Seasonal Variations and Influencing Factors of Gross Nitrification Rate in Desert Steppe Soil
Abstract
:1. Introduction
2. Materials and Methods
2.1. General Description of Study Sites
2.2. Experimental Design
2.3. Soil Sampling
2.4. Measurement of Soil Characteristics
2.5. Statistical Analysis
3. Results
3.1. Temporal Variation of Soil Temperature, Moisture and Bulk Density in the Desert Steppe
3.2. Seasonal Changes of Gross Nitrification Rate in Desert Steppe Soil
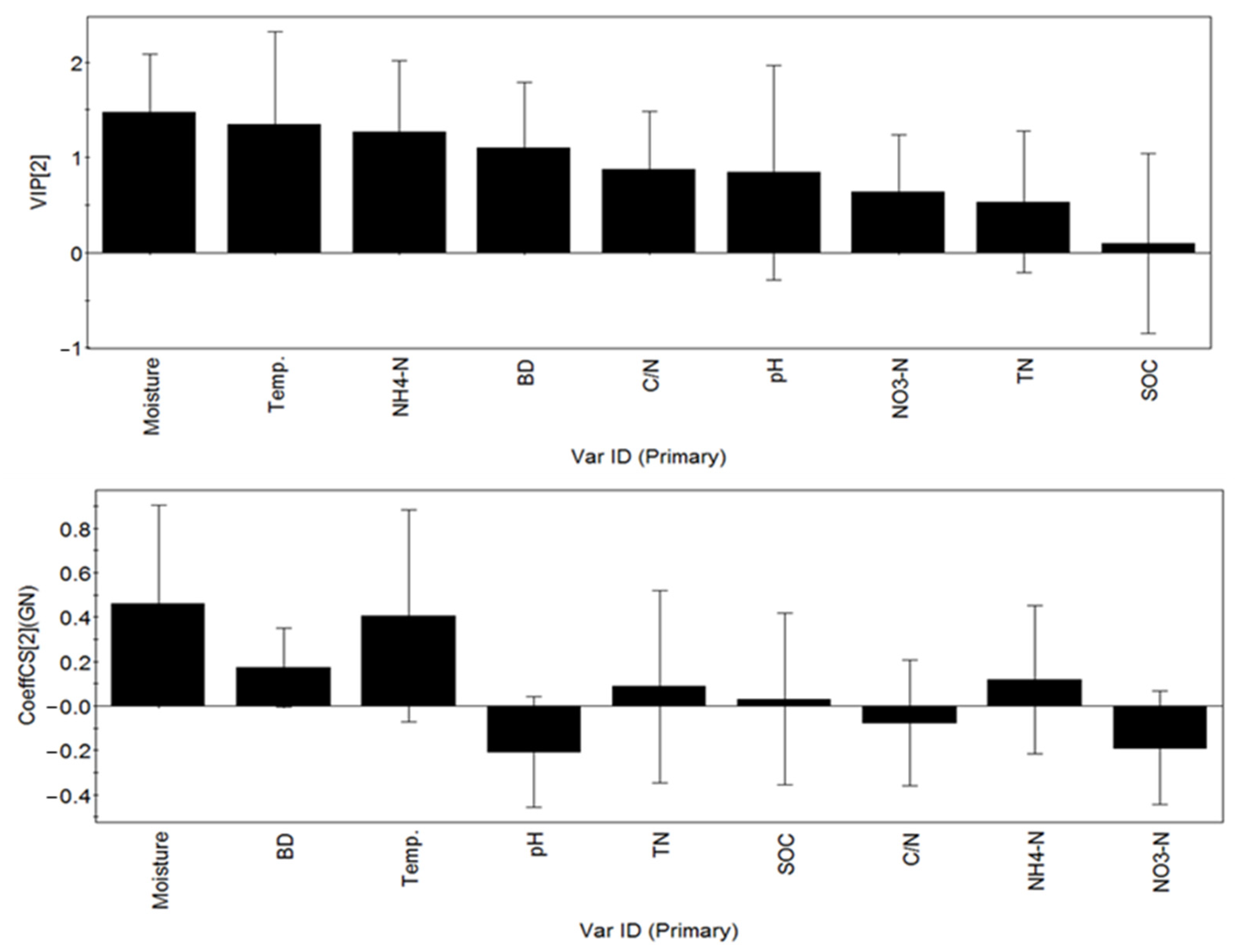
3.3. Partial Least Squares Regression of Factors Affecting the Gross Nitrification Rate of Desert Steppe Soil
4. Discussion
4.1. Seasonal Dynamics of Gross Nitrification Rate in Desert Steppe Soil
4.2. Influencing Factors of Gross Nitrification Rate in Desert Steppe Soil
5. Conclusions
Author Contributions
Funding
Institutional Review Board Statement
Informed Consent Statement
Data Availability Statement
Acknowledgments
Conflicts of Interest
References
- Yahdjian, L.; Gherardi, L.; Sala, O.E. Nitrogen limitation in arid-subhumid ecosystems: A meta-analysis of fertilization studies. J. Arid Environ. 2011, 75, 675–680. [Google Scholar] [CrossRef]
- Beeckman, F.; Motte, H.; Beeckman, T. Nitrification in agricultural soils: Impact, actors and mitigation. Curr. Opin. Biotechnol. 2018, 50, 166–173. [Google Scholar] [CrossRef] [PubMed]
- Barnard, R.; Leadley, P.W.; Hungate, B.A. Global change, nitrification, and denitrification: A review. Glob. Biogeochem. Cycles 2005, 19, 1–13. [Google Scholar] [CrossRef]
- Zaman, M.; Chang, S.X. Substrate type, temperature, and moisture content affect gross and net N mineralization and nitrification rates in agroforestry systems. Biol. Fertil. Soils 2004, 39, 269–279. [Google Scholar] [CrossRef]
- Xu, W.; Cai, Y.P.; Yang, Z.F.; Yin, X.A.; Tan, Q. Microbial nitrification, denitrification and respiration in the leached cinnamon soil of the upper basin of Miyun Reservoir. Sci. Rep. 2017, 7, 42032. [Google Scholar] [CrossRef]
- Fu, W.; Wang, X.; Wei, X. No response of soil N mineralization to experimental warming in a northern middle-high latitude agro-ecosystem. Sci. Total Environ. 2019, 659, 240–248. [Google Scholar] [CrossRef]
- Liu, Y.; He, N.; Wen, X.; Xu, L.; Sun, X.; Yu, G.; Liang, L.; Schipper, L.A. The optimum temperature of soil microbial respiration: Patterns and controls. Soil Biol. Biochem. 2018, 121, 35–42. [Google Scholar] [CrossRef]
- Di, H.J.; Cameron, K.C.; McLaren, R.G. Isotopic dilution methods to determine the gross transformation rates of nitrogen, phosphorus, and sulfur in soil: A review of the theory, methodologies, and limitations. Aust. J. Soil Res. 2000, 38, 213–230. [Google Scholar] [CrossRef]
- Liang, Y.; Gao, Y.; Wang, R.; Yang, X. Fungal community characteristics and driving factors during the decaying process of Salix psammophila sand barriers in the desert. PLoS ONE 2021, 16, e0258159. [Google Scholar] [CrossRef]
- Dijkstra, F.A.; Carrillo, Y.; Blumenthal, D.M.; Mueller, K.E.; LeCain, D.R.; Morgan, J.A.; Zelikova, T.J.; Williams, D.G.; Follett, R.F.; Pendall, E. Elevated CO2 and water addition enhance nitrogen turnover in grassland plants with implications for temporal stability. Ecol. Lett. 2018, 21, 674–682. [Google Scholar] [CrossRef]
- Knapp, A.K.; Ciais, P.; Smith, M.D. Reconciling inconsistencies in precipitation–productivity relationships: Implications for climate change. New Phytol. 2017, 214, 41–47. [Google Scholar] [CrossRef] [PubMed] [Green Version]
- Wang, C.; Wang, N.; Zhu, J.; Liu, Y.; Xu, X.; Niu, S.; Yu, G.; Han, X.; He, N. Soil gross N ammonification and nitrification from tropical to temperate forests in eastern China. Funct. Ecol. 2018, 32, 83–94. [Google Scholar] [CrossRef] [Green Version]
- Liu, Y.; Sun, Q.; Li, J.; Lian, B. Bacterial diversity among the fruit bodies of ectomycorrhizal and saprophytic fungi and their corresponding hyphosphere soils. Sci. Rep. 2018, 8, 11672. [Google Scholar] [CrossRef] [PubMed] [Green Version]
- Conidi, C.; Macedonio, F.; Ali, A.; Cassano, A.; Criscuoli, A.; Argurio, P.; Drioli, E. Treatment of flue gas desulfurization wastewater by an integrated membrane-based process for approaching zero liquid discharge. Membranes 2018, 8, 117. [Google Scholar] [CrossRef] [Green Version]
- Ingwersen, J.; Butterbach-Bahl, K.; Gasche, R.; Richter, O.; Papen, H. Barometric Process Separation: New Method for Quantifying Nitrification, Denitrification, and Nitrous Oxide Sources in Soils. Soil Sci. Soc. Am. J. 1999, 63, 117–128. [Google Scholar] [CrossRef]
- Lu, X.; Yan, Y.; Fan, J.; Wang, X. Gross nitrification and denitrification in alpine grassland ecosystems on the tibetan plateau. Arctic, Antarct. Alp. Res. 2012, 44, 188–196. [Google Scholar] [CrossRef]
- Müller, C.; Abbasi, M.K.; Kammann, C.; Clough, T.J.; Sherlock, R.R.; Stevens, R.J.; Jäger, H.-J. Soil Respiratory Quotient Determined via Barometric Process Separation Combined with Nitrogen-15 Labeling. Soil Sci. Soc. Am. J. 2004, 68, 1610–1615. [Google Scholar] [CrossRef] [Green Version]
- Stange, C.F.; Neue, H.U. Measuring and modelling seasonal variation of gross nitrification rates in response to long-term fertilisation. Biogeosciences 2009, 6, 2181–2192. [Google Scholar] [CrossRef] [Green Version]
- Master, Y.; Laughlin, R.J.; Stevens, R.J.; Shaviv, A. Nitrite Formation and Nitrous Oxide Emissions as Affected by Reclaimed Effluent Application. J. Environ. Qual. 2004, 33, 852. [Google Scholar] [CrossRef]
- Han, M.Q.; Pan, Z.L.; Jin, Y.X.; Qin, J.; Li, J.W.; Wang, Z.W.; Han, G. Response of soil nitrogen mineralization to different stocking rates on the Stipa breviflora desert steppe. Acta Prataculturae Sin. 2017, 26, 27–35. [Google Scholar]
- Xu, L.; Xu, X.; Tang, X.; Xin, X.; Ye, L.; Yang, G.; Tang, H.; Lv, S.; Xu, D.; Zhang, Z. Managed grassland alters soil N dynamics and N2O emissions in temperate steppe. J. Environ. Sci. 2018, 66, 20–30. [Google Scholar] [CrossRef] [PubMed]
- Kiese, R.; Hewett, B.; Butterbach-Bahl, K. Seasonal dynamic of gross nitrification and N2O emission at two tropical rainforest sites in Queensland, Australia. Plant Soil 2008, 309, 105–117. [Google Scholar] [CrossRef]
- Mathieu, O.; Hénault, C.; Lévêque, J.; Baujard, E.; Milloux, M.J.; Andreux, F. Quantifying the contribution of nitrification and denitrification to the nitrous oxide flux using 15N tracers. Environ. Pollut. 2006, 144, 933–940. [Google Scholar] [CrossRef] [PubMed]
- Ouyang, Y.; Norton, J.M.; Stark, J.M. Ammonium availability and temperature control contributions of ammonia oxidizing bacteria and archaea to nitrification in an agricultural soil. Soil Biol. Biochem. 2017, 113, 161–172. [Google Scholar] [CrossRef]
- Taylor, A.E.; Giguere, A.T.; Zoebelein, C.M.; Myrold, D.D.; Bottomley, P.J. Modeling of soil nitrification responses to temperature reveals thermodynamic differences between ammonia-oxidizing activity of archaea and bacteria. ISME J. 2017, 11, 896–908. [Google Scholar] [CrossRef] [PubMed]
- Duan, P.; Wu, Z.; Zhang, Q.; Fan, C.; Xiong, Z. Thermodynamic responses of ammonia-oxidizing archaea and bacteria explain N2O production from greenhouse vegetable soils. Soil Biol. Biochem. 2018, 120, 37–47. [Google Scholar] [CrossRef]
- Liu, R.; Suter, H.; He, J.; Hayden, H.; Chen, D. Influence of temperature and moisture on the relative contributions of heterotrophic and autotrophic nitrification to gross nitrification in an acid cropping soil. J. Soils Sediments 2015, 15, 2304–2309. [Google Scholar] [CrossRef]
- Li, Z.; Zeng, Z.; Tian, D.; Wang, J.; Fu, Z.; Zhang, F.; Zhang, R.; Chen, W.; Luo, Y.; Niu, S. Global Patterns and Controlling Factors of Soil Nitrification Rate; Wiley: Hoboken, NJ, USA, 2020; Volume 26, ISBN 0000000223942. [Google Scholar]
- Beule, L.; Corre, M.D.; Schmidt, M.; Göbel, L.; Veldkamp, E.; Karlovsky, P. Conversion of monoculture cropland and open grassland to agroforestry alters the abundance of soil bacteria, fungi and soil-N-cycling genes. PLoS ONE 2019, 14, e0218779. [Google Scholar] [CrossRef]
- Pan, H. Study on the Microbial Driving Mechanism of Nitrogen Transformation in Inner Mongolia Typical Steppe. Ph.D. Thesis, Zhejiang University, Hangzhou, China, 2018. [Google Scholar]
- Mora, J.L.; Lázaro, R. Seasonal changes in bulk density under semiarid patchy vegetation: The soil beats. Geoderma 2014, 235–236, 30–38. [Google Scholar] [CrossRef]
- Omer, M.; Idowu, O.J.; Ulery, A.L.; VanLeeuwen, D.; Guldan, S.J. Seasonal changes of soil quality indicators in selected arid cropping systems. Agriculture 2018, 8, 124. [Google Scholar] [CrossRef] [Green Version]
- Ying, J.; Li, X.; Wang, N.; Lan, Z.; He, J.; Bai, Y. Contrasting effects of nitrogen forms and soil pH on ammonia oxidizing microorganisms and their responses to long-term nitrogen fertilization in a typical steppe ecosystem. Soil Biol. Biochem. 2017, 107, 10–18. [Google Scholar] [CrossRef]
- Ou, Y.; Rousseau, A.N.; Wang, L.; Yan, B. Spatio-temporal patterns of soil organic carbon and pH in relation to environmental factors—A case study of the Black Soil Region of Northeastern China. Agric. Ecosyst. Environ. 2017, 245, 22–31. [Google Scholar] [CrossRef]





| Soil | Soil Organic C | Total N | Total P | Total K |
|---|---|---|---|---|
| pH | (g kg−1) | (g kg−1) | (g kg−1) | (g kg−1) |
| 7.76 ± 0.02 | 14.98 ± 0.20 | 1.71 ± 0.03 | 0.39 ± 0.07 | 17.23 ± 1.19 |
Publisher’s Note: MDPI stays neutral with regard to jurisdictional claims in published maps and institutional affiliations. |
© 2022 by the authors. Licensee MDPI, Basel, Switzerland. This article is an open access article distributed under the terms and conditions of the Creative Commons Attribution (CC BY) license (https://creativecommons.org/licenses/by/4.0/).
Share and Cite
Qiu, X.; Hou, J.; Guo, N.; Wang, Z.; Wang, C. Seasonal Variations and Influencing Factors of Gross Nitrification Rate in Desert Steppe Soil. Sustainability 2022, 14, 4787. https://doi.org/10.3390/su14084787
Qiu X, Hou J, Guo N, Wang Z, Wang C. Seasonal Variations and Influencing Factors of Gross Nitrification Rate in Desert Steppe Soil. Sustainability. 2022; 14(8):4787. https://doi.org/10.3390/su14084787
Chicago/Turabian StyleQiu, Xiao, Jia Hou, Na Guo, Zhanyi Wang, and Chengjie Wang. 2022. "Seasonal Variations and Influencing Factors of Gross Nitrification Rate in Desert Steppe Soil" Sustainability 14, no. 8: 4787. https://doi.org/10.3390/su14084787
APA StyleQiu, X., Hou, J., Guo, N., Wang, Z., & Wang, C. (2022). Seasonal Variations and Influencing Factors of Gross Nitrification Rate in Desert Steppe Soil. Sustainability, 14(8), 4787. https://doi.org/10.3390/su14084787

