Pervious Concrete Reinforced with Waste Cloth Strips
Abstract
:1. Introduction
2. Materials and Methods
2.1. Materials and Preparation of Specimens
2.2. Testing of Hardened Pervious Concrete Specimens
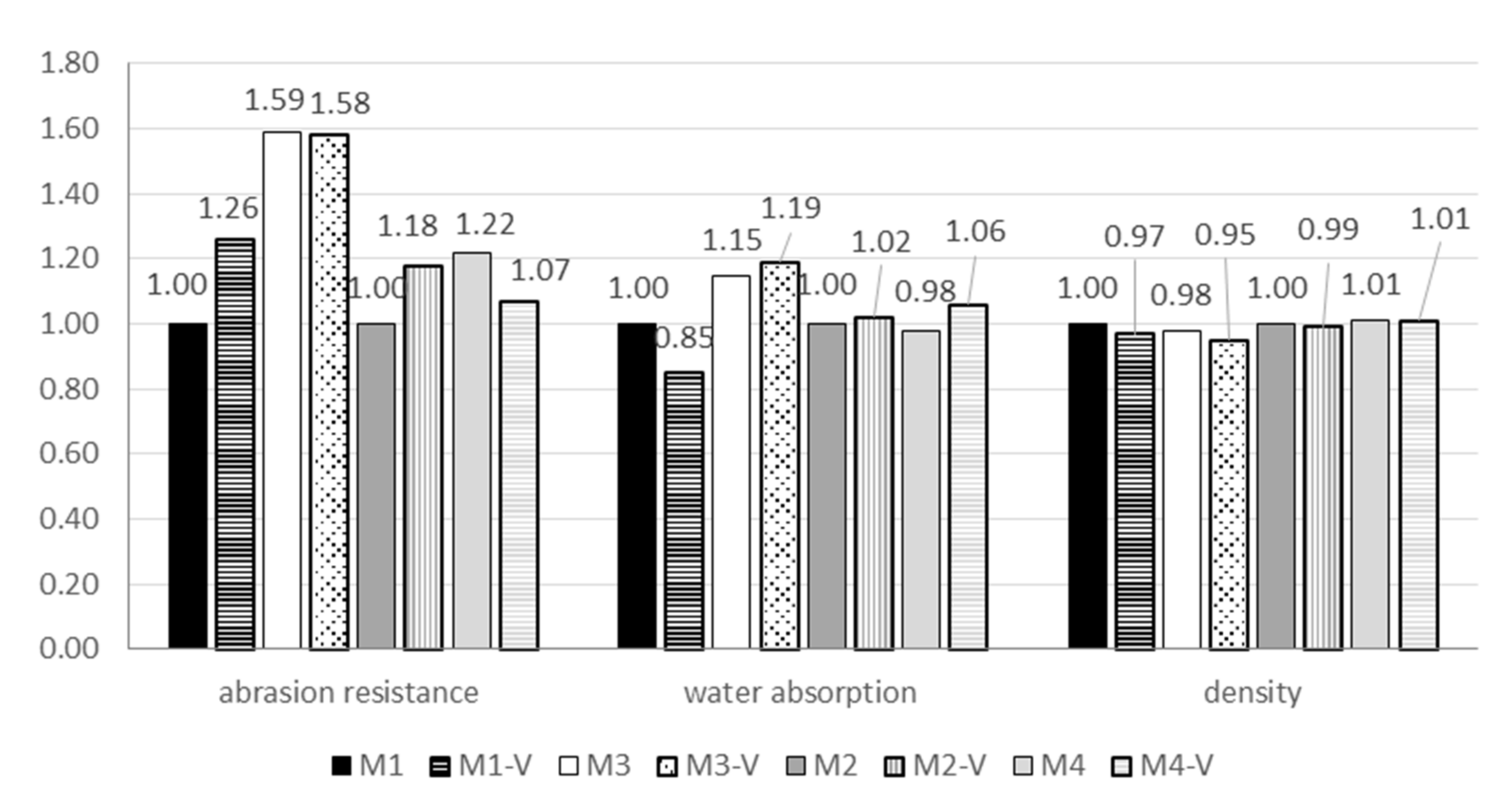
3. Results and Discussion
4. Conclusions
- Only one mixture met the condition for a concrete pavement for the parking area of passenger cars with a small axle load, concrete curb units, concrete paving flags, and concrete paving blocks. By reducing the very high porosity of single-size pervious concrete with a maximum grain size of 8 mm, it is possible to increase permeability and further improve its properties;
- The granulometric composition of the aggregate, especially the percentage of passages on the 4 mm sieve significantly affects the properties of pervious concrete. Furthermore, the maximum grain size of the fine fraction should be reduced to 2 mm;
- With the increase of the maximum aggregate grain size, compressive strength and abrasion resistance decrease while porosity and permeability increase;
- This paper presents a linear equation to correlate the infiltration rate on test slabs and the infiltration rate on cubes, in order to correctly predict the field hydraulic behavior of a pervious concrete mixture;
- The relationship between the standard deviation of the MSCT results and porosity, and both infiltration rates measuring methods, are established;
- An X-ray examination of the specimens showed large holes in the cross sections of specimens caused by an insufficient compaction effort during the specimens’ placement. The compaction of zero-slump concrete with a combination of rod and wooden tamper produced specimens that had a greater degree of variability in test results;
- Waste strips improved the compressive strength, flexural strength, and abrasion resistance of pervious concrete with the addition of a fine fraction. In most specimens, the inclusion of waste strips increased the ductility of pervious concrete due to the reinforcement. The amount and form of the use of the waste cloth should be further elaborated.
Author Contributions
Funding
Institutional Review Board Statement
Informed Consent Statement
Data Availability Statement
Acknowledgments
Conflicts of Interest
References
- Yang, Z.; Ma, W.; Shen, W.; Zhou, M. The aggregate gradation for the porous concrete pervious road base material. J. Wuhan Univ. Technol.-Mat. Sci. Edit. 2008, 23, 391–394. [Google Scholar] [CrossRef]
- Juradin, S.; Ostojić-Škomrlj, N.; Brnas, I.; Prolić, M. Influence of binder, aggregate and compaction techniques on the properties of single-sized pervious concrete. Adv. Concr. Constr. 2020, 10, 211–220. [Google Scholar] [CrossRef]
- Shu, X.; Huang, B.; Wu, H.; Dong, Q.; Burdette, E.G. Performance comparison of laboratory and field produced pervious concrete mixtures. Constr. Build. Mater. 2011, 25, 3187–3192. [Google Scholar] [CrossRef]
- Putman, B.J.; Neptune, A.I. Comparison of test specimen preparation techniques for pervious concrete pavements. Constr. Build. Mater. 2011, 25, 3480–3485. [Google Scholar] [CrossRef]
- Schaefer, V.R.; Wang, K.; Suleiman, M.T.; Kevern, J. Mix Design Development for Pervious Concrete in Cold Climates; Technical Report; National Concrete Pavement Technology Center: Ames, IA, USA, 2006; Available online: https://www.perviouspavement.org/downloads/Iowa.pdf (accessed on 26 December 2021).
- Sonebi, M.; Bassuonib, M.; Yahiac, A. Pervious concrete: Mix design, properties and applications. RILEM Tech. Lett. 2016, 1, 109–115. [Google Scholar] [CrossRef]
- Tennis, P.D.; Leming, M.L.; Akers, D.J. Pervious Concrete Pavements; EB302.02; Portland Cement Association: Skokie, IL, USA; National Ready Mixed Concrete Association: Silver Spring, MD, USA, 2004. [Google Scholar]
- Zhong, R.; Wille, K. Material design and characterization of high-performance pervious concrete. Constr. Build. Mater. 2015, 98, 51–60. [Google Scholar] [CrossRef]
- Ghafoori, N.; Dutta, S. Building and non-pavement applications of no-fines concrete. J. Mater. Civ. Eng. 1995, 7, 286–289. [Google Scholar] [CrossRef]
- Bhutta, M.A.R.; Tsuruta, K.; Mirza, J. Evaluation of high-performance pervious concrete properties. Constr. Build. Mater. 2012, 31, 67–73. [Google Scholar] [CrossRef]
- Lian, C.; Zhuge, Y. Optimum mix design of enhanced permeable concrete—An experimental investigation. Constr. Build. Mater. 2010, 24, 2664–2671. [Google Scholar] [CrossRef]
- Geethanjali, S.; Manonmani, B.; Sowmya, P.; Suvetha, T.; Balakumar, V. Experimental study of Pervious (No Fine) Concrete. Int. J. Sci. Eng. Res. 2020, 11, 83–86. Available online: https://www.ijser.org/researchpaper/Experimental-study-of-Pervious-No-Fine-Concrete.pdf (accessed on 26 December 2021).
- AlShareedah, O.; Nassiri, S. Pervious Concrete Mixture Optimization, Physical, and Mechanical Properties and Pavement Design: A Review. J. Clean. Prod. 2021, 288, 125095. [Google Scholar] [CrossRef]
- Sonebi, M.; Bassuoni, M.T. Investigating the effect of mixture design parameters on pervious concrete by statistical modelling. Constr. Build. Mater. 2013, 38, 147–154. [Google Scholar] [CrossRef]
- Croush, L.K.; Pitt, J.; Hewitt, R. Aggregate effects on pervious portland cement concrete static modulus of elasticity. J. Mater. Civ. Eng. 2007, 19, 561–568. [Google Scholar] [CrossRef]
- Seeni, B.S.; Madasamy, M. A review of factors influencing performance of pervious concrete. Građevinar 2021, 73, 1007–1030. [Google Scholar] [CrossRef]
- Zaetang, Y.; Sata, V.; Wongsa, A.; Chindaprasirt, P. Properties of pervious concrete containing recycled concrete block aggregate and recycled concrete aggregate. Constr. Build. Mater. 2016, 111, 15–21. [Google Scholar] [CrossRef]
- Lu, J.; Yan, X.; He, P.; Sun, C. Sustainable design of pervious concrete using waste glass and recycled concrete aggregate. J. Clean. Prod. 2019, 234, 1102–1112. [Google Scholar] [CrossRef]
- Gesoğlu, M.; Güneyisi, E.; Khoshnaw, G.; İpek, S. Investigating properties of pervious concretes containing waste tire rubbers. Constr. Build. Mater. 2014, 63, 206–213. [Google Scholar] [CrossRef]
- Juradin, S.; Netinger-Grubeša, I.; Mrakovčić, S.; Jozić, D. Impact of fibre incorporation and compaction method on properties of pervious concrete. Mater. Constr. 2021, 71, e245. [Google Scholar] [CrossRef]
- Amde, A.M.; Rogge, S. Development of High Quality Pervious Concrete Specifications for Maryland Conditions; Final Report MD-13-SP009B4F; State Highway Administration (SHA) Maryland Department of Transportation: Baltimore, MD, USA, 2013. Available online: https://www.roads.maryland.gov/OPR_Research/MD-13-SP009B4F_Pervious-Concrete-Specifications_Report.pdf (accessed on 26 December 2021).
- Kevern, J.T.; Biddle, D.; Cao, Q. Effects of macrosynthetic fibers on pervious concrete properties. J. Mater. Civ. Eng. 2014, 27, 06014031. [Google Scholar] [CrossRef]
- Liu, R.; Chi, Y.; Jiang, Q.; Meng, X.; Wu, K.; Li, S. Physical and mechanical properties of pervious concrete with multi-admixtures. Mag. Concr. Res. 2021, 73, 448–463. [Google Scholar] [CrossRef]
- Brown, R. The Environmental Crisis Caused by Textile Waste. Available online: https://www.roadrunnerwm.com/blog/textile-waste-environmental-crisis (accessed on 25 December 2021).
- Ernantez, K.P.E.; Barrera, M.M.B.; Navacerrada, M.A. Textile Wastes: State of the Art. J. Textile Sci. Eng. 2017, 7, 1000322. Available online: https://www.hilarispublisher.com/open-access/textile-wastes-state-of-the-art-2165-8064-1000322.pdf (accessed on 25 December 2021).
- Hansen, P.; Grujoska, V.; Jovanoska, M. Textile as Material in Human Built Environment Interaction. In Rethinking Sustainability Towards a Regenerative Economy. Future City; Andreucci, M.B., Marvuglia, A., Baltov, M., Hansen, P., Eds.; Springer Nature: Cham, Switzerland, 2021; Volume 15, pp. 215–225. [Google Scholar] [CrossRef]
- Pichardo, P.P.; Martínez-Barrera, G.; Martínez-López, M.; Ureña-Núñez, F.; Ávila-Córdoba, L.I. Waste and Recycled Textiles as Reinforcements of Building Materials. In Natural and Artificial Fiber-Reinforced Composites as Renewable Sources; Guay, E., Ed.; 52249153; IntechOpen: London, UK, 2017; Available online: https://www.intechopen.com/chapters/56947 (accessed on 26 December 2021).
- Sumner, M. Following a T-Shirt from Cotton Field to Landfill Shows the True Cost of Fast Fashion. Available online: https://theconversation.com/following-a-t-shirt-from-cotton-field-to-landfill-shows-the-true-cost-of-fast-fashion-127363 (accessed on 26 December 2021).
- Anglade, J.; Benavente, E.; Rodrígue, J.; Hinostroza, A. Use of Textile Waste as an Addition in the elaboration of an Ecological Concrete Block. IOP Conf. Ser. Mater. Sci. Eng. 2021, 1054, 012005. Available online: https://iopscience.iop.org/article/10.1088/1757-899X/1054/1/012005 (accessed on 25 December 2021). [CrossRef]
- Tran, N.P.; Gunasekara, C.; Law, D.W.; Houshyar, S.; Setunge, S.; Cwirzen, A. Comprehensive review on sustainable fiber reinforced concrete incorporating recycled textile waste. J. Sustain. Cem. Mater. 2021, 11, 1–22. [Google Scholar] [CrossRef]
- Sadrolodabaee, P.; Claramunt, J.; Ardanuy, M.; de la Fuente, A. A Textile Waste Fiber-Reinforced Cement Composite: Comparison between Short Random Fiber and Textile Reinforcement. Materials 2021, 14, 3742. [Google Scholar] [CrossRef] [PubMed]
- Mohammadhosseini, H.; Tahir, M.M.; Sam, A.R.M.; Lim, N.H.A.S.; Samadi, M. Enhanced performance for aggressive environments of green concrete composites reinforced with waste carpet fibers and palm oil fuel ash. J. Clean. Prod. 2018, 185, 252–265. [Google Scholar] [CrossRef]
- Xuan, W.; Chen, X.; Yang, G.; Dai, F.; Chen, Y. Impact behavior and microstructure of cement mortar incorporating waste carpet fibers after exposure to high temperatures. J. Clean. Prod. 2018, 187, 222–236. [Google Scholar] [CrossRef]
- Mohammadhosseini, H.; Awal, A.S.M.A.; Yatim, J.B.M. The impact resistance and mechanical properties of concrete reinforced with waste polypropylene carpet fibres. Constr. Build. Mater. 2017, 143, 147–157. [Google Scholar] [CrossRef]
- Wang, Y.; Wu, H.C.; Li, V.C. Concrete reinforcement with recycled fibers. J. Mater. Civ. Eng. 2000, 12, 314–319. [Google Scholar] [CrossRef]
- Bartulović, B.; Juradin, S.; Žižić, D.; Mrakovčić, S. Possibility of Using Cotton Knitted Fabric Waste in Concrete. IOP Conf. Ser. Mater. Sci. Eng. 2021, 1203, 022074. Available online: https://iopscience.iop.org/article/10.1088/1757-899X/1203/2/022074 (accessed on 26 December 2021). [CrossRef]
- Sadrolodabaee, P.; Claramunt, J.; Ardanuy, M.; de la Fuente, A. Mechanical and durability characterization of a new textile waste micro-fiber reinforced cement composite for building applications. Case Stud. Constr. Mater. 2021, 14, e00492. [Google Scholar] [CrossRef]
- Selvaraj, R.; Priyanka, R. Study on Recycled Waste Cloth in Concrete. Int. J. Eng. Res. 2015, 4, 891–895. Available online: https://www.ijert.org/research/study-on-recycled-waste-cloth-in-concrete-IJERTV4IS090437.pdf (accessed on 26 December 2021). [CrossRef]
- Testing Fresh Concrete—Slump Test. In HRN EN 12350-2:2019; CSI: Zagreb, Croatia, 2019.
- Testing Hardened Concrete—Part 3: Compressive Strength of Test Specimens. In HRN EN 12390-3:2019; CSI: Zagreb, Croatia, 2019.
- Testing Hardened Concrete—Part 5: Flexural Strength of Test Specimens. In HRN EN 12390-5:2019; CSI: Zagreb, Croatia, 2019.
- Standard Test Method for Infiltration Rate of In-Place Pervious Concrete. In ASTM C1701/C1701M−09; ASTM: West Conshohocken, PA, USA, 2009.
- Hung, V.V.; Seo, S.-Y.; Kim, H.-W.; Lee, G.-C. Permeability and Strength of Pervious Concrete According to Aggregate Size and Blocking Material. Sustainability 2021, 13, 426. [Google Scholar] [CrossRef]
- Anderson, I.A.; Suozzo, M.; Dewoolkar, M.M. Laboratory and Field Evaluations of Pervious Concrete; College of Engineering and Mathematical Sciences: Burlington, VT, USA, 2013. [Google Scholar]
- Lederle, R.; Shepard, T.; Meza, V.D.L.V. Comparison of methods for measuring infiltration rate of pervious concrete. Constr. Build. Mater. 2020, 224, 118339. [Google Scholar] [CrossRef]
- Concrete—Guidelines for the Implementation of HRN EN 206-1. In HRN 1128:2007; CSI: Zagreb, Croatia, 2007.
- Horszczaruk, E. Abrasion resistance of high-performance hydraulic concrete with polypropylene fibers. Tribologia 2012, 1, 63–72. Available online: http://yadda.icm.edu.pl/yadda/element/bwmeta1.element.baztech-article-BPS1-0047-0005 (accessed on 26 December 2021).
- Guide for the Design and Construction of Concrete Parking Lots; ACI 330R-08; American Concrete Institute: Farmington Hills, MI, USA, 2008.
- Concrete Paving Blocks—Requirements and Test Methods. In HRN EN 1338:2003; CSI: Zagreb, Croatia, 2003.
- Concrete Paving Flags—Requirements and Test Methods. In HRN EN 1339:2004/AC:2007; CSI: Zagreb, Croatia, 2007.
- Concrete Kerb Units—Requirements and Test Methods. In HRN EN 1340:2004/AC:2007; CSI: Zagreb, Croatia, 2007.
- Sherwani, A.F.H.; Faraj, R.; Younis, K.H.; Daraei, A. Strength, abrasion resistance and permeability of artificial fly-ash aggregate pervious concrete. Case Stud. Constr. Mater. 2021, 14, e00502. [Google Scholar] [CrossRef]
- Kevern, J.T.; Schaefer, V.R.; Wang, K. Evaluation of Pervious Concrete Workability Using Gyratory Compaction. J. Mater. Civ. Eng. 2009, 21, 764–770. [Google Scholar] [CrossRef]
- Ibrahim, A.; Mahmoud, E.; Yamin, M.; Patibandla, V.C. Experimentally study on Portland cement pervious concrete mechanical and hydrological properties. Constr. Build. Mater. 2014, 50, 524–529. [Google Scholar] [CrossRef]
- Tho-in, T.; Sata, V.; Chindaprasirt, P.; Jaturapitakkul, C. Pervious high-calcium fly ash geopolymer concrete. Constr. Build. Mater. 2012, 30, 366–371. [Google Scholar] [CrossRef]
- Fu, T.C.; Yeih, W.; Chang, J.J.; Huang, R. The Influence of Aggregate Size and Binder Material on the Properties of Pervious Concrete. Adv. Mater. Sci. Eng. 2014, 2014, 963971. [Google Scholar] [CrossRef] [Green Version]
- Report on Pervious Concrete; ACI 522R-10; American Concrete Institute: Farmington Hills, MI, USA, 2011.
- Stefanou, G.; Savvas, D.; Metsis, P. Random Material Property Fields of 3D Concrete Microstructures Based on CT Image Reconstruction. Materials 2021, 14, 1423. [Google Scholar] [CrossRef]
- Hou, M.; Acton, P.D. Understanding the tampon density and density gradient through computed tomography imagin. Text. Res. J. 2016, 86, 573–579. [Google Scholar] [CrossRef]
- Sahdeo, S.K.; Chandrappa, A.; Biligiri, K.P. Effect of Compaction Type and Compaction Efforts on Structural and Functional Properties of Pervious Concrete. Transp. Dev. Econ. 2021, 7, 19. [Google Scholar] [CrossRef]
- Krstulović, P. Properties and Technology of Concrete; Faculty of Civil Engineering, University of Split, Institut IGH: Split, Croatia, 2000. (In Croatian) [Google Scholar]
- Powers, T.C. The Properties of Fresh Concrete; John Wiley & Sons: New York, NY, USA, 1698. [Google Scholar]
- Troxell, G.E.; Davis, H.E.; Kelly, J.W. Composition and Properties of Concrete; McGraw-Hill, Incorporated: New York, NY, USA, 1968. [Google Scholar]
- Bonicelli, A.; Giustozzi, F.; Crispino, M. Experimental study on the effects of fine sand addition on differentially compacted pervious concrete. Constr. Build. Mater. 2015, 91, 102–110. [Google Scholar] [CrossRef]
























| Constituent/Mixtures | M1 | M1-V | M2 | M2-V | M3 | M3-V | M4 | M4-V | |
|---|---|---|---|---|---|---|---|---|---|
| Cement (kg/m3) | 350 | 350 | 350 | 350 | 350 | 350 | 350 | 350 | |
| Water/cement ratio | 0.35 | 0.35 | 0.35 | 0.35 | 0.35 | 0.35 | 0.35 | 0.35 | |
| Textile strips (kg/m3) | - | 2.2 | - | 2.2 | - | 2.2 | - | 2.2 | |
| Aggregate | 0–4 mm (kg/m3) | - | - | - | - | 148.6 | 146.0 | 148.6 | 146.0 |
| 4–8 mm (kg/m3) | 1486.3 | 1459.5 | - | - | 1337.7 | 1313.6 | |||
| 8–16 mm (kg/m3) | - | - | 1486.3 | 1459.5 | - | 1337.7 | 1313.6 | ||
| Measured Values | M1 | M1-V | M2 | M2-V | M3 | M3-V | M4 | M4-V |
|---|---|---|---|---|---|---|---|---|
| Compressive strength [MPa] | 20.3 ± 0.7 | 13.1 ± 0.5 | 10.5 ± 0.6 | 9.9 ± 0.3 | 11.6 ± 0.8 | 12.2 ± 0.5 | 8.7 ± 0.4 | 10.4 ± 0.9 |
| Flexural strength [MPa] | 4.50 ± 0.26 | 3.07 ± 0.11 | 2.62 ± 0.17 | 2.31 ± 0.06 | 3.35 ± 0.11 | 3.44 ± 0.03 | 2.27 ± 0.10 | 2.70 ± 0.07 |
| Abrasion resistance [cm3/50cm2] | 24.7 ± 1.2 | 31.1 ± 1.7 | 37.9 ± 2.1 | 44.7 ± 2.9 | 39.3 ± 3.5 | 39.1 ± 3.1 | 46.3 ± 3.8 | 40.5 ± 2.6 |
| Density [kg/m3] | 1834.2 ± 9.1 | 1776.9 ± 8.3 | 1719.3 ± 6.5 | 1709.9 ± 29.0 | 1793.0 ± 15.3 | 1736.5 ± 6.5 | 1738.9 ± 12.2 | 1731.3 ± 31.9 |
| Porosity [%] | 28.9 | 32.1 | 36.0 | 36.1 | 31.0 | 33.6 | 34.9 | 34.4 |
| Water absorption [%] | 7.4 | 6.3 | 5.9 | 6.0 | 8.5 | 8.8 | 5.8 | 6.2 |
| Infiltration rate on cubes [mm/s] | 3.20 | 11.73 | 17.32 | 25.81 | 7.18 | 6.48 | 14.45 | 12.08 |
| Infiltration rate on test slabs according to ASTM C 1701 [mm/s] | 0.22 | 5.39 | 14.88 | 18.11 | 5.90 | 6.61 | 17.14 | 8.42 |
| Measured Values | M1 | M1-V | M2 | M2-V | M3 | M3-V | M4 | M4-V |
|---|---|---|---|---|---|---|---|---|
| N | 50 | 38 | 34 | 35 | 37 | 38 | 36 | 37 |
| Area [cm2] | 143.891 | 164.275 | 151.567 | 127.046 | 145.664 | 146.348 | 146.572 | 154.026 |
| Minimum [HU] | −922.440 | −934.368 | −987.324 | −950.257 | −827.378 | −851.684 | −922.361 | −928.459 |
| Maximum [HU] | 2193.340 | 2224.395 | 2239.971 | 2114.971 | 2098.476 | 2093.421 | 2124.778 | 2118.703 |
| Mean [HU] | 1195.769 | 1142.188 | 1138.628 | 1127.545 | 1150.236 | 1087.782 | 1166.523 | 1172.472 |
| Median [HU] | 1382.840 | 1300.737 | 1492.618 | 1432.629 | 1245.784 | 1190.026 | 1464.083 | 1440.270 |
| Standard deviation [HU] | 641.954 | 669.879 | 876.152 | 785.273 | 496.628 | 544.550 | 731.713 | 707.829 |
Publisher’s Note: MDPI stays neutral with regard to jurisdictional claims in published maps and institutional affiliations. |
© 2022 by the authors. Licensee MDPI, Basel, Switzerland. This article is an open access article distributed under the terms and conditions of the Creative Commons Attribution (CC BY) license (https://creativecommons.org/licenses/by/4.0/).
Share and Cite
Juradin, S.; Mihanović, F.; Ostojić-Škomrlj, N.; Rogošić, E. Pervious Concrete Reinforced with Waste Cloth Strips. Sustainability 2022, 14, 2723. https://doi.org/10.3390/su14052723
Juradin S, Mihanović F, Ostojić-Škomrlj N, Rogošić E. Pervious Concrete Reinforced with Waste Cloth Strips. Sustainability. 2022; 14(5):2723. https://doi.org/10.3390/su14052723
Chicago/Turabian StyleJuradin, Sandra, Frane Mihanović, Nives Ostojić-Škomrlj, and Ela Rogošić. 2022. "Pervious Concrete Reinforced with Waste Cloth Strips" Sustainability 14, no. 5: 2723. https://doi.org/10.3390/su14052723
APA StyleJuradin, S., Mihanović, F., Ostojić-Škomrlj, N., & Rogošić, E. (2022). Pervious Concrete Reinforced with Waste Cloth Strips. Sustainability, 14(5), 2723. https://doi.org/10.3390/su14052723

