Platform Service Supply Chain Network Equilibrium Model with Data Empowerment
Abstract
:1. Introduction
2. Literature Review
2.1. Platform Service Supply Chain
2.2. Data Empowerment
2.3. Supply Chain Network Equilibrium
3. Problem Statement and Formulation
3.1. Problem Description
3.2. Notations Description
3.3. Model Assumptions
4. Model Building
4.1. Behavior of the Service Providers and Their Equilibrium Conditions
4.2. Behavior of the Platform Operators and Their Equilibrium Conditions
4.3. The Entire Platform Service Supply Chain Network Equilibrium Conditions
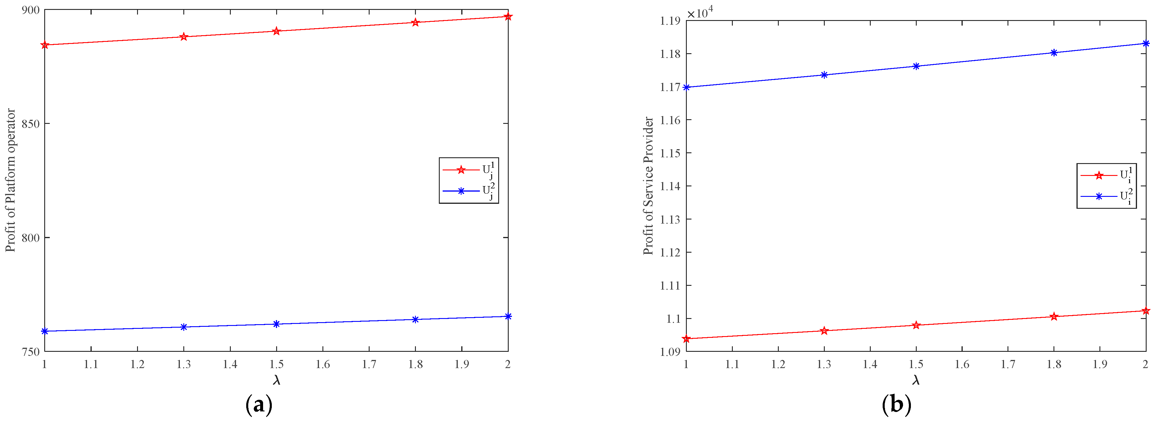
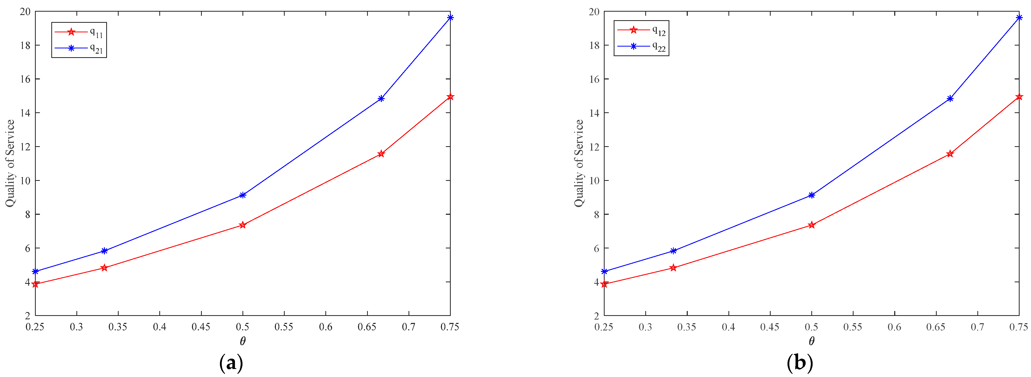
5. Numerical Analysis
6. Discussion
7. Conclusions
Author Contributions
Funding
Institutional Review Board Statement
Informed Consent Statement
Data Availability Statement
Conflicts of Interest
References
- He, P.; He, Y.; Tang, X.; Ma, S.; Xu, H. Channel encroachment and logistics integration strategies in an e-commerce platform service supply chain. Int. J. Prod. Econ. 2022, 244, 1–15. [Google Scholar] [CrossRef]
- Cai, Y.J.; Choi, T.M.; Zhang, J. Platform supported supply chain operations in the blockchain era: Supply contracting and moral hazards. Decis. Sci. 2021, 52, 866–892. [Google Scholar] [CrossRef]
- Gölzer, P.; Fritzsche, A. Data-driven operations management: Organisational implications of the digital transformation in industrial practice. Prod. Plan. Control 2017, 28, 1332–1343. [Google Scholar] [CrossRef]
- Demirkan, H.; Spohrer, J.C.; Welser, J.J. Digital innovation and strategic transformation. It Prof. 2016, 18, 14–18. [Google Scholar] [CrossRef]
- Xiao, D.; Kuang, X.; Chen, K. E-commerce supply chain decisions under platform digital empowerment-induced demand. Comput. Ind. Eng. 2020, 150, 1–13. [Google Scholar] [CrossRef]
- Yoon, M.S.; Pan, C.; Qu, M. A Study on Factors Affecting the Utilization of Vehicle Sharing Service in the Sharing Economy Environment: Focusing on the Analysis of Didi Chuxing Case in China. J. Inf. Technol. 2021, 20, 147–166. [Google Scholar]
- Chen, J.Y.; Qiu, J.L. Digital utility: Datafication, regulation, labor, and DiDi’s platformization of urban transport in China. Chin. J. Commun. 2019, 12, 274–289. [Google Scholar] [CrossRef]
- Liu, W.; Long, S.; Wei, S.; Xie, D.; Wang, J.; Liu, X. Smart logistics ecological cooperation with data sharing and platform empowerment: An examination with evolutionary game model. Int. J. Prod. Res. 2021, 1–21. [Google Scholar] [CrossRef]
- Wang, D.; Liu, W.; Liang, Y.; Wei, S. Decision optimization in service supply chain: The impact of demand and supply-driven data value and altruistic behavior. Ann. Oper. Res. 2021, 1–22. [Google Scholar] [CrossRef]
- Qin, W.; Sun, Y.N.; Zhuang, Z.L.; Lu, Z.Y.; Zhou, Y.M. Multi-agent reinforcement learning-based dynamic task assignment for vehicles in urban transportation system. Int. J. Prod. Econ. 2021, 240, 108251. [Google Scholar] [CrossRef]
- Massimino, B.; Gray, J.V.; Lan, Y. On the inattention to digital confidentiality in operations and supply chain research. Prod. Oper. Manag. 2018, 27, 1492–1515. [Google Scholar] [CrossRef]
- Kim, K.; Baek, C.; Lee, J.D. Creative destruction of the sharing economy in action: The case of Uber. Trans. Res. Part A Policy Pract. 2018, 110, 118–127. [Google Scholar] [CrossRef]
- Zhang, G.; Cheng, P.; Sun, H.; Shi, Y.; Zhang, G.; Kadiane, A. Carbon reduction decisions under progressive carbon tax regulations: A new dual-channel supply chain network equilibrium model. Sustain. Prod. Consum. 2021, 27, 1077–1092. [Google Scholar] [CrossRef]
- Zhang, G.; Zhang, X.; Sun, H.; Zhao, X. Three-echelon closed-loop supply chain network equilibrium under cap-and-trade regulation. Sustainability 2021, 13, 6472. [Google Scholar] [CrossRef]
- Sun, Q.; Wang, C.; Zuo, L.S.; Lu, F.H. Digital empowerment in a WEEE collection business ecosystem: A comparative study of two typical cases in China. J. Clean. Prod. 2018, 184, 414–422. [Google Scholar] [CrossRef] [Green Version]
- Zhang, Y.; Hu, M. Research on the Relationship between Data Empowerment and Service Innovation Capability of Logistics Platform Enterprise. Math. Probl. Eng. 2021, 2021, 9974585. [Google Scholar] [CrossRef]
- Boakye, K.G.; Natesan, P.; Prybutok, V.R. A correlated uniqueness model of service quality measurement among users of cloud-based service platforms. J. Retail. Consum. Serv. 2020, 55, 102098. [Google Scholar] [CrossRef]
- Choi, T.M.; Feng, L.; Li, R. Information disclosure structure in supply chains with rental service platforms in the blockchain technology era. Int. J. Prod. Econ. 2020, 221, 107473. [Google Scholar] [CrossRef]
- Choi, T.M.; Guo, S.; Liu, N.; Shi, X. Optimal pricing in on-demand-service-platform-operations with hired agents and risk-sensitive customers in the blockchain era. Eur. J. Oper. Res. 2020, 284, 1031–1042. [Google Scholar] [CrossRef]
- Liu, W.; Long, S.; Xie, D.; Liang, Y.; Wang, J. How to govern the big data discriminatory pricing behavior in the platform service supply chain? An examination with a three-party evolutionary game model. Int. J. Prod. Econ. 2021, 231, 107910. [Google Scholar] [CrossRef]
- Nagurney, A.; Daniele, P.; Shukla, S. A supply chain network game theory model of cybersecurity investments with nonlinear budget constraints. Ann. Oper. Res. 2017, 248, 405–427. [Google Scholar] [CrossRef]
- Anderson Jr, E.G.; Morrice, D.J. A simulation game for teaching service—Oriented supply chain management: Does information sharing help managers with service capacity decisions? Prod. Oper. Manag. 2000, 9, 40–55. [Google Scholar] [CrossRef]
- Liu, W.; Wang, D.; Long, S.; Shen, X.; Shi, V. Service supply chain management: A behavioural operations perspective. Mod. Supply Chain. Res. Appl. 2019, 1, 28–53. [Google Scholar] [CrossRef] [Green Version]
- Sousa, R.; da Silveira, G.J.C. The relationship between servitization and product customization strategies. Int. J. Oper. Prod. Manag. 2018, 39, 454–474. [Google Scholar] [CrossRef]
- Sengupta, K.; Heiser, D.R.; Cook, L.S. Manufacturing and service supply chain performance: A comparative analysis. J. Supply Chain Manag. 2006, 42, 4–15. [Google Scholar] [CrossRef]
- Liu, W.; Shen, X.; Wang, D. The impacts of dual overconfidence behavior and demand updating on the decisions of port service supply chain: A real case study from China. Ann. Oper. Res. 2020, 291, 565–604. [Google Scholar] [CrossRef]
- Lin, Y.; Chen, A.; Yin, Y.; Li, O.; Zhu, Q.; Luo, J. A framework for sustainable management of the platform service supply chain: An empirical study of the logistics sector in China. Int. J. Prod. Econ. 2021, 235, 108112. [Google Scholar] [CrossRef]
- Prentice, C.; Wang, X.; Loureiro, S.M.C. The influence of brand experience and service quality on customer engagement. J. Retail. Consum. Serv. 2019, 50, 50–59. [Google Scholar] [CrossRef]
- Ejdys, J.; Gulc, A. Trust in courier services and its antecedents as a determinant of perceived service quality and future intention to use courier service. Sustainability 2020, 12, 9088. [Google Scholar] [CrossRef]
- Xiang, Z.; Xu, M. Dynamic cooperation strategies of the closed-loop supply chain involving the internet service platform. J. Clean. Prod. 2019, 220, 1180–1193. [Google Scholar] [CrossRef]
- Liu, C.; Zhou, Q.; Lv, J.; Jiang, Y. Sales price and service level on a dedicated online service platform: The dynamics under competing reference quality. Comput. Ind. Eng. 2021, 162, 107779. [Google Scholar] [CrossRef]
- Bai, J.; So, K.C.; Tang, C.S.; Chen, X.; Wang, H. Coordinating supply and demand on an on-demand service platform with impatient customers. Manuf. Serv. Oper. Manag. 2019, 21, 556–570. [Google Scholar] [CrossRef] [Green Version]
- Choi, T.M.; Wallace, S.W.; Wang, Y. Big data analytics in operations management. Prod. Oper. Manag. 2018, 27, 1868–1883. [Google Scholar] [CrossRef]
- Liu, W.; Yan, X.; Li, X.; Wei, W. The impacts of market size and data-driven marketing on the sales mode selection in an Internet platform based supply chain. Transp. Res. Part E Logist. Transp. Rev. 2020, 136, 101914. [Google Scholar] [CrossRef]
- Cenamor, J.; Sjödin, D.R.; Parida, V. Adopting a platform approach in servitization: Leveraging the value of digitalization. Int. J. Prod. Econ. 2017, 192, 54–65. [Google Scholar] [CrossRef]
- Conger, J.A.; Kanungo, R.N. The empowerment process: Integrating theory and practice. Acad. Manag. Rev. 1988, 13, 471–482. [Google Scholar] [CrossRef]
- Leong, C.M.L.; Pan, S.L.; Ractham, P.; Kaewkitipong, L. ICT-enabled community empowerment in crisis response: Social media in Thailand flooding 2011. J. Assoc. Inf. Sci. Technol. 2015, 16, 174–212. [Google Scholar] [CrossRef]
- Lenka, S.; Parida, V.; Wincent, J. Digitalization capabilities as enablers of value co-creation in servitizing firms. Psychol. Mark. 2017, 34, 92–100. [Google Scholar] [CrossRef] [Green Version]
- Zaki, M. Digital transformation: Harnessing digital technologies for the next generation of services. J. Serv. Mark. 2019, 33, 429–435. [Google Scholar] [CrossRef]
- Kache, F.; Seuring, S. Challenges and opportunities of digital information at the intersection of Big Data Analytics and supply chain management. Int. J. Oper. Prod. Manag. 2017, 37, 10–36. [Google Scholar] [CrossRef]
- Núñez-Merino, M.; Maqueira-Marín, J.M.; Moyano-Fuentes, J.; Martínez-Jurado, P.J. Information and digital technologies of Industry 4.0 and Lean supply chain management: A systematic literature review. Int. J. Prod. Res. 2020, 58, 5034–5061. [Google Scholar] [CrossRef]
- Nagurney, A.; Dong, J.; Zhang, D. A supply chain network equilibrium model. Transp. Res. Part E Logist. Transp. Rev. 2002, 38, 281–303. [Google Scholar] [CrossRef]
- Chen, J.; Xu, Z.; Huang, D.; Fang, C.; Wang, X.; Zhang, J. Automotive supply chain networks equilibrium model under uncertain payment delay and objective weights. Comput. Ind. Eng. 2020, 150, 1–26. [Google Scholar] [CrossRef]
- Liu, Z.; Wang, J. Supply chain network equilibrium with strategic financial hedging using futures. Eur. J. Oper. Res. 2019, 272, 962–978. [Google Scholar] [CrossRef]
- Liu, Z.; Wang, J. Supply chain network equilibrium with strategic supplier investment: A real options perspective. Int. J. Prod. Econ. 2019, 208, 184–198. [Google Scholar] [CrossRef]
- Wan, X.; Jiang, B.; Li, Q.; Hou, X. Dual-channel environmental hotel supply chain network equilibrium decision under altruism preference and demand uncertainty. J. Clean. Prod. 2020, 271, 122595. [Google Scholar] [CrossRef]
- Wu, H.; Xu, B.; Zhang, D. Closed-loop supply chain network equilibrium model with subsidy on green supply chain technology investment. Sustainability 2019, 11, 4403. [Google Scholar] [CrossRef] [Green Version]
- Zhou, Y.; Chan, C.K.; Wong, K.H. A multi-period supply chain network equilibrium model considering retailers’ uncertain demands and dynamic loss-averse behaviors. Transp. Res. Part E Logist. Transp. Rev. 2018, 118, 51–76. [Google Scholar] [CrossRef]
- Zhang, G.; Dai, G.; Sun, H.; Zhang, G.; Yang, Z. Equilibrium in supply chain network with competition and service level between channels considering consumers’ channel preferences. J. Retail. Consum. Serv. 2020, 57, 102199. [Google Scholar] [CrossRef]
- Dong, J.; Zhang, D.; Nagurney, A. A supply chain network equilibrium model with random demands. Eur. J. Oper. Res. 2004, 156, 194–212. [Google Scholar] [CrossRef]
- Nagurney, A.; Li, D.; Wolf, T.; Saberi, S. A network economic game theory model of a service-oriented internet with choices and quality competition. NETNOMICS Econ. Res. Electron. Netw. 2013, 14, 1–25. [Google Scholar] [CrossRef]
- Nagurney, A.; Wolf, T. A Cournot–Nash–Bertrand game theory model of a service-oriented Internet with price and quality competition among network transport providers. Comput. Mater. Sci. 2014, 11, 475–502. [Google Scholar] [CrossRef]
- Nagurney, A.; Saberi, S.; Shukla, S.; Floden, J. Supply chain network competition in price and quality with multiple manufacturers and freight service providers. Transp. Res. Part E Logist. Transp. Rev. 2015, 77, 248–267. [Google Scholar] [CrossRef]
- Peng, Y.T.; Xu, D.; Li, Y.Y.; Wang, K. A Product Service Supply Chain Network Equilibrium Model considering Capacity Constraints. Math. Probl. Eng. 2020, 2020, 1–15. [Google Scholar] [CrossRef]
- Roels, G.; Karmarkar, U.S.; Carr, S. Contracting for collaborative services. Manag. Sci. 2010, 56, 849–863. [Google Scholar] [CrossRef] [Green Version]
- Büyükdağ, N.; Soysal, A.N.; Kitapci, O. The effect of specific discount pattern in terms of price promotions on perceived price attractiveness and purchase intention: An experimental research. J. Retail. Consum. Serv. 2020, 55, 102112. [Google Scholar] [CrossRef]
- Guha, A.; Biswas, A.; Grewal, D.; Verma, S.; Banerjee, S.; Nordfält, J. Reframing the discount as a comparison against the sale price: Does it make the discount more attractive? J. Mark. Res. 2018, 55, 339–351. [Google Scholar] [CrossRef]
- Zhang, M.; Fu, Y.; Zhao, Z.; Pratap, S.; Huang, G.Q. Game theoretic analysis of horizontal carrier coordination with revenue sharing in E-commerce logistics. Int. J. Prod. Res. 2019, 57, 1524–1551. [Google Scholar] [CrossRef]
- Safari, H.; Etezadi, S.; Moradi-Moghadam, M.; Fathi, M.R. Maturity evaluation of supply chain procedures by combining SCOR and PST models. Int. J. Process Manag. Benchmarking 2021, 11, 707–724. [Google Scholar] [CrossRef]
- Qian, X.; Liu, X.; Pei, J.; Pardalos, P.M. A new game of information sharing and security investment between two allied firms. Int. J. Prod. Res. 2018, 56, 4069–4086. [Google Scholar] [CrossRef]
- Nasrollahi, M.; Fathi, M.R.; Sanouni, H.R.; Sobhani, S.M.; Behrooz, A. Impact of coercive and non-coercive environmental supply chain sustainability drivers on supply chain performance: Mediation role of monitoring and collaboration. Int. J. Sustain. Energy 2021, 14, 98–106. [Google Scholar] [CrossRef]






| Notations | Descriptions |
|---|---|
| Set of service providers, with m service providers in total. | |
| Set of platform operators, with n platform operators in total. | |
| Set of demand markets, with o demand markets in total. | |
| The non-negative service volume from i to k via j. | |
| Number of services produced by service provider i. | |
| Data empowerment improves the service quality of service provider i. | |
| Data empowerment improves the service quality of platform operator j. | |
| Influence coefficient of data empowerment on service provider i’s service quality improvement cost. | |
| Influence coefficient of data empowerment on platform operator j’s service quality improvement cost. | |
| Data security risk level of service provider i. | |
| Influence coefficient of data security risk level of service provider i. | |
| Influence coefficient of data security risk level of platform operator j. | |
| Data security risk level of platform operator j. | |
| Average data security risk level of service providers. | |
| Average data security risk level of platform operators. | |
| Percentage of commission charged by platform operators to service providers. | |
| Probability of data security risk for service provider i. | |
| Probability of data security risk of platform operator j. | |
| Loss of data security risk borne by service provider i. | |
| Loss of data security risk borne by platform operator j. | |
| Data security risk level of the whole platform service supply chain network. | |
| The service quality perceived by the demand market. | |
| The demand price at k associated with service i transported via j. | |
| The total production cost of service provider i. | |
| The total transportation cost associated with service i transported via j. | |
| Service quality improvement cost of service provider i under data empowerment. | |
| Data security risk control investment cost of service provider i. | |
| Service quality improvement cost of platform operator j under data empowerment. | |
| Data security risk control investment cost of platform operator j. |
| α | 0.1 | 0.3 | 0.5 | 0.7 | 0.9 | |
|---|---|---|---|---|---|---|
| Ui | Ui1 | 10,967.5895 | 10,949.5246 | 10,942.4763 | 10,938.2335 | 10,935.2496 |
| Ui2 | 11,744.1463 | 11,715.6762 | 11,704.5700 | 11,697.9008 | 11,693.2220 | |
| Uj | Uj1 | 888.8508 | 886.1406 | 885.0881 | 884.4550 | 884.0106 |
| Uj2 | 761.2064 | 759.7841 | 759.2214 | 758.8878 | 758.6543 | |
| β | 0.1 | 0.3 | 0.5 | 0.7 | 0.9 | |
|---|---|---|---|---|---|---|
| Ui | Ui1 | 10,938.2335 | 10,938.2335 | 10,938.2335 | 10,938.2335 | 10,938.2335 |
| Ui2 | 11,697.9008 | 11,697.9008 | 11,697.9008 | 11,697.9008 | 11,697.9008 | |
| Uj | Uj1 | 885.6550 | 885.0550 | 884.4550 | 883.8550 | 883.2550 |
| Uj2 | 760.0878 | 759.4878 | 758.8878 | 758.2878 | 757.6878 | |
| φi | 1 | 1.3 | 1.5 | 1.8 | 2 | |
|---|---|---|---|---|---|---|
| Qijk | Q111 | 16.9218 | 16.9214 | 16.9213 | 16.9211 | 16.9211 |
| Q112 | 16.9367 | 16.9370 | 16.9372 | 16.9375 | 16.9377 | |
| Q121 | 13.9130 | 13.9120 | 13.9115 | 13.9107 | 13.9103 | |
| Q122 | 22.2360 | 22.2359 | 22.2358 | 22.2356 | 22.2355 | |
| Q211 | 23.7780 | 23.7705 | 23.7691 | 23.7672 | 23.7661 | |
| Q212 | 24.3051 | 24.3055 | 24.3058 | 24.3061 | 24.3063 | |
| Q221 | 22.9835 | 22.9837 | 22.9838 | 22.9840 | 22.9841 | |
| Q222 | 22.9967 | 22.9970 | 22.9972 | 22.9974 | 22.9976 | |
| wi | w1 | 0.4166 | 0.4377 | 0.4509 | 0.4699 | 0.4822 |
| w2 | 0.4590 | 0.4765 | 0.4872 | 0.5026 | 0.5124 | |
| rj | r1 | 0.2986 | 0.2989 | 0.3006 | 0.3047 | 0.3078 |
| r2 | 0.2971 | 0.2947 | 0.2941 | 0.2948 | 0.2962 | |
| 0.3678 | 0.3769 | 0.3832 | 0.3930 | 0.3997 | ||
| Ui | Ui1 | 10,938.2335 | 10,937.9462 | 10,937.7578 | 10,937.4810 | 10,937.2985 |
| Ui2 | 11,697.9008 | 11,697.5844 | 11,697.3760 | 11,697.0630 | 11,696.8562 | |
| Uj | Uj1 | 884.4550 | 884.4175 | 884.3951 | 884.3599 | 884.3380 |
| Uj2 | 758.8878 | 758.8517 | 758.8290 | 758,.7937 | 758.7714 | |
| δj | 1 | 1.3 | 1.5 | 1.8 | 2 | |
|---|---|---|---|---|---|---|
| Qijk | Q111 | 16.9218 | 16.9225 | 16.9229 | 16.9235 | 16.9239 |
| Q112 | 16.9367 | 16.9370 | 16.9373 | 16.9375 | 16.9377 | |
| Q121 | 13.9130 | 13.9124 | 13.9121 | 13.9116 | 13.9113 | |
| Q122 | 22.2360 | 22.2350 | 22.2344 | 22.2336 | 22.2330 | |
| Q211 | 23.7728 | 23.7706 | 23.7694 | 23.7677 | 23.7666 | |
| Q212 | 24.3051 | 24.3055 | 24.3057 | 24.3060 | 24.3062 | |
| Q221 | 22.9835 | 22.9837 | 22.9839 | 22.9841 | 22.9842 | |
| Q222 | 22.9967 | 22.9969 | 22.9970 | 22.9971 | 22.9972 | |
| wi | w1 | 0.4166 | 0.4216 | 0.4247 | 0.4289 | 0.4315 |
| w2 | 0.4590 | 0.4644 | 0.4677 | 0.4723 | 0.4751 | |
| rj | r1 | 0.2986 | 0.3373 | 0.3611 | 0.3937 | 0.4137 |
| r2 | 0.2971 | 0.3371 | 0.3610 | 0.3937 | 0.4137 | |
| 0.3678 | 0.3901 | 0.4036 | 0.4221 | 0.4335 | ||
| Ui | Ui1 | 10,938.2335 | 10,937.8855 | 10,937.6719 | 10,937.3811 | 10,937.2018 |
| Ui2 | 11,697.9008 | 11,697.4551 | 11,697.1834 | 11,696.8105 | 11,696.5818 | |
| Uj | Uj1 | 884.4550 | 884.1766 | 884.0102 | 883.7798 | 883.6390 |
| Uj2 | 758.8878 | 758.6001 | 758.4269 | 758.1883 | 758.0411 | |
Publisher’s Note: MDPI stays neutral with regard to jurisdictional claims in published maps and institutional affiliations. |
© 2022 by the authors. Licensee MDPI, Basel, Switzerland. This article is an open access article distributed under the terms and conditions of the Creative Commons Attribution (CC BY) license (https://creativecommons.org/licenses/by/4.0/).
Share and Cite
Peng, Y.; Chen, B.; Veglianti, E. Platform Service Supply Chain Network Equilibrium Model with Data Empowerment. Sustainability 2022, 14, 5419. https://doi.org/10.3390/su14095419
Peng Y, Chen B, Veglianti E. Platform Service Supply Chain Network Equilibrium Model with Data Empowerment. Sustainability. 2022; 14(9):5419. https://doi.org/10.3390/su14095419
Chicago/Turabian StylePeng, Yongtao, Bohai Chen, and Eleonora Veglianti. 2022. "Platform Service Supply Chain Network Equilibrium Model with Data Empowerment" Sustainability 14, no. 9: 5419. https://doi.org/10.3390/su14095419
APA StylePeng, Y., Chen, B., & Veglianti, E. (2022). Platform Service Supply Chain Network Equilibrium Model with Data Empowerment. Sustainability, 14(9), 5419. https://doi.org/10.3390/su14095419

