Application of User Side Energy Storage System for Power Quality Enhancement of Premium Power Park
Abstract
:1. Introduction
- (1)
- The topology and control strategy of UESS for mitigating voltage sag are devised. Further, a prototype device is constructed and experimental tests are performed to verify the feasibility and effectiveness of the device;
- (2)
- A hierarchical power supply strategy is proposed innovatively to avoid the negative effect caused by the switching of the UESS control mode between voltage sag mitigation mode and peak-shaving and valley-filling mode. Consequently, three levels of power quality can be provided in the PPP. Simulations are conducted in PSCAD/EMTDC to prove the feasibility of the proposed strategy.
2. Basic Topology of the PPP
3. Design and Control of UESS
3.1. Topology and Control Strategy
3.2. Experimental Tests
- (1)
- Case 1: 0.5 p.u. three-phase voltage sag.
- (2)
- Case 2: 0.5 p.u. two-phase voltage sag.
- (3)
- Case 3: 0.5 p.u. single-phase voltage sag.
- (4)
- Case 4: voltage interruption.
4. Principle of Hierarchical Power Supply Strategy
4.1. Lowest PQ Level
4.2. Medium PQ Level
- (1)
- UESS can respond quickly and the SOC of UESS is high. In this case, the UESS can compensate for the load voltage completely for a long time. The voltage at bus 2 will be compensated to the reference value (rated voltage). The UESS will continue to run until its energy is used up or the voltage sag is over;
- (2)
- UESS cannot respond immediately, or the SOC of UESS is low. In this condition, loads at bus 2 will experience a voltage sag before the voltage is compensated (due to the long response time), or the voltage support only lasts for a short while (due to the low SOC). Thus, loads at bus 2 are still at risk of voltage sag in this condition.
4.3. Highest PQ Level
- Step 1—Under normal conditions, buses 1, 2, and 3 are powered by the main power supply;
- Step 2—Under the condition of grid faults, when the Q2 level cannot ensure the normal power supply of bus 2 due to emergencies in the UESS, DVR will be put into operation after detecting the voltage sag at bus 3.
5. Case Study
- (1)
- Case 1—three faults occur at t = 1.0 s, with the duration of 500 ms. Besides this, the UESS operates normally;
- (2)
- Case 2—three faults occur at t = 1.0 s, with the duration of 500 ms. In addition, there is a 100 ms time delay in the control mode switching of the UESS;
- (3)
- Case 3—three faults occur at t = 1.0 s, with the duration of 500 ms. In addition, the UESS can only support loads with a duration of 300 ms due to the low SOC.
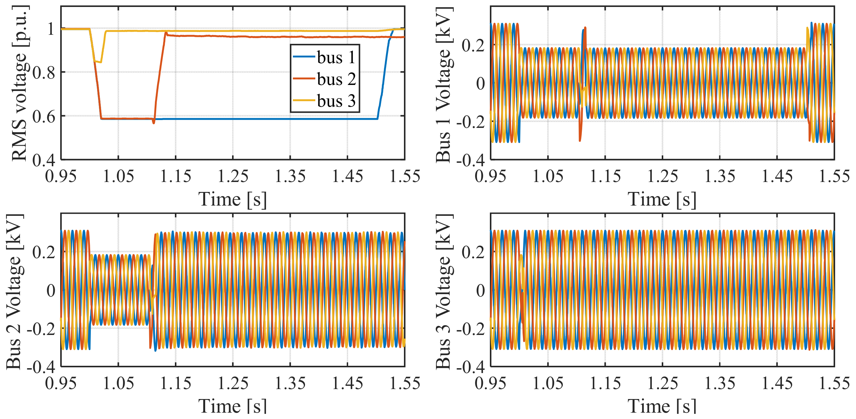
5.1. Under the Case of UESS Operating Normally
5.2. Under Cases of UESS Emergencies
6. Conclusions
Author Contributions
Funding
Institutional Review Board Statement
Informed Consent Statement
Data Availability Statement
Conflicts of Interest
References
- Yuan, B.; Wang, P.; Yang, J.; Xu, Z.; Zong, J. A review and outlook of user side energy storage development in China. In Proceedings of the 2019 IEEE 3rd International Electrical and Energy Conference (CIEEC), Beijing, China, 7–9 September 2019. [Google Scholar]
- Chen, Y.; Wang, Y.; Xiao, X.; Zheng, Z.; Zhang, H.; Wu, X. Improved premium model of voltage sag insurance based on voltage sag risk. IEEE Trans. Power Deliv. 2021, 1, to be published. [Google Scholar] [CrossRef]
- He, H.; Zhang, W.; Wang, Y.; Xiao, X. A sensitive industrial process model for financial losses assessment due to voltage sag and short interruptions. IEEE Trans. Power Deliv. 2021, 36, 1293–1301. [Google Scholar] [CrossRef]
- Sharma, A.; Rajpurohit, B.S.; Singh, S.N. A review on economics of power quality: Impact, assessment and mitigation. Renew. Sustain. Energy Rev. 2018, 88, 363–372. [Google Scholar] [CrossRef]
- Andrade, R.; Ferreira, A.; Sotelo, G. Voltage sags compensation using a superconducting flywheel energy storage system. IEEE Trans. Appl. Supercond. 2005, 15, 2265–2268. [Google Scholar] [CrossRef]
- Hajizadeh, A.; Golkar, M.A.; Feliachi, A. Voltage control and active power management of hybrid fuel-cell/energy-storage power conversion system under unbalanced voltage sag conditions. IEEE Trans. Energy Convers. 2010, 25, 1195–1208. [Google Scholar] [CrossRef]
- Zheng, Z.; Xiao, X.; Chen, X.; Huang, C.; Zhao, L.; Li, C. Performance evaluation of a MW-class SMES-BES DVR system for mitigation of voltage quality disturbances. IEEE Trans. Ind. Appl. 2018, 54, 3090–3099. [Google Scholar] [CrossRef]
- Zheng, Z.; Xiao, X.; Chen, X.; Huang, C.; Xu, J. Performance evaluation of a MW-class SMES-based DVR system for enhancing transient voltage quality by using d–q transform control. IEEE Trans. Appl. Supercond. 2018, 28, 5700805. [Google Scholar] [CrossRef]
- Islam, F.R.; Lallu, A.; Mamun, K.A.; Prakash, K.; Roy, N.K. Power Quality Improvement of Distribution Network Using BESS and Capacitor Bank. J. Mod. Power. Syst. Clean Energy 2021, 9, 625–632. [Google Scholar] [CrossRef]
- De Siqueira, L.M.S.; Peng, W. Control strategy to smooth wind power output using battery energy storage system: A review. J. Energy Storage 2021, 35, 102252. [Google Scholar] [CrossRef]
- Li, G.; Chen, Y.; Luo, A.; Wang, H. An Enhancing Grid Stiffness Control Strategy of STATCOM/BESS for Damping Sub-Synchronous Resonance in Wind Farm Connected to Weak Grid. IEEE Trans. Ind. Inform. 2020, 16, 5835–5845. [Google Scholar] [CrossRef]
- Li, X.; Hui, D.; Lai, X. Battery Energy Storage Station (BESS)-Based Smoothing Control of Photovoltaic (PV) and Wind Power Generation Fluctuations. IEEE Trans. Sustain. Energy 2013, 4, 464–473. [Google Scholar] [CrossRef]
- Ammar, M.; Joó, G. A Short-Term Energy Storage System for Voltage Quality Improvement in Distributed Wind Power. IEEE Trans. Energy Convers. 2014, 29, 997–1007. [Google Scholar] [CrossRef]
- Singh, Y.; Singh, B.; Mishra, S. Multifunctional Control for PV-Integrated Battery Energy Storage System with Improved Power Quality. IEEE Trans. Ind. Appl. 2020, 56, 6835–6845. [Google Scholar] [CrossRef]
- Ovaskainen, M.; Öörni, J.; Leinonen, A. Superposed control strategies of a BESS for power exchange and microgrid power quality improvement. In Proceedings of the 2019 IEEE International Conference on Environment and Electrical Engineering and 2019 IEEE Industrial and Commercial Power Systems Europe (EEEIC/I&CPS Europe), Genova, Italy, 11–14 June 2019. [Google Scholar]
- Tabart, Q.; Vechiu, I.; Etxeberria, A.; Bacha, S. Hybrid Energy Storage System Microgrids Integration for Power Quality Improvement Using Four-Leg Three-Level NPC Inverter and Second-Order Sliding Mode Control. IEEE Trans. Ind. Electron. 2018, 65, 424–435. [Google Scholar] [CrossRef]
- Alshehri, J.; Khalid, M. Power Quality Improvement in Microgrids Under Critical Disturbances Using an Intelligent Decoupled Control Strategy Based on Battery Energy Storage System. IEEE Access 2019, 7, 147314–147326. [Google Scholar] [CrossRef]
- Zhou, C.; Hu, Y.; Li, P.; Ma, X.; Lei, J.; Yuan, Z.; Yan, Z. Business model and economic analysis of user-side BESS in industrial parks in China. In Proceedings of the 8th Renewable Power Generation Conference (RPG 2019), Shanghai, China, 24–25 October 2019. [Google Scholar]
- Wu, N.; Xiao, J.; Feng, Y.; Bao, H.; Lin, R.; Chen, W. Economic feasibility analysis of user-side battery energy storage based on three electricity price policies. In Proceedings of the 2020 IEEE Sustainable Power and Energy Conference (iSPEC), Chengdu, China, 23–25 November 2020. [Google Scholar]
- Zhang, H.; Kang, L.; Cai, J. Optimal configuration of user-side energy storage considering load response and demand management. In Proceedings of the 2021 IEEE 4th International Conference on Electronics Technology (ICET), Chengdu, China, 7–10 May 2021. [Google Scholar]
- Mu, Q.; Gao, Y.; Yang, Y.; Liang, H. Design of power supply package for electricity sales companies considering user side energy storage configuration. Energies 2019, 12, 3219. [Google Scholar] [CrossRef] [Green Version]
- Hong, L.; Li, Y.; Ding, N.; Rizwan, M. Optimal capacity allocation strategy and economic analysis of grid side-user side energy storage system based on cooperative game. In Proceedings of the 2019 IEEE Sustainable Power and Energy Conference (iSPEC), Beijing, China, 21–23 November 2019. [Google Scholar]
- Dai, B.; Ye, L.; Li, Y.; Wang, C.; Shi, Z.; Li, Q. Economic analysis of user-side electrochemical energy storage considering time-of-use electricity price. In Proceedings of the 2021 3rd Asia Energy and Electrical Engineering Symposium (AEEES), Chengdu, China, 26–29 March 2021. [Google Scholar]
- Zhao, Y.T.; Wang, H.F.; He, B.T.; Xu, W.N. Optimization strategy of configuration and operation for user-side battery energy storage. Autom. Electr. Power Syst. 2020, 44, 121–128. [Google Scholar]
- Deng, T.; Tian, L.; Ge, W.; Liu, X.; Luo, H.; Zhou, G. Configuration evaluation and operation optimization model of energy storage in different typical user-side. Power Syst. Technol. 2020, 44, 4245–4253. [Google Scholar]










| Load Type | Sensitivity | PQ Level |
|---|---|---|
| L1 | Low | Q1 |
| L2 | Medium | Q2 |
| L3 | High | Q3 |
| Parameter | Value | Parameter | Value |
|---|---|---|---|
| Rated capacity | 200 kVA | Total harmonic distortion | ≤3% |
| Rated voltage | 380 V | Switch frequency | 10 kHz |
| Rated frequency | 50 Hz ± 5% | Mode of connection | 3 phase 4 wire |
| Rated DC voltage | 765 V | Power factor | 0.99 |
| LCL filter (L1, L2, C) | 100 μH, 30 μH, 60 μF, | Transformer | 50 kW, 400 V/400 V |
Publisher’s Note: MDPI stays neutral with regard to jurisdictional claims in published maps and institutional affiliations. |
© 2022 by the authors. Licensee MDPI, Basel, Switzerland. This article is an open access article distributed under the terms and conditions of the Creative Commons Attribution (CC BY) license (https://creativecommons.org/licenses/by/4.0/).
Share and Cite
Ding, K.; Li, W.; Qian, Y.; Hu, P.; Huang, Z. Application of User Side Energy Storage System for Power Quality Enhancement of Premium Power Park. Sustainability 2022, 14, 3668. https://doi.org/10.3390/su14063668
Ding K, Li W, Qian Y, Hu P, Huang Z. Application of User Side Energy Storage System for Power Quality Enhancement of Premium Power Park. Sustainability. 2022; 14(6):3668. https://doi.org/10.3390/su14063668
Chicago/Turabian StyleDing, Kai, Wei Li, Yimin Qian, Pan Hu, and Zengrui Huang. 2022. "Application of User Side Energy Storage System for Power Quality Enhancement of Premium Power Park" Sustainability 14, no. 6: 3668. https://doi.org/10.3390/su14063668
APA StyleDing, K., Li, W., Qian, Y., Hu, P., & Huang, Z. (2022). Application of User Side Energy Storage System for Power Quality Enhancement of Premium Power Park. Sustainability, 14(6), 3668. https://doi.org/10.3390/su14063668
