Dairy Cows’ Rectal Temperature on Milk Yield in Summer in Beijing Area. Acta Vet. Zootech. Sin. 2016, 47, 745–751. [Google Scholar] [CrossRef]
- Liu, J.; Li, L.; Chen, X.; Lu, Y.; Wang, D. Effects of Heat Stress on Body Temperature, Milk Production, and Reproduction in Dairy Cows: A Novel Idea for Monitoring and Evaluation of Heat Stress—A Review. Asian-Australas. J. Anim. Sci. 2019, 32, 1332. [Google Scholar] [CrossRef]
- Rodriquez, L.A.; Mekonnen, G.; Wilcox, C.J.; Martin, F.G.; Krienke, W.A. Effects of Relative Humidity, Maximum and Minimum Temperature, Pregnancy, and Stage of Lactation on Milk Composition and Yield. J. Dairy Sci. 1985, 68, 973–978. [Google Scholar] [CrossRef]
- Knapp, D.M.; Grummer, R.R. Response of Lactating Dairy Cows to Fat Supplementation during Heat Stress. J. Dairy Sci. 1991, 74, 2573–2579. [Google Scholar] [CrossRef] [PubMed]
- Ozrenk, E.; Inci, S.S. The Effect of Seasonal Variation on the Composition of Cow Milk in Van Province. Pak. J. Nutr. 2008, 7, 161–164. [Google Scholar] [CrossRef]
- Kamiya, M.; Iwama, Y.; Tanaka, M.; Shioya, S. Effects of High Ambient Temperature and Restricted Feed Intake on Nitrogen Utilization for Milk Production in Lactating Holstein Cows. Anim. Sci. J. 2005, 76, 217–223. [Google Scholar] [CrossRef]
- Mariani, P.; Zanzucchi, G.; Blanco, P.; Masoni, M. Variazioni stagionali del contenuto in fosforo del latte di massa di singoli allevamenti. Ind. Latte 1993, 29, 39–53. [Google Scholar]
- Summer, A.; Lora, I.; Formaggioni, P.; Gottardo, F. Impact of Heat Stress on Milk and Meat Production. Anim. Front. 2019, 9, 39–46. [Google Scholar] [CrossRef] [PubMed]






| Parameters | Observations (n = 100) | |
|---|---|---|
| Parity | 2nd | 43% |
| 3rd | 57% | |
| Milk production | 7.6 ± 0.3 L | |
| Lactation stage | 53.9 ± 2.3 days | |
| Genotype | 1/2 HF 1/2 Local | 45% |
| 3/4 Jersey 1/4 Local | 20% | |
| 3/4 HF 1/4 Local | 15% | |
| 1/2 HF 1/2 Sindhi | 10% | |
| 3/4 Shahiwal 1/4 Local | 5% | |
| Unknown | 5% | |
Disclaimer/Publisher’s Note: The statements, opinions and data contained in all publications are solely those of the individual author(s) and contributor(s) and not of MDPI and/or the editor(s). MDPI and/or the editor(s) disclaim responsibility for any injury to people or property resulting from any ideas, methods, instructions or products referred to in the content. |
© 2022 by the authors. Licensee MDPI, Basel, Switzerland. This article is an open access article distributed under the terms and conditions of the Creative Commons Attribution (CC BY) license (https://creativecommons.org/licenses/by/4.0/).
Share and Cite
Hossain, M.D.; Salam, M.A.; Ahmed, S.; Habiba, M.U.; Akhtar, S.; Islam, M.M.; Hoque, S.A.M.; Selim, A.S.M.; Rahman, M.M. Relationship of Meteorological Data with Heat Stress Effect on Dairy Cows of Smallholder Farmers. Sustainability 2023, 15, 85. https://doi.org/10.3390/su15010085
Hossain MD, Salam MA, Ahmed S, Habiba MU, Akhtar S, Islam MM, Hoque SAM, Selim ASM, Rahman MM. Relationship of Meteorological Data with Heat Stress Effect on Dairy Cows of Smallholder Farmers. Sustainability. 2023; 15(1):85. https://doi.org/10.3390/su15010085
Chicago/Turabian StyleHossain, Md. Delowar, Md. Abdus Salam, Shabbir Ahmed, Mst. Umme Habiba, Shahrina Akhtar, Md. Mazharul Islam, S. A. Masudul Hoque, Abu Sadeque Md. Selim, and Md. Morshedur Rahman. 2023. "Relationship of Meteorological Data with Heat Stress Effect on Dairy Cows of Smallholder Farmers" Sustainability 15, no. 1: 85. https://doi.org/10.3390/su15010085
APA StyleHossain, M. D., Salam, M. A., Ahmed, S., Habiba, M. U., Akhtar, S., Islam, M. M., Hoque, S. A. M., Selim, A. S. M., & Rahman, M. M. (2023). Relationship of Meteorological Data with Heat Stress Effect on Dairy Cows of Smallholder Farmers. Sustainability, 15(1), 85. https://doi.org/10.3390/su15010085

