A Framework-Based Wind Forecasting to Assess Wind Potential with Improved Grey Wolf Optimization and Support Vector Regression
Abstract
1. Introduction
1.1. Background
1.2. Literature Survey
2. Wind Energy Management in Pooling Substation
2.1. Wind Pattern Analysis
- -
- To ensure wind suitability evaluation and wind turbine selection, maximum, minimum, and average wind speed, and standard deviation are assessed;
- -
- To comprehend the wind distribution and optimized micro siting of wind turbines, the highest gust direction and standard deviation are computed;
- -
- Turbulence intensity and wind density are evaluated using the observed temperature and wind speed (vertical);
- -
- For atmospheric assessment and icing effect in the site, the average, minimum and maximum value of solar irradiation and relative humidity (%) are estimated.
2.2. Wind Speed Distribution Models
2.3. Performance Metrics Analysis
2.3.1. Mean Absolute Error (MAE)
2.3.2. Root Mean Squared Error (RMSE)
2.3.3. Mean Squared Error (MSE)
3. Case Study and Its Descriptions
3.1. Wind Seasonal Pattern
3.2. Wind Power Density (WPD)
4. Methodology
Selection of IGWO-SVR Parameters
- -
- Penalties factor (C) computes the wind speed between diminishing the training error and SVM model difficulty;
- -
- Gamma of the kernel function RBF (g) describes the input space of nonlinear mapping to the feature space of the high dimensional.
- Wind speed availability in a particular area;
- Eight possible wind directions, such as N, NE, E, SE, S, SW, W, and NW;
- Height and rating of the wind turbine;
- Location of the wind speed such as on seashore, off seashore, etc.;
- Types of wind generators (IG, SGIM, or PMSG);
- Power can be generated only between the cut-in speed (4 m/s) to cut-out speed (24 m/s).
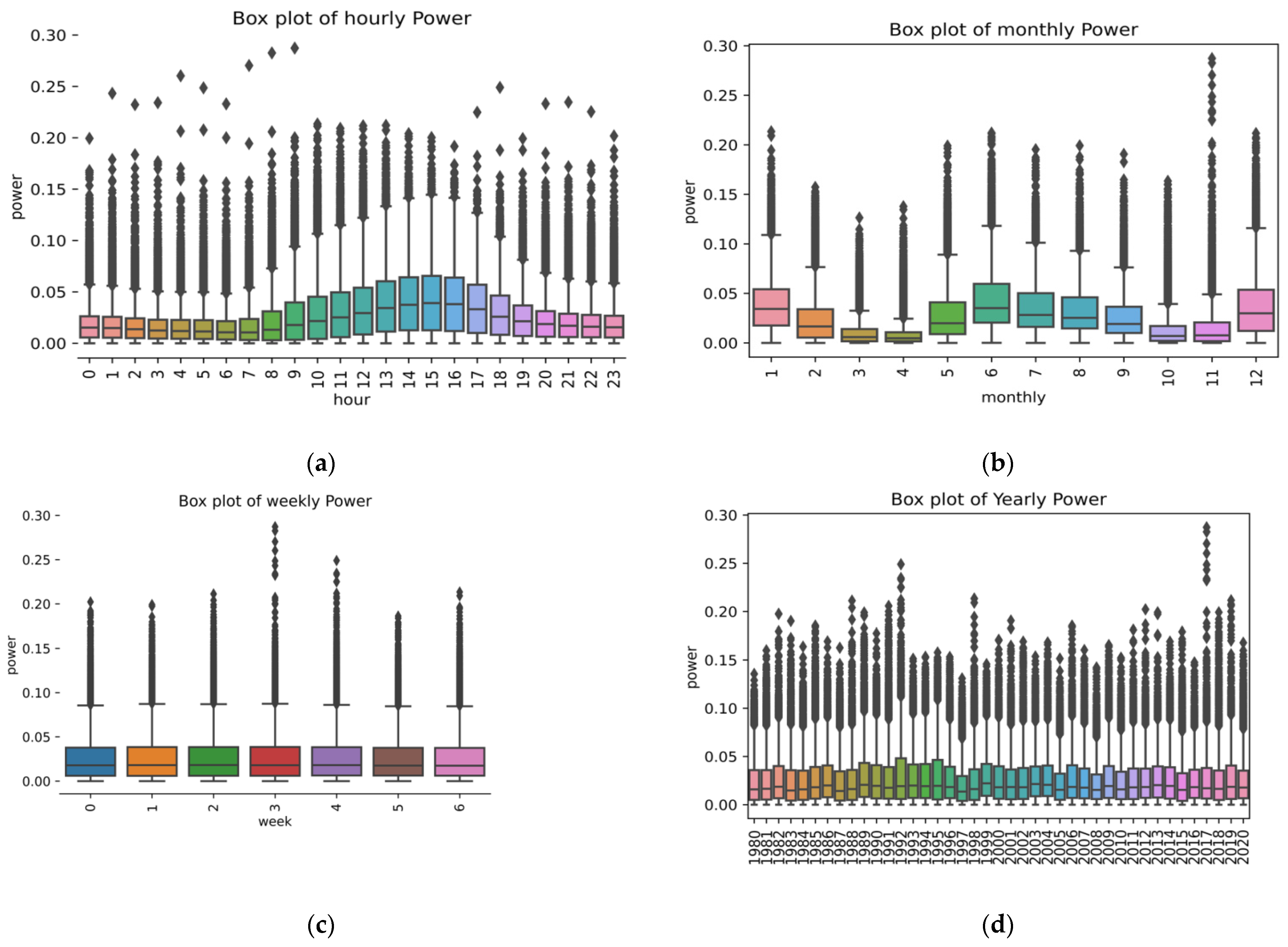
5. Results and Discussions
5.1. Wind Characteristics Investigation
5.2. Statistical Analysis
5.3. Wind Distribution Fitting
5.4. Wind Forecasting Analysis
6. Conclusions
- The prevailing wind direction for Radhapuram was observed as S (15.8%) and SW (13.05%) from the southwest monsoon. The northeast monsoon fetches low wind and prevailing wind direction with a wind speed of about 11.07% (NE) and a north direction of 10.17%. The WPD density was measured at 100 m height at Radhapuram, the highest value of about 431.53 watts/m2.
- The annual mean wind speed was better at about 7.51 m/s, and the wind rose diagram showed the maximum wind speed prediction in the southwest monsoon and northeast monsoon seasons.
- Compared with various other time series forecasting analysis models, the proposed hybrid IGWO-SVR method offers the best minimum error values of MAE, MSE, and RMSE.
Author Contributions
Funding
Institutional Review Board Statement
Informed Consent Statement
Data Availability Statement
Conflicts of Interest
References
- Venkatesan, C.; Kannadasan, R.; Alsharif, M.H.; Kim, M.-K.; Nebhen, J. Assessment and Integration of Renewable Energy Resources Installations with Reactive Power Compensator in Indian Utility Power System Network. Electronics 2021, 10, 912. [Google Scholar] [CrossRef]
- Rajalakshmi, M.; Chandramohan, S.; Kannadasan, R.; Alsharif, M.H.; Kim, M.-K.; Nebhen, J. Design and Validation of BAT Algorithm Based Photovoltaic System Using Simplified High Gain Quasi Boost Inverter. Energies 2021, 14, 1086. [Google Scholar] [CrossRef]
- Balaguru, V.S.S.; Swaroopan, N.J.; Raju, K.; Alsharif, M.H.; Kim, M.-K. Techno-Economic Investigation of Wind Energy Potential in Selected Sites with Uncertainty Factors. Sustainability 2021, 13, 2182. [Google Scholar] [CrossRef]
- Shafiullah, G.M.; Oo, A.; Ali, S.; Wolfs, P. Potential challenges of integrating large-scale wind energy into the power grid—A review. Renew. Sustain. Energy Rev. 2013, 20, 306–321. [Google Scholar] [CrossRef]
- Shafiullah, G.M.; Oo, A.; Ali, S.; Jarvis, D.; Wolfs, P. Economic analysis of Hybrid Renewable Model for Subtropical Climate. Int. J. Therm. Environ. Eng. IJTEE 2010, 1, 57–65. [Google Scholar] [CrossRef][Green Version]
- Cheand, J.; Wang, J. Short-term load forecasting using a kernel-based support vector regression combination model. Appl. Energy 2014, 132, 602–609. [Google Scholar]
- Elavarasan, R.M.; Selvamanohar, L.; Raju, K.; Vijayaraghavan, R.R.; Subburaj, R.; Nurunnabi, M.; Khan, I.A.; Afridhis, S.; Hariharan, A.; Pugazhendhi, R.; et al. A Holistic Review of the Present and Future Drivers of the Renewable Energy Mix in Maharashtra, State of India. Sustainability 2020, 12, 6596. [Google Scholar] [CrossRef]
- Anthony, M.; Prasad, V.; Kannadasan, R.; Mekhilef, S.; Alsharif, M.H.; Kim, M.-K.; Jahid, A.; Aly, A.A. Autonomous Fuzzy Controller Design for the Utilization of Hybrid PV-Wind Energy Resources in Demand Side Management Environment. Electronics 2021, 10, 1618. [Google Scholar] [CrossRef]
- Chen, Y.; Yang, Y.; Liu, C.; Li, C.; Li, L. A hybrid application algorithm based on the support vector machine and artificial intelligence: An example of electric load forecasting. Appl. Math. Model. 2015, 39, 2617–2632. [Google Scholar] [CrossRef]
- Kong, P.; Chen, L.; Jing, M.A. Short-Term power load forecasting based on the fuzzy information granulation and SVM. Electr. Power Inf. Commun. Technol. 2016, 11–14. [Google Scholar] [CrossRef]
- Xia, C.; Zhang, M.; Cao, J. A hybrid application of soft computing methods with wavelet SVM and neural network to electric power load forecasting. J. Electr. Syst. Inf. Technol. 2018, 5, 681–696. [Google Scholar] [CrossRef]
- Shafiullah, G.M.; Arif, M.T.; Oo, A.M.T. Mitigation strategies to minimize potential technical challenges of renewable energy integration. Sustain. Energy Technol. Assess. 2018, 25, 24–42. [Google Scholar] [CrossRef]
- Jamal, T.; Urmee, T.; Shafiullah, G.M. Planning of off-grid power supply systems in remote areas using multi-criteria decision analysis. Energy 2020, 201, 117580. [Google Scholar] [CrossRef]
- Raju, K.; Elavarasan, R.M.; Mihet-Popa, L. An Assessment of Onshore and Offshore Wind Energy Potential in India Using Moth Flame Optimization. Energies 2020, 13, 3063. [Google Scholar] [CrossRef]
- Yu, J.; Fu, Y.; Yu, Y.; Wu, S.; Wu, Y.; You, M.; Guo, S.; Li, M. Assessment of Offshore Wind Characteristics and Wind Energy Potential in Bohai Bay, China. Energies 2019, 12, 2879. [Google Scholar] [CrossRef]
- Rezaeiha, A.; Montazeri, H.; Blocken, B. A framework for preliminary large-scale urban wind energy potential assessment: Roof-mounted wind turbines. Energy Convers. Manag. 2020, 214, 112770. [Google Scholar] [CrossRef]
- Kumar, M.B.H.; Balasubramaniyan, S.; Padmanaban, S.; Holm-Nielsen, J.B. Wind Energy Potential Assessment by Weibull Parameter Estimation Using Multiverse Optimization Method: A Case Study of Tirumala Region in India. Energies 2019, 12, 2158. [Google Scholar] [CrossRef]
- Hulio, Z.H.; Jiang, W. Wind energy potential assessment for KPT with a comparison of different methods of determining Weibull parameters. Int. J. Energy Sect. Manag. 2020, 14, 59–84. [Google Scholar] [CrossRef]
- Mohammadi, K.; Alavi, O.; McGowan, J.G. Use of Birnbaum-Saunders distribution for estimating wind speed and wind power probability distributions: A review. Energy Convers. Manag. 2017, 143, 109–122. [Google Scholar] [CrossRef]
- De Andrade, C.F.; Dos Santos, L.F.; Macedo, M.V.S.; Rocha, P.A.C.; Gomes, F.F. Four heuristic optimization algorithms applied to wind energy: Determination of Weibull curve parameters for three Brazilian sites. Int. J. Energy Environ. Eng. 2018, 10, 1–12. [Google Scholar] [CrossRef]
- Idriss, A.I.; Ahmed, R.A.; Omar, A.I.; Said, R.K.; Akinci, T.C. Wind energy potential and micro-turbine performance analysis in Djibouti-city, Djibouti. Eng. Sci. Technol. Int. J. 2020, 23, 65–70. [Google Scholar] [CrossRef]
- Bataineh, K.M.; Dalalah, D. Assessment of wind energy potential for selected areas in Jordan. Renew. Energy 2013, 59, 75–81. [Google Scholar] [CrossRef]
- Abas, H.; Vahid, R.; Simin, R. Wind energy potential assessment in order to produce electrical energy for case study in Divandareh, Iran. In Proceedings of the International Conference on Renewable Energy Research and Applications, Milwaukee, WI, USA, 19–22 October 2014. [Google Scholar]
- Teimourian, A.; Bahrami, A.; Teimourian, H.; Vala, M.; Huseyniklioglu, A.O. Assessment of wind energy potential in the southeastern province of Iran. Energy Sources Part A Recover. Util. Environ. Eff. 2019, 42, 329–343. [Google Scholar] [CrossRef]
- Gul, M.; Tai, N.; Huang, W.; Nadeem, M.H.; Yu, M. Assessment of Wind Power Potential and Economic Analysis at Hyderabad in Pakistan: Powering to Local Communities Using Wind Power. Sustainability 2019, 11, 1391. [Google Scholar] [CrossRef]
- Nasrabadi, M.S.; Sharafi, Y.; Tayari, M. A parallel grey wolf optimizer combined with opposition-based learning. In Proceedings of the 2016 1st Conference on Swarm Intelligence and Evolutionary Computation (CSIEC), Bam, Iran, 9–11 March 2016. [Google Scholar]
- Shafiullah, G.M. Hybrid Renewable Energy Integration (HREI) System for Subtropical Climate in Central Queensland. Renew. Energy 2016, 96, 1034–1053. [Google Scholar] [CrossRef]
- Joshua, V.; Priyadharson, S.M.; Kannadasan, R. Exploration of Machine Learning Approaches for Paddy Yield Prediction in Eastern Part of Tamilnadu. Agronomy 2021, 11, 2068. [Google Scholar] [CrossRef]
- Wind Power Profile of Tamilnadu State. Indianwindpower.com Web Portal. Available online: http://indianwindpower.com/pdf/Wind-Power-Profile-of-Tamilnadu-State.pdf (accessed on 2 March 2020).
- Feng, J.L.; Hong, K.; Shyi, K.; Ying, H.; Tian, C. Study on Wind Characteristics Using Bimodal Mixture Weibull Distribution for Three Wind Sites in Taiwan. J. Appl. Sci. Eng. 2014, 17, 283–292. [Google Scholar]
- Seshaiah, V.; Indhumathy, D. Analysis of Wind Speed at Sulur -A Bimodal Weibull and Weibull Distribution. Int. J. Latest Eng. Manag. Res. 2017, 2, 29–37. [Google Scholar]
- Venkatesan, C.; Kannadasan, R.; Alsharif, M.H.; Kim, M.-K.; Nebhen, J. A Novel Multiobjective Hybrid Technique for Siting and Sizing of Distributed Generation and Capacitor Banks in Radial Distribution Systems. Sustainability 2021, 13, 3308. [Google Scholar] [CrossRef]
- Venkatesan, C.; Kannadasan, R.; Ravikumar, D.; Loganathan, V.; Alsharif, M.H.; Choi, D.; Hong, J.; Geem, Z.W. Re-Allocation of Distributed Generations Using Available Renewable Potential Based Multi-Criterion-Multi-Objective Hybrid Technique. Sustainability 2021, 13, 13709. [Google Scholar] [CrossRef]
- Mirjalili, S.; Mirjalili, S.M.; Lewis, A. Grey wolf optimizer. Adv. Eng. Softw. 2014, 69, 46–61. [Google Scholar] [CrossRef]
- Gaidhane, P.J.; Nigam, M.J. A hybrid grey wolf optimizer and artificial bee colony algorithm for enhancing the performance of complex systems. J. Comput. Sci. 2018, 27, 284–302. [Google Scholar] [CrossRef]
- Long, W.; Jiao, J.; Liang, X.; Cai, S.; Xu, M. A random opposition-based learning grey wolf optimizer. IEEE Access 2019, 7, 113810–113825. [Google Scholar] [CrossRef]
- Bigdeli, N.; Afshar, K.; Gazafroudi, A.S.; Ramandi, M.Y. A comparative study of optimal hybrid methods for wind power prediction in wind farm of Alberta, Canada. Renew. Sustain. Energy Rev. 2013, 27, 20–29. [Google Scholar] [CrossRef]
- Ren, G.; Wen, S.; Yan, Z.; Hu, R.; Zeng, Z. Power load forecasting based on support vector machine and particle swarm optimization. In Proceedings of the 2016 12th World Congress on Intelligent Control and Automation (WCICA), Guilin, China, 12–15 June 2016; pp. 2003–2008. [Google Scholar]
- Gao, L.; Zhao, S.; Gao, J. Application of artificial fish-swarm algorithm in SVM parameter optimization selection. Comput. Eng. Appl. 2013, 49, 86–90. [Google Scholar]
- Samadzadegan, F.; Hasani, H.; Schenk, T. Simultaneous feature selection and SVM parameter determination in classification of hyperspectral imagery using Ant Colony Optimization. Can. J. Remote Sens. 2012, 38, 139–156. [Google Scholar] [CrossRef]
- Ranaee, V.; Ebrahimzadeh, A.; Ghaderi, R. Application of the PSOSVM model for recognition of control chart patterns. ISA Trans. 2011, 49, 577. [Google Scholar] [CrossRef] [PubMed]
- Afroz, Z.; Shafiullah, G.M.; Urmee, T.; Higgins, G. Prediction of indoor temperature in an institutional building. Energy Procedia 2017, 142, 1860–1866. [Google Scholar] [CrossRef]
- Salcedo-Sanz, S.; Ortiz-García, E.G.; Perez-Bellido, A.M.; Portilla-Figueras, A.; Prieto, L. Short termwind speed prediction based on evolutionary support vector regression algorithms. Expert Syst. Appl. 2011, 38, 4052–4057. [Google Scholar] [CrossRef]
- Sanz, S.S.; Ortiz-Garci, E.G.; Pérez-Bellido, Á.M.; Portilla-Figueras, A.; Prieto, L.; Paredes, D.; Correoso, F. Performance comparison of multilayer perceptrons and support vectormachines in a short-termwind speed prediction problem. Neural Netw. World 2009, 19, 37–51. [Google Scholar]
- Wang, Y.; Wu, D.L.; Guo, C.X.; Wu, Q.H.; Qian, W.Z.; Yang, J. Short-term wind speed prediction using support vector regression. In Proceedings of the IEEE Power and Energy Society General Meeting, Minneapolis, MN, USA, 25–29 July 2010. [Google Scholar]
- Kisi, J.; Shiri, S.; Karimi, S.; Shamshirband, S.; Motamedi, D.; Petković, D.; Hashimd, R. A survey of water level fluctuation predicting in Urmia Lake using support vector machine with firefly algorithm. Appl. Math. Comput. 2015, 270, 731–743. [Google Scholar] [CrossRef]






















| Ref. No | Algorithms | Descriptions |
|---|---|---|
| [14] | Moth flame optimization (MFO) |
|
| [15] | Nakagami and Rician distributions (NCD) |
|
| [16] | Distinctive wind-groups (DWG) |
|
| [17] | Multiverse optimization method (MO) |
|
| [18] | Weibull parameters |
|
| [19] | Birnbaum–Saunders (BS) distribution |
|
| [20] | Harmony search (HS), cuckoo search optimization (CSO), particle swarm optimization (PSO), and ant colony optimization (ACO). |
|
| [21] | Weibull parameters |
|
| [22] | Rayleigh distribution |
|
| [23] | Weibull probability density distribution |
|
| [24] | Weibull distribution function |
|
| [25] | Weibull and Rayleigh distribution functions |
|
| Input Variables | Units | Range of Input Variables |
|---|---|---|
| Wind Speed | m/s | 1–19 |
| Wind Direction | Degree | 0.1–360 |
| Air Pressure | mbar | 99–101 |
| Temperature | Degree. Celsius | 17–45 |
| El Niño | Percentage | 0.5–2 |
| Wind Power | Wm2 | 8–16 |
| Site Name | Landmass Meas. Sensor | Latitude and Longitude | Dataset Period | Interval | Recovery Rate |
|---|---|---|---|---|---|
| Radhapuram, Tamilnadu | Satellite ERA Data | N 8°16.140620′. 77°41′11.5368″ | 1980 to 2020 (41 years) | 60 min | 100% |
| Season | Months | Duration |
|---|---|---|
| Winter | January and February | Two months |
| Summer | March to June | Four months |
| SWM | July to September | Three months |
| NEM | October to December | Three months |
| S. No | Wind Speed (m/s) | Wind Power (MW) |
|---|---|---|
| 1 | 4 | 0.004946 |
| 2 | 6 | 0.016693 |
| 3 | 8 | 0.039568 |
| 4 | 10 | 0.07728 |
| 5 | 12 | 0.1335 |
| 6 | 14 | 0.2121 |
| 7 | 16 | 0.31655 |
| 8 | 18 | 0.4507 |
| 9 | 20 | 0.61826 |
| 10 | 22 | 0.8229 |
| 11 | 24 | 1.0684 |
| Direction Sector | Direction Name | Mean (m/s) | Max (m/s) | Std. Dev. (m/s) | Wind Occurrence (%) |
|---|---|---|---|---|---|
| 67.5° −90° −112.5° | N | 3.14 | 13.46 | 1.25 | 1.73 |
| 22.5° −45° −67.5° | NE | 4.76 | 20.63 | 1.82 | 6.51 |
| 337.5° −0° −22.5° | E | 4.62 | 13.38 | 2.24 | 2.84 |
| 292.5° −315° −337.5° | SE | 4.20 | 11.82 | 1.98 | 3.51 |
| 247.5° −270° −292.5° | S | 3.48 | 11.77 | 1.85 | 2.37 |
| 202.5° −225° −247.5° | SW | 2.97 | 10.11 | 1.53 | 1.86 |
| 157.5° −180° −202.5° | W | 10.26 | 22.86 | 3.30 | 38.66 |
| 112.5° −135° −157.5° | NW | 3.11 | 13.48 | 1.35 | 1.88 |
| Annual Parameter (@100 m) | Wind Speed | Wind Direction | El Niño | Temp | Pressure | Wind Power |
|---|---|---|---|---|---|---|
| Mean value | 6.072125 | 178.53338 | 0.032352 | 27.615456 | 100.5149 | 2.586624 × 10−2 |
| Standard deviation | 2.475411 | 104.2830 | 0.854845 | 2.202784 | 0.250202 | 2.566458 × 10−2 |
| Max. value | 15.490000 | 359.8500 | 2.600000 | 36.100000 | 101.400 | 2.872362 × 10−1 |
| Min value | 0.070000 | 0.150000 | −0.800000 | 20.200000 | 99.5000 | 2.650813 × 10−8 |
| 25% of occurrence | 4.290000 | 50.850000 | −0.500000 | 26.000000 | 100.350 | 6.101784 × 10−3 |
| 50% of occurrence | 6.135000 | 42.200000 | 0.000000 | 27.400000 | 100.500 | 1.784550 × 10−2 |
| 75% of occurrence | 7.900000 | 259.55000 | 0.500000 | 29.150000 | 100.700 | 3.810362 × 10−2 |
| Wind Speed | Count | Mean | Std | Max | Min | Var | Skew | Kurt |
|---|---|---|---|---|---|---|---|---|
| NEM | 90,528 | 5.46 | 2.60 | 15.49 | 0.07 | 6.76 | 0.20 | 0.71 |
| SWM | 90,528 | 6.88 | 1.97 | 13.71 | 0.20 | 3.87 | −0.07 | 0.18 |
| Summer | 120,048 | 5.64 | 2.53 | 14.00 | 0.07 | 6.38 | 0.18 | 0.63 |
| Winter | 58,320 | 6.65 | 2.41 | 14.03 | 0.17 | 5.81 | −0.34 | 0.42 |
| January | 30,504 | 7.36 | 2.18 | 14.03 | 0.21 | 4.75 | −0.59 | 0.23 |
| February | 27,816 | 5.87 | 2.41 | 12.67 | 0.17 | 5.82 | −0.04 | 0.56 |
| March | 30,504 | 4.30 | 2.00 | 11.78 | 0.13 | 4.02 | 0.31 | 0.39 |
| April | 29,520 | 4.06 | 1.86 | 12.13 | 0.07 | 3.47 | 0.57 | 0.29 |
| May | 30,504 | 6.42 | 2.28 | 13.71 | 0.30 | 5.18 | −0.02 | 0.44 |
| June | 29,520 | 7.79 | 1.84 | 14.00 | 1.00 | 3.37 | 0.11 | 0.38 |
| July | 30,504 | 7.25 | 1.88 | 13.62 | 0.57 | 3.54 | −0.03 | 0.25 |
| August | 30,504 | 7.01 | 1.89 | 13.71 | 0.53 | 3.59 | −0.03 | 0.17 |
| September | 29,520 | 6.37 | 2.02 | 13.51 | 0.20 | 4.07 | −0.04 | 0.23 |
| October | 30,504 | 4.66 | 2.19 | 12.84 | 0.07 | 4.79 | 0.43 | 0.21 |
| November | 29,520 | 4.75 | 2.33 | 15.49 | 0.10 | 5.44 | 0.33 | 0.49 |
| December | 30,504 | 6.96 | 2.58 | 13.99 | 0.14 | 6.66 | −0.43 | 0.38 |
| Annual | 6.07 | 2.12 | 13.46 | 0.29 |
| Distribution | Winter | Summer | SWM | NEM |
|---|---|---|---|---|
| beta | 0.0042 | 0.0013 | 0.0113 | 0.0037 |
| dweibull | 0.0199 | 0.0140 | 0.0180 | 0.0205 |
| expon | 0.2571 | 0.1831 | 0.3794 | 0.1445 |
| gamma | 0.0159 | 0.0054 | 0.0096 | 0.0105 |
| genextreme | 0.0113 | 0.0043 | 0.0116 | 0.0091 |
| loggamma | 0.0035 | 0.0064 | 0.0097 | 0.0109 |
| lognorm | 0.0131 | 0.0055 | 0.0103 | 0.0107 |
| norm | 0.0124 | 0.0066 | 0.3703 | 0.0113 |
| pareto | 0.2645 | 0.4693 | 0.0103 | 0.1421 |
| t | 0.0124 | 0.0066 | 0.2592 | 0.0113 |
| uniform | 0.1625 | 0.1291 | 0.1291 | 0.1291 |
| Mean value | 0.0035 | 0.0013 | 0.0096 | 0.0037 |
| distr | beta | dweibull | expon | gamma | genextreme | loggamma | lognorm | norm | pareto | t | uniform | |
|---|---|---|---|---|---|---|---|---|---|---|---|---|
| January | score | 0.0031 | 0.01 | 0.35 | 0.02 | 0.02 | 0.00 | 0.02 | 0.02 | 2.99 × 10−1 | 0.01 | 0.23 |
| loc | −703.8 | 7.50 | 0.21 | −26.33 | 6.59 | 4.94 | −416.6 | 7.36 | −2.50 × 108 | 7.42 | 0.21 | |
| scale | 718.76 | 1.82 | 7.15 | 0.15 | 2.29 | 3.20 | 423.96 | 2.18 | 2.50 × 108 | 2.05 | 13.82 | |
| February | score | 0.01 | 0.01 | 0.24 | 0.01 | 0.01 | 0.01 | 0.01 | 0.01 | 2.28 × 10−1 | 0.01 | 0.13 |
| loc | −0.52 | 5.86 | 0.17 | −125.3 | 5.03 | −234.6 | −72.15 | 5.87 | −4.10 × 108 | 5.87 | 0.17 | |
| scale | 13.423 | 2.1 | 5.7 | 0.0445 | 2.4 | 42.072 | 77.988 | 2.4 | 4.10 × 108 | 2.4 | 12.5 | |
| March | score | 0.00 | 0.04 | 0.26 | 0.01 | 0.01 | 0.01 | 0.01 | 0.01 | 2.84 × 10−1 | 0.01 | 0.22 |
| loc | 0.00 | 4.20 | 0.13 | −3.13 | 3.50 | −484.1 | −8.23 | 4.30 | −1.49 × 109 | 4.30 | 0.13 | |
| scale | 11.979 | 1.8 | 4.2 | 0.5531 | 1.9 | 69.218 | 12.366 | 2 | 1.49 × 109 | 2 | 11.7 | |
| April | score | 0.00 | 0.01 | 0.32 | 0.00 | 0.00 | 0.01 | 0.00 | 0.01 | 6.77× 10−1 | 0.01 | 0.30 |
| loc | −0.30 | 3.96 | 0.07 | −1.46 | 3.27 | −599.7 | −4.24 | 4.06 | −1.53 | 4.02 | 0.07 | |
| scale | 18.409 | 1.6 | 4 | 0.6375 | 1.6 | 80.51 | 8.0945 | 1.9 | 1.60 | 1.8 | 12.1 | |
| May | score | 0.00 | 0.01 | 0.27 | 0.01 | 0.00 | 0.01 | 0.01 | 0.01 | 2.78 × 10−1 | 0.01 | 0.18 |
| loc | −1.30 | 6.42 | 0.30 | −287.7 | 5.61 | −394.2 | −159.1 | 6.42 | −2.80 × 108 | 6.42 | 0.30 | |
| scale | 15.358 | 2 | 6.1 | 0.0176 | 2.3 | 60.96 | 165.6 | 2.3 | 2.80 × 108 | 2.3 | 13.4 | |
| June | score | 0.01 | 0.02 | 0.43 | 0.01 | 0.01 | 0.02 | 0.01 | 0.02 | 6.96 × 10−1 | 0.02 | 0.29 |
| loc | −0.08 | 7.82 | 1.00 | −19.71 | 7.11 | −326.6 | −32.61 | 7.79 | −9.49 × 10−1 | 7.79 | 1.00 | |
| scale | 17.261 | 1.7 | 6.8 | 0.1225 | 1.8 | 50.523 | 40.36 | 1.8 | 1.94 | 1.8 | 13 | |
| July | score | 0.01 | 0.02 | 0.41 | 0.01 | 0.01 | 0.01 | 0.01 | 0.01 | 7.05 × 10−1 | 0.01 | 0.28 |
| loc | −2.61 | 7.33 | 0.57 | −125.2 | 6.57 | −277.0 | −84.46 | 7.25 | −1.02 | 7.25 | 0.57 | |
| scale | 18.264 | 1.7 | 6.7 | 0.0268 | 1.9 | 44.827 | 91.696 | 1.9 | 1.59 | 1.9 | 13.1 | |
| August | score | 0.01 | 0.02 | 0.41 | 0.01 | 0.01 | 0.01 | 0.01 | 0.01 | 3.96 × 10−1 | 0.01 | 0.28 |
| loc | −4.26 | 7.06 | 0.53 | −117.4 | 6.31 | −279.7 | −134.4 | 7.01 | −1.26 × 108 | 7.01 | 0.53 | |
| scale | 20.833 | 1.7 | 6.5 | 0.0288 | 1.9 | 45.195 | 141.36 | 1.9 | 1.26 × 108 | 1.9 | 13.2 | |
| September | score | 0.01 | 0.02 | 0.36 | 0.01 | 0.01 | 0.01 | 0.01 | 0.01 | 4.10 × 10−1 | 0.01 | 0.25 |
| loc | −3.26 | 6.43 | 0.20 | −100.9 | 5.62 | −245.9 | −195.3 | 6.37 | −4.86 × 108 | 6.37 | 0.20 | |
| scale | 17.968 | 1.7 | 6.2 | 0.038 | 2 | 41.671 | 201.67 | 2 | 4.86 × 108 | 2 | 13.3 | |
| October | score | 0.00 | 0.02 | 0.23 | 0.00 | 0.00 | 0.01 | 0.00 | 0.01 | 2.39 × 10−1 | 0.01 | 0.20 |
| loc | −0.04 | 4.59 | 0.07 | −2.09 | 3.76 | −645.7 | −6.03 | 4.66 | −1.84 × 108 | 4.66 | 0.07 | |
| scale | 14.363 | 1.9 | 4.6 | 0.7278 | 2 | 88.145 | 10.468 | 2.2 | 1.84 × 108 | 2.2 | 12.8 | |
| November | score | 0.01 | 0.02 | 0.16 | 0.01 | 0.01 | 0.02 | 0.01 | 0.02 | 1.56 × 10−1 | 0.02 | 0.17 |
| loc | 0.00 | 4.67 | 0.10 | −1.85 | 3.79 | −636.6 | −6.98 | 4.75 | −1.87 × 104 | 4.75 | 0.10 | |
| scale | 15.829 | 2.1 | 4.7 | 0.8662 | 2.1 | 88.501 | 11.497 | 2.3 | 1.87 × 104 | 2.3 | 15.4 | |
| December | score | 0.01 | 0.02 | 0.25 | 0.03 | 0.02 | 0.01 | 0.02 | 0.02 | 2.30 × 10−1 | 0.02 | 0.15 |
| loc | −11.98 | 7.07 | 0.14 | −37.49 | 6.10 | 3.30 | −165.3 | 6.96 | −5.95 × 108 | 6.96 | 0.14 | |
| scale | 26.346 | 2.2 | 6.8 | 0.1585 | 2.7 | 4.0843 | 172.29 | 2.6 | 5.95 × 108 | 2.6 | 13.9 | |
| Winter | score | 0.00 | 0.02 | 0.26 | 0.02 | 0.01 | 0.00 | 0.01 | 0.01 | 2.64 × 10−1 | 0.01 | 0.16 |
| loc | −7.54 | 6.72 | 0.17 | −38.68 | 5.80 | −1.01 | −198.1 | 6.65 | −4.21 × 106 | 6.65 | 0.17 | |
| scale | 21.647 | 2.1 | 6.5 | 0.1325 | 2.5 | 5.1212 | 204.79 | 2.4 | 4.21× 106 | 2.4 | 13.9 | |
| Summer | score | 0.00 | 0.01 | 0.18 | 0.01 | 0.00 | 0.01 | 0.01 | 0.01 | 4.69 × 10−1 | 0.01 | 0.13 |
| loc | −0.07 | 5.64 | 0.07 | −8.21 | 4.69 | −581.9 | −18.42 | 5.64 | −1.50 × 101 | 5.64 | 0.07 | |
| scale | 14.101 | 2.3 | 5.6 | 0.466 | 2.4 | 84.069 | 23.929 | 2.5 | 1.57 | 2.5 | 13.9 | |
| SWM | score | 0.01 | 0.02 | 0.38 | 0.01 | 0.01 | 0.01 | 0.01 | 0.01 | 3.70 × 10−1 | 0.01 | 0.26 |
| loc | −4.34 | 6.97 | 0.20 | −63.34 | 6.16 | −117.2 | −126.5 | 6.88 | −1.64 × 108 | 6.88 | 0.20 | |
| scale | 20.01 | 1.7 | 6.7 | 0.0553 | 2 | 24.563 | 133.33 | 2 | 1.64 × 108 | 2 | 13.5 | |
| NEM | score | 0.00 | 0.02 | 0.14 | 0.01 | 0.01 | 0.01 | 0.01 | 0.01 | 1.42 × 10−1 | 0.01 | 0.13 |
| loc | −0.05 | 5.43 | 0.07 | −5.14 | 4.46 | 646.23 | −14.34 | 5.46 | 1.85 × 108 | 5.46 | 0.07 | |
| scale | 15.562 | 2.4 | 5.4 | 0.6532 | 2.5 | 91.679 | 19.637 | 2.6 | 1.85 × 108 | 2.6 | 15.4 |
Publisher’s Note: MDPI stays neutral with regard to jurisdictional claims in published maps and institutional affiliations. |
© 2022 by the authors. Licensee MDPI, Basel, Switzerland. This article is an open access article distributed under the terms and conditions of the Creative Commons Attribution (CC BY) license (https://creativecommons.org/licenses/by/4.0/).
Share and Cite
Hameed, S.S.; Ramadoss, R.; Raju, K.; Shafiullah, G. A Framework-Based Wind Forecasting to Assess Wind Potential with Improved Grey Wolf Optimization and Support Vector Regression. Sustainability 2022, 14, 4235. https://doi.org/10.3390/su14074235
Hameed SS, Ramadoss R, Raju K, Shafiullah G. A Framework-Based Wind Forecasting to Assess Wind Potential with Improved Grey Wolf Optimization and Support Vector Regression. Sustainability. 2022; 14(7):4235. https://doi.org/10.3390/su14074235
Chicago/Turabian StyleHameed, Siddik Shakul, Ramesh Ramadoss, Kannadasan Raju, and GM Shafiullah. 2022. "A Framework-Based Wind Forecasting to Assess Wind Potential with Improved Grey Wolf Optimization and Support Vector Regression" Sustainability 14, no. 7: 4235. https://doi.org/10.3390/su14074235
APA StyleHameed, S. S., Ramadoss, R., Raju, K., & Shafiullah, G. (2022). A Framework-Based Wind Forecasting to Assess Wind Potential with Improved Grey Wolf Optimization and Support Vector Regression. Sustainability, 14(7), 4235. https://doi.org/10.3390/su14074235

