On the Physical and Mechanical Responses of Egyptian Granodiorite after High-Temperature Treatments
Abstract
:1. Introduction
2. Egyptian Granodiorite Rock
3. Methods
3.1. Heat Treatment Process
3.2. Mass, Volume, and Density Determination
3.3. UPV Measurements
3.4. Mechanical Tests
3.5. XRD and SEM Investigations
4. Results and Analysis
4.1. Thermal Loss of Granodiorite
4.2. Temperature Effects on Mass, Volume, and Density
4.3. Ultrasonic Velocity
4.4. Temperature Effects on Mechanical Properties
4.4.1. Uniaxial Compressive Strength (UCS)
4.4.2. Elastic Modulus (E)
4.4.3. Stress–Strain Curves
4.4.4. Failure Modes
4.5. Microstructural Evaluation
5. Discussion
5.1. Physical Responses as a Function of Temperature
5.2. Mechanical Properties as a Function of Temperature
5.3. Thermal Damage Evolution
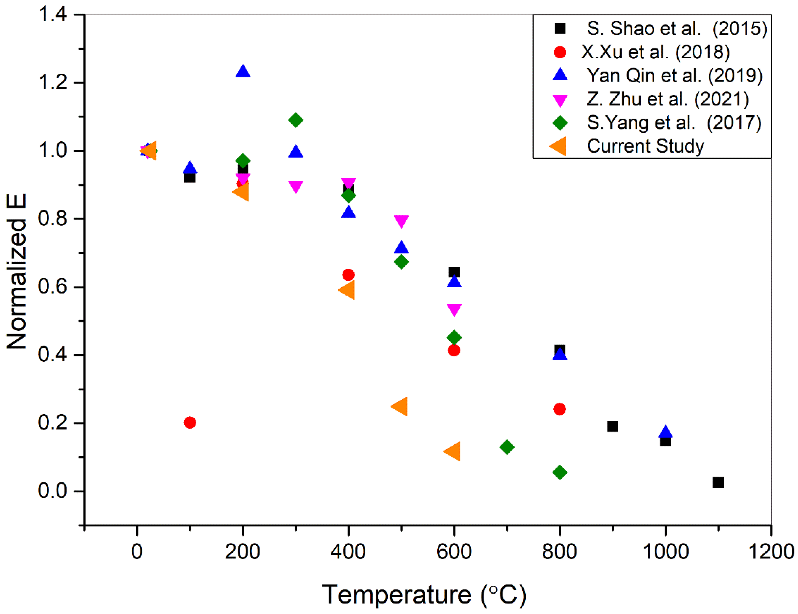
5.4. In Comparison to Earlier Investigations
6. Conclusions
7. Recommendation
Author Contributions
Funding
Data Availability Statement
Acknowledgments
Conflicts of Interest
References
- Allison, R.J.; Bristow, G.E. The effects of fire on rock weathering: Some further considerations of laboratory experimental simulation. Earth Surf. Process. Landf. J. Br. Geomorphol. Res. Gr. 1999, 24, 707–713. [Google Scholar] [CrossRef]
- Zhu, C.; Arson, C. A thermo-mechanical damage model for rock stiffness during anisotropic crack opening and closure. Acta Geotech. 2014, 9, 847–867. [Google Scholar] [CrossRef]
- Zhao, Y.S.; Wan, Z.J.; Feng, Z.J.; Xu, Z.H.; Liang, W.G. Evolution of mechanical properties of granite at high temperature and high pressure. Geomech. Geophys. Geo-Energy Geo-Resour. 2017, 3, 199–210. [Google Scholar] [CrossRef]
- Shao, S.; Ranjith, P.G.; Wasantha, P.L.P.; Chen, B.K. Experimental and numerical studies on the mechanical behaviour of Australian Strathbogie granite at high temperatures: An application to geothermal energy. Geothermics 2015, 54, 96–108. [Google Scholar] [CrossRef]
- Kumari, W.G.P.; Ranjith, P.G.; Perera, M.S.A.; Chen, B.K.; Abdulagatov, I.M. Temperature-dependent mechanical behaviour of Australian Strathbogie granite with different cooling treatments. Eng. Geol. 2017, 229, 31–44. [Google Scholar] [CrossRef]
- Ding, Q.L.; Ju, F.; Mao, X.B.; Ma, D.; Yu, B.Y.; Song, S.B. Experimental Investigation of the Mechanical Behavior in Unloading Conditions of Sandstone after High-Temperature Treatment. Rock Mech. Rock Eng. 2016, 49, 2641–2653. [Google Scholar] [CrossRef]
- Burton, E.A.; Upadhye, R.; Friedmann, S.J. Best Practices in Underground Coal Gasification; Lawrence Livermore National Lab. (LLNL): Livermore, CA, USA, 2017.
- Verma, A.K.; Gautam, P.; Singh, T.N.; Bajpai, R.K. Discrete element modelling of conceptual deep geological repository for high-level nuclear waste disposal. Arab. J. Geosci. 2015, 8, 8027–8038. [Google Scholar] [CrossRef]
- Kourkoulis, S.K. Fracture and Failure of Natural Building Stones: Applications in the Restoration of Ancient Monuments; Springer Science & Business Media: Berlin/Heidelberg, Germany, 2007; ISBN 1402050771. [Google Scholar]
- Zhang, L.; Mao, X.; Lu, A. Experimental study on the mechanical properties of rocks at high temperature. Sci. China Ser. E Technol. Sci. 2009, 52, 641–646. [Google Scholar] [CrossRef]
- Jansen, D.P.; Carlson, S.R.; Young, R.P.; Hutchins, D.A. Ultrasonic imaging and acoustic emission monitoring of thermally induced microcracks in Lac du Bonnet granite. J. Geophys. Res. Solid Earth 1993, 98, 22231–22243. [Google Scholar] [CrossRef]
- Somerton, W.H. Thermal Properties and Temperature-Related Behavior of Rock/Fluid Systems; Elsevier: Amsterdam, The Netherlands, 1992; ISBN 0444890017. [Google Scholar]
- Li, Q.; Yin, T.; Li, X.; Shu, R. Experimental and Numerical Investigation on Thermal Damage of Granite Subjected to Heating and Cooling. Mathematics 2021, 9, 3027. [Google Scholar] [CrossRef]
- Vazquez, P.; Benavente, D.; Montiel, D.; Gomez-Heras, M. Mineralogical Transformations in Granitoids during Heating at Fire-Related Temperatures. Appl. Sci. 2021, 12, 188. [Google Scholar] [CrossRef]
- Saksala, T. 3D Numerical Prediction of Thermal Weakening of Granite under Tension. Geosciences 2021, 12, 10. [Google Scholar] [CrossRef]
- Tripathi, A.; Gupta, N.; Singh, A.K.; Mohanty, S.P.; Rai, N.; Pain, A. Effects of Elevated Temperatures on the Microstructural, Physico-Mechanical and Elastic Properties of Barakar Sandstone: A Study from One of the World’s Largest Underground Coalmine Fire Region, Jharia, India. Rock Mech. Rock Eng. 2021, 54, 1293–1314. [Google Scholar] [CrossRef]
- Chakrabarti, B.; Yates, T.; Lewry, A. Effect of fire damage on natural stonework in buildings. Constr. Build. Mater. 1996, 10, 539–544. [Google Scholar] [CrossRef]
- Hajpál, M. Changes in sandstones of historical monuments exposed to fire or high temperature. Fire Technol. 2002, 38, 373–382. [Google Scholar] [CrossRef]
- Tian, H.; Kempka, T.; Yu, S.; Ziegler, M. Mechanical properties of sandstones exposed to high temperature. Rock Mech. Rock Eng. 2016, 49, 321–327. [Google Scholar] [CrossRef]
- Vazquez, P.; Acuña, M.; Benavente, D.; Gibeaux, S.; Navarro, I.; Gomez-Heras, M. Evolution of surface properties of ornamental granitoids exposed to high temperatures. Constr. Build. Mater. 2016, 104, 263–275. [Google Scholar] [CrossRef]
- Wong, T.-F. Effects of temperature and pressure on failure and post-failure behavior of Westerly granite. Mech. Mater. 1982, 1, 3–17. [Google Scholar] [CrossRef]
- Chaki, S.; Takarli, M.; Agbodjan, W.P. Influence of thermal damage on physical properties of a granite rock: Porosity, permeability and ultrasonic wave evolutions. Constr. Build. Mater. 2008, 22, 1456–1461. [Google Scholar] [CrossRef]
- Liu, S.; Xu, J. Mechanical properties of Qinling biotite granite after high temperature treatment. Int. J. Rock Mech. Min. Sci. 2014, 71, 188–193. [Google Scholar] [CrossRef]
- Yang, S.-Q.; Ranjith, P.G.; Jing, H.-W.; Tian, W.-L.; Ju, Y. An experimental investigation on thermal damage and failure mechanical behavior of granite after exposure to different high temperature treatments. Geothermics 2017, 65, 180–197. [Google Scholar] [CrossRef]
- Chandrasekharam, D.; Pabasara Kumari, W.G.; Avanthi Isaka, B.L.; Gamage, R.P.; Rathnaweera, T.D.; Anne Perera, M.S. An influence of thermally-induced micro-cracking under cooling treatments: Mechanical characteristics of Australian granite. Energies 2018, 11, 1338. [Google Scholar] [CrossRef] [Green Version]
- Kant, M.A.; Ammann, J.; Rossi, E.; Madonna, C.; Höser, D.; Rudolf von Rohr, P. Thermal properties of Central Aare granite for temperatures up to 500 C: Irreversible changes due to thermal crack formation. Geophys. Res. Lett. 2017, 44, 771–776. [Google Scholar] [CrossRef]
- Liu, S.; Xu, J. Study on dynamic characteristics of marble under impact loading and high temperature. Int. J. Rock Mech. Min. Sci. 2013, 62, 51–58. [Google Scholar] [CrossRef]
- Peng, J.; Rong, G.; Cai, M.; Yao, M.-D.; Zhou, C.-B. Physical and mechanical behaviors of a thermal-damaged coarse marble under uniaxial compression. Eng. Geol. 2016, 200, 88–93. [Google Scholar] [CrossRef]
- Vagnon, F.; Colombero, C.; Colombo, F.; Comina, C.; Ferrero, A.M.; Mandrone, G.; Vinciguerra, S.C. Effects of thermal treatment on physical and mechanical properties of Valdieri Marble—NW Italy. Int. J. Rock Mech. Min. Sci. 2019, 116, 75–86. [Google Scholar] [CrossRef]
- Sirdesai, N.N.; Mahanta, B.; Ranjith, P.G.; Singh, T.N. Effects of thermal treatment on physico-morphological properties of Indian fine-grained sandstone. Bull. Eng. Geol. Environ. 2019, 78, 883–897. [Google Scholar] [CrossRef]
- Zhang, W.; Sun, Q.; Zhu, Y.; Guo, W. Experimental study on response characteristics of micro–macroscopic performance of red sandstone after high-temperature treatment. J. Therm. Anal. Calorim. 2019, 136, 1935–1945. [Google Scholar] [CrossRef]
- Mohamadi, M.; Wan, R.G. Strength and post-peak response of Colorado shale at high pressure and temperature. Int. J. Rock Mech. Min. Sci. 2016, 84, 34–46. [Google Scholar] [CrossRef]
- Liang, W.G.; Xu, S.G.; Zhao, Y.S. Experimental study of temperature effects on physical and mechanical characteristics of salt rock. Rock Mech. Rock Eng. 2006, 39, 469–482. [Google Scholar] [CrossRef]
- Killc, Ö. The influence of high temperatures on limestone P-wave velocity and Schmidt hammer strength. Int. J. Rock Mech. Min. Sci. 2006, 43, 980–986. [Google Scholar] [CrossRef]
- Zhang, W.; Sun, Q.; Zhu, S.; Wang, B. Experimental study on mechanical and porous characteristics of limestone affected by high temperature. Appl. Therm. Eng. 2017, 110, 356–362. [Google Scholar] [CrossRef]
- Luo, J.; Wang, L. High-temperature mechanical properties of mudstone in the process of underground coal gasification. Rock Mech. Rock Eng. 2011, 44, 749–754. [Google Scholar] [CrossRef]
- Zhang, L.; Mao, X.; Liu, R.; Li, Y.; Yin, H. Meso-structure and fracture mechanism of mudstone at high temperature. Int. J. Min. Sci. Technol. 2014, 24, 433–439. [Google Scholar] [CrossRef]
- Liu, X.; Zhang, C.; Yuan, S.; Fityus, S.; Sloan, S.W.; Buzzi, O. Effect of High Temperature on Mineralogy, Microstructure, Shear Stiffness and Tensile Strength of Two Australian Mudstones. Rock Mech. Rock Eng. 2016, 49, 3513–3524. [Google Scholar] [CrossRef]
- Huang, Y.-H.; Yang, S.-Q.; Tian, W.-L.; Zhao, J.; Ma, D.; Zhang, C.-S. Physical and mechanical behavior of granite containing pre-existing holes after high temperature treatment. Arch. Civ. Mech. Eng. 2017, 17, 912–925. [Google Scholar] [CrossRef]
- Ohno, I.; Harada, K.; Yoshitomi, C. Temperature variation of elastic constants of quartz across the α-β transition. Phys. Chem. Miner. 2006, 33, 1–9. [Google Scholar] [CrossRef]
- Sippel, J.; Siegesmund, S.; Weiss, T.; Nitsch, K.-H.; Korzen, M. Decay of natural stones caused by fire damage. Geol. Soc. Lond. Spec. Publ. 2007, 271, 139–151. [Google Scholar] [CrossRef]
- Keshavarz, M.; Pellet, F.L.; Loret, B. Damage and changes in mechanical properties of a gabbro thermally loaded up to 1000 °C. Pure Appl. Geophys. 2010, 167, 1511–1523. [Google Scholar] [CrossRef]
- Inserra, C.; Biwa, S.; Chen, Y. Influence of thermal damage on linear and nonlinear acoustic properties of granite. Int. J. Rock Mech. Min. Sci. 2013, 62, 96–104. [Google Scholar] [CrossRef]
- Sha, S.; Rong, G.; Peng, J.; Li, B.; Wu, Z. Effect of open-fire-induced damage on Brazilian tensile strength and microstructure of granite. Rock Mech. Rock Eng. 2019, 52, 4189–4202. [Google Scholar] [CrossRef]
- Abbaszadeh Shahri, A.; Asheghi, R.; Khorsand Zak, M. A hybridized intelligence model to improve the predictability level of strength index parameters of rocks. Neural Comput. Appl. 2021, 33, 3841–3854. [Google Scholar] [CrossRef]
- Teymen, A. Statistical models for estimating the uniaxial compressive strength and elastic modulus of rocks from different hardness test methods. Heliyon 2021, 7, e06891. [Google Scholar] [CrossRef] [PubMed]
- Zhang, Y.; Zhang, X.; Zhao, Y. Process of sandstone thermal cracking. Chin. J. Geophys. 2005, 48, 722–726. [Google Scholar] [CrossRef]
- Freire-Lista, D.M.; Fort, R.; Varas-Muriel, M. Thermal stress-induced microcracking in building granite. Eng. Geol. 2016, 206, 83–93. [Google Scholar] [CrossRef] [Green Version]
- Zhu, Z.; Tian, H.; Mei, G.; Jiang, G.; Dou, B.; Xiao, P. Experimental investigation on mechanical behaviors of Nanan granite after thermal treatment under conventional triaxial compression. Environ. Earth Sci. 2021, 80, 46. [Google Scholar] [CrossRef]
- Ferrero, A.M.; Marini, P. Experimental studies on the mechanical behaviour of two thermal cracked marbles. Rock Mech. Rock Eng. 2001, 34, 57–66. [Google Scholar] [CrossRef]
- Wu, X.; Huang, Z.; Zhang, S.; Cheng, Z.; Li, R.; Song, H.; Wen, H.; Huang, P. Damage Analysis of High-Temperature Rocks Subjected to LN2 Thermal Shock. Rock Mech. Rock Eng. 2019, 52, 2585–2603. [Google Scholar] [CrossRef]
- Zhao, Y.; Wan, Z.; Feng, Z.; Yang, D.; Zhang, Y.; Qu, F. Triaxial compression system for rock testing under high temperature and high pressure. Int. J. Rock Mech. Min. Sci. 2012, 52, 132–138. [Google Scholar] [CrossRef]
- Liu, S.; Xu, J. An experimental study on the physico-mechanical properties of two post-high-temperature rocks. Eng. Geol. 2015, 185, 63–70. [Google Scholar] [CrossRef]
- Tian, H.; Ziegler, M.; Kempka, T. Physical and mechanical behavior of claystone exposed to temperatures up to 1000 °C. Int. J. Rock Mech. Min. Sci. 2014, 70, 144–153. [Google Scholar] [CrossRef]
- Kumari, W.G.P.; Beaumont, D.M.; Ranjith, P.G.; Perera, M.S.A.; Avanthi Isaka, B.L.; Khandelwal, M. An experimental study on tensile characteristics of granite rocks exposed to different high-temperature treatments. Geomech. Geophys. Geo-Energy Geo-Resour. 2019, 5, 47–64. [Google Scholar] [CrossRef]
- Chen, Y.L.; Ni, J.; Shao, W.; Azzam, R. Experimental study on the influence of temperature on the mechanical properties of granite under uni-axial compression and fatigue loading. Int. J. Rock Mech. Min. Sci. 2012, 56, 62–66. [Google Scholar] [CrossRef]
- El-Taher, A.; Uosif, M.A.M.; Orabi, A.A. Natural radioactivity levels and radiation hazard indices in granite from Aswan to Wadi El-Allaqi southeastern desert, Egypt. Radiat. Prot. Dosim. 2007, 124, 148–154. [Google Scholar] [CrossRef] [PubMed]
- Rock, A.C.D. Standard Test Method for Compressive Strength and Elastic Moduli of Intact Rock Core Specimens under Varying States of Stress and Temperatures; ASTM International: West Conshohocken, PA, USA, 2010. [Google Scholar]
- Kim, K.M.; Kemeny, J. Effect of thermal shock and rapid unloading on mechanical rock properties. In Proceedings of the 43rd US Rock Mechanics Symposium & 4th US, Canada Rock Mechanics Symposium, Asheville, NC, USA, 28 June–1 July 2009. [Google Scholar]
- Gomah, M.E.; Li, G.; Bader, S.; Elkarmoty, M.; Ismael, M. Damage Evolution of Granodiorite after Heating and Cooling Treatments. Minerals 2021, 11, 779. [Google Scholar] [CrossRef]
- Zhang, W.; Sun, Q.; Hao, S.; Geng, J.; Lv, C. Experimental study on the variation of physical and mechanical properties of rock after high temperature treatment. Appl. Therm. Eng. 2016, 98, 1297–1304. [Google Scholar] [CrossRef]
- Zhang, J.; Shen, Y.; Yang, G.; Zhang, H.; Wang, Y.; Hou, X.; Sun, Q.; Li, G. Inconsistency of changes in uniaxial compressive strength and P-wave velocity of sandstone after temperature treatments. J. Rock Mech. Geotech. Eng. 2021, 13, 143–153. [Google Scholar] [CrossRef]
- Gautam, P.K.; Verma, A.K.; Jha, M.K.; Sharma, P.; Singh, T.N. Effect of high temperature on physical and mechanical properties of Jalore granite. J. Appl. Geophys. 2018, 159, 460–474. [Google Scholar] [CrossRef]
- Cai, C.; Li, G.; Huang, Z.; Tian, S.; Shen, Z.; Fu, X. Experiment of coal damage due to super-cooling with liquid nitrogen. J. Nat. Gas Sci. Eng. 2015, 22, 42–48. [Google Scholar] [CrossRef]
- Homand-Etienne, F.; Houpert, R. Thermally induced microcracking in granites: Characterization and analysis. In International Journal of Rock Mechanics and Mining Sciences & Geomechanics Abstracts; Elsevier: Amsterdam, The Netherlands, 1989; Volume 26, pp. 125–134. [Google Scholar]
- Abbaszadeh Shahri, A.; Larsson, S.; Johansson, F. Updated relations for the uniaxial compressive strength of marlstones based on P-wave velocity and point load index test. Innov. Infrastruct. Solut. 2016, 1, 17. [Google Scholar] [CrossRef] [Green Version]
- Hale, P.A.; Shakoor, A. A laboratory investigation of the effects of cyclic heating and cooling, wetting and drying, and freezing and thawing on the compressive strength of selected sandstones. Environ. Eng. Geosci. 2003, 9, 117–130. [Google Scholar] [CrossRef]
- Vázquez, P.; Shushakova, V.; Gómez-Heras, M. Influence of mineralogy on granite decay induced by temperature increase: Experimental observations and stress simulation. Eng. Geol. 2015, 189, 58–67. [Google Scholar] [CrossRef]
- Zhang, B.; Tian, H.; Dou, B.; Zheng, J.; Chen, J.; Zhu, Z.; Liu, H. Macroscopic and microscopic experimental research on granite properties after high-temperature and water-cooling cycles. Geothermics 2021, 93, 102079. [Google Scholar] [CrossRef]
- Hajpál, M.; Török, Á. Mineralogical and colour changes of quartz sandstones by heat. Environ. Geol. 2004, 46, 311–322. [Google Scholar] [CrossRef]
- Singh, B.; Ranjith, P.G.; Chandrasekharam, D.; Viete, D.; Singh, H.K.; Lashin, A.; Al Arifi, N. Thermo-mechanical properties of Bundelkhand granite near Jhansi, India. Geomech. Geophys. Geo-Energy Geo-Resour. 2015, 1, 35–53. [Google Scholar] [CrossRef] [Green Version]
- Pavese, A.; Curetti, N.; Diella, V.; Levy, D.; Dapiaggi, M.; Russo, U. P-V and T-V Equations of State of natural biotite: An in-situ high-pressure and high-temperature powder diffraction study, combined with Mössbauer spectroscopy. Am. Mineral. 2007, 92, 1158–1164. [Google Scholar] [CrossRef]
- Zhu, Z.; Kempka, T.; Ranjith, P.G.; Tian, H.; Jiang, G.; Dou, B.; Mei, G. Changes in thermomechanical properties due to air and water cooling of hot dry granite rocks under unconfined compression. Renew. Energy 2021, 170, 562–573. [Google Scholar] [CrossRef]
- Asheghi, R.; Hosseini, S.A.; Saneie, M.; Shahri, A.A. Updating the neural network sediment load models using different sensitivity analysis methods: A regional application. J. Hydroinform. 2020, 22, 562–577. [Google Scholar] [CrossRef] [Green Version]













| Temperature (°C) | ηm (%) | ηV (%) | ηp (%) | Vp (m/s) | Vp (%) | D. F (Vp) (%) |
|---|---|---|---|---|---|---|
| 25 | 0 | 0 | 0 | 5620 | 0 | 0 |
| 5645 | ||||||
| 5518 | ||||||
| 5634 | ||||||
| 5593 | ||||||
| 200 | 0.10 | 0.69 | 0.75 | 4415 | 22.55 | 0.40 |
| 0.10 | 1.23 | 1.30 | 4420 | 20.73 | 0.37 | |
| 0.06 | 0.37 | 0.46 | 4461 | 19.33 | 0.35 | |
| 0.09 | 0.61 | 0.69 | 4519 | 20.74 | 0.37 | |
| 400 | 0.13 | 1.58 | 1.68 | 3404 | 38.59 | 0.62 |
| 0.13 | 1.57 | 1.67 | 3480 | 38.51 | 0.62 | |
| 0.15 | 1.61 | 1.72 | 3231 | 42.74 | 0.67 | |
| 0.14 | 1.73 | 1.85 | 3243 | 41.35 | 0.66 | |
| 600 | 0.25 | 4.64 | 4.79 | 840 | 85.24 | 0.98 |
| 0.31 | 6.12 | 6.01 | 888 | 84.60 | 0.98 | |
| 0.38 | 4.76 | 4.84 | 783 | 86.44 | 0.98 | |
| 0.28 | 4.51 | 4.58 | 795 | 86.26 | 0.98 | |
| 800 | 0.50 | 18.49 | 16.03 | … | … | 1.00 |
| 0.77 | 17.81 | 15.77 | … | … | 1.00 | |
| 0.64 | 18.97 | 16.49 | … | … | 1.00 |
| Temperature (°C) | Peak Strength (MPa) | Av. (USC) (MPa) | Elastic Modulus (GPa) | Av. (E) (GPa) | Thermal Damage (E) (%) |
|---|---|---|---|---|---|
| 25 | 66.9 | 62.7 | 50.7 | 48.2 | 0.00 |
| 65.9 | 47.8 | ||||
| 59.2 | 48.0 | ||||
| 59.0 | 46.2 | ||||
| 200 | 66.8 | 68.4 | 42.3 | 42.4 | 0.12 |
| 63.5 | 39.7 | ||||
| 75.0 | 45.2 | ||||
| 400 | 71.6 | 72.2 | 25.5 | 28.5 | 0.41 |
| 74.2 | 24.7 | ||||
| 70.8 | 35.3 | ||||
| 500 | 21.48 | 24.9 | 13.70 | 12 | 0.75 |
| 28.39 | 10.30 | ||||
| 600 | 18.4 | 20.1 | 4.10 | 5.63 | 0.88 |
| 23.0 | 9.60 | ||||
| 18.9 | 3.20 | ||||
| 800 | 2.5 | 2.5 | … | … | 1.00 |
| Failed | … | ||||
| 2.6 | … |
Publisher’s Note: MDPI stays neutral with regard to jurisdictional claims in published maps and institutional affiliations. |
© 2022 by the authors. Licensee MDPI, Basel, Switzerland. This article is an open access article distributed under the terms and conditions of the Creative Commons Attribution (CC BY) license (https://creativecommons.org/licenses/by/4.0/).
Share and Cite
Gomah, M.E.; Li, G.; Sun, C.; Xu, J.; Yang, S.; Li, J. On the Physical and Mechanical Responses of Egyptian Granodiorite after High-Temperature Treatments. Sustainability 2022, 14, 4632. https://doi.org/10.3390/su14084632
Gomah ME, Li G, Sun C, Xu J, Yang S, Li J. On the Physical and Mechanical Responses of Egyptian Granodiorite after High-Temperature Treatments. Sustainability. 2022; 14(8):4632. https://doi.org/10.3390/su14084632
Chicago/Turabian StyleGomah, Mohamed Elgharib, Guichen Li, Changlun Sun, Jiahui Xu, Sen Yang, and Jinghua Li. 2022. "On the Physical and Mechanical Responses of Egyptian Granodiorite after High-Temperature Treatments" Sustainability 14, no. 8: 4632. https://doi.org/10.3390/su14084632
APA StyleGomah, M. E., Li, G., Sun, C., Xu, J., Yang, S., & Li, J. (2022). On the Physical and Mechanical Responses of Egyptian Granodiorite after High-Temperature Treatments. Sustainability, 14(8), 4632. https://doi.org/10.3390/su14084632

