Environmental and Economic Analysis of Heating Solutions for Rural Residences in China
Abstract
:1. Introduction
2. Assessment Methodology
2.1. Selection of Typical Cities and Heating Load Calculation
2.2. Primary Energy Consumption
2.3. Environmental Impact Assessment Model
2.3.1. Pollutant Emissions Model
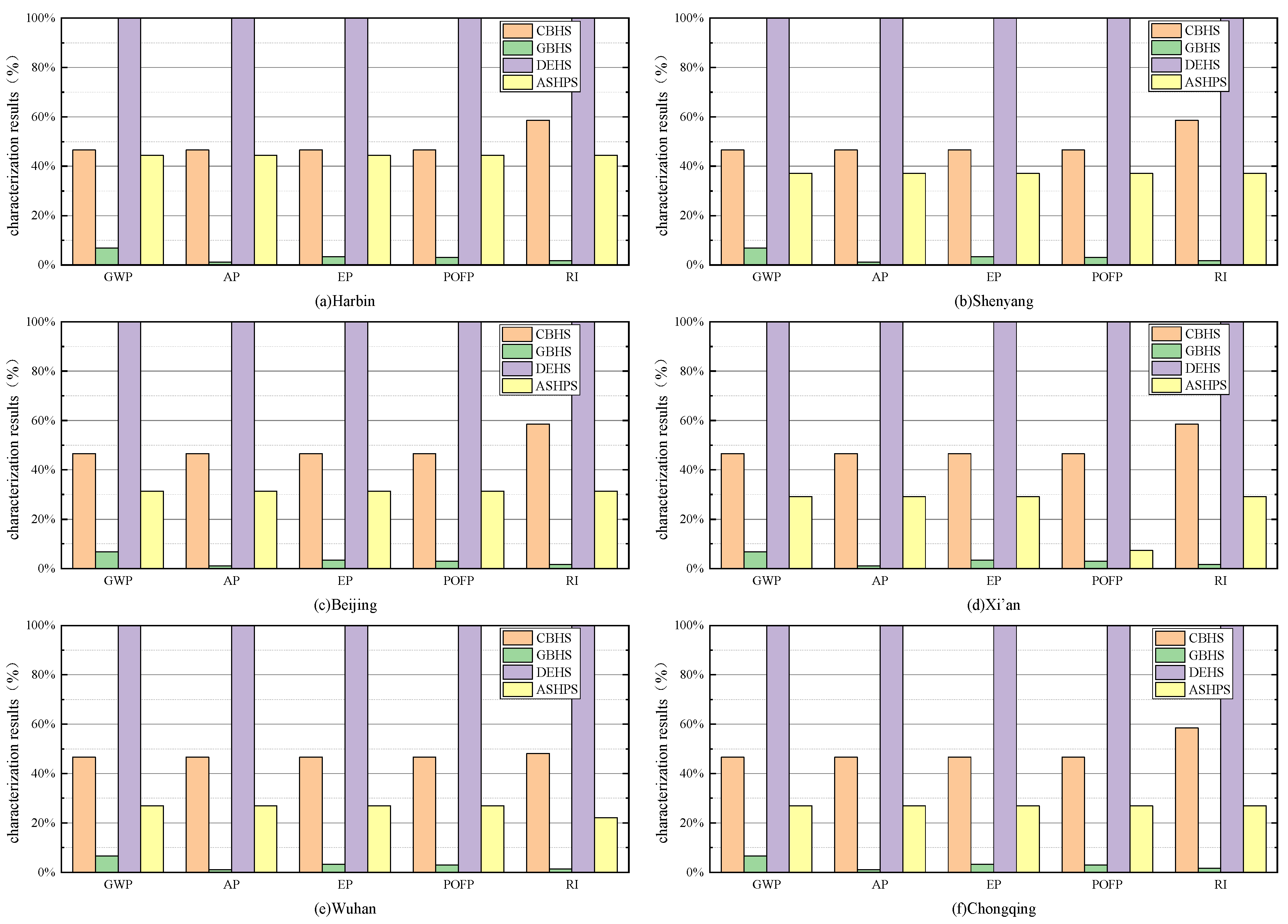
2.3.2. Classification and Characterization
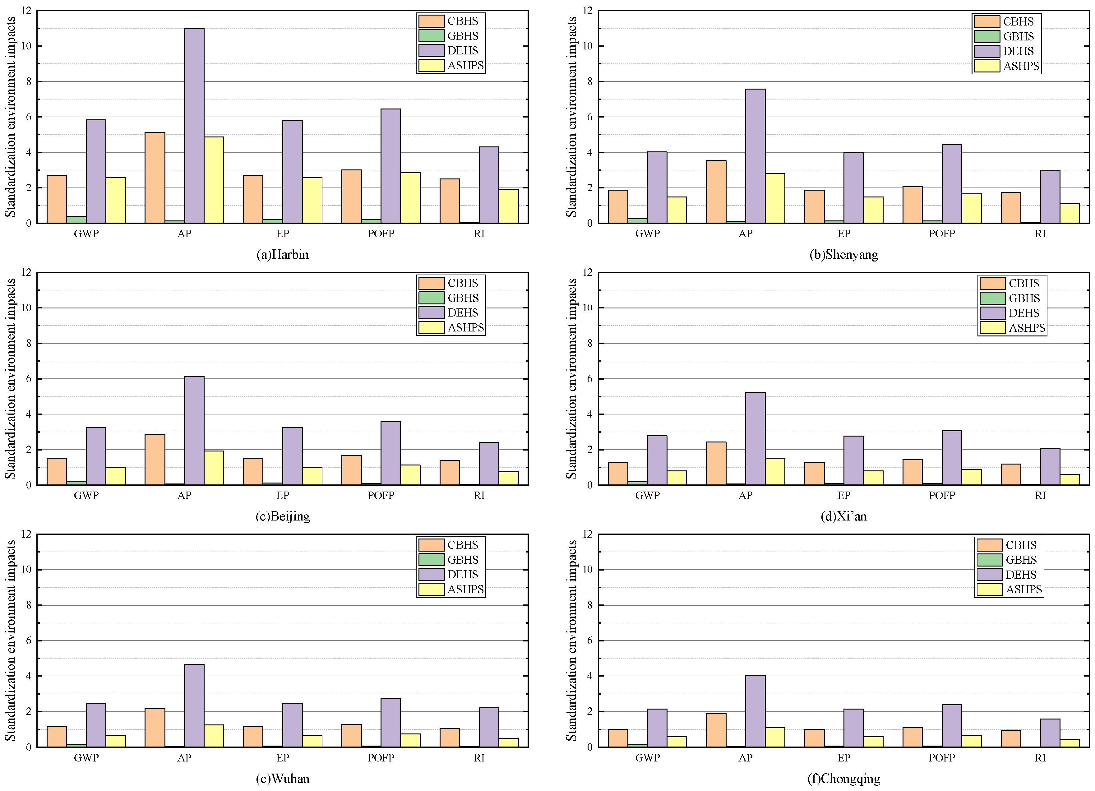
2.3.3. Standardization and Weighting
2.4. Economic Cost Model
3. Results and Discussions
3.1. Energy Consumption Analysis
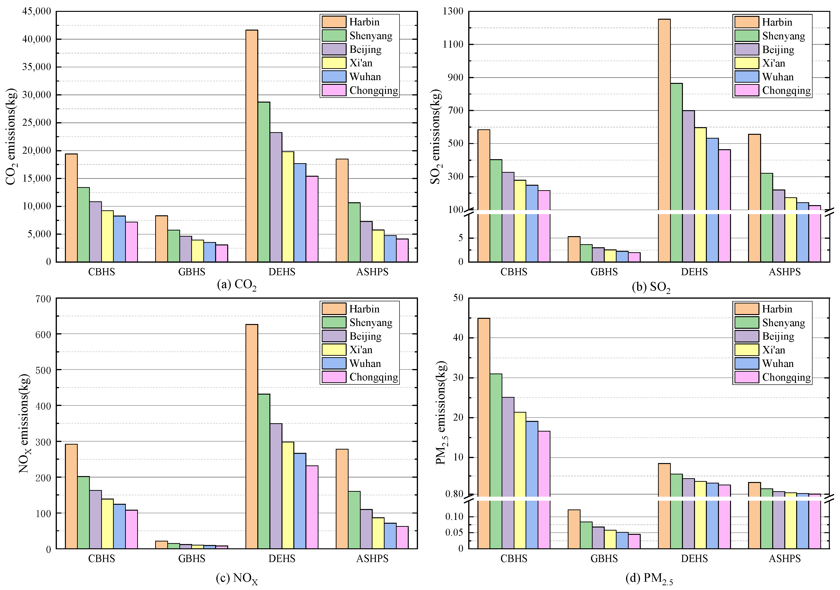
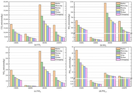
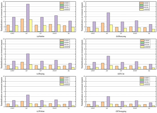
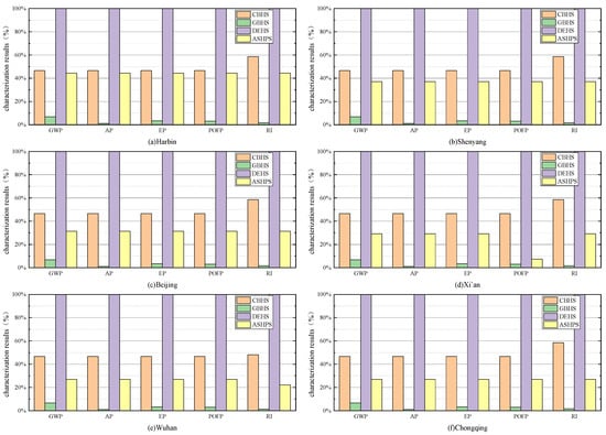
3.2. Environmental Impact Assessment Results of Heating Solutions
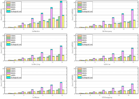
3.3. Economic Cost Analysis of Different Heating Solutions
4. Conclusions
- (1)
- The PEC of GBHS and ASHPS is obviously lower than that of CBHS, with a decrease of about 33% and 6–43%, respectively. The PEC of DEHS is higher than that of CBHS, with an increase of about 115%.
- (2)
- Compared with CBHS, GBHS and ASHPS can reduce the emissions of the pollutants effectively, and the emissions, such as CO2, SO2, NOX, and PM2.5, can reduce by about 57–99% by using GBHS for the six typical cities. By using ASHPS, these emissions can reduce by about 5–93%, 33–95%, and 42–95% for the severe cold regions, the cold regions and the hot summer and cold winter regions, respectively. DEHS cannot reduce PM2.5 emission effectively, but increases the emissions of CO2, SO2, and NOX significantly.
- (3)
- The weighted EMP of DEHS is the largest and that of GBHS is the smallest. The weighted EMP of GBHS is about 6% of CBHS for all six typical cities. The weighted EMP of ASHPS is 92%, 77%, 65%, 60%, 56%, and 56% of CBHS for Harbin, Shenyang, Beijing, Xi’an, Wuhan, and Chongqing, respectively. The weighted EMP of DEHS is about 108% higher than that of CBHS for all six typical cities.
- (4)
- The life cycle cost of GBHS is about 33% higher than that of CBHS for the six typical cities. The life cycle cost of ASHPS is about 33–57% higher than CBHS for the severe cold region, but not much different or even less than CBHS for the cold region and hot-summer and cold-winter region. The life cycle cost of DEHS is increased by 194–230% compared with that of CBHS.
Author Contributions
Funding
Institutional Review Board Statement
Informed Consent Statement
Data Availability Statement
Acknowledgments
Conflicts of Interest
Nomenclature
| A | Area |
| AP | Acidification potential |
| COP | Coefficient of heating performance |
| DR | Discount rate |
| E | Heating demand or energy consumption |
| EC | Ecological cost |
| ec | Unit ecological cost |
| EM | Emissions |
| EMP | Environmental impact |
| EP | Eutrophication potential |
| FC | Fuel cost |
| INV | Initial investment |
| GWP | Global warming potential |
| L | Lifetime |
| LCC | Life cycle cost |
| MC | Maintenance cost |
| OC | Operating cost |
| POFP | Photochemical ozone formation potential |
| PV | Present value |
| RI | Respiratory inorganics |
| q | Heating load |
| RR | Rising rate |
| T | Temperature |
| t | Time |
| η | Efficiency |
| μ | Emission conversion factor |
| Abbreviations | |
| ASHPS | Air source heat pump system |
| CBHS | Coal-fired boiler heating system |
| DEHS | Direct electric heating system |
| GBHS | Wall-hung gas-fired boiler heating system |
| LCA | Life cycle assessment |
| PEC | Primary energy consumption |
| Subscripts | |
| Add | addition |
| ambi | ambient |
| desi | design |
| e | electricity |
| h | heating |
| hle | heating limit external temperature |
| ng | natural gas |
| sc | standard coal |
| trans | transmission |
References
- Evans, M.; Yu, S.; Song, B.; Deng, Q.; Liu, J.; Delgado, A. Building energy efficiency in rural China. Energy Policy 2014, 64, 243–251. [Google Scholar] [CrossRef]
- Wang, R.; Jiang, Z. Energy consumption in China’s rural areas: A study based on the village energy survey. J. Clean. Prod. 2017, 143, 452–461. [Google Scholar] [CrossRef]
- Zhi, G.; Zhang, Y.; Sun, J.; Cheng, M.; Dang, H.; Liu, S.; Yang, J.; Zhang, Y.; Xue, Z.; Li, S.; et al. Village energy survey reveals missing rural raw coal in northern China: Significance in science and policy. Environ. Pollut. 2017, 223, 705–712. [Google Scholar] [CrossRef] [PubMed]
- Su, C.; Madani, H.; Palm, B. Heating solutions for residential buildings in China: Current status and future outlook. Energy Convers. Manag. 2018, 177, 493–510. [Google Scholar] [CrossRef]
- Guo, L.; Guo, X.; Fang, C.; Zhu, S. Observation analysis on characteristics of formation, evolution and transition of a long-lasting severe fog and haze episode in North China. Sci. China Earth Sci. 2015, 58, 329–344. [Google Scholar] [CrossRef]
- Zhao, P.; Fan, D.; Yang, Y.; Di, H.; Liu, H. Characteristics of carbonaceous aerosol in the region of Beijing, Tianjin, and Hebei, China. Atmos. Environ. 2013, 71, 389–398. [Google Scholar] [CrossRef]
- Zhang, R.; Jing, J.; Tao, J.; Hsu, S.C.; Wang, G.; Cao, J.; Lee, C.S.L.; Zhu, L.; Chen, Z.; Zhao, Y. Chemical characterization and source apportionment of PM2.5 in Beijing: Seasonal perspective. Atmos. Chem. Phys. 2014, 13, 7053–7074. [Google Scholar] [CrossRef] [Green Version]
- Dexiang, J.; Jing, H.; Zhang, H. Research on the Development Model of Replacing Coal with Electricity and its Application. Electr. Power 2015, 48, 190–192. [Google Scholar]
- Chen, H.; Chen, W. Potential impact of shifting coal to gas and electricity for building sectors in 28 major northern cities of China. Appl. Energy 2019, 236, 1049–1061. [Google Scholar] [CrossRef]
- Zhang, Q.; Zhang, L.; Nie, J.; Li, Y. Techno-economic analysis of air source heat pump applied for space heating in northern China. Appl. Energy 2017, 207, 533–542. [Google Scholar] [CrossRef]
- Nan, Z.; Zhang, Y.; Li, B.; Hao, J.; Chen, D.; Zhou, Y.; Dong, R. Natural gas and electricity: Two perspective technologies of substituting coal-burning stoves for rural heating and cooking in Hebei Province of China. Energy Sci. Eng. 2018, 7, 120–131. [Google Scholar]
- Zhang, C.; Yang, J. Economic benefits assessments of ‘coal-to-electricity’ project in rural residents heating based on life cycle cost. J. Clean. Prod. 2019, 213, 217–224. [Google Scholar] [CrossRef]
- Yang, Y. Heating carbon emission and system improvement for rural building of Beijing. Master’s Thesis, China Academy of Building Research, Beijing, China, 2019. [Google Scholar]
- Zheng, X. Analysis on the Technological, Economic and Environmental Effects of Coal Transformation in Rural Areas of Beijing. Master’s Thesis, Harbin Institute of Technology, Harbin, China, 2019. [Google Scholar]
- Xu, Y. Pollutant Emission and Comprehensive Benefit Evaluation of Clean Heating In Typical Northern Rural Areas in China. Master’s Thesis, Beijing University of Chemical Technology, Beijing, China, 2020. [Google Scholar]
- Dai, B.; Qi, H.; Dou, W.; Liu, S.; Zhong, D.; Yang, H.; Nian, V.; Hao, Y. Life cycle energy, emissions and cost evaluation of CO2 air source heat pump system to replace traditional heating methods for residential heating in China: System configurations. Energy Convers. Manag. 2020, 218, 112954. [Google Scholar] [CrossRef]
- Deng, M.; Ma, R.; Lu, F.; Nie, Y.; Yang, X. Techno-economic performances of clean heating solutions to replace raw coal for heating in Northern rural China. Energy Build. 2021, 240, 110881. [Google Scholar] [CrossRef]
- Yu, M.; Li, S.; Zhang, X.; Zhao, Y. Techno-economic analysis of air source heat pump combined with latent thermal energy storage applied for space heating in China. Appl. Therm. Eng. 2021, 185, 116434. [Google Scholar] [CrossRef]
- Saoud, A.; Harajli, H.; Manneh, R. Cradle-to-grave life cycle assessment of an air to water heat pump: Case study for the Lebanese context and comparison with solar and conventional electric water heaters for residential application. J. Build. Eng. 2021, 44, 103253. [Google Scholar] [CrossRef]
- Cabeza, L.F.; Rincón, L.; Vilariño, V.; Pérez, G.; Castell, A. Life cycle assessment (LCA) and life cycle energy analysis (LCEA) of buildings and the building sector: A review. Renew. Sustain. Energy Rev. 2014, 29, 394–416. [Google Scholar] [CrossRef]
- Shah, V.P.; Debella, D.C.; Ries, R.J. Life cycle assessment of residential heating and cooling systems in four regions in the United States. Energy Build. 2008, 40, 503–513. [Google Scholar] [CrossRef]
- Raluy, R.G.; Dias, A.C. Domestic hot water systems: Environmental performance from a life cycle assessment perspective. Sustain. Prod. Consum. 2021, 26, 1011–1020. [Google Scholar] [CrossRef]
- Nitkiewicz, A.; Sekret, R. Comparison of LCA results of low temperature heat plant using electric heat pump, absorption heat pump and gas-fired boiler. Energy Convers. Manag. 2014, 87, 647–652. [Google Scholar] [CrossRef]
- Vignali, G. Environmental assessment of domestic boilers: A comparison of condensing and traditional technology using life cycle assessment methodology. J. Clean. Prod. 2016, 2493–2508. [Google Scholar]
- Song, F.; Zhu, Q.; Wu, R.; Yi, J.; Li, Q. Meteorological data set for building thermal environment analysis of china. In Proceedings of the The 10th International Building Performance Simulation Association Conference and Exhibition, Beijing, China, 3–6 September 2007. [Google Scholar]
- Ministry of Housing and Urban-Rural Development of the People’s Republic of China. Design Standard for Energy Efficiency of Rural Residential Buildings; China Building Industry Press: Beijing, China, 2013; Volume GB/T 50804-2013. [Google Scholar]
- Liu, S.; Li, Z.; Dai, B.; Zhong, Z.; Li, H.; Song, M.; Sun, Z. Energetic, economic and environmental analysis of air source transcritical CO2 heat pump system for residential heating in China. Appl. Therm. Eng. 2019, 148, 1425–1439. [Google Scholar] [CrossRef]
- Wei, W.; Ni, L.; Zhou, C.; Yao, Y.; Xu, L.; Yang, Y. Performance analysis of a quasi-two stage compression air source heat pump in severe cold region with a new control strategy. Appl. Therm. Eng. 2020, 174, 115317. [Google Scholar] [CrossRef]
- Wang, C.; Xu, A.; Jiao, S.; Zhou, Z.; Zhang, D.; Liu, J.; Ling, J.; Gao, F.; Rameezdeen, R.; Wang, L.; et al. Environmental impact assessment of office building heating and cooling sources: A life cycle approach. J. Clean. Prod. 2020, 261, 121140. [Google Scholar] [CrossRef]
- De Wolf, C.; Hoxha, E.; Hollberg, A.; Fivet, C.; Ochsendorf, J. Database of Embodied Quantity Outputs: Lowering Material Impacts Through Engineering. J. Archit. Eng. 2020, 26, 04020016. [Google Scholar] [CrossRef]
- Yang, J. Product Life Cycle Assessment Methods and Applications; China Meteorological Press: Beijing, China, 2002. [Google Scholar]
- Lin, M.; Zhang, S.; Chen, Y. Distance-to-Target Weighting in Life Cycle Impact Assessment Based on Chinese Environmental Policy for the Period 1995–2005 (6 pp). Int. J. Life Cycle Assess. 2005, 10, 393–398. [Google Scholar] [CrossRef]
- Hong, T. A close look at the China Design Standard for Energy Efficiency of Public Buildings. Energy Build. 2009, 41, 426–435. [Google Scholar] [CrossRef]
- Ozbay, K.; Parker, N.; Jawad, D.; Hussein, S. Guidelines for Life Cycle Cost Analysis. Econ. Anal. 2003, 41, 426–435. [Google Scholar]
- Hakkaki-Fard, A.; Eslami-Nejad, P.; Aidoun, Z.; Ouzzane, M. A techno-economic comparison of a direct expansion ground-source and an air-source heat pump system in Canadian cold climates. Energy 2015, 87, 49–59. [Google Scholar] [CrossRef]
- Finkbeiner, M.; Inaba, A.; Tan, R.B.H.; Christiansen, K.; Klueppel, H.J. The New International Standards for Life Cycle Assessment: ISO 14040 and ISO 14044. Int. J. Life Cycle Assess. 2006, 11, 80–85. [Google Scholar] [CrossRef]







| Cities | Harbin | Shenyang | Beijing | Xi’an | Wuhan | Chongqing |
|---|---|---|---|---|---|---|
| Tdesi (°C) | −24.2 | −16.9 | −7.6 | −3.4 | −0.3 | 4.1 |
| qhdesi (W/m2) | 140 | 116 | 109 | 89 | 105 | 69 |
| Natural Gas (kg/m³) | Electricity (kg/kWh) | Standard Coal (kg/kg) | |
|---|---|---|---|
| CO2 | 1.94 | 0.997 | 2.493 |
| SO2 | 0.00124 | 0.03 | 0.075 |
| NOx | 0.00496 | 0.015 | 0.0375 |
| PM2.5 | 0.00002844 | 0.0002035 | 0.00577 |
| Emissions | GWP (kg CO2 eq) | AP (kg SO2 eq) | EP (kg PO43 eq) | POFP (kg C2H4 eq) | RI (kg PM2.5 eq) |
|---|---|---|---|---|---|
| CO2 | 1 | - | - | - | - |
| SO2 | - | 1 | - | 0.08 | 0.08 |
| NOx | 265 | 0.7 | 0.13 | 1 | 0.13 |
| PMs | - | - | - | - | 0.54 |
| Types of Pollutants | CO2 | SO2 | NOX | PM2.5 |
|---|---|---|---|---|
| Ecological cost unit price | 1.11 | 68.06 | 46.78 | 168.3 |
Publisher’s Note: MDPI stays neutral with regard to jurisdictional claims in published maps and institutional affiliations. |
© 2022 by the authors. Licensee MDPI, Basel, Switzerland. This article is an open access article distributed under the terms and conditions of the Creative Commons Attribution (CC BY) license (https://creativecommons.org/licenses/by/4.0/).
Share and Cite
Zhang, Z.; Wang, J.; Yang, M.; Gong, K.; Yang, M. Environmental and Economic Analysis of Heating Solutions for Rural Residences in China. Sustainability 2022, 14, 5117. https://doi.org/10.3390/su14095117
Zhang Z, Wang J, Yang M, Gong K, Yang M. Environmental and Economic Analysis of Heating Solutions for Rural Residences in China. Sustainability. 2022; 14(9):5117. https://doi.org/10.3390/su14095117
Chicago/Turabian StyleZhang, Zhenying, Jiaqi Wang, Meiyuan Yang, Kai Gong, and Mei Yang. 2022. "Environmental and Economic Analysis of Heating Solutions for Rural Residences in China" Sustainability 14, no. 9: 5117. https://doi.org/10.3390/su14095117
APA StyleZhang, Z., Wang, J., Yang, M., Gong, K., & Yang, M. (2022). Environmental and Economic Analysis of Heating Solutions for Rural Residences in China. Sustainability, 14(9), 5117. https://doi.org/10.3390/su14095117

