Prediction of the Impact of Meteorological Conditions on Air Quality during the 2022 Beijing Winter Olympics
Abstract
:1. Introduction
2. Materials and Methods
2.1. Circulation Pattern Classification
2.2. Climate Prediction Model Data
2.3. Meteorological Data
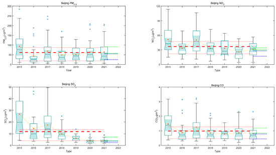
2.4. Air Quality Data
2.5. FLEXPART-WRF Model
3. Results
3.1. Weather Circulation Patterns
3.2. Relationships between Circulation Patterns and Pollutant Concentrations
3.3. FLEXPART-WRF Simulation Results
4. Discussion: Air Quality Forecast during the Winter Olympics
5. Conclusions
Supplementary Materials
Author Contributions
Funding
Institutional Review Board Statement
Informed Consent Statement
Data Availability Statement
Acknowledgments
Conflicts of Interest
References
- Dayan, U.; Levy, I. Relationship between synoptic-scale atmospheric circulation and ozone concentrations over Israel. J. Geophys. Res. Earth Surf. 2002, 107, 4813. [Google Scholar] [CrossRef]
- Santurtún, A.; González-Hidalgo, J.C.; Sanchez-Lorenzo, A.; Zarrabeitia, M.T. Surface ozone concentration trends and its relationship with weather types in Spain (2001–2010). Atmos. Environ. 2015, 101, 10–22. [Google Scholar] [CrossRef]
- Zhou, C.; Wei, G.; Xiang, J.; Zhang, K.; Li, C.; Zhang, J. Effects of synoptic circulation patterns on air quality in Nanjing and its surrounding areas during 2013–2015. Atmos. Pollut. Res. 2018, 9, 723–734. [Google Scholar] [CrossRef]
- Tian, Y.; Jiang, Y.; Liu, Q.; Xu, D.; Zhao, S.; He, L.; Liu, H.; Xu, H. Temporal and spatial trends in air quality in Beijing. Landsc. Urban Plan. 2019, 185, 35–43. [Google Scholar] [CrossRef]
- Wu, L.; Li, N.; Yang, Y. Prediction of air quality indicators for the Beijing-Tianjin-Hebei region. J. Clean. Prod. 2018, 196, 682–687. [Google Scholar] [CrossRef]
- Russo, A.; Sousa, P.; Durão, R.; Ramos, A.; Salvador, P.; Linares, C.; Díaz, J.; Trigo, R. Saharan dust intrusions in the Iberian Peninsula: Predominant synoptic conditions. Sci. Total Environ. 2020, 717, 137041. [Google Scholar] [CrossRef]
- Russo, A.; Trigo, R.; Martins, H.; Mendes, M.T. NO2, PM10 and O3 urban concentrations and its association with circulation weather types in Portugal. Atmos. Environ. 2014, 89, 768–785. [Google Scholar] [CrossRef]
- Zhao, Z.; Xi, H.; Russo, A.; Du, H.; Gong, Y.; Xiang, J.; Zhou, Z.; Zhang, J.; Li, C.; Zhou, C. The Influence of Multi-Scale Atmospheric Circulation on Severe Haze Events in Autumn and Winter in Shanghai, China. Sustainability 2019, 11, 5979. [Google Scholar] [CrossRef] [Green Version]
- Zhou, C.; Wei, G.; Zheng, H.; Russo, A.; Li, C.; Du, H.; Xiang, J. Effects of potential recirculation on air quality in coastal cities in the Yangtze River Delta. Sci. Total Environ. 2019, 651, 12–23. [Google Scholar] [CrossRef]
- Han, Y.; Qi, M.; Chen, Y.; Shen, H.; Liu, J.; Huang, Y.; Chen, H.; Liu, W.; Wang, X.; Liu, J.; et al. Influences of ambient air PM2.5 concentration and meteorological condition on the indoor PM2.5 concentrations in a residential apartment in Beijing using a new approach. Environ. Pollut. 2015, 205, 307–314. [Google Scholar] [CrossRef]
- Ma, T.; Duan, F.; He, K.; Qin, Y.; Tong, D.; Geng, G.; Liu, X.; Li, H.; Yang, S.; Ye, S.; et al. Air pollution characteristics and their relationship with emissions and meteorology in the Yangtze River Delta region during 2014–2016. J. Environ. Sci. 2019, 83, 8–20. [Google Scholar] [CrossRef]
- Miao, Y.; Liu, S.; Guo, J.; Yan, Y.; Huang, S.; Zhang, G.; Zhang, Y.; Lou, M. Impacts of meteorological conditions on wintertime PM2.5 pollution in Taiyuan, North China. Environ. Sci. Pollut. Res. 2018, 25, 21855–21866. [Google Scholar] [CrossRef]
- Pucer, J.F.; Štrumbelj, E. Impact of changes in climate on air pollution in Slovenia between 2002 and 2017. Environ. Pollut. 2018, 242, 398–406. [Google Scholar] [CrossRef]
- Dong, Y.; Li, J.; Guo, J.; Jiang, Z.; Chu, Y.; Chang, L.; Yang, Y.; Liao, H. The impact of synoptic patterns on summertime ozone pollution in the North China Plain. Sci. Total Environ. 2020, 735, 139559. [Google Scholar] [CrossRef]
- Mao, F.; Zang, L.; Wang, Z.; Pan, Z.; Zhu, B.; Gong, W. Dominant synoptic patterns during wintertime and their impacts on aerosol pollution in Central China. Atmos. Res. 2020, 232, 104701. [Google Scholar] [CrossRef]
- Pandey, P.; Kumar, D.; Prakash, A.; Masih, J.; Singh, M.; Kumar, S.; Jain, V.K.; Kumar, K. A study of urban heat island and its association with particulate matter during winter months over Delhi. Sci. Total Environ. 2012, 414, 494–507. [Google Scholar] [CrossRef]
- Bei, N.; Li, G.; Huang, R.J.; Cao, J.; Meng, N.; Feng, T.; Liu, S.; Zhang, T.; Zhang, Q.; Molina, L.T. Typical synoptic situations and their impacts on the wintertime air pollution in the Guanzhong basin, China. Atmos. Chem. Phys. 2016, 16, 7373–7387. [Google Scholar] [CrossRef] [Green Version]
- Brioude, J.; Arnold, D.; Stohl, A.; Cassiani, M.; Morton, D.; Seibert, P.; Angevine, W.; Evan, S.; Dingwell, A.; Fast, J.D.; et al. The Lagrangian particle dispersion model FLEXPART-WRF version 3.1. Geosci. Model Dev. 2013, 6, 1889–1904. [Google Scholar] [CrossRef] [Green Version]
- Hazeleger, W.; Severijns, C.; Semmler, T.; Ştefănescu, S.; Yang, S.; Wang, X.; Wyser, K.; Dutra, E.; Baldasano, J.M.; Bintanja, R.; et al. EC-Earth. Bull. Am. Meteorol. Soc. 2010, 91, 1357–1364. [Google Scholar] [CrossRef] [Green Version]
- Huth, R. Properties of the circulation classification scheme based on the rotated principal component analysis. Meteorol. Atmos. Phys. 1996, 59, 217–233. [Google Scholar] [CrossRef]
- Huth, R.; Beck, C.; Philipp, A.; Demuzere, M.; Ustrnul, Z.; Cahynová, M.; Kyselý, J.; Tveito, O.E. Classifications of Atmospheric Circulation Patterns. Ann. N. Y. Acad. Sci. 2008, 1146, 105–152. [Google Scholar] [CrossRef] [PubMed]
- Philipp, A.; Bartholy, J.; Beck, C.; Erpicum, M.; Esteban, P.; Fettweis, X.; Huth, R.; James, P.; Jourdain, S.; Kreienkamp, F.; et al. Cost733cat—A database of weather and circulation type classifications. Phys. Chem. Earth Parts A/B/C 2010, 35, 360–373. [Google Scholar] [CrossRef]
- Zhang, J.P.; Zhu, T.; Zhang, Q.H.; Li, C.C.; Shu, H.L.; Ying, Y.; Dai, Z.P.; Wang, X.; Liu, X.Y.; Liang, A.M.; et al. The impact of circulation patterns on regional transport pathways and air quality over Beijing and its surroundings. Atmos. Chem. Phys. 2012, 12, 5031–5053. [Google Scholar] [CrossRef] [Green Version]
- Li-Juan, M.; Miao, L.-J.; Jiang, Z.-H.; Wang, G.-J.; Gnyawali, K.R.; Zhang, J.; Zhang, H.; Fang, K.; He, Y.; Li, C. Projected drought conditions in Northwest China with CMIP6 models under combined SSPs and RCPs for 2015–2099. Adv. Clim. Chang. Res. 2020, 11, 210–217. [Google Scholar] [CrossRef]
- You, Q.; Cai, Z.; Wu, F.; Jiang, Z.; Pepin, N.; Shen, S.S.P. Temperature dataset of CMIP6 models over China: Evaluation, trend and uncertainty. Clim. Dyn. 2021, 57, 17–35. [Google Scholar] [CrossRef]
- Balsamo, G.; Beljaars, A.; Scipal, K.; Viterbo, P.; van den Hurk, B.; Hirschi, M.; Betts, A.K. A Revised Hydrology for the ECMWF Model: Verification from Field Site to Terrestrial Water Storage and Impact in the Integrated Forecast System. J. Hydrometeorol. 2009, 10, 623–643. [Google Scholar] [CrossRef]
- Madec, G. NEMO Ocean Engine. Note du Pole de Modelisation; Institut Pierre-Simon Laplace (IPSL): Paris, France, 2008; No 27; ISSN 1288-1619. [Google Scholar] [CrossRef]
- Vancoppenolle, M.; Bouillon, S.; Fichefet, T.; Goosse, H.; Lecomte, O.; Morales Maqueda, M.A.; Madec, G. The Louvain-la-Neuve Sea Ice Model. Notes du pole de modélisation; Institut Pierre-Simon Laplace (IPSL): Paris, France, 2012; p. 31. [Google Scholar]
- Bothe, O.; Jungclaus, J.H.; Zanchettin, D. Consistency of the multi-model CMIP5/PMIP3-past1000 ensemble. Clim. Past 2013, 9, 2471–2487. [Google Scholar] [CrossRef] [Green Version]
- Atwood, A.R.; Wu, E.; Frierson, D.; Battisti, D.S.; Sachs, J.P. Quantifying Climate Forcings and Feedbacks over the Last Millennium in the CMIP5–PMIP3 Models. J. Clim. 2016, 29, 1161–1178. [Google Scholar] [CrossRef]
- Thomson, A.M.; Calvin, K.V.; Smith, S.J.; Kyle, G.P.; Volke, A.; Patel, P.; Delgado-Arias, S.; Bond-Lamberty, B.; Wise, M.A.; Clarke, L.E.; et al. RCP4.5: A pathway for stabilization of radiative forcing by 2100. Clim. Chang. 2011, 109, 77–94. [Google Scholar] [CrossRef] [Green Version]
- Yang, C.; Christensen, H.M.; Corti, S.; von Hardenberg, J.; Davini, P. The impact of stochastic physics on the El Niño Southern Oscillation in the EC-Earth coupled model. Clim. Dyn. 2019, 53, 2843–2859. [Google Scholar] [CrossRef] [Green Version]
- Bilbao, R.; Wild, S.; Ortega, P.; Acosta-Navarro, J.; Arsouze, T.; Bretonnière, P.-A.; Caron, L.-P.; Castrillo, M.; Cruz-García, R.; Cvijanovic, I.; et al. Assessment of a full-field initialized decadal climate prediction system with the CMIP6 version of EC-Earth. Earth Syst. Dyn. 2021, 12, 173–196. [Google Scholar] [CrossRef]
- Zhang, Q.; Berntell, E.; Li, Q.; Ljungqvist, F.C. Understanding the variability of the rainfall dipole in West Africa using the EC-Earth last millennium simulation. Clim. Dyn. 2021, 57, 93–107. [Google Scholar] [CrossRef]
- Hersbach, H.; Bell, B.; Berrisford, P.; Hirahara, S.; Horanyi, A.; Muñoz-Sabater, J.; Nicolas, J.; Peubey, C.; Radu, R.; Schepers, D.; et al. The ERA5 global reanalysis. Q. J. R. Meteorol. Soc. 2020, 146, 1999–2049. [Google Scholar] [CrossRef]
- Zhao, S.; Yu, Y.; Yin, D.; He, J.; Liu, N.; Qu, J.; Xiao, J. Annual and diurnal variations of gaseous and particulate pollutants in 31 provincial capital cities based on in situ air quality monitoring data from China National Environmental Monitoring Center. Environ. Int. 2016, 86, 92–106. [Google Scholar] [CrossRef]
- Cécé, R.; Bernard, D.C.; Brioude, J.; Zahibo, N. Microscale anthropogenic pollution modelling in a small tropical island during weak trade winds: Lagrangian particle dispersion simulations using real nested LES meteorological fields. Atmos. Environ. 2016, 139, 98–112. [Google Scholar] [CrossRef]
- Ghahremaninezhad, R.; Norman, A.-L.; Abbatt, J.P.D.; Levasseur, M.; Thomas, J.L. Biogenic, anthropogenic and sea salt sulfate size-segregated aerosols in the Arctic summer. Atmos. Chem. Phys. 2016, 16, 5191–5202. [Google Scholar] [CrossRef] [Green Version]
- Wentworth, G.R.; Murphy, J.G.; Croft, B.; Martin, R.V.; Pierce, J.R.; Côté, J.-S.; Courchesne, I.; Tremblay, J.; Gagnon, J.; Thomas, J.L.; et al. Ammonia in the summertime Arctic marine boundary layer: Sources, sinks, and implications. Atmos. Chem. Phys. 2016, 16, 1937–1953. [Google Scholar] [CrossRef] [Green Version]
- Ashbaugh, L.L.; Malm, W.C.; Sadeh, W.Z. A residence time probability analysis of sulfur concentrations at grand Canyon National Park. Atmos. Environ. 1985, 19, 1263–1270. [Google Scholar] [CrossRef]
- Brimblecombe, P.; Lai, Y. Diurnal and weekly patterns of primary pollutants in Beijing under COVID-19 restrictions. Faraday Discuss. 2021, 226, 138–148. [Google Scholar] [CrossRef]
- Sulaymon, I.D.; Zhang, Y.; Hopke, P.K.; Hu, J.; Zhang, Y.; Li, L.; Mei, X.; Gong, K.; Shi, Z.; Zhao, B.; et al. Persistent high PM2.5 pollution driven by unfavorable meteorological conditions during the COVID-19 lockdown period in the Beijing-Tianjin-Hebei region, China. Environ. Res. 2021, 198, 111186. [Google Scholar] [CrossRef]
- Liu, J. Strategies and Actions of Beijing 2022 Winter Olympics For Addressing Climate Change. Energy Conserv. Environ. Prot. 2021, 6, 5. (In Chinese) [Google Scholar]
- A Series of Press Conferences for the 2022 Winter Olympic and Paralympic Games—Special Ecological Environment. Environ. Life 2021, 12. (In Chinese). Available online: http://www.scio.gov.cn/xwfbh/xwbfbh/wqfbh/47673/47706/xgfbh47711/Document/1718851/1718851.htm (accessed on 5 April 2022).
- Hua, J.; Zhang, Y.; de Foy, B.; Shang, J.; Schauer, J.J.; Mei, X.; Sulaymon, I.D.; Han, T. Quantitative estimation of meteorological impacts and the COVID-19 lockdown reductions on NO2 and PM2.5 over the Beijing area using Generalized Additive Models (GAM). J. Environ. Manag. 2021, 291, 112676. [Google Scholar] [CrossRef] [PubMed]






| Pollutants | Standard I | Standard II | AQG 2021 |
|---|---|---|---|
| SO2 (µg/m3) | 50 | 150 | 40 |
| NO2 (µg/m3) | 80 | 80 | 25 |
| CO (mg/m3) | 4 | 4 | 4 |
| PM2.5 (µg/m3) | 35 | 75 | 15 |
| Circulation Type | PM2.5 (μg m−3) | NO2 (μg m−3) | SO2 (μg m−3) | CO (mg m−3) | ||||||||
|---|---|---|---|---|---|---|---|---|---|---|---|---|
| Median | Mean | Std Dev | Median | Mean | Std Dev | Median | Mean | Std Dev | Median | Mean | Std Dev | |
| 1 | 45.82 | 110.17 | 94.61 | 46.03 | 51.76 | 25.97 | 5.66 | 17.42 | 19.72 | 0.96 | 1.37 | 0.98 |
| 2 | 15.15 | 31.17 | 32.92 | 22.33 | 27.28 | 17.60 | 5.51 | 8.08 | 7.90 | 0.45 | 0.63 | 0.45 |
| 3 | 41.64 | 68.47 | 45.38 | 44.06 | 47.09 | 14.81 | 6.98 | 12.49 | 12.07 | 0.95 | 1.11 | 0.53 |
| 4 | 68.34 | 87.93 | 61.89 | 41.56 | 47.76 | 24.62 | 12.85 | 20.02 | 18.44 | 1.35 | 1.42 | 0.83 |
| 5 | 65.49 | 76.92 | 58.41 | 53.23 | 50.24 | 23.89 | 11.29 | 15.59 | 14.50 | 1.31 | 1.24 | 0.68 |
| 6 | 38.12 | 63.63 | 44.97 | 36.43 | 32.50 | 10.57 | 10.60 | 8.21 | 3.77 | 0.73 | 0.85 | 0.34 |
| 7 | 122.02 | 113.31 | 43.81 | 42.19 | 41.40 | 11.76 | 8.34 | 8.03 | 3.11 | 1.28 | 1.27 | 0.36 |
| 8 | 32.58 | 46.61 | 64.81 | 25.81 | 31.32 | 25.22 | 6.67 | 12.08 | 18.00 | 0.61 | 0.87 | 0.96 |
| 9 | 55.26 | 65.91 | 55.15 | 32.04 | 35.46 | 18.33 | 7.51 | 10.86 | 10.01 | 0.83 | 1.03 | 0.67 |
Publisher’s Note: MDPI stays neutral with regard to jurisdictional claims in published maps and institutional affiliations. |
© 2022 by the authors. Licensee MDPI, Basel, Switzerland. This article is an open access article distributed under the terms and conditions of the Creative Commons Attribution (CC BY) license (https://creativecommons.org/licenses/by/4.0/).
Share and Cite
Wang, T.; Du, H.; Zhao, Z.; Zhou, Z.; Russo, A.; Xi, H.; Zhang, J.; Zhou, C. Prediction of the Impact of Meteorological Conditions on Air Quality during the 2022 Beijing Winter Olympics. Sustainability 2022, 14, 4574. https://doi.org/10.3390/su14084574
Wang T, Du H, Zhao Z, Zhou Z, Russo A, Xi H, Zhang J, Zhou C. Prediction of the Impact of Meteorological Conditions on Air Quality during the 2022 Beijing Winter Olympics. Sustainability. 2022; 14(8):4574. https://doi.org/10.3390/su14084574
Chicago/Turabian StyleWang, Taihao, Huadong Du, Zezheng Zhao, Zeming Zhou, Ana Russo, Hailing Xi, Jiping Zhang, and Chengjun Zhou. 2022. "Prediction of the Impact of Meteorological Conditions on Air Quality during the 2022 Beijing Winter Olympics" Sustainability 14, no. 8: 4574. https://doi.org/10.3390/su14084574
APA StyleWang, T., Du, H., Zhao, Z., Zhou, Z., Russo, A., Xi, H., Zhang, J., & Zhou, C. (2022). Prediction of the Impact of Meteorological Conditions on Air Quality during the 2022 Beijing Winter Olympics. Sustainability, 14(8), 4574. https://doi.org/10.3390/su14084574

