Heavy Metals/Metalloids in Soil of a Uranium Tailings Pond in Northwest China: Distribution and Relationship with Soil Physicochemical Properties and Radionuclides
Abstract
:1. Introduction
2. Materials and Methods
2.1. Study Area
2.2. Sampling and Sample Pretreatment
2.3. Analytical Methods
2.4. Statistical Analysis and Data Processing
3. Result and Discussion
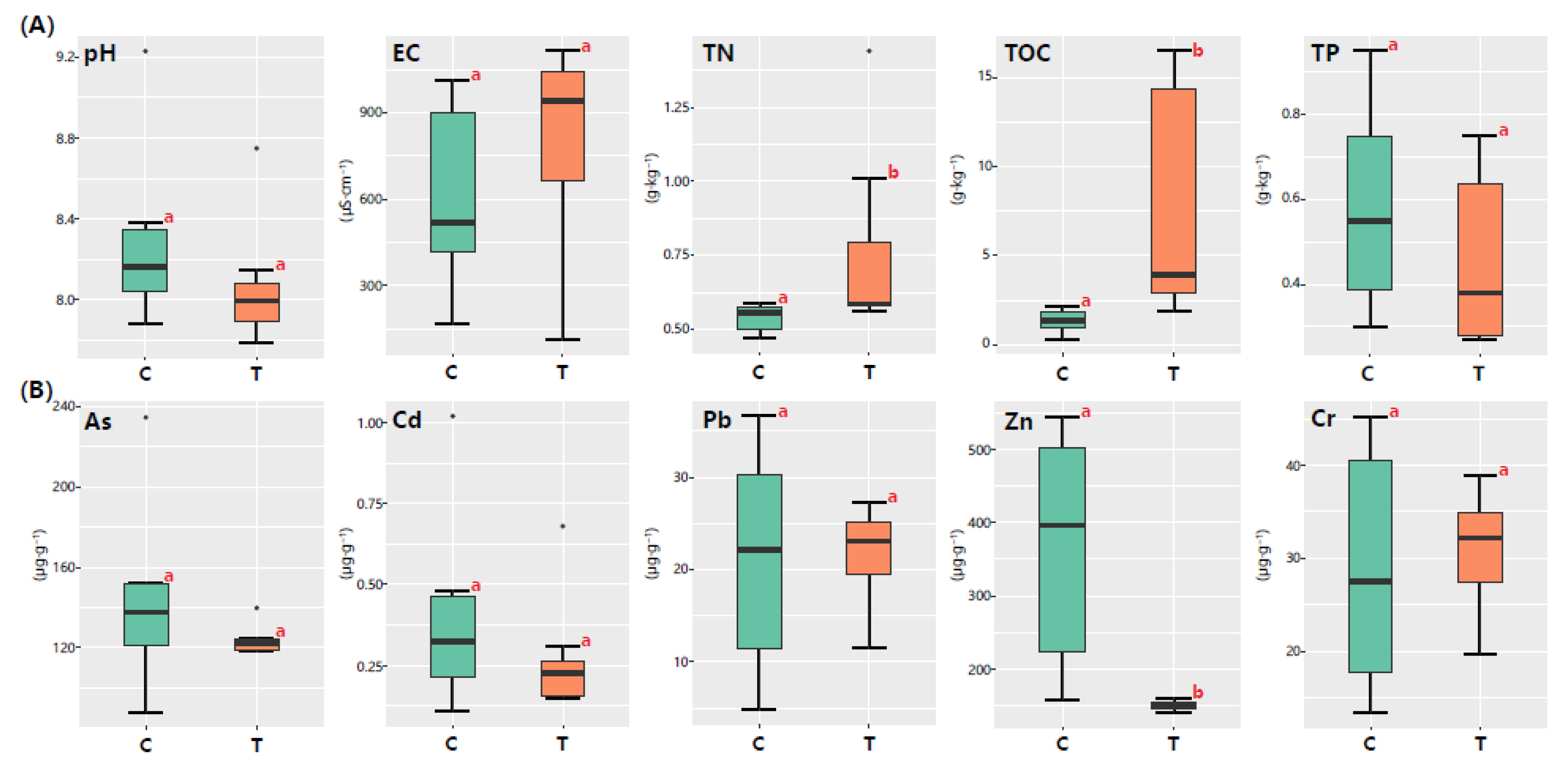
3.1. Soil Physicochemical Properties
3.2. Soil Metal/Metalloid Content Determination
3.3. Soil Physicochemical Properties and Heavy Metal/Metalloid Distribution Characteristics
3.4. Correlation Analysis
4. Conclusions
Author Contributions
Funding
Institutional Review Board Statement
Informed Consent Statement
Data Availability Statement
Acknowledgments
Conflicts of Interest
References
- Lenzen, M. Life cycle energy and greenhouse gas emissions of nuclear energy: A review. Energy Convers. Manag. 2008, 49, 2178–2199. [Google Scholar] [CrossRef]
- Bhuiyan, S.I. Nuclear power: An inevitable option for the sustainable development of the developing nations to meet the energy challenges of the 21st century. Int. J. Nucl. Govern. Econ. Ecol. 2009, 2, 387–398. [Google Scholar] [CrossRef]
- Martin, P.G.; Tomkinson, N.G.; Scott, T.B. The future of nuclear security: Commitments and actions—Power generation and stewardship in the 21st century. Energy Policy 2017, 110, 325–330. [Google Scholar] [CrossRef]
- Nathaniel, S.P.; Alam, M.S.; Murshed, M.; Mahmood, H. The roles of nuclear energy, renewable energy, and economic growth, in the abatement of carbon emissions in the G7 countries. Environ. Sci. Pollut. R 2021, 28, 47957–47972. [Google Scholar] [CrossRef] [PubMed]
- Craft, E.S.; Abu-Qare, A.W.; Flaherty, M.M.; Garofolo, M.C.; Rincavage, H.L.; Abou-Donia, M.B. Depleted and natural uranium: Chemistry and toxicological effects. J. Toxicol. Environ. Health B 2004, 7, 297–317. [Google Scholar] [CrossRef] [PubMed] [Green Version]
- Fang, J.C.; Lau, C.K.M.; Lu, Z.; Wu, W.S. Estimating Peak uranium production in China—Based on a Stella model. Energy Policy 2018, 120, 250–258. [Google Scholar] [CrossRef] [Green Version]
- Ouyang, J.F.; Liu, Z.R.; Zhang, L.; Wang, Y.; Zhou, L.M. Analysis of influencing factors of heavy metals pollution in farmland-rice system around a uranium tailings dam. Process Saf. Environ. 2020, 139, 124–132. [Google Scholar] [CrossRef]
- IAEA. Management of Radioactive Waste from the Mining and Milling of Ores; Safety Standards Series No.WS-G-1.2; IAEA: Vienna, Austria, 2002. [Google Scholar]
- Singh, K.L.; Sudhakar, G.; Swaminathan, S.K. identification of elite native plants species for phytoaccumulation and remediation of major contaminants in uranium tailing ponds and its affected area. Environ. Dev. Sustain. 2015, 17, 57–81. [Google Scholar] [CrossRef]
- Wang, J.; Liu, J.; Chen, Y.H.; Song, G.; Chen, D.Y.; Xiao, T.F.; Li, H.S.; Wang, C.L.; Jiang, F. Preliminary results of spatial distribution of uranium and thorium in soil profiles near a uranium industrial site, Guangdong province, China. Nukleonika 2016, 61, 367–371. [Google Scholar] [CrossRef] [Green Version]
- Liu, B.; Peng, T.J.; Sun, H.J.; Yue, H.J. Release behavior of uranium in uranium mill tailings under environmental conditions. J. Environ. Radioact. 2017, 171, 160–168. [Google Scholar] [CrossRef]
- Portnov, V.S.; Yurov, V.M.; Maussymbayeva, A.D.; Kassymov, S.S.; Zholmagambetov, N.R. Assessment of radiation risk at the population from pits, dumps and tailing dams of uranium mines. Int. J. Min. Reclam. Environ. 2017, 31, 205–211. [Google Scholar] [CrossRef]
- Liu, Y.Y.; Zhou, W.B.; Liu, H.Y.; Wei, Q.L.; Gao, B.; Chen, G.X. Spatial variability and radiation assessment of the radionuclides in soils and sediments around a uranium tailings reservoir, south of China. J. Radioanal. Nucl. Chem. 2020, 324, 33–42. [Google Scholar] [CrossRef]
- Qin, G.X.; Liu, Y.J.; Wang, Q.M.; Li, F.; Li, W.Z.; Wu, H.X. Investigation and Analysis of Environmental Radioactivity Levels at typical uranium mines in the south of china. Radiat. Prot. Dosim. 2020, 189, 337–346. [Google Scholar] [CrossRef] [PubMed]
- Yang, G.; Dong, F.Q.; Liu, M.X.; Nie, X.Q.; Zong, M.R.; Peng, C.H.; Chen, H.; Wei, H.F.; Wang, P.P.; Zhang, W. Interactive effect of radioactive and heavy-metal contamination on soil enzyme activity in a former uranium mine. Pol. J. Environ. Stud. 2018, 27, 1343–1351. [Google Scholar] [CrossRef]
- Foulkes, M.; Millward, G.; Henderson, S.; Blake, W. Bioaccessibility of U, Th and Pb in solid wastes and soils from an abandoned uranium mine. J. Environ. Radioact. 2016, 173, 85–96. [Google Scholar] [CrossRef] [PubMed] [Green Version]
- Lourenco, J.; Pereira, R.; Pinto, F.; Caetano, T.; Silva, A.; Caranalheiro, T.; Guimaraes, A.; Goncalves, F.; Paiva, A.; Mendo, S. Biomonitoring a human population inhabiting nearby a deactivated uranium mine. Toxicology 2013, 305, 89–98. [Google Scholar] [CrossRef] [PubMed]
- Xiang, L.; Liu, P.H.; Jiang, X.F.; Chen, P.J. Health risk assessment and spatial distribution characteristics of heavy metal pollution in rice samples from a surrounding hydrometallurgy plant area in No. 721 uranium mining, East China. J. Geochem. Explor. 2019, 207, 106360. [Google Scholar] [CrossRef]
- Yong, J.L.; Liu, Q.; Wu, B.S.; Chen, H.L.; Feng, G.W.; Hu, Y.H. Measurement and spatial distribution pattern of natural radioactivity in a uranium tailings pond in Northwest China. J. Radiat. Res. Appl. Sci. 2021, 14, 344–352. [Google Scholar] [CrossRef]
- IAEA. Monitoring and Surveillance of Residues from the Mining and Milling of Uranium and Thorium; Safety Reports Series No.27; IAEA: Vienna, Austria, 2002. [Google Scholar]
- Nair, R.N.; Sunny, F.; Manikandan, S.T. Modelling of decay chain transport in groundwater from uranium tailings ponds. Appl. Math. Model. 2010, 34, 2300–2311. [Google Scholar] [CrossRef]
- Nair, R.N.; Chopra, M.; Sunny, F.; Sharma, L.K.; Puranik, V.D. Source Term Evaluation Model for Uranium Tailings Ponds. J. Hazard. Toxic Radioact. Waste 2012, 17, 211–217. [Google Scholar] [CrossRef]
- IAEA. Final Report of a Co-Ordinated Research Project 2000–2004; IAEA: Vienna, Austria, 2004. [Google Scholar]
- Gavrilescu, M.; Pavel, L.V.; Cretescu, I. Characterization and remediation of soils contaminated with uranium—ScienceDirect. Cretescu J. Hazard. Mater. 2009, 163, 475–510. [Google Scholar] [CrossRef] [PubMed]
- Daniel, E.C.; Francis, R.L.; Mustafa, S.; Martin, C.S.; Daniel, G.; Camelia, N.B.; Neil, C.H. Remediation of soils contaminated with particulate depleted uranium by multi stage chemical extraction—ScienceDirect. J. Hazard. Mater. 2013, 263, 382–390. [Google Scholar]
- Li, C.; Sun, G.; Wu, Z.F.; Zhong, H.L.; Wang, R.P.; Liu, X.N.; Guo, Z.X.; Cheng, J. Soil physiochemical properties and landscape patterns control trace metal contamination at the urban-rural interface in southern China. Environ. Pollut. 2019, 250, 537–545. [Google Scholar] [CrossRef] [PubMed]
- Li, X.R.; He, M.Z.; Duan, Z.H.; Xiao, H.L.; Jia, X.H. Recovery of topsoil physicochemical properties in revegetated sites in the sand-burial ecosystems of the Tengger Desert, northern China. Geomorphology 2007, 88, 254–265. [Google Scholar] [CrossRef]
- Jiang, B.H.; Zhang, B.; Li, L.; Zhao, Y.; Shi, Y.; Jiang, Q.J.; Jia, L.P. analysis of microbial community structure and diversity in surrounding rock soil of different waste dump sites in Fushun western opencast mine. Chemosphere 2021, 269, 128777. [Google Scholar] [CrossRef]
- Liu, G.S. Soil Physical and Chemical Analysis and Description of Soil Profiles; Chinese Standard Press: Beijing, China, 1996. [Google Scholar]
- Gilmore, G.R. Practical Gamma-ray Spectrometry, 2nd ed.; John Wiley & Sons, Ltd.: Chippenham, UK, 2008. [Google Scholar]
- CNEMC. Background Values of Soil Elements in China; China Environmental Science Press: Beijing, China, 1990. [Google Scholar]
- SPSS 21. 0 for Windows; SPSS Inc.: Chicago, IL, USA, 2020; Available online: http://www.spss.com/ (accessed on 17 March 2022).
- R Core Team. R: A Language and Environment for Statistical Computing. Vienna (Austria): R Foundation for Statistical Computing. 2019. Available online: https://www.R-project.org/ (accessed on 17 March 2022).
- Xia, Y.L.; Sun, J.; Chen, D.G. Statistical Analysis of Microbiome Data with R; Springer: Singapore, 2018. [Google Scholar]
- Herbei, M.V.; Ciolac, V.; Smuleac, A.; Nistor, E.; Ciolac, L. Georeferencing of topographical maps using the software ARCGIS. Res. J. Agr. Sci. 2010, 42, 595–606. [Google Scholar]
- Ding, J.L.; Yang, S.T.; Shi, Q.; Wei, Y.; Wang, F. Using Apparent Electrical Conductivity as Indicator for Investigating Potential Spatial Variation of Soil Salinity across Seven Oases along Tarim River in Southern Xinjiang, China. Remote Sens. 2020, 12, 2601. [Google Scholar] [CrossRef]
- Mosavi, A.; Samadianfard, S.; Darbandi, S.; Nabipour, N.; Qasem, S.N.; Salwana, E.; Band, S.S. Predicting soil electrical conductivity using multi-layer perceptron integrated with Grey Wolf Optimizer. J. Geochem. Explor. 2021, 220, 106639. [Google Scholar] [CrossRef]
- Tóth, G.; Jones, A.; Montanarella, L. LUCAS Topsoil Survey. Methodology, Data and Results; JRC Technical Reports Number 26102; Publications Office of the European Union: Luxembourg, 2013. [Google Scholar]
- Hooda, P.S. Trace Elements in Soils; John Wiley and Sons, Ltd.: Chichester, UK, 2010. [Google Scholar]
- Shacklette, H.T.; Boerngen, J.G. Element concentrations in soils and other surficial materials of the conterminous United States, U.S. In Geological Survey Professional Paper 1270; United States Government Printing Office: Washington, DC, USA, 1984. [Google Scholar]
- Takeda, A.; Kimura, K.; Yamasaki, S.I. Analysis of 57 elements in Japanese soils, with special reference to soil group and agricultural use. Geoderma 2004, 119, 291–307. [Google Scholar] [CrossRef]
- Bini, C.; Dall’Aglio, M.; Ferretti, O.; Gragnani, R. Background levels of microelements in soils of Italy. Environ. Geochem. Health 1988, 102, 63–69. [Google Scholar] [CrossRef]
- Tóth, G.; Hermann, T.; Szatmári, G.; Pásztor, L. Maps of heavy metals in the soils of the european union and proposed priority areas for detailed assessment. Sci. Total Environ. 2016, 565, 1054–1062. [Google Scholar] [CrossRef] [PubMed]
- Mrvić, V.; Kostić-Kravljanac, L.; Čakmak, D.; Sikirić, B.; Brebanović, B.; Perović, V.; Nikoloski, M. Pedogeochemical mapping and background limit of trace elements in soils of Branicevo Province (Serbia). J. Geochem. Explor. 2011, 109, 18–25. [Google Scholar] [CrossRef]
- Ure, A.M.; Bacon, J.R.; Berrow, M.L.; Watt, J.J. The total trace element content of some scottish soils by spark source mass spectrometry. Geoderma 1979, 22, 1–23. [Google Scholar] [CrossRef]
- Jing, M.G.; Wu, J.T. Fast image interpolation using directional inverse distance weighting for real-time applications. Opt. Commun. 2013, 286, 111–116. [Google Scholar] [CrossRef]
- Xiao, C.W.; Ye, J.Q.; Esteves, R.M.; Rong, C.M. Using Spearman’s correlation coefficients for exploratory data analysis on big dataset. Concurr. Comp-Pract. E. 2016, 28, 3866–3878. [Google Scholar] [CrossRef]
- Kumpiene, J.; Lagerkvist, A.; Naurice, C. Stabilization of As, Cr, Cu, Pb and Zn in soil using amendements—A review. Waste Manag. 2008, 28, 215–225. [Google Scholar] [CrossRef]
- Kabata-Pendias, A. Trace Elements in Soils and Plants, 4th ed.; CRC Press: Boca Raton, FL, USA, 2011. [Google Scholar]
- Houba, V.J.G.; Temminghoff, E.J.M.; Gaikhorst, G.A.; van Vark, W. Soil analysis procedures using 0.01 M calcium chloride as extraction reagent. Commun. Soil Sci. Plant Anal. 2000, 31, 1299–1396. [Google Scholar] [CrossRef]
- Allen, H.E. The significance of trace metal speciation for water, sediment and soil quality criteria and standards. Sci. Total Environ. 1993, 134, 23–45. [Google Scholar] [CrossRef]
- Marid, H.A.; Jarallah, N.T. The relationship of nuclear decay methods (alpha and beta) particles with the nuclear deformation for nuclei in Uranium-238 and Thorium-232 Series. Energy Procedia 2019, 157, 270–275. [Google Scholar] [CrossRef]
- UNSCEAR. Sources and Effects of Ionizing Radiation, Volume I: Sources Report to the General Assembly Scientific Anneses A and B; UNSCEAR: New York, NY, USA, 2008. [Google Scholar]
- James, B.R.; Bartlett, R.J. Behavior of chromium in soils: VI. Interactions between oxidation-reduction and organic complexation. J. Environ. Qual. 1983, 12, 173–176. [Google Scholar] [CrossRef]
- Tzou, Y.M.; Wang, M.K.; Loeppert, R.H. Sorption of Phosphate and Cr(VI) by Fe(III) and Cr(III) Hydroxides. Arch. Environ. Contam. Toxicol. 2003, 44, 445–453. [Google Scholar] [CrossRef] [PubMed]
- Alowitz, M.J.; Scherer, M.M. Kinetics of nitrate, nitrite, and Cr(VI) reduction by iron metal. Environ. Sci. Technol. 2002, 36, 299–306. [Google Scholar] [CrossRef] [PubMed]
- Koladkar, D.V.; Dhadke, P.M. Extraction and separation of Th(IV) and U(VI) from nitric acid media using PIA-8 and HDEHP. J. Radioanal. Nucl. Chem. 2002, 253, 279–302. [Google Scholar] [CrossRef]
- Vazquez, P.; Holguin, G.; Puente, M.E.; Lopez-Cortes, A.; Bashan, Y. Phosphate-solubilizing microorganisms associated with the rhizosphere of mangroves in a semiarid coastal lagoon. Biol. Fertil. Soils 2000, 30, 460–468. [Google Scholar] [CrossRef]
- Xu, X.F.; Thornton, P.E.; Post, W.M. A global analysis of soil microbial biomass carbon, nitrogen and phosphorus in terrestrial ecosystems. Glob. Ecol. Biogeogr. 2013, 22, 737–749. [Google Scholar] [CrossRef]





| Sites | Physicochemical Properties | Statistical Parameters | Vertical Profile Depth (cm) | |
|---|---|---|---|---|
| 0–5 | 5–15 | |||
| Inside the tailings pond | pH | Range | 7.79–8.75 | 7.92–8.15 |
| Mean ± SD | 8.09 ± 0.45 | 8.03 ± 0.10 | ||
| EC (µS/cm) | Range | 136.90–1115.00 | 112.20–1017.00 | |
| Mean ± SD | 843.98 ± 473.88 | 709.80 ± 405.89 | ||
| TN (g/kg) | Range | 0.58–1.01 | 0.56–1.44 | |
| Mean ± SD | 0.73 ± 0.20 | 0.79 ± 0.43 | ||
| TOC (g/kg) | Range | 3.18–15.20 | 1.88–16.50 | |
| Mean ± SD | 9.03 ± 6.49 | 6.13 ± 6.99 | ||
| TP (g/kg) | Range | 0.27–0.75 | 0.27–0.69 | |
| Mean ± SD | 0.48 ± 0.24 | 0.43 ± 0.20 | ||
| Adjacent area of the tailings pond | pH | Range | 8.03–9.23 | 7.88–8.38 |
| Mean ± SD | 8.50 ± 0.64 | 8.11 ± 0.25 | ||
| EC (µS/cm) | Range | 165.50–481.00 | 560.00–1015.00 | |
| Mean ± SD | 347.83 ± 163.40 | 863.33 ± 262.69 | ||
| TN (g/kg) | Range | 0.48–0.59 | 0.47–0.58 | |
| Mean ± SD | 0.54 ± 0.06 | 0.54 ± 0.06 | ||
| TOC (g/kg) | Range | 0.99–1.91 | 0.32–2.12 | |
| Mean ± SD | 1.53 ± 0.48 | 1.11 ± 0.92 | ||
| TP (g/kg) | Range | 0.36–0.63 | 0.30–0.95 | |
| Mean ± SD | 0.49 ± 0.14 | 0.68 ± 0.34 | ||
| Sites | Metal/Metalloid (µg/g) | Statistical Parameters | Two Profile Depth (cm) | |
|---|---|---|---|---|
| 0–5 | 5–15 | |||
| Inside the tailings pond | As | Range | 119.33–124.15 | 118.25–139.80 |
| Mean ± SD | 122.13 ± 2.28 | 125.32 ± 10.13 | ||
| Cd | Range | 0.15–0.68 | 0.22–0.31 | |
| Mean ± SD | 0.29 ± 0.26 | 0.25 ± 0.04 | ||
| Pb | Range | 11.51–26.70 | 16.13–27.21 | |
| Mean ± SD | 20.69 ± 6.62 | 22.57 ± 4.75 | ||
| Zn | Range | 145.60–159.97 | 140.95–157.23 | |
| Mean ± SD | 150.78 ± 6.44 | 148.49 ± 8.30 | ||
| Cr | Range | 19.75–38.88 | 24.91–35.928 | |
| Mean ± SD | 30.36 ± 8.31 | 31.31 ± 4.68 | ||
| Adjacent area of the tailings pond | As | Range | 124.35–152.59 | 88.10–234.59 |
| Mean ± SD | 142.65 ± 15.87 | 147.69 ± 76.97 | ||
| Cd | Range | 0.23–1.02 | 0.11–0.48 | |
| Mean ± SD | 0.56 ± 0.41 | 0.27 ± 0.19 | ||
| Pb | Range | 10.05–30.94 | 4.79–36.64 | |
| Mean ± SD | 18.19 ± 10.81 | 23.34 ± 16.56 | ||
| Zn | Range | 396.99–544.20 | 157.76–394.84 | |
| Mean ± SD | 493.18 ± 83.35 | 239.83 ± 134.32 | ||
| Cr | Range | 16.62–42.71 | 13.45–45.17 | |
| Mean ± SD | 26.81 ± 13.95 | 30.85 ± 16.08 | ||
| Countries/Regions | Statistical Parameter | Heavy Metal/Metalloid Content (µg/g) | References | ||||
|---|---|---|---|---|---|---|---|
| As | Cd | Pb | Zn | Cr | |||
| United States | Range | <0.1–97 | - | <10–700 | <5–2900 | 1–2000 | [40] |
| Japan | - | 0.021–3.4 | 1.0–1100 | 2.5–330 | 1.4–230 | [41] | |
| Italy | 4–197 | 0.07–0.80 | 4–81 | 16–157 | 20–307 | [42] | |
| European Union | 0.46–252.53 | 0.02–3.17 | 1.6–151.12 | - | 1.57–273.94 | [43] | |
| Branicevo, Serbia | - | <0.01–13.5 | 3.17–192 | 1.82–303 | 0.20–142 | [44] | |
| Continental crust | 0.1–40 | 0.01–0.7 | 2–100 | 10–300 | 5–3000 | [45] | |
| China | 0.01–626.0 | 0.001–13.4 | 0.68–1143.0 | 2.6–593.2 | 2.2–1209.0 | [31] | |
| Study area, China | 88.10–234.59 | 0.11–1.02 | 4.79–36.64 | 140.95–544.2 | 13.44–45.17 | Present study | |
Publisher’s Note: MDPI stays neutral with regard to jurisdictional claims in published maps and institutional affiliations. |
© 2022 by the authors. Licensee MDPI, Basel, Switzerland. This article is an open access article distributed under the terms and conditions of the Creative Commons Attribution (CC BY) license (https://creativecommons.org/licenses/by/4.0/).
Share and Cite
Mao, Y.; Yong, J.; Liu, Q.; Wu, B.; Chen, H.; Hu, Y.; Feng, G. Heavy Metals/Metalloids in Soil of a Uranium Tailings Pond in Northwest China: Distribution and Relationship with Soil Physicochemical Properties and Radionuclides. Sustainability 2022, 14, 5315. https://doi.org/10.3390/su14095315
Mao Y, Yong J, Liu Q, Wu B, Chen H, Hu Y, Feng G. Heavy Metals/Metalloids in Soil of a Uranium Tailings Pond in Northwest China: Distribution and Relationship with Soil Physicochemical Properties and Radionuclides. Sustainability. 2022; 14(9):5315. https://doi.org/10.3390/su14095315
Chicago/Turabian StyleMao, Yu, Jinlong Yong, Qian Liu, Baoshan Wu, Henglei Chen, Youhua Hu, and Guangwen Feng. 2022. "Heavy Metals/Metalloids in Soil of a Uranium Tailings Pond in Northwest China: Distribution and Relationship with Soil Physicochemical Properties and Radionuclides" Sustainability 14, no. 9: 5315. https://doi.org/10.3390/su14095315
APA StyleMao, Y., Yong, J., Liu, Q., Wu, B., Chen, H., Hu, Y., & Feng, G. (2022). Heavy Metals/Metalloids in Soil of a Uranium Tailings Pond in Northwest China: Distribution and Relationship with Soil Physicochemical Properties and Radionuclides. Sustainability, 14(9), 5315. https://doi.org/10.3390/su14095315
