Characterization of Particulate Matter Species in an Area Impacted by Aggregate and Limestone Mining North of San Antonio, TX, USA
Abstract
1. Introduction
2. Materials and Methods
2.1. Site Selection
2.2. Topography and Meteorology
2.3. Sampling Methods
2.4. Statistical Data Analysis
3. Results
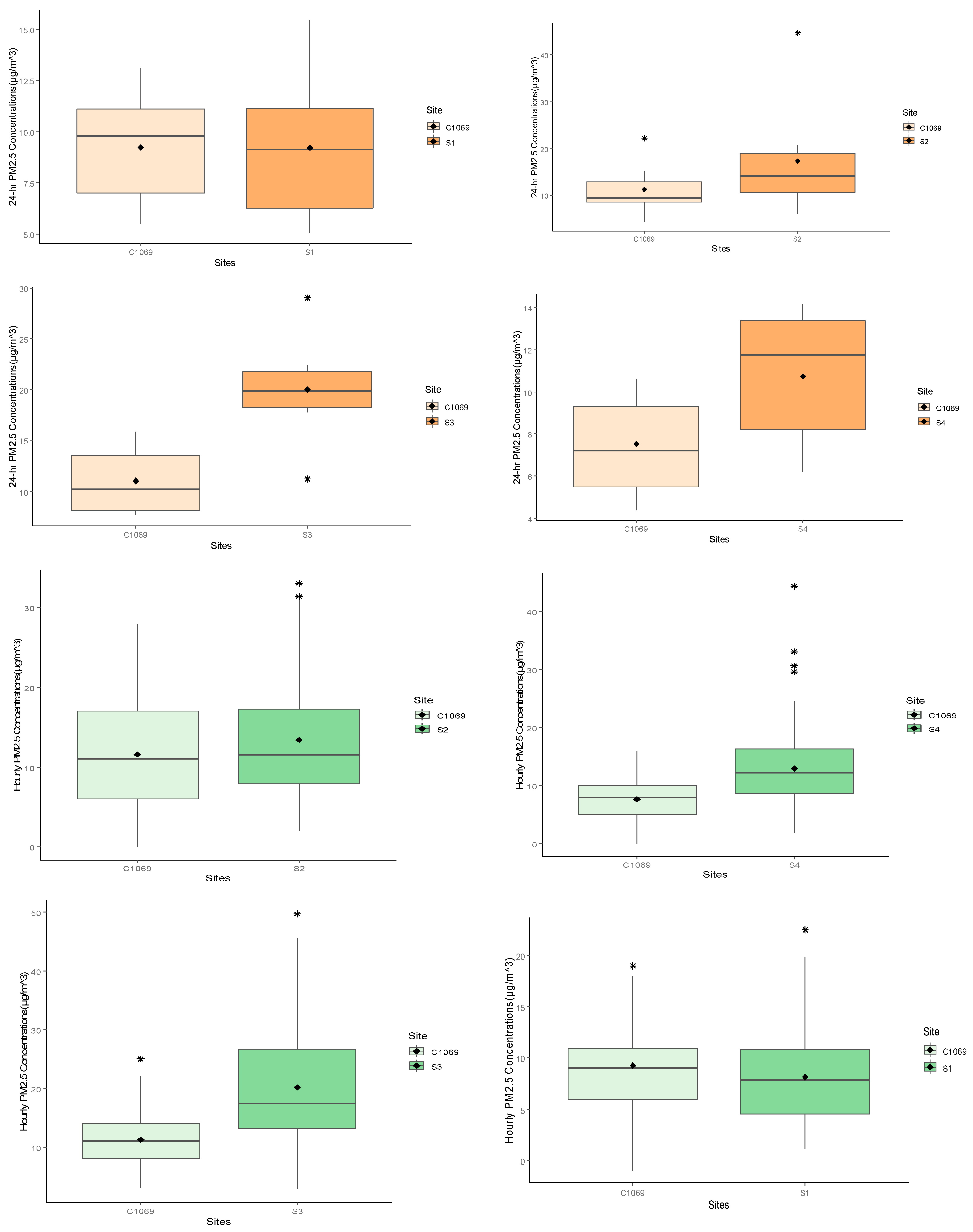
3.1. 1-h and 24-h PM Concentration Analyses
3.2. Coefficient of Divergence Analysis
3.3. Spearman’s Correlation Coefficient Analysis
4. Discussion and Conclusions
Author Contributions
Funding
Institutional Review Board Statement
Informed Consent Statement
Data Availability Statement
Acknowledgments
Conflicts of Interest
References
- Csavina, J.; Field, J.; Taylor, M.P.; Gao, S.; Landazuri, A.; Betterton, E.A.; Saez, E.A. A review on the importance of metals and metalloids in atmospheric dust and aerosol from mining operations. Sci. Total Environ. 2012, 433, 58–73. [Google Scholar] [CrossRef] [PubMed]
- Karaca, O.; Cameselle, C.; Reddy, K.R. Mine tailing disposal sites: Contamination problems, remedial options, and phytocaps for sustainable remediation. Rev. Environ. Sci. Biotechnol. 2018, 17, 205–228. [Google Scholar] [CrossRef]
- Kurth, L.M. Characterization of Atmospheric Particulate Matter in Mountaintop Mining and Non-Mining Areas in West Virginia with Known Health Differences. Ph.D. Thesis, School of Public Health at West Virginia Univeristy, Morgantown, WV, USA, 2013. [Google Scholar] [CrossRef]
- Serbula, S.M.; Milosavljevic, J.S.; Radojevic, A.A.; Kalinovic, J.V.; Kalinovic, T.S. Extreme Air Pollution with Contaminants originating from the mining-metallurgical processes. Sci. Total Environ. 2017, 586, 1066–1075. [Google Scholar] [CrossRef] [PubMed]
- Khademi, H.; Abbaspour, A.; Martinez-Martinez, S.; Gabarron, M.; Shahrokh, V.; Faz, A.; Acosta, J.A. Provenance and Environmntal Risk of Windblown Materials from Mine Tailing Ponds, Murcia, Spain. Environ. Pollut. 2018, 241, 432–440. [Google Scholar] [CrossRef]
- Kreuter, U.P.; Harris, H.G.; Matlock, M.D.; Lacey, R.E. Change in Ecosystem Service Values in the San Antonio Area, Texas. Ecol. Econ. 2001, 39, 333–346. [Google Scholar] [CrossRef]
- Belardi, G.; Vignaroli, G.; Plescia, P.; Passeri, L. The Assessment of Particulate Matter Emitted from Stone-Crushing Industry by Correlating Rock Textures with Particles Generated after Comminution and Dispersed in Air Environment. Environ. Sci. Pollut. Res. 2013, 20, 4711–4728. [Google Scholar] [CrossRef]
- Petavratzi, E.; Kingman, S.; Lowndes, I. Particulates from Mining Operations: A Review of Sources, Effects and Regulations. Miner. Eng. 2005, 18, 1183–1199. [Google Scholar] [CrossRef]
- Hinds, W.C. Aerosol Technology: Properties, Behavior & Measurement of Airborne Particles, 2nd ed.; John Wiley & Sonds, Inc.: New York City, NY, USA, 1999. [Google Scholar]
- Godish, T.; Davis, W.T.; Fu, J.S. Air Quality, 5th ed.; CRC Press, Taylor & Francis Group: Boca Raton, FL, USA, 2014; pp. 155–201. [Google Scholar]
- Gholampour, A.; Nabizadeh, R.; Hassanvand, M.S.; Taghipour, H.; Rafee, M.; Alizadeh, Z.; Faridi, S.; Mahvi, A.H. Characterization and Source Identification of Trace Elements in Airborne Particulates at Urban and Suburban Atmospheres of Tabriz, Iran. Environ. Sci. Pollut. Res. 2016, 23, 1703–1713. [Google Scholar] [CrossRef]
- Kurilić, S.M.; Božilović, Z.; Milošević, R. Contamination and Health Risk Assessment of Trace Elements in PM10 from Mining and Smelting Operations in the Bor Basin, Serbia. Toxicol. Ind. Health 2020, 36, 135–145. [Google Scholar] [CrossRef]
- Kim, K.H.; Kabir, E.; Kabir, S. A Review on the Human Health Impact of Airborne Particulate Matter. Environ. Int. 2015, 74, 136–143. [Google Scholar] [CrossRef]
- Lira, M.; Kohlman Rabbani, E.; Barkokébas Junior, B.; Lago, E. Risk Evaluation and Exposure Control of Mineral Dust Containing Free Crystalline Silica: A Study Case at a Quarry in the Recife Metropolitan Area. Work 2012, 41, 3109–3116. [Google Scholar] [CrossRef] [PubMed]
- Sternberg, T.; Edwards, M. Desert Dust and Health: A Central Asian Review and Steppe Case Study. Int. J. Environ. Res. Public Health 2017, 14, 1342. [Google Scholar] [CrossRef] [PubMed]
- Chen, W.; Liu, Y.; Wang, H.; Hnizdo, E.; Sun, Y.; Su, L.; Chen, J. Long-term exposure to silica dust and risk of total and cause-specific mortality in Chinese workers: A cohort study. PLoS Med. 2012, 9, e1001206. [Google Scholar] [CrossRef] [PubMed]
- Moya, P.M.; Arce, G.J.; Leiva, C.; Vega, A.S.; Gutierrez, S.; Adaros, H.; Munoz, L.; Pasten, P.A.; Cortes, S. An Integrated Study of Health, Environmental, and Socioeconomic indicators in a mining-impacted community exposed to metal enrichment. Environ. Geochem. Health 2019, 41, 2505–2519. [Google Scholar] [CrossRef]
- San Antonio: Geography and Climate. Available online: http://www.city-data.com/us-cities/The-South/San-Antonio-Geography-and-Climate.html (accessed on 10 August 2021).
- TSI DustTrak Environmental Monitors. Available online: https://tsi.com/products/environmental-air-monitors/dusttrak-environmental-monitors/ (accessed on 10 August 2021).
- Pinto, J.P.; Lefohn, A.S.; Shadwick, D.S. Spatial variability of PM2.5 in urban areas in the United States. J. Air Waste Manag. Assoc. 2004, 54, 440–449. [Google Scholar] [CrossRef]
- Raysoni, A.U.; Sarnat, J.A.; Sarnat, S.E.; Garcia, J.H.; Holguin, F.; Luvano, S.F.; Li, W.W. Binational School-Based Monitoring of Traffic-Related Air Pollutants in El Paso, Texas (USA) and Ciudad Juarez, Chihuahua (Mexico). Environ. Pollut. 2011, 159, 2476–2486. [Google Scholar] [CrossRef]
- Raysoni, A.U.; Stock, T.H.; Sarnat, J.A.; Montoya Sosa, T.; Ebelt Sarnat, S.; Holguin, F.; Greenwald, R.; Johnson, B.; Li, W.W. Characterization of Traffic-Related Air Pollutant Metrics at Four Schools in El Paso, Texas, USA: Implications for Exposure Assessment and Siting Schools in Urban Areas. Atmos. Environ. 2013, 80, 140–151. [Google Scholar] [CrossRef]
- Sarnat, S.E.; Raysoni, A.U.; Li, W.W.; Holguin, F.; Johnson, B.A.; Luevano, S.F.; Garcia, J.H.; Sarnat, J.A. Research|Children’s Health Air Pollution and Acute Respiratory Response in a Panel of Asthmatic. Environ. Health Perspect. 2012, 120, 437–444. [Google Scholar] [CrossRef]
- US EPA. Particulate Matter Pollution. 2021. Available online: https://www.epa.gov/pm-pollution/particulate-matter-pm-basics#effects (accessed on 10 February 2022).
- Santacatalina, M.; Reche, C.; Minguillon, M.C.; Escrig, A.; Sanfelix, V.; Carratala, A.; Nicolas, J.; Yubero, E.; Crespo, J.; Alastuey, A. Impact of fugitive emissions in ambient PM levels and composition: A case study in Southeast Spain. Sci. Total Environ. 2010, 408, 4999–5009. [Google Scholar] [CrossRef]
- Titi, A.; Dweirj, M.; Tarawneh, K. Environmental Effects of the Open Cast Mining, A Case Study: Irbid Area, North Jordan. Am. J. Ind. Bus. Manag. 2015, 5, 404–423. [Google Scholar] [CrossRef][Green Version]
- Chang, C.-T.; Chang, Y.-M.; Lin, W.-Y.; Wu, M.-C. Fugitive Dust Emission Source Profiles and Assessment of Selected Control Strategies for Particulate Matter at Gravel Processing Sites in Taiwan. J. Air Waste Manag. Assoc. 2010, 60, 1262–1268. [Google Scholar] [CrossRef] [PubMed][Green Version]






| Site | Coordinates (DMS) |
|---|---|
| S1 | 29°45′00″ N, 98°20′28″ W |
| S2 | 29°38′48″ N, 98°13′20″ W |
| S3 | 29°40′06″ N, 98°15′04″ W |
| S4 | 29°38′29″ N, 98°18′03″ W |
| C1069 | 29°31′45.96″ N, 98°23′29.05″ W |
| C504 | 29°42′15.00″ N, 98°01′44.00″ W |
| C505 | 29°38′21.00″ N, 98°17′55.00″ W |
| San Antonio | C1069 | C504 | C505 |
|---|---|---|---|
| CO | x | ||
| NO | x | ||
| NO2 | x | ||
| NOx | x | ||
| O3 | x | x | |
| Relative Wind Speed | x | ||
| Relative Wind Direction | x | ||
| Outdoor Temperature | x | ||
| Relative Humidity | x | ||
| PM2.5 | x |
| Site Location | Date Start | Time Start | Date End | Time End |
|---|---|---|---|---|
| Site1 (S1) | 3 August 2019 | 20:40 | 10 August 2019 | 14:40 |
| Site2 (S2) | 17 August 2019 | 14:45 | 24 August 2019 | 14:45 |
| Site3 (S3) | 24 August 2019 | 15:15 | 30 August 2019 | 13:20 |
| Site4 (S4) | 30 August 2019 | 14:15 | 11 September 2019 | 12:00 |
| PM1 | PM2.5 | PM4 | PM10 | |
|---|---|---|---|---|
| Site 1 | ||||
| N | 163 | 163 | 163 | 163 |
| Mean | 7.33 | 8.05 | 8.61 | 10.07 |
| StDev | 4.14 | 4.29 | 4.44 | 4.73 |
| Min | 0.73 | 1.02 | 1.38 | 1.92 |
| Max | 21.23 | 22.28 | 23.08 | 24.87 |
| Site 2 | ||||
| N | 170 | 170 | 170 | 170 |
| Mean | 11.93 | 13.15 | 14.15 | 16.01 |
| StDev | 6.06 | 6.90 | 7.72 | 8.97 |
| Min | 1.23 | 1.43 | 1.67 | 3.48 |
| Max | 36.77 | 39.17 | 41.27 | 44.92 |
| Site 3 | ||||
| N | 145 | 145 | 145 | 145 |
| Mean | 18.67 | 19.70 | 20.52 | 23.06 |
| StDev | 8.90 | 9.20 | 9.38 | 9.77 |
| Min | 3.57 | 4.15 | 4.98 | 8.50 |
| Max | 48.38 | 49.82 | 50.78 | 52.58 |
| Site 4 | ||||
| N | 192 | 192 | 192 | 192 |
| Mean | 11.68 | 12.11 | 12.70 | 15.42 |
| StDev | 5.94 | 6.11 | 6.54 | 9.85 |
| Min | 1.20 | 1.40 | 1.78 | 3.13 |
| Max | 41.27 | 44.42 | 50.95 | 89.37 |
| PM2.5 | C1069 |
|---|---|
| S1 | 0.35 |
| S2 | 0.32 |
| S3 | 0.37 |
| S4 | 0.38 |
| Pollutant | Site | S1 | C1069 | C504 | C505 | ||||||||||
| OT | PM1 | PM2.5 | PM4 | PM10 | TC | CO | NO | NO2 | NOx | PM2.5 | OT | O3 | O3 | ||
| OT | S1 | 1 | |||||||||||||
| PM1 | 0.496 ** | 1 | |||||||||||||
| PM2.5 | 0.464 ** | 0.995 ** | 1 | ||||||||||||
| PM4 | 0.448 ** | 0.988 ** | 0.998 ** | 1 | |||||||||||
| PM10 | 0.503 ** | 0.970 ** | 0.979 ** | 0.985 ** | 1 | ||||||||||
| TC | 0.568 ** | 0.942 ** | 0.947 ** | 0.952 ** | 0.988 ** | 1 | |||||||||
| CO | C1069 | −0.205 ** | −0.256 ** | −0.259 ** | −0.254 ** | −0.242 ** | −0.226 ** | 1 | |||||||
| NO | −0.637 ** | −0.294 ** | −0.276 ** | −0.258 ** | −0.281 ** | −0.313 ** | 0.319 ** | 1 | |||||||
| NO2 | −0.439 ** | −0.336 ** | −0.336 ** | −0.321 ** | −0.325 ** | −0.326 ** | 0.486 ** | 0.714 ** | 1 | ||||||
| NOx | −0.478 ** | −0.335 ** | −0.331 ** | −0.315 ** | −0.322 ** | −0.326 ** | 0.426 ** | 0.804 ** | 0.979 ** | 1 | |||||
| PM2.5 | −0.031 | 0.168 * | 0.218 ** | 0.247 ** | 0.240 ** | 0.202 * | 0.083 | 0.132 | 0.020 | 0.081 | 1 | ||||
| OT | −0.166 * | 0.215 ** | 0.230 ** | 0.223 ** | 0.158 * | 0.085 | −0.509 ** | −0.154 | −0.459 ** | −0.344 ** | 0.031 | 1 | |||
| O3 | C504 | −0.055 | 0.136 | 0.136 | 0.120 | 0.066 | 0.017 | −0.456 ** | −0.379 ** | −0.557 ** | −0.505 ** | −0.162 * | 0.867 ** | 1 | |
| O3 | C505 | −0.016 | 0.167 * | 0.167 * | 0.149 | 0.098 | 0.051 | −0.448 ** | −0.404 ** | −0.566 ** | −0.524 ** | −0.153 | 0.848 ** | 0.980 ** | 1 |
| Pollutant | Site | S2 | C1069 | C504 | C504 | ||||||||||
| OT | PM1 | PM20.5 | PM4 | PM10 | TC | CO | NO2 | PM20.5 | OT | O3 | O3 | ||||
| OT | S2 | 1 | |||||||||||||
| PM1 | −0.108 | 1 | |||||||||||||
| PM2.5 | −0.103 | 0.994 ** | 1 | ||||||||||||
| PM4 | −0.103 | 0.983 ** | 0.996 ** | 1 | |||||||||||
| PM10 | −0.094 | 0.957 ** | 0.980 ** | 0.992 ** | 1 | ||||||||||
| TC | −0.075 | 0.942 ** | 0.967 ** | 0.981 ** | 0.996 ** | 1 | |||||||||
| CO | C1069 | −0.298 ** | −0.113 | −0.117 | −0.126 | −0.142 | −0.153 | 1 | |||||||
| NO2 | −0.255 ** | −0.088 | −0.048 | −0.036 | −0.008 | −0.010 | 0.575 ** | 1 | |||||||
| PM2.5 | 0.097 | 0.503 ** | 0.529 ** | 0.547 ** | 0.554 ** | 0.549 ** | 0.167 * | 0.110 | 1 | ||||||
| OT | −0.286 ** | 0.294 ** | 0.277 ** | 0.272 ** | 0.252 ** | 0.229 ** | −0.517 ** | −0.450 ** | 0.012 | 1 | |||||
| O3 | C504 | −0.218 ** | 0.138 | 0.125 | 0.129 | 0.127 | 0.123 | −0.577 ** | −0.548 ** | −0.127 | 0.874 ** | 1 | |||
| O3 | C505 | −0.211 ** | 0.097 | 0.079 | 0.082 | 0.076 | 0.072 | −0.563 ** | −0.566 ** | −0.150 | 0.842 ** | 0.954 ** | 1 | ||
| Pollutant | Site | S3 | C1069 | C504 | C505 | ||||||||||
| OT | PM1 | PM20.5 | PM4 | PM10 | TC | CO | NO | NO2 | NOx | PM20.5 | OT | O3 | O3 | ||
| OT | S3 | 1 | |||||||||||||
| PM1 | −0.285 ** | 1 | |||||||||||||
| PM2.5 | −0.309 ** | 0.997 ** | 1 | ||||||||||||
| PM4 | −0.325 ** | 0.992 ** | 0.998 ** | 1 | |||||||||||
| PM10 | −0.299 ** | 0.942 ** | 0.954 ** | 0.967 ** | 1 | ||||||||||
| TC | −0.236 ** | 0.897 ** | 0.909 ** | 0.926 ** | 0.986 ** | 1 | |||||||||
| CO | C1069 | −0.011 | 0.154 | 0.136 | 0.122 | 0.066 | 0.026 | 1 | |||||||
| NO | −0.726 ** | 0.281 ** | 0.303 ** | 0.313 ** | 0.271 ** | 0.218 * | 0.286 ** | 1 | |||||||
| NO2 | −0.210 | 0.231 | 0.214 | 0.208 | 0.169 | 0.145 | 0.377 ** | 0.542 ** | 1 | ||||||
| NOx | −0.383 ** | 0.243 * | 0.234 * | 0.232 * | 0.192 | 0.145 | 0.395 ** | 0.785 ** | 0.893 ** | 1 | |||||
| PM2.5 | −0.004 | 0.218 ** | 0.207 * | 0.196 * | 0.151 | 0.127 | 0.200 * | −0.079 | −0.114 | −0.227 * | 1 | ||||
| OT | −0.069 | 0.280 ** | 0.299 ** | 0.312 ** | 0.331 ** | 0.333 ** | −0.371 ** | −0.081 | −0.038 | −0.038 | −0.013 | 1 | |||
| O3 | C504 | −0.115 | 0.259 ** | 0.279 ** | 0.293 ** | 0.312 ** | 0.309 ** | −0.356 ** | −0.052 | 0.000 | −0.001 | 0.034 | 0.948 ** | 1 | |
| O3 | C505 | −0.046 | 0.249 ** | 0.265 ** | 0.275 ** | 0.288 ** | 0.288 ** | −0.360 ** | −0.143 | −0.086 | −0.120 | 0.066 | 0.951 ** | 0.973 ** | 1 |
| Pollutant | Site | S4 | C1069 | C504 | C505 | ||||||||||
| OT | PM1 | PM20.5 | PM4 | PM10 | TC | CO | NO2 | PM20.5 | OT | O3 | O3 | ||||
| OT | S4 | 1 | |||||||||||||
| PM1 | 0.026 | 1 | |||||||||||||
| PM2.5 | 0.024 | 0.999 ** | 1 | ||||||||||||
| PM4 | 0.029 | 0.995 ** | 0.998 ** | 1 | |||||||||||
| PM10 | 0.095 | 0.943 ** | 0.951 ** | 0.966 ** | 1 | ||||||||||
| TC | 0.151 * | 0.890 ** | 0.899 ** | 0.918 ** | 0.983 ** | 1 | |||||||||
| CO | −0.154 * | 0.339 ** | 0.328 ** | 0.315 ** | 0.269 ** | 0.263 ** | 1 | ||||||||
| NO2 | −0.591 ** | 0.113 | 0.109 | 0.097 | 0.010 | −0.037 | 0.670 ** | 1 | |||||||
| PM2.5 | −0.117 | 0.547 ** | 0.541 ** | 0.536 ** | 0.498 ** | 0.474 ** | 0.487 ** | 0.310 ** | 1 | ||||||
| OT | 0.196 ** | −0.006 | −0.002 | −0.001 | 0.017 | 0.020 | −0.409 ** | −0.404 ** | 0.045 | 1 | |||||
| O3 | C504 | 0.227 ** | 0.212 ** | 0.216 ** | 0.224 ** | 0.262 ** | 0.274 ** | −0.409 ** | −0.469 ** | 0.042 | 0.844 ** | 1 | |||
| O3 | C505 | 0.254 ** | 0.372 ** | 0.374 ** | 0.379 ** | 0.405 ** | 0.408 ** | −0.270 ** | −0.441 ** | 0.169 ** | 0.802 ** | 0.943 ** | 1 |
Publisher’s Note: MDPI stays neutral with regard to jurisdictional claims in published maps and institutional affiliations. |
© 2022 by the authors. Licensee MDPI, Basel, Switzerland. This article is an open access article distributed under the terms and conditions of the Creative Commons Attribution (CC BY) license (https://creativecommons.org/licenses/by/4.0/).
Share and Cite
Raysoni, A.U.; Mendez, E.; Luna, A.; Collins, J. Characterization of Particulate Matter Species in an Area Impacted by Aggregate and Limestone Mining North of San Antonio, TX, USA. Sustainability 2022, 14, 4288. https://doi.org/10.3390/su14074288
Raysoni AU, Mendez E, Luna A, Collins J. Characterization of Particulate Matter Species in an Area Impacted by Aggregate and Limestone Mining North of San Antonio, TX, USA. Sustainability. 2022; 14(7):4288. https://doi.org/10.3390/su14074288
Chicago/Turabian StyleRaysoni, Amit U., Esmeralda Mendez, August Luna, and Joe Collins. 2022. "Characterization of Particulate Matter Species in an Area Impacted by Aggregate and Limestone Mining North of San Antonio, TX, USA" Sustainability 14, no. 7: 4288. https://doi.org/10.3390/su14074288
APA StyleRaysoni, A. U., Mendez, E., Luna, A., & Collins, J. (2022). Characterization of Particulate Matter Species in an Area Impacted by Aggregate and Limestone Mining North of San Antonio, TX, USA. Sustainability, 14(7), 4288. https://doi.org/10.3390/su14074288

