Terminal Node of Active Distribution Network Correlation Compactness Model and Application Based on Complex Network Topology Graph
Abstract
1. Introduction
2. Analysis of ADN Complex Network Topology
2.1. Basic Theory of Complex Networks
- (1)
- Small world characteristics
- (2)
- Scale-free characteristics
- (3)
- Superfamily characteristics
- (1)
- Methods based on graph segmentation, such as Kemighan-Lin algorithm [19], spectral bisection method and so on;
- (2)
- Based on hierarchical clustering methods, such as GN algorithms and Newman fast algorithms;
- (3)
2.2. ADN Complex Network Topology
- (1)
- Distributed power supply is the main difference between them;
- (2)
- Loop distribution network structure that is composed of a contact switch (⑧, ⑨);
- (3)
- Load area low-voltage transfer operation mode, which is the bi-directional current operation mode.
3. Modeling the Tightness of Node Correlation in ADN
3.1. Basic Theory of Node Tightness Analysis
- (1)
- Sensitivity analysis indicators
- (1)
- The voltage sensitivity is mainly a power sequence that characterizes the degree of voltage influence on load nodes from the perspective of power grid security. The random power supply will increase the voltage due to the output demand in ADN, which will cause the voltage flicker of the associated node and cause unnecessary production failures. This problem has become a major problem affecting the operation of the power grid in most small hydropower-intensive areas in China;
- (2)
- The power sensitivity is mainly based on the analysis of the reliability of the power grid, which characterizes the optimal power supply sequence of the load node. The load node with the highest sensitivity under power fluctuations of any power supply node has the highest possibility of relying on the power supply. Therefore, its reliability dependence is the highest because the efficiency matching between the two is the best;
- (3)
- The network loss sensitivity is mainly based on the analysis of the economics of the power grid, which characterizes the contribution of the power changes of each node to the network loss of the system. For the nodes with high sensitivity, the frequency fluctuation is not easy to reduce the loss of the power grid. Therefore, it is necessary to consider the stable operation of constant power as much as possible. For power supply nodes, it is necessary to consider power supply complementation or full consumption nearby to improve the economics of grid operation.
- (2)
- Static physical and statistical indicators
3.2. Node Tightness Model Solution
- (1)
- Modeling of Node Associated Security Factors Considering Voltage Sensitivity
- (2)
- Modeling Node-related Supply Factors Considering Power Sensitivity
- (3)
- Modeling of Node Correlation Economic Factors Based on Network Loss Sensitivity
4. Solving Examples
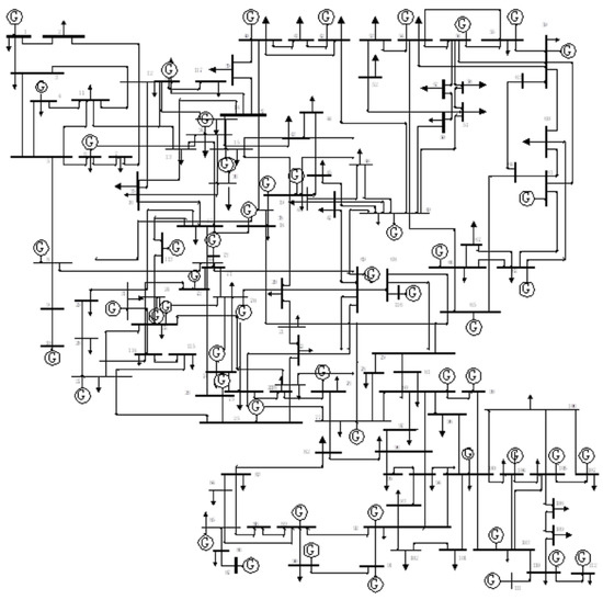
4.1. The Example Adopts the System Model
4.2. Analysis Results
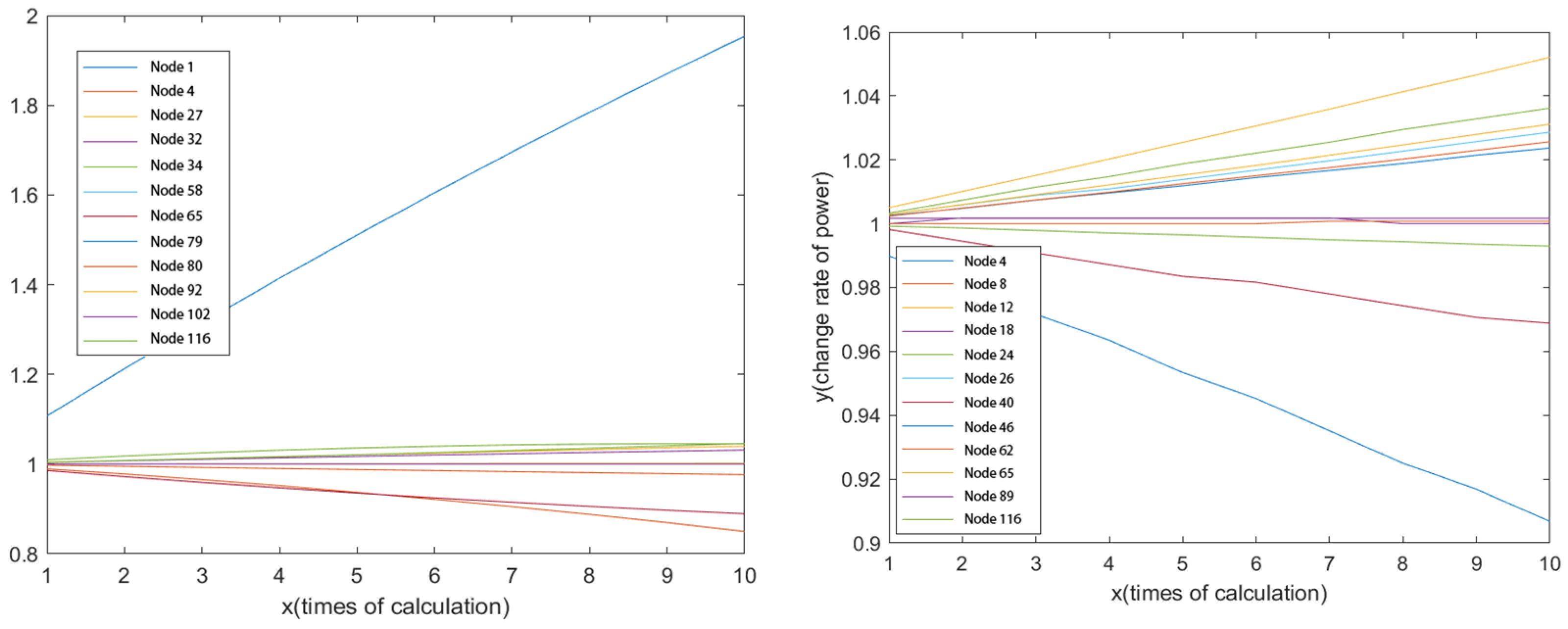
- (1)
- In the increment node sequence, there is an obvious change rate difference. The larger the slope of the node, the more the power generation capacity is dependent on node 1;
- (2)
- If there is a node with a rate of change of 0, it is obviously not located in the same power supply family with node 1, which may theoretically be physically non-topological, generating node or completely independent;
- (3)
- There is a slope change to negative node, non-terminal node;
- (4)
- The change of reactive power has little effect on other nodes.
- (1)
- Load node active power change, the most ideal state for the family generation node supply, rather than a single node;
- (2)
- The nodes that affect the voltage and reactive power of the load node are very few nodes, such as the No.2 load reactive power node is 92 and 103 generation nodes.
4.3. Comparative Analysis
5. Conclusions
- (1)
- Considering the main influencing factors of the relationship between nodes, using the sensitivity index as the micro-change rate determination factor, based on the three types of sensitivity of voltage, power, and network loss to reflect the three major indicators of safety, reliability, and economy;
- (2)
- In order to reflect the supply-demand relationship between nodes, from the three perspectives of supply capacity, responsiveness, and stability, supplementary indicators are calculated around capacity, failure rate, and flexibility margin;
- (3)
- Taking into account the complexity of each index, the TOPSIS method was adopted, built around the weighted index set, calculated using AHP’s Santy scaling method, and solved using the degree concept of graph theory to form a node tightness matrix; at the same time, the ranking sequence of the most important nodes in the system can be obtained intuitively;
- (4)
- Compared with other related research on distribution network operation mode, the correlation tightness matrix can more flexibly present the relationship between the output indicators. Based on the weight reconstruction, a new network operation strategy can be formed quickly, and it can effectively reflect the relationship between nodes that based on the internal relationship of supply indicators, which has a wider application space.
Author Contributions
Funding
Informed Consent Statement
Data Availability Statement
Conflicts of Interest
References
- Zhao, C.; Yan, H.; Liu, D.; Zhu, H.; Wang, Y.; Chen, Y. Co-simulation research and application for Active Distribution Network based on Ptolemy II and Simulink. In Proceedings of the China International Conference on Electricity Distribution (CICED), Shenzhen, China, 23–26 September 2014; pp. 1230–1235. [Google Scholar]
- Zou, G.; Ma, Y.; Yang, J.; Hou, M. Multi-time scale optimal dispatch in ADN based on MILP. Int. J. Electr. Power Energy Syst. 2018, 102, 393–400. [Google Scholar] [CrossRef]
- Li, K.; He, Y. Evaluating nodes importance in complex network based on PageRank algorithm. AIP Conf. Proc. 2018, 1955, 040122. [Google Scholar]
- Fathi, R.; Tousi, B.; Galvani, S. Allocation of renewable resources with radial distribution network reconfiguration using improved salp swarm algorithm. Appl. Soft Comput. 2022, 132, 109828. [Google Scholar] [CrossRef]
- Anteneh, D.; Khan, B.; Mahela, O.P.; Alhelou, H.H.; Guerrero, J.M. Distribution network reliability enhancement and power loss reduction by optimal network reconfiguration. Comput. Electr. Eng. 2021, 96, 107518. [Google Scholar] [CrossRef]
- Li, S.; Wang, L.; Gu, X.; Zhao, H.; Sun, Y. Optimization of loop-network reconfiguration strategies to eliminate transmission line overloads in power system restoration process with wind power integration. Int. J. Electr. Power Energy Syst. 2022, 134, 107351. [Google Scholar] [CrossRef]
- Shahzad, K.; Amin, A.A. Optimal Planning of Distributed Energy Storage Systems in Active Distribution Networks using Advanced Heuristic Optimization Techniques. J. Electr. Eng. Technol. 2021, 16, 2447–2462. [Google Scholar] [CrossRef]
- Ling, P.; Fang, C.; Guo, L.; Su, X.; Zheng, S. A Novel Direct Load Flow Algorithm for Unbalanced Micro-grids Considering the Droop Characteristics of DG and Load. In Proceedings of the International Conference on Power System Technology (POWERCON), Guangzhou, China, 6–8 November 2018; pp. 2096–2101. [Google Scholar]
- Liao, H. Review on distribution network optimization under uncertainty. Energies 2019, 12, 3369. [Google Scholar] [CrossRef]
- Li, R.; Liu, Y.; Ouyang, G.; Long, H.; Liu, P. Research on Optimization of Planned Interruption Non-Effect for Distribution Network Planning Based on Improved Particle Swarm Optimization Algorithm. IOP Conf. Ser. Earth Environ. Sci. 2019, 252, 032071. [Google Scholar] [CrossRef]
- Ahmadian, A.; Elkamel, A.; Mazouz, A. An improved hybrid particle swarm optimization and tabu search algorithm for expansion planning of large dimension electric distribution network. Energies 2019, 12, 3052. [Google Scholar] [CrossRef]
- Jiang, W.; Wang, Y. Node similarity measure in directed weighted complex network based on node nearest neighbor local network relative weighted entropy. IEEE Access 2020, 8, 32432–32441. [Google Scholar] [CrossRef]
- Zhou, J.; Yu, X.; Lu, J.A. Node importance in controlled complex networks. IEEE Trans. Circuits Syst. II Express Briefs 2018, 66, 437–441. [Google Scholar] [CrossRef]
- Zhang, X.; Chen, B. Study on node importance evaluation of the high-speed passenger traffic complex network based on the Structural Hole Theory. Open Phys. 2017, 15, 1–11. [Google Scholar] [CrossRef]
- Amani, A.M.; Jalili, M. Power grids as complex networks: Resilience and reliability analysis. IEEE Access 2021, 9, 119010–119031. [Google Scholar] [CrossRef]
- Cavalcanti, T.V.; Giannitsarou, C.; Johnson, C.R. Network cohesion. Econ. Theory 2017, 64, 1–21. [Google Scholar] [CrossRef]
- Träff, J.L. Direct graph k-partitioning with a Kernighan–Lin like heuristic. Oper. Res. Lett. 2006, 34, 621–629. [Google Scholar] [CrossRef]
- Abou Hamad, I.; Rikvold, P.A.; Poroseva, S.V. Floridian high-voltage power-grid network partitioning and cluster optimization using simulated annealing. Phys. Procedia 2011, 15, 2–6. [Google Scholar] [CrossRef]
- Ma, K.; Yuan, C.; Xu, X.; Yang, J.; Liu, Z. Optimising regulation of aggregated thermostatically controlled loads based on multi-swarm PSO. IET Gener. Transm. Distrib. 2018, 12, 2340–2346. [Google Scholar] [CrossRef]
- Liu, J.; Zhou, Y.; Li, Y.; Lin, G.; Zu, W.; Cao, Y.; Qiao, X.; Sun, C.; Rehtanz, C. Modeling and Analysis Considering the Time Series Characteristics for Distribution Network with High Penetration of Renewable Energy. IET Gener. Transm. Distrib. 2020, 14, 2800–2809. [Google Scholar] [CrossRef]
- Aliakbary, S.; Habibi, J.; Movaghar, A. Feature Extraction from Degree Distribution for Comparison and Analysis of Complex Networks. Comput. J. 2018, 58, 2079–2091. [Google Scholar] [CrossRef]
- Choi, M.-G.; Ahn, S.-J.; Choi, J.-H.; Cho, S.-M.; Yun, S.-Y. Adaptive Protection Method of Distribution Networks using the Sensitivity Analysis for Changed Network Topologies based on Base Network Topology. IEEE Access 2020, 8, 148169–148180. [Google Scholar] [CrossRef]
- Levi, V.; Williamson, G.; King, J.; Terzija, V. Development of GB distribution networks with low carbon technologies and smart solutions: Scenarios and results. Int. J. Electr. Power Energy Syst. 2020, 119, 105832. [Google Scholar] [CrossRef]













| Network Layering | Voltage Level | Coupling Node | Network Size | Solution Algorithm | Convergence Precision |
|---|---|---|---|---|---|
| Main network | Above 10 kV | Node 11 | Number of nodes: 20 | PQ decomposition | 1 × 10−6 |
| Number of branches: 20 | |||||
| Number of power generated: 4 | |||||
| Distribution network | 0.4 kV | Number of nodes: 12 | Forward and backward generation | ||
| Number of branches: 11 |
| Round | Coupling Node Voltage | Coupling Node Phase Angle | Total Accuracy | ||||
|---|---|---|---|---|---|---|---|
| Main Network | Distribution Network | Deviation | Main Network | Distribution Network | Deviation | ||
| 1 | 0.9482 | 1.0000 | 0.0517 | −6.8574 | −6.8574 | 0.0000 | 0.0517 |
| 2 | 0.9478 | 0.9482 | 0.0003 | −6.8842 | −6.8574 | 0.0000 | 0.0003 |
| 3 | 0.947856 | 0.947859 | 3 × 10−6 | −6.8844 | −6.8574 | 0.0000 | 3 × 10−6 |
| 4 | 0.9478563 | 0.9478563 | 2 × 10−8 | −6.8844 | −6.8574 | 0.0000 | 2 × 10−8 |
| Network Type | Node Number | Newton’s Method Calculation Results | The Master-Slave Split Method Calculates the Result | Deviation | ||
|---|---|---|---|---|---|---|
| Voltage | Phase Angle | Voltage | Phase Angle | |||
| Main network | 0 | 1.03 | 0 | 1.03 | 0 | 0 |
| 1 | 1.03257 | −1.73713 | 1.03257 | −1.73713 | 0 | |
| 2 | 1.02214 | −3.96513 | 1.02214 | −3.96513 | 0 | |
| 3 | 1.01445 | −4.62806 | 1.01445 | −4.62806 | 0 | |
| 4 | 1.02555 | −3.52348 | 1.02555 | −3.52348 | 0 | |
| 5 | 1.03 | −3.26918 | 1.01445 | −3.26918 | 0 | |
| 6 | 1.00115 | −6.38936 | 1.02555 | −6.38936 | 0 | |
| 7 | 1.00144 | −6.24999 | 1.03 | −6.24999 | 0 | |
| 8 | 0.997036 | −6.31971 | 1.00115 | −6.31971 | 0 | |
| 9 | 0.993758 | −6.36155 | 1.00144 | −6.36155 | 0 | |
| 10 | 0.991537 | −6.36944 | 0.997036 | −6.36944 | 0 | |
| 11 | 0.947856 | −6.88444 | 0.993758 | −6.88444 | 0 | |
| 12 | 1.01237 | −5.79345 | 0.991537 | −5.79345 | 0 | |
| 13 | 1.00847 | −5.94472 | 0.947856 | −5.94472 | 0 | |
| 14 | 1.00443 | −6.11352 | 1.01237 | −6.11352 | 0 | |
| 25 | 0.861582 | 2.51946 | 1.00847 | 2.51946 | 0 | |
| 26 | 0.842511 | 5.75087 | 1.00443 | 5.75087 | 0 | |
| 27 | 1.02616 | −3.52348 | 0.861582 | −3.52348 | 0 | |
| 28 | 1.024 | −3.96513 | 0.842511 | −3.96513 | 0 | |
| 29 | 1.00623 | −5.59055 | 1.02616 | −5.59055 | 0 | |
| 30 | 0.990384 | −6.34397 | 0.990384 | −6.34397 | 0 | |
| Distribu-tion net-work | 15 | 0.990373 | −6.34308 | 0.990373 | −6.34308 | 0 |
| 16 | 0.936086 | −5.89545 | 0.936086 | −5.89545 | 0 | |
| 17 | 0.92631 | −5.09591 | 0.92631 | −5.09091 | 0 | |
| 18 | 0.919187 | −4.48188 | 0.919187 | −4.48188 | 0 | |
| 19 | 0.914058 | −4.07614 | 0.914058 | −4.07614 | 0 | |
| 20 | 0.911502 | −3.87155 | 0.911502 | −3.87155 | 0 | |
| 21 | 0.923788 | −5.08725 | 0.923788 | −5.08725 | 0 | |
| 22 | 0.904304 | −3.50968 | 0.904304 | −3.50968 | 0 | |
| 23 | 0.861582 | 2.51946 | 0.861582 | 2.51946 | 0 | |
| 24 | 0.842511 | 5.75087 | 0.842511 | 5.75087 | 0 | |
Disclaimer/Publisher’s Note: The statements, opinions and data contained in all publications are solely those of the individual author(s) and contributor(s) and not of MDPI and/or the editor(s). MDPI and/or the editor(s) disclaim responsibility for any injury to people or property resulting from any ideas, methods, instructions or products referred to in the content. |
© 2022 by the authors. Licensee MDPI, Basel, Switzerland. This article is an open access article distributed under the terms and conditions of the Creative Commons Attribution (CC BY) license (https://creativecommons.org/licenses/by/4.0/).
Share and Cite
Jiang, P.; Dou, X.; Dong, J.; Huang, H.; Wang, Y. Terminal Node of Active Distribution Network Correlation Compactness Model and Application Based on Complex Network Topology Graph. Sustainability 2023, 15, 595. https://doi.org/10.3390/su15010595
Jiang P, Dou X, Dong J, Huang H, Wang Y. Terminal Node of Active Distribution Network Correlation Compactness Model and Application Based on Complex Network Topology Graph. Sustainability. 2023; 15(1):595. https://doi.org/10.3390/su15010595
Chicago/Turabian StyleJiang, Peng, Xihao Dou, Jun Dong, Hexiang Huang, and Yuanyuan Wang. 2023. "Terminal Node of Active Distribution Network Correlation Compactness Model and Application Based on Complex Network Topology Graph" Sustainability 15, no. 1: 595. https://doi.org/10.3390/su15010595
APA StyleJiang, P., Dou, X., Dong, J., Huang, H., & Wang, Y. (2023). Terminal Node of Active Distribution Network Correlation Compactness Model and Application Based on Complex Network Topology Graph. Sustainability, 15(1), 595. https://doi.org/10.3390/su15010595
