Investigating the Impact of Wind Power Integration on Damping Characteristics of Low Frequency Oscillations in Power Systems
Abstract
:1. Introduction
- The two-area interconnection system and its mathematical model are established and analyzed, and the system state equation is deduced before and after the wind power integration.
- Three impact factors of the integrated wind power on the LFOs of the power system are proposed and the eigenvalues of the intra-area and inter-area oscillation of the power system are identified by the total least squares-estimation of signal parameters via rotational invariance techniques (TLS-ESPRIT) algorithm.
- By comparing the changes of the damping characteristics of the system before and after wind power integration, the impact on the LFOs of the system is obtained, which provides a reference for the design of the wind power plants, as well as the stability of the power system with small disturbance.
2. Analysis of Damping Characteristics
2.1. Analysis of Damping Characteristics of the Two-Area Interconnection Power Systems
2.2. Analysis of Damping Characteristics of the Two-Area Interconnection Power Systems Integrated with Wind Power
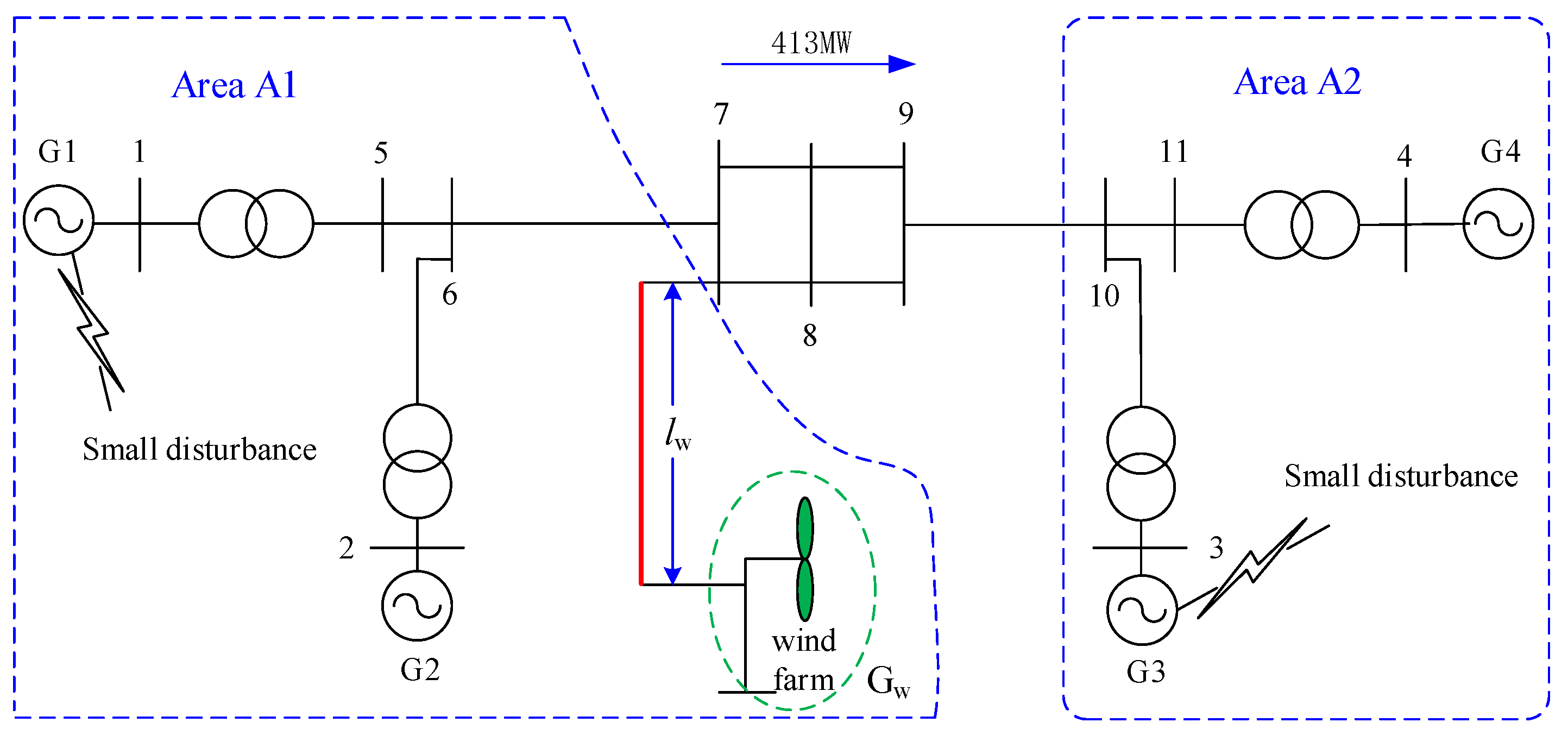
3. Simulation Example and Result Analysis
3.1. The Impact of the Different Areas of Wind Power on the System LFOs
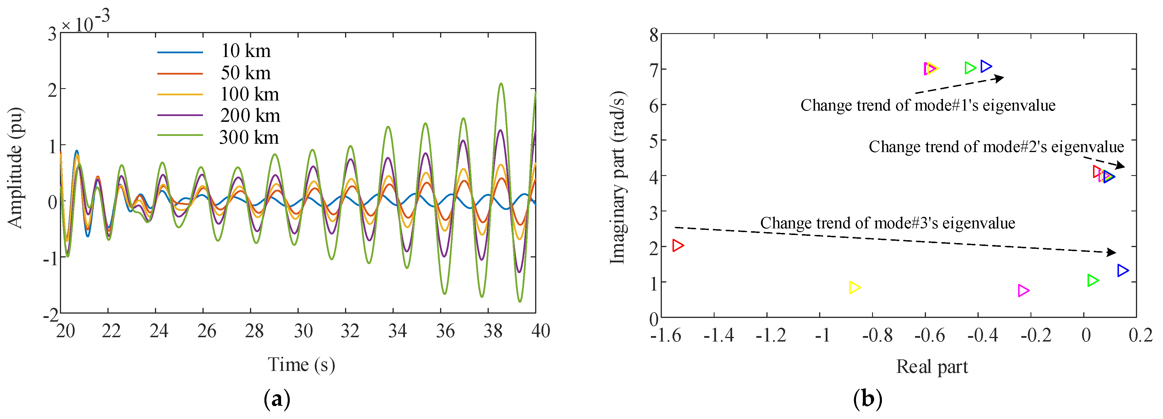
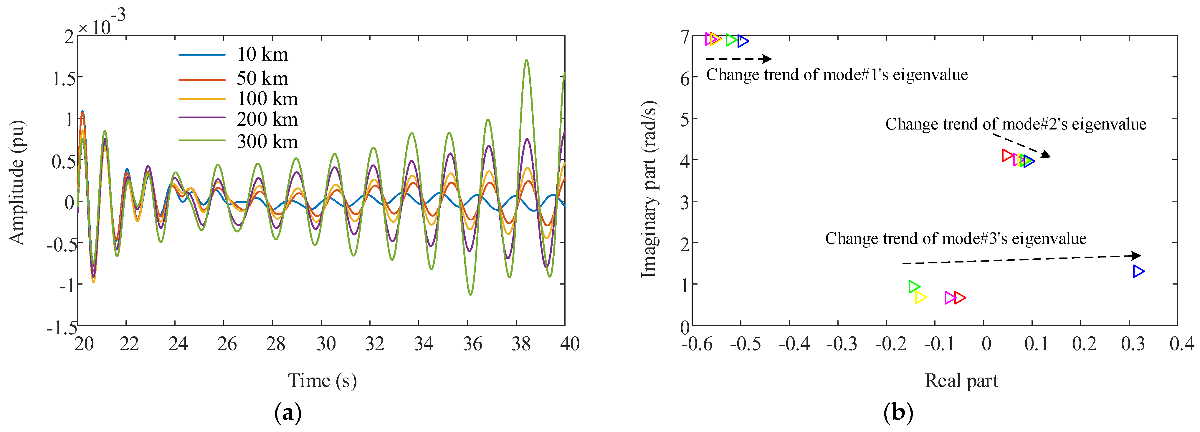
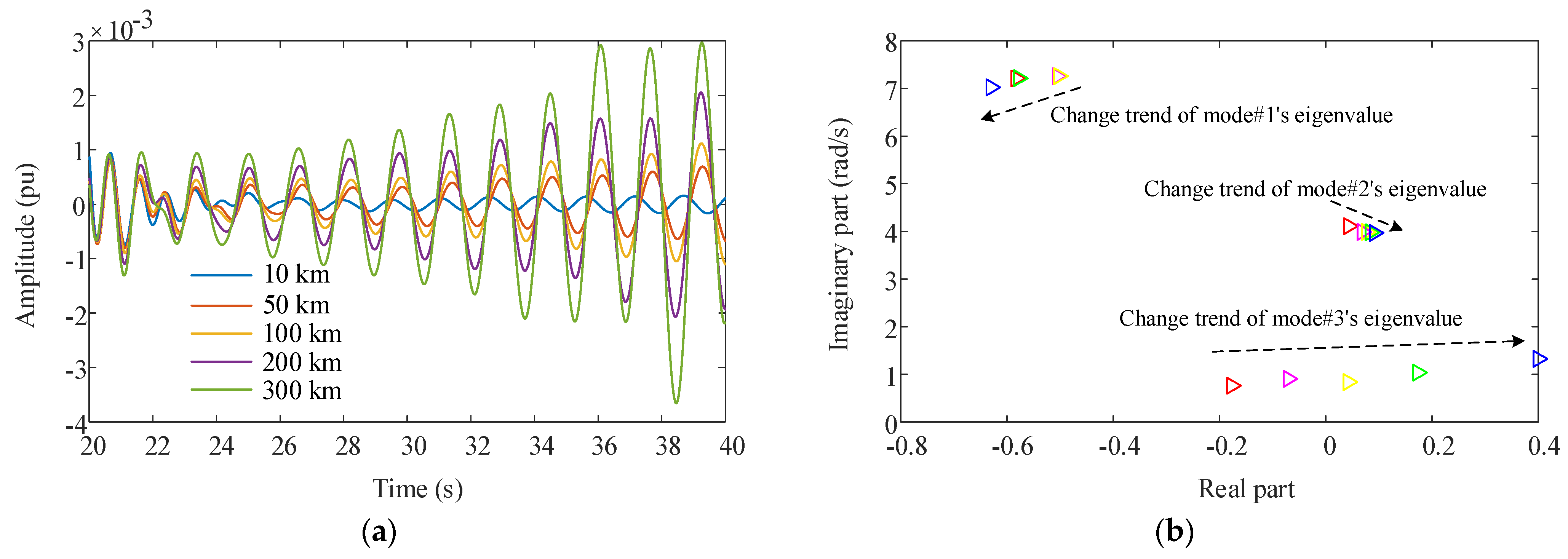
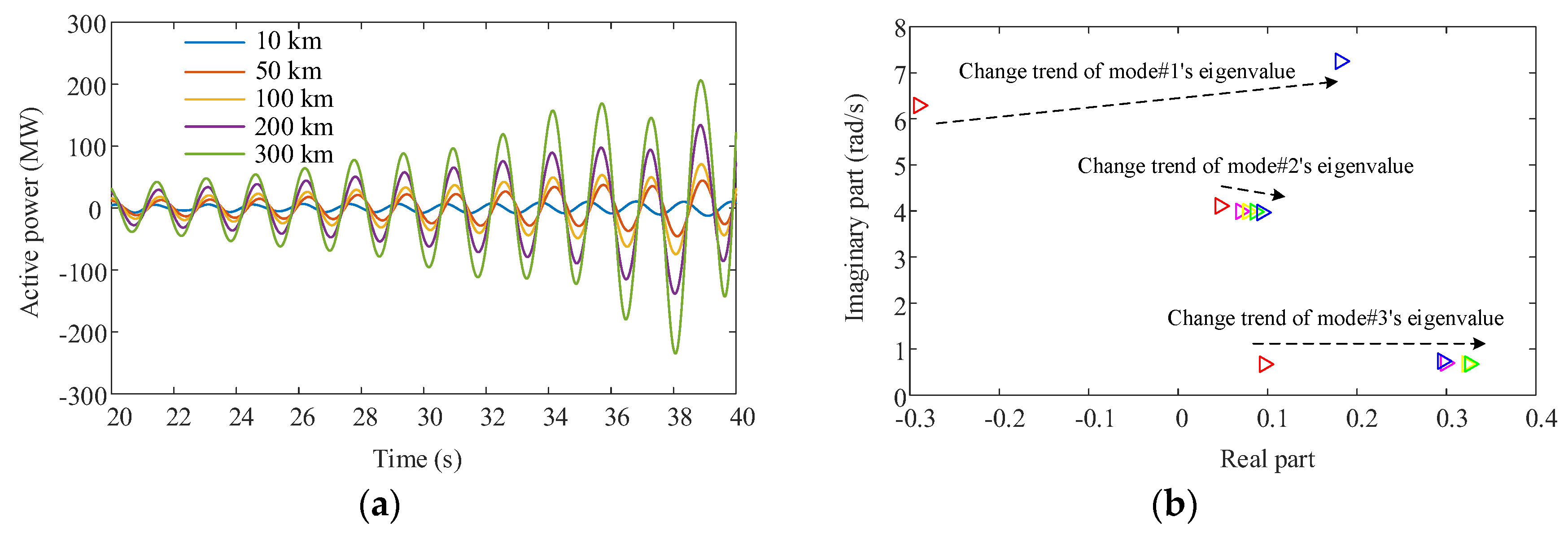
3.2. The Impact of Connection Distance of the Wind Power on the System LFOs
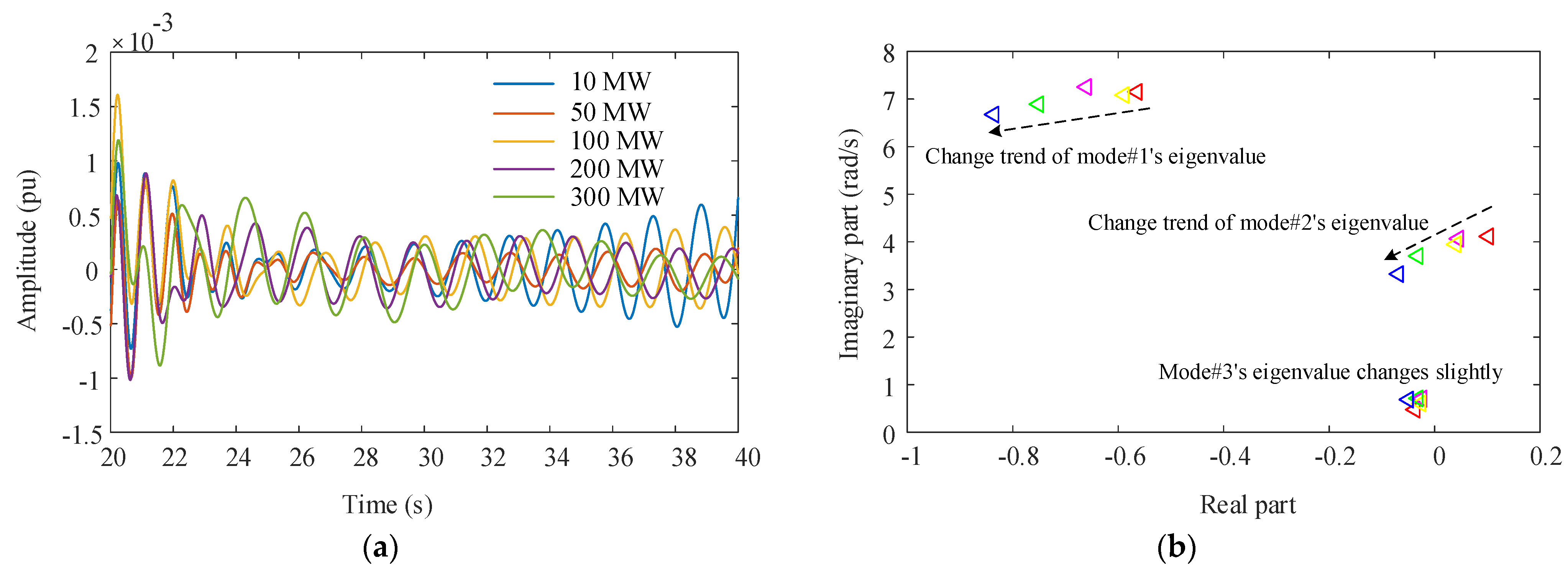
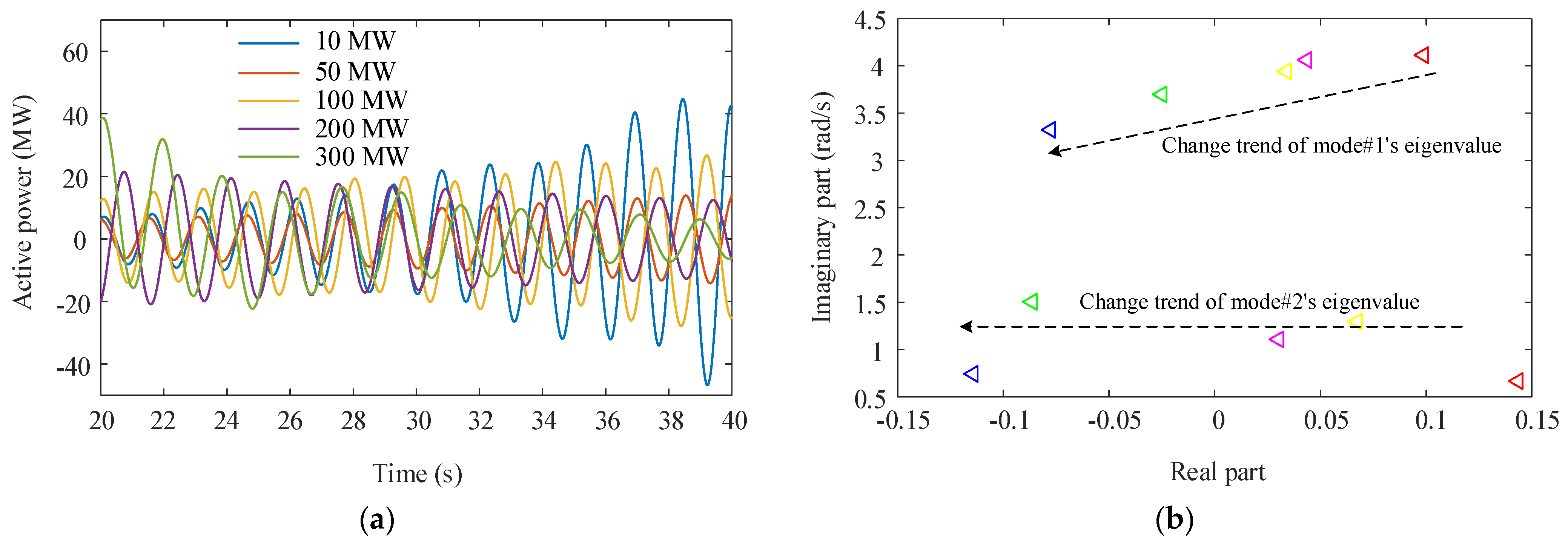
3.3. The Impact of the Capacity of the Wind Power on the System LFOs
4. Conclusions
Author Contributions
Funding
Institutional Review Board Statement
Informed Consent Statement
Data Availability Statement
Acknowledgments
Conflicts of Interest
Nomenclature
| Subscripts, Superscripts, and Sets | |
| Geq1, Geq2 | Equivalent synchrony generator. |
| j, k | Serial number of the equivalent synchrony generator. |
| Mark of . | |
| G1, G2, G3, G4 | Synchrony generators of the IEEE two-area four-machine power systems. |
| Mode#1, Mode#2, Mode#3, Mode#4 | Oscillation modes of the rotor angular velocity of the synchrony generators G1–G4 and the active power oscillation modes of the tie line from node 7 to node 9 in the IEEE two-area four-machine power systems. |
| Variables and Constants | |
| Power angle increment of the jth synchrony generator. | |
| Rotor angular velocity increment of the jth synchrony generator. | |
| Inertia time constant of the synchrony generator j. | |
| Electromagnetic power increment of the synchrony generator j. | |
| Damping torque coefficient of the synchrony generator j. | |
| Synchronous torque coefficient between the synchrony generator j and k, . | |
| State matrix of the interconnected systems with two equivalent synchrony generators. | |
| , | No-load electromotive force of the synchrony generator Geq1 and Geq2. |
| Stable voltage on the integrated node of the wind power, which is assumed to be constant. | |
| , | System impedance of Geq1 and Geq2 acting as source, respectively. |
| , | Transfer impedance between Geq1 and Geq2. |
| , , , | Impedance angle of , , , , respectively. |
| , , , | Impedance complementary angle of , , , , respectively. |
| , | Rotor angle of Geq1 and Geq2, respectively. |
| , | Rotor angle difference between Geq1 and Geq2, . |
| , | Rotor angle difference between Geq1 and Geq2 at some operating point, . |
| Power angle of the wind farm as an equivalent DFIG. | |
| Power angle increment of the wind farm as an equivalent DFIG. | |
| , | Reactance between Geq1 and the integrated node of wind farm. Reactance between Geq2 and the integrated node of wind farm. |
| The eigenvalue of the equation . | |
| Identity matrix. | |
| Increment of active power provided by the wind farm. | |
| Frequency increment of the integrated node of the wind farm. | |
| System characteristic coefficient of the active power increment of the wind farm with respect to , that is, . | |
| Proportional coefficient between and . | |
| Proportional coefficient between and . | |
| , | , . |
| , | , . |
| Real part of a mode eigenvalue or damping factor. | |
| Imaginary part of a mode eigenvalue or oscillation angle frequency. | |
| Damping ratio, . | |
References
- Tan, H.; Yan, W.; Ren, Z.; Wang, Q.; Mohamed, M.A. A robust dispatch model for integrated electricity and heat networks considering price-based integrated demand response. Energy 2022, 239, 121875. [Google Scholar]
- Chen, J.; Alnowibet, K.; Annuk, A.; Mohamed, M.A. An effective distributed approach based machine learning for energy negotiation in networked microgrids. Energy Strategy Rev. 2021, 38, 100760. [Google Scholar]
- Alnowibet, K.; Annuk, A.; Dampage, U.; Mohamed, M.A. Effective Energy Management via False Data Detection Scheme for the Interconnected Smart Energy Hub–Microgrid System under Stochastic Framework. Sustainability 2021, 13, 11836. [Google Scholar]
- Mohamed, M.A.; Mirjalili, S.; Dampage, U.; Salmen, S.H.; Obaid, S.A.; Annuk, A. A cost-efficient-based cooperative allocation of mining devices and renewable resources enhancing blockchain architecture. Sustainability 2021, 13, 10382. [Google Scholar]
- Du, W.; Bi, J.; Wang, H.; Yi, J. Inter-area low-frequency power system oscillations caused by open-loop modal resonance. IET Gener. Transm. Distrib. 2018, 12, 4249–4259. [Google Scholar]
- Shen, C.; An, Z.; Dai, X.; Wei, W.; Ding, L. Measurement-based solution for low frequency oscillation analysis. J. Mod. Power Syst. Clean Energy 2016, 4, 406–413. [Google Scholar]
- Kosterev, D.N.; Taylor, C.W.; Mittelstadt, W.A. Model validation for the August 10, 1996 WSCC system outage. IEEE Trans. Power Syst. 1999, 14, 967–979. [Google Scholar]
- Fairley, P. The unruly power grid. IEEE Spectr. 2004, 41, 22–27. [Google Scholar]
- Report of the Enquiry Committeeon Grid Disturbance in Northern Region on 30th July 2012 India Northern, Eastern & North-Eastern Region on 31 July 2012. New Dehli, India, 2012. Available online: http://nrpc.gov.in/wp-content/uploads/2017/11/grid_disturbance_report.pdf (accessed on 13 February 2022).
- Chen, J.; Mohamed, M.A.; Dampage, U.; Rezaei, M.; Salmen, S.H.; Obaid, S.A.; Annuk, A. A multi-layer security scheme for mitigating smart grid vulnerability against faults and cyber-attacks. Appl. Sci. 2021, 11, 9972. [Google Scholar]
- Rezaei, M.; Alharbi, S.A.; Razmjoo, A.; Mohamed, M.A. Accurate location planning for a wind-powered hydrogen refueling station: Fuzzy VIKOR method. Int. J. Hydrogen Energy 2021, 46, 33360–33374. [Google Scholar]
- Slootweg, J.G.; Kling, W.L. The impact of large scale wind power generation on power system oscillations. Electr. Power Syst. Res. 2003, 67, 9–20. [Google Scholar]
- Sanchez-Gasca, J.J.; Miller, N.W.; Price, W.W. A modal analysis of a two-area system with significant wind power penetration. In Proceedings of the IEEE PES Power Systems Conference and Exposition, New York, NY, USA, 10–13 October 2004; Volume 2, pp. 1148–1152. [Google Scholar]
- Hagstrøm, E.; Norheim, I.; Uhlen, K. Large-scale wind power integration in Norway and impact on damping in the Nordic grid. Wind Energy 2005, 8, 375–384. [Google Scholar]
- Wu, F.; Zhang, X.P.; Godfrey, K.; Ju, P. Small signal stability analysis and optimal control of a wind turbine with doubly fed induction generator. IET Gener. Transm. Distrib. 2007, 1, 751–760. [Google Scholar]
- Tsourakis, G.; Nomikos, B.M.; Vournas, C.D. Effect of wind parks with doubly fed asynchronous generators on small-signal stability. Electr. Power Syst. Res. 2009, 79, 190–200. [Google Scholar]
- Yang, L.; Xu, Z.; Østergaard, J.; Dong, Z.Y.; Wong, K.P.; Ma, X. Oscillatory Stability and Eigenvalue Sensitivity Analysis of A DFIG Wind Turbine System. IEEE Trans. Energy Convers. 2011, 26, 328–339. [Google Scholar]
- Li, H.; Liu, S.; Ji, H.; Yang, D.; Yang, C.; Chen, H.; Zhao, B.; Hu, Y.; Chen, Z. Damping control strategies of inter-area low-frequency oscillation for DFIG-based wind farms integrated into a power system. Int. J. Electr. Power Energy Syst. 2014, 61, 279–287. [Google Scholar]
- Singh, M.; Allen, A.J.; Muljadi, E.; Gevorgian, V.; Zhang, Y.; Santoso, S. Interarea Oscillation Damping Controls for Wind Power Plants. IEEE Trans. Sustain. Energy 2015, 6, 967–975. [Google Scholar]
- Effatnejad, R.; Zare, A.; Choopani, K.; Effatnejad, M. DFIG-based damping controller design to damp low frequency oscillations in power plant industry. In Proceedings of the 2016 International Conference on Industrial Informatics and Computer Systems (CIICS), Sharjah, United Arab Emirates, 13–15 March 2016. [Google Scholar]
- Du, W.; Bi, J.; Cao, J.; Wang, H.F. A Method to Examine the Impact of Grid Connection of the DFIGs on Power System Electromechanical Oscillation Modes. IEEE Trans. Power Syst. 2016, 31, 3775–3784. [Google Scholar]
- Li, C.; Zhang, W.; Liu, R. Forced low frequency oscillation of wind-integrated power systems. In Proceedings of the 2016 IEEE Power & Energy Society Innovative Smart Grid Technologies Conference (ISGT), Minneapolis, MN, USA, 6–9 September 2016. [Google Scholar]
- Zhang, X.; Fu, Y.; Wang, S.; Wang, Y. Effects of two-area variable inertia on transient stabilisation in interconnected power system with DFIG-based wind turbines. IET Renew. Power Gener. 2017, 11, 696–706. [Google Scholar]
- Liu, C.; Cai, G.; Ge, W.; Yang, D.; Liu, C.; Sun, Z. Oscillation Analysis and Wide-Area Damping Control of DFIGs for Renewable Energy Power Systems Using Line Modal Potential Energy. IEEE Trans. Power Syst. 2018, 33, 3460–3471. [Google Scholar]
- Simon, L.; Swarup, K.S.; Ravishankar, J. Wide area oscillation damping controller for DFIG using WAMS with delay compensation. IET Renew. Power Gener. 2019, 13, 128–137. [Google Scholar]
- Eshkaftaki, A.A.; Rabiee, A.; Kargar, A.; Boroujeni, S.T. An Applicable Method to Improve Transient and Dynamic Performance of Power System Equipped With DFIG-Based Wind Turbines. IEEE Trans. Power Syst. 2020, 35, 2351–2361. [Google Scholar]
- Kundur, P. Power System Stability and Control; McGraw-Hill: New York, NY, USA, 1994. [Google Scholar]
- Zhao, S.; Chang, X.; He, R.; Ma, Y. Borrow damping phenomena and negative damping effect of PSS control. Proc. CSEE 2004, 24, 7–11. [Google Scholar]
- Chen, J.; Tao, J.; Mohamed, M.A.; Wang, M. An adaptive TLS-ESPRIT algorithm based on an S-G filter for analysis of low frequency oscillation in wide area measurement systems. IEEE Access 2019, 7, 47644–47654. [Google Scholar]
- Tan, H.; Ren, Z.; Yan, W.; Wang, Q.; Mohamed, M.A. A wind power accommodation capability assessment method for multi-energy microgrids. IEEE Trans. Sustain. Energy 2021, 12, 2482–2492. [Google Scholar]






















| Object | Mode | (rad/s) | ||
|---|---|---|---|---|
| G1 | Mode #1 | −0.5809 | ±7.0282 | 0.0824 |
| Mode #2 | 0.0871 | ±4.0228 | −0.0217 | |
| Mode #3 | −1.0705 | ±1.1010 | 0.6971 | |
| G2 | Mode #1 | −0.6319 | ±7.0404 | 0.0894 |
| Mode #2 | 0.0620 | ±4.0274 | −0.0154 | |
| Mode #3 | −0.1028 | ±0.8767 | 0.1165 | |
| G3 | Mode #1 | −0.5637 | ±7.2388 | 0.0776 |
| Mode #2 | 0.0927 | ±4.0292 | −0.0230 | |
| Mode #3 | −0.8445 | ±1.0654 | 0.6212 | |
| G4 | Mode #1 | −0.6301 | ±7.2762 | 0.0863 |
| Mode #2 | 0.1092 | ±4.0185 | −0.0272 | |
| Mode #3 | −0.0681 | ±0.8490 | 0.0800 | |
| PL | Mode #1 | −0.2247 | ±6.9636 | 0.0323 |
| Mode #2 | 0.1072 | ±4.0257 | −0.0266 | |
| Mode #3 | −0.0695 | ±0.7260 | 0.0953 |
| Object | Mode | (rad/s) | ||
|---|---|---|---|---|
| G1 | Mode#1 | −0.5868 | ±7.0125 | 0.0834 |
| Mode #2 | 0.0463 | ±4.0702 | −0.0114 | |
| Mode #3 | −1.3740 | ±1.7076 | 0.6269 | |
| G2 | Mode #1 | −0.5559 | ±6.9174 | 0.0801 |
| Mode #2 | 0.0438 | ±4.0686 | −0.0108 | |
| Mode #3 | −0.0484 | ±0.6640 | 0.0727 | |
| G3 | Mode #1 | −0.5835 | ±7.2156 | 0.0806 |
| Mode #2 | 0.0429 | ±4.0650 | −0.0106 | |
| Mode #3 | −0.1245 | ±0.7685 | 0.1599 | |
| G4 | Mode #1 | −0.6608 | ±7.2553 | 0.0907 |
| Mode #2 | 0.0451 | ±4.0676 | −0.0111 | |
| Mode #3 | −0.0244 | ±0.7069 | 0.0345 | |
| PL | Mode #1 | 0.0436 | ±4.0634 | −0.0107 |
| Mode #2 | 0.0303 | ±1.1072 | −0.0274 |
| Object | Mode | (rad/s) | ||
|---|---|---|---|---|
| G1 | Mode #1 | −0.5953 | ±7.0269 | 0.0844 |
| Mode #2 | 0.1081 | ±4.0544 | −0.0267 | |
| Mode #3 | −0.9478 | ±1.0427 | 0.6726 | |
| G2 | Mode #1 | −0.5597 | ±6.9155 | 0.0807 |
| Mode #2 | 0.1108 | ±4.0523 | −0.0273 | |
| Mode #3 | −0.0468 | ±0.5066 | 0.0920 | |
| G3 | Mode #1 | −0.5480 | ±7.2324 | 0.0756 |
| Mode #2 | 0.1084 | ±4.0557 | −0.0267 | |
| Mode #3 | 0.1571 | ±0.6128 | −0.2483 | |
| G4 | Mode #1 | −0.5347 | ±7.1724 | 0.0743 |
| Mode #2 | 0.1089 | ±4.0558 | −0.0268 | |
| Mode #3 | −0.0682 | ±0.4766 | 0.1417 | |
| PL | Mode #1 | 0.1092 | ±4.0525 | −0.0269 |
| Mode #2 | 0.2013 | ±0.7349 | −0.2642 |
| Object | Mode | (rad/s) | ||
|---|---|---|---|---|
| G1 | Mode #1 | −0.5869 | ±7.0114 | 0.0834 |
| Mode #2 | 0.0514 | ±4.1136 | −0.0125 | |
| Mode #3 | −1.5415 | ±2.0295 | 0.6049 | |
| G2 | Mode #1 | −0.5544 | ±6.9159 | 0.0799 |
| Mode #2 | 0.0471 | ±4.1054 | −0.0115 | |
| Mode #3 | −0.0512 | ±0.6694 | 0.0763 | |
| G3 | Mode #1 | −0.5832 | ±7.2138 | 0.0806 |
| Mode #2 | 0.0429 | ±4.1124 | −0.0104 | |
| Mode #3 | −0.1772 | ±0.7630 | 0.2262 | |
| G4 | Mode #1 | −0.6592 | ±7.2562 | 0.0905 |
| Mode #2 | −4.9058 | ±3.2432 | 0.8342 | |
| Mode #3 | 0.0481 | ±4.1112 | −0.0117 | |
| Mode #4 | −0.0398 | ±0.7003 | 0.0567 | |
| PL | Mode #1 | 0.0468 | ±4.1099 | −0.0114 |
| Mode #2 | −0.2904 | ±6.2922 | 0.0461 | |
| Mode #3 | 0.0964 | ±0.6716 | −0.1421 |
| Object | Mode | (rad/s) | ||
|---|---|---|---|---|
| G1 | Mode #1 | −0.5897 | ±7.0044 | 0.0839 |
| Mode #2 | 0.0721 | ±3.9967 | −0.0180 | |
| Mode #3 | −0.2326 | ±0.7583 | 0.2933 | |
| G2 | Mode #1 | −0.5646 | ±6.9093 | 0.0814 |
| Mode #2 | 0.0699 | ±3.9986 | −0.0175 | |
| Mode #3 | −0.0710 | ±0.6669 | 0.1059 | |
| G3 | Mode #1 | −0.5054 | ±7.2594 | 0.0695 |
| Mode #2 | 0.0683 | ±3.9903 | −0.0171 | |
| Mode #3 | −0.0708 | ±0.9064 | 0.0779 | |
| G4 | Mode #1 | −0.5606 | ±7.1206 | 0.0785 |
| Mode #2 | 0.0732 | ±3.9895 | −0.0183 | |
| Mode #3 | −0.0461 | ±0.6661 | 0.0690 | |
| PL | Mode #1 | 0.0696 | ±3.9922 | −0.0174 |
| Mode #2 | 0.2988 | ±0.6986 | −0.3933 |
| Object | Mode | (rad/s) | ||
|---|---|---|---|---|
| G1 | Mode #1 | −0.5768 | ±7.0187 | 0.0819 |
| Mode #2 | 0.0801 | ±3.9932 | −0.0201 | |
| Mode #3 | −0.8717 | ±0.8444 | 0.7183 | |
| G2 | Mode #1 | −0.5540 | ±6.8997 | 0.0800 |
| Mode #2 | 0.0788 | ±3.9940 | −0.0197 | |
| Mode #3 | −0.1318 | ±0.6801 | 0.1903 | |
| G3 | Mode #1 | −0.5027 | ±7.2622 | 0.0691 |
| Mode #2 | 0.0766 | ±3.9886 | −0.0192 | |
| Mode #3 | 0.0419 | ±0.8395 | −0.0498 | |
| G4 | Mode #1 | −0.5194 | ±7.1183 | 0.0728 |
| Mode #2 | 0.0800 | ±3.9868 | −0.0201 | |
| Mode #3 | −0.1182 | ±0.7211 | 0.1618 | |
| PL | Mode #1 | 0.0775 | ±3.9902 | −0.0194 |
| Mode #2 | 0.3224 | ±0.6805 | −0.4281 |
| Object | Mode | (rad/s) | ||
|---|---|---|---|---|
| G1 | Mode #1 | 0.0891 | ±3.9848 | −0.0224 |
| Mode #2 | −0.4344 | ±7.0341 | 0.0616 | |
| Mode #3 | 0.0302 | ±1.0444 | −0.0289 | |
| G2 | Mode #1 | −0.5224 | ±6.8893 | 0.0756 |
| Mode #2 | 0.0840 | ±3.9819 | −0.0211 | |
| Mode #3 | −0.1453 | ±0.9354 | 0.1535 | |
| G3 | Mode #1 | 0.0837 | ±3.9824 | −0.0210 |
| Mode #2 | −0.5783 | ±7.2186 | 0.0799 | |
| Mode #3 | 0.1729 | ±1.0368 | −0.1645 | |
| G4 | Mode #1 | 0.0868 | ±3.9804 | −0.0218 |
| Mode #2 | −0.3566 | ±7.0398 | 0.0506 | |
| Mode #3 | 0.0629 | ±1.0646 | −0.0590 | |
| PL | Mode #1 | 0.0857 | ±3.9860 | −0.0215 |
| Mode #2 | 0.3259 | ±0.6785 | −0.4330 |
| Object | Mode | (rad/s) | ||
|---|---|---|---|---|
| G1 | Mode #1 | −0.3745 | ±7.0774 | 0.0528 |
| Mode #2 | 0.0915 | ±3.9652 | −0.0231 | |
| Mode #3 | 0.1439 | ±1.3245 | −0.1080 | |
| G2 | Mode #1 | 0.2916 | ±7.5212 | −0.0387 |
| Mode #2 | −0.4981 | ±6.8604 | 0.0724 | |
| Mode #3 | 0.0912 | ±3.9643 | −0.0230 | |
| Mode #4 | 0.3169 | ±1.3077 | −0.2355 | |
| G3 | Mode #1 | −0.6302 | ±7.0251 | 0.0893 |
| Mode #2 | 0.0913 | ±3.9695 | −0.0230 | |
| Mode #3 | 0.3995 | ±1.3254 | −0.2886 | |
| G4 | Mode #1 | −0.2189 | ±6.9959 | 0.0313 |
| Mode #2 | 0.0937 | ±3.9657 | −0.0236 | |
| Mode #3 | 0.3436 | ±1.3607 | −0.2448 | |
| PL | Mode #1 | 0.1813 | ±7.2515 | −0.0250 |
| Mode #2 | 0.0935 | ±3.9681 | −0.0236 | |
| Mode #3 | 0.2956 | ±0.7389 | −0.3714 |
| Object | Mode | (rad/s) | ||
|---|---|---|---|---|
| G1 | Mode #1 | −0.5686 | ±7.0010 | 0.0810 |
| Mode #2 | 0.0968 | ±4.1159 | −0.0235 | |
| Mode #3 | 0.0681 | ±0.6361 | −0.1065 | |
| G2 | Mode #1 | −0.5362 | ±6.9257 | 0.0772 |
| Mode #2 | 0.0978 | ±4.1147 | −0.0238 | |
| Mode #3 | −0.0478 | ±0.5757 | 0.0827 | |
| G3 | Mode #1 | −0.5566 | ±7.2391 | 0.0767 |
| Mode #2 | 0.0991 | ±4.1140 | −0.0241 | |
| Mode #3 | −0.0799 | ±0.5212 | 0.1515 | |
| G4 | Mode #1 | −0.5426 | ±7.1518 | 0.0757 |
| Mode #2 | 0.1018 | ±4.1155 | −0.0247 | |
| Mode #3 | −0.0372 | ±0.4784 | 0.0775 | |
| PL | Mode #1 | 0.0988 | ±4.1140 | −0.0240 |
| Mode #2 | 0.1435 | ±0.6649 | −0.2110 |
| Object | Mode | (rad/s) | ||
|---|---|---|---|---|
| G1 | Mode #1 | −0.5867 | ±7.0125 | 0.0834 |
| Mode #2 | 0.0464 | ±4.0702 | −0.0114 | |
| Mode #3 | −0.0257 | ±0.7032 | 0.0365 | |
| G2 | Mode #1 | −0.5559 | ±6.9174 | 0.0801 |
| Mode #2 | 0.0438 | ±4.0686 | −0.0108 | |
| Mode #3 | −0.0484 | ±0.6640 | 0.0727 | |
| G3 | Mode #1 | −0.5834 | ±7.2156 | 0.0806 |
| Mode #2 | 0.0430 | ±4.0650 | −0.0106 | |
| Mode #3 | −0.1244 | ±0.7685 | 0.1598 | |
| G4 | Mode #1 | −0.6607 | ±7.2553 | 0.0907 |
| Mode #2 | 0.0451 | ±4.0676 | −0.0111 | |
| Mode #3 | −0.0244 | ±0.7069 | 0.0345 | |
| PL | Mode #1 | 0.0436 | ±4.0635 | −0.0107 |
| Mode #2 | 0.0303 | ±1.1071 | −0.0274 |
| Object | Mode | (rad/s) | ||
|---|---|---|---|---|
| G1 | Mode #1 | −0.6124 | ±6.9808 | 0.0874 |
| Mode #2 | 0.0349 | ±3.9510 | −0.0088 | |
| Mode #3 | −0.0466 | ±0.7909 | 0.0588 | |
| G2 | Mode #1 | −0.5914 | ±6.8905 | 0.0855 |
| Mode #2 | 0.0320 | ±3.9483 | −0.0081 | |
| Mode #3 | −0.0318 | ±0.6593 | 0.0482 | |
| G3 | Mode #1 | −0.6149 | ±7.1886 | 0.0852 |
| Mode #2 | 0.0341 | ±3.9480 | −0.0086 | |
| Mode #3 | −0.0616 | ±0.6992 | 0.0878 | |
| G4 | Mode #1 | −0.5889 | ±7.0858 | 0.0828 |
| Mode #2 | 0.0399 | ±3.9481 | −0.0101 | |
| Mode #3 | −0.0265 | ±0.6084 | 0.0435 | |
| PL | Mode #1 | 0.0339 | ±3.9422 | −0.0086 |
| Mode #2 | 0.0674 | ±1.2951 | −0.0520 |
| Object | Mode | (rad/s) | ||
|---|---|---|---|---|
| G1 | Mode #1 | −0.7655 | ±6.8725 | 0.1107 |
| Mode #2 | −0.0346 | ±3.6981 | 0.0094 | |
| Mode #3 | −0.0061 | ±0.6995 | 0.0087 | |
| G2 | Mode #1 | −0.7323 | ±6.7197 | 0.1083 |
| Mode #2 | −0.0253 | ±3.6977 | 0.0068 | |
| Mode #3 | −0.0282 | ±0.6665 | 0.0423 | |
| G3 | Mode #1 | −0.7612 | ±7.0388 | 0.1075 |
| Mode #2 | −0.0295 | ±3.7020 | 0.0080 | |
| Mode #3 | −0.1315 | ±0.7283 | 0.1777 | |
| G4 | Mode #1 | −0.7511 | ±6.8930 | 0.1083 |
| Mode #2 | −0.0321 | ±3.7044 | 0.0087 | |
| Mode #3 | −0.0316 | ±0.7136 | 0.0442 | |
| PL | Mode #1 | −0.0250 | ±3.6985 | 0.0068 |
| Mode #2 | −0.0864 | ±1.5045 | 0.0573 |
| Object | Mode | (rad/s) | ||
|---|---|---|---|---|
| G1 | Mode #1 | −0.9017 | ±6.6822 | 0.1337 |
| Mode #2 | −0.0750 | ±3.3351 | 0.0225 | |
| Mode #3 | −0.0097 | ±0.6907 | 0.0140 | |
| G2 | Mode #1 | −0.8103 | ±6.4869 | 0.1240 |
| Mode #2 | −0.0950 | ±3.3221 | 0.0286 | |
| Mode #3 | −0.0361 | ±0.6752 | 0.0534 | |
| G3 | Mode #1 | −0.7154 | ±6.9459 | 0.1025 |
| Mode #2 | −0.0820 | ±3.3208 | 0.0247 | |
| Mode #3 | −0.0320 | ±0.7344 | 0.0435 | |
| G4 | Mode #1 | −0.8395 | ±6.6771 | 0.1247 |
| Mode #2 | −0.0685 | ±3.3253 | 0.0206 | |
| Mode #3 | −0.0496 | ±0.6883 | 0.0719 | |
| PL | Mode #1 | −0.0776 | ±3.3239 | 0.0233 |
| Mode #2 | −0.1143 | ±0.7413 | 0.1524 |
Publisher’s Note: MDPI stays neutral with regard to jurisdictional claims in published maps and institutional affiliations. |
© 2022 by the authors. Licensee MDPI, Basel, Switzerland. This article is an open access article distributed under the terms and conditions of the Creative Commons Attribution (CC BY) license (https://creativecommons.org/licenses/by/4.0/).
Share and Cite
Chen, J.; Jin, T.; Mohamed, M.A.; Annuk, A.; Dampage, U. Investigating the Impact of Wind Power Integration on Damping Characteristics of Low Frequency Oscillations in Power Systems. Sustainability 2022, 14, 3841. https://doi.org/10.3390/su14073841
Chen J, Jin T, Mohamed MA, Annuk A, Dampage U. Investigating the Impact of Wind Power Integration on Damping Characteristics of Low Frequency Oscillations in Power Systems. Sustainability. 2022; 14(7):3841. https://doi.org/10.3390/su14073841
Chicago/Turabian StyleChen, Jian, Tao Jin, Mohamed A. Mohamed, Andres Annuk, and Udaya Dampage. 2022. "Investigating the Impact of Wind Power Integration on Damping Characteristics of Low Frequency Oscillations in Power Systems" Sustainability 14, no. 7: 3841. https://doi.org/10.3390/su14073841
APA StyleChen, J., Jin, T., Mohamed, M. A., Annuk, A., & Dampage, U. (2022). Investigating the Impact of Wind Power Integration on Damping Characteristics of Low Frequency Oscillations in Power Systems. Sustainability, 14(7), 3841. https://doi.org/10.3390/su14073841

