Next Article in Journal
Sustainable Inventory Management in Supply Chains: Trends and Further Research
Previous Article in Journal
The Psychological Effects of Digital Companies’ Employees during the Phase of COVID-19 Pandemic Extracted from Online Employee Reviews
 
 
Font Type:
Arial Georgia Verdana
Font Size:
Aa Aa Aa
Line Spacing:
Column Width:
Background:
Article

Aging Characteristics of Rubber Modified Bitumen Mixed with Sulfur after Terminal Blend Process

1
Key Laboratory of Road and Traffic Engineering of Ministry of Education, Tongji University, Tongda Building, 4800 Cao’an Road, Shanghai 201804, China
2
Section of Pavement Engineering, Department of Engineering Structures, Faculty of Civil Engineering and Geosciences, Delft University of Technology, Stevinweg 1, 2628 CN Delft, The Netherlands
*
Author to whom correspondence should be addressed.
Sustainability 2022, 14(5), 2612; https://doi.org/10.3390/su14052612
Submission received: 27 January 2022 / Revised: 21 February 2022 / Accepted: 22 February 2022 / Published: 24 February 2022

Abstract

:
The influence of sulfur on the chemical, rheological, and aging resistance of terminal blend rubberized bitumen (TBRB) was studied. TB hybrid bitumen (TBHB) was prepared from with different sulfur contents (0.1, 0.2, 0.3, 0.4 wt%) and TBRB prepared with neat bitumen and crumb rubbers at 20% content. TBHB binders were aged by rolling thin film oven test (RTFOT) and pressure aging vessel (PAV), respectively. The chemical composition of TBHB binders was monitored by attenuated total reflection-Fourier transform infrared spectroscopy (ATR-FTIR). Rheological properties of all TBHB samples were tested. Chemical composition results show that TBHB can inhibit the degradation of polybutadiene compared with TBRB in the RTFOT stage, and the polybutadiene degradation is the main process of TBHB in the RTFOT stage, while the TBHB is mainly desulfurized after PAV aging. Meanwhile, the increase in sulfur content in the TBHB can improve the desulfurization degree of the TBHB binder after PAV. TBRB containing sulfur can improve the mechanical properties and elasticity and reduce the hardening degree during aging. Moreover, blending sulfur into the TBRB caused a lower complex modulus aging index after aging, which indicates that TBHB has superior aging resistance.

1. Introduction

Asphalt pavement has been applied widely for its superior road performance and driving comfort [1,2]. However, as a blended organic compound material, bitumen is prone to oxidation under the influence of the external environment, which makes bitumen hard and brittle, resulting in pitting, cracking, and other defects of asphalt pavement [3], affecting the service life, durability, and driving safety of the pavement. It has become a trend to add anti-aging modifiers to neat bitumen to improve the resistance of bitumen materials to aging reactions or to inhibit the aging rate and improve the anti-aging properties of bitumen [4]. UV absorbents can improve the high and low temperature properties of bitumen, especially ductility. At the same time, UV absorbents can also effectively improve the resistance of modified bitumen to light oxygen, but the inhibition of thermal oxygen aging is very small [5]. The addition of nano-SiO2 into bitumen can effectively enhance the storage modulus and elastic behavior of bitumen materials, thereby improving its high temperature rutting resistance and anti-aging performance [6,7,8]. Crumb rubber (CR) is one of the most widely used modifiers, which can not only effectively improve the anti-aging properties of bitumen [9], but also make full use of CR [10,11,12,13]. However, because of the backward preparation process, bitumen is not compatible with the CR in rubberized bitumen, leading to poor storage properties of rubberized bitumen, which hinders the popularization of rubberized bitumen.
In recent years, high temperature desulfurization technology has been an effective means to solve the compatibility problem between CR and bitumen. The terminal blend rubberized bitumen (TBRB) prepared by high temperature desulfurization technology has attracted more and more attention for its superior storage stability and good constructability [9,14,15,16]. Although TBRB obtains excellent anti-fatigue performance and thermal storage stability, high temperature desulfurization degradation can greatly reduce the mechanical properties of bitumen, resulting in the decline of the anti-rutting properties of bitumen. To make up for the defect of high temperature performance, a small amount of polymer or crosslinking agent is added to the TBRB to improve the elastic properties of the binder. Sulfur is one of the commonly used crosslinking agents, which can effectively solve the storage stability problem of modified bitumen and significantly improve the rutting resistance of bitumen [17,18,19]. On the one hand, sulfur molecules cross-link between polymer molecules and some components of bitumen through polysulfide bonds to improve the compatibility between polymer and bitumen. On the other hand, due to the chemical crosslinking effect of sulfur, the polymer network structure is formed in the bitumen [20,21], and the rutting resistance of the modified bitumen is also significantly enhanced. However, similar to conventional modified bitumen, TBRB containing sulfur can age under the action of natural factors, resulting in hardening of neat bitumen and degradation of polymers and CR, which not only weakens the CR improvement but also causes various roads diseases [1,2,22]. Previous studies concentrated on the improvement of storage stability and road performance of TBRB by sulfur and little research has been done on the aging properties of TBRB with sulfur. Therefore, the aging of the TBRB with sulfur remains a concern, which affects the road properties of bitumen mixtures and this requires a comprehensive study.
The influence of sulfur on the chemical, rheological, and aging properties of TBRB were studied in this paper. The attenuated total reflection-Fourier transform infrared spectroscopy (ATR-FTIR) test was applied to analyze the chemical compositional changes of the TBRB with sulfur before and after aging. Moreover, the change law of different rheological indexes of TBRB with sulfur after aging was studied. Additionally, the aging properties of TBRB with sulfur were evaluated by the magnitude of change in complex modulus before and after aging.

2. Material and Methods

2.1. Materials

TBRB was made of minus 30 mesh CR (20% by weight of neat bitumen) and neat bitumen (PG 64-16). The basic properties of neat bitumen such as softening point, ductility (10 °C), and penetration (25 °C) are 53 °C, 22 cm, and 68 dmm respectively. The minus 30 mesh CR composed of 54% natural rubber and synthetic rubber is made from waste tires by the ambient grinding method in Jiangsu, China. Sulfur is provided by Shenzhen Keda Trading Co., Ltd. (Shenzhen, China) with a melting point of 115 °C, a boiling point of 445 °C, and an ash content of 0.032%. The preparation of TBRB was prepared by a high-temperature curing method to assure the degradation of CRs [23,24]. TB hybrid bitumen (TBHB) is made of TBRB and sulfur. The preparation of TBHB was prepared by blending TBRB and sulfur at 180 °C for 120 min. The specific technique of the TBRB and TBHB is given in Figure 1. Four TBHB binders were prepared by selecting the calculated ratio (0.1, 0.2, 0.3, 0.4 wt%) of sulfur by weight of TBRB, respectively. Furthermore, four kinds of TBHB binders were prepared—named 20TB_0.1S, 20TB_0.2S, 20TB_0.3S, and 20TB_0.4S for convenience, respectively. The TBRB was named 20TB_0S. In general, there are five samples. Table 1 lists the main basic properties of 20TB_0S.

2.2. ATR-FTIR Test

Accordance with AASHTO M 320-14 RTFOT, and PAV were carried out on the TBHB binders. The aging of polymer modified bitumen can cause the generation of the carbonyl group and the change of polymer [25]. The sulfoxide group of the modified bitumen is less stable during aging, so the aging extent of TBHB binders was compared by testing the carbonyl index (ICA) in this study [26]. The active polymer index (API) was used to represent the chemical changes of polymers in TBHB binders. API is calculated from the ratio of the peak at 966 cm−1 (polybutadiene) to that of a reference peak. The higher the API value, the higher the desulfurization degree of the TBHB binder. The lower the API value, the higher the degradation degree of polybutadiene. The API has been explained and verified in related research [27]. The calculation methods of ICA and API were shown in Equations (1) and (2).
ICA = A1700cm−1/A(600~2000)cm−1
API = A966cm−1/A(600~2000)cm−1
A(XX)cm−1 represents the area of (XX) cm−1 peak
All surfaces of ATR crystal were coated with the TBHB binders uniformly, and the infrared spectrum was collected. The range and number of times of scanning were 4000–600 cm−1 and 32 times respectively.

2.3. Multiple Stress Creep and Recovery (MSCR) Test

The MSCR test was conducted on TBHB binders at 64 °C, 70 °C, 76 °C, and 82 °C before and after RTFOT and PAV, according to AASHTO M 332-14 [28,29]. Each binder was tested three times and its average value was reported. In this paper, R0.1 and R3.2 are used to express the R value of TBHB binders at a stress of 0.1 kPa and 3.2 kPa, respectively, to evaluate the viscoelastic properties of bitumen. The definitions of Jnr0.1 and Jnr3.2 are the same as R0.1 and R3.2.

2.4. Temperature Sweep (TS) Test

The DSR was used to test the TBHB binders at a fixed frequency of 10 rad/s, using a parallel plate of 25 mm and a gap of 1 mm to obtain complex modulus (G*) and phase angle (δ). The temperature was controlled from 40 °C to 88 °C.
The aging resistance of the TBHB binders was evaluated by the complex modulus aging index (CAI), and its calculation method was given in Equation (3) [30].
Complex modulus aging index (CAI) = G*aged/G*unaged

2.5. Experimental Design

Figure 2 shows a flowchart of the test plan for this study of TBRB and TBHB, and all binders were repeated at least three times.

3. Results and Discussion

3.1. ATR-FTIR Analysis

The FTIR spectra of TBHB binders before and after RTFOT and PAV are shown in Figure 3 and Figure 4, and homologous values of ICA and API of TBHB binders are presented in Table 2 and Table 3, and relationships between ICA and API are shown in Figure 5.
As described in Table 2, ΔICA is used as an index of bitumen aging extent, which is defined by the gap between ICA value after aging and before aging [31,32,33]. The ΔICA of the TBHB binders after aging is less than 20TB_0S, which shows that the anti-aging properties of TBHB binders are superior to that of 20TB_0S. The ΔICA ranking is 20TB_0.4S < 20TB_0.3S < 20TB_0.2S < 20TB_0.1S < 20TB_0S after RTFOT, and the ranking of the ΔICA is 20TB_0.3S < 20TB_0.4S < 20TB_0.2S < 20TB_0.1S < 20TB_0S after PAV. Under RTFOT, the 20TB_0.4S has the smallest ΔICA, and the ΔICA of 20TB_0.3S under PAV is the lowest. That is to say, the aging resistance of TBHB was increased compared with that of 20TB_0S. Moreover, the anti-aging property of 20TB_0.4S is the best under the condition of RTFOT, while 20TB_0.3S is the best under the condition of PAV. This phenomenon is because sulfur can promote the cross-linking reaction between the polymer and neat bitumen, thereby promoting the homogeneous distribution of polymer in the TBHB binder, stabilizing the mechanical system of modified bitumen, and improving the aging resistance of TBHB binder [17].
To quantitatively analyze the chemical changes of polymers in TBHB binders, ΔAPI is used [34], which is the difference in API between unaged and aged TBHB. Based on Table 3, before aging, the API of the TBHB binders is lower than that of the 20TB_0S. The reason for this phenomenon may be that after adding sulfur to the TBHB binder, the crosslinking reaction between sulfur and polybutadiene could consume the C=C on the polybutadiene, which makes the characteristic peak intensity of trans olefin at 966 cm−1 slightly decrease, resulting in the decrease in API value. The ΔAPI ranking is 20TB_0.3S < 20TB_0.4S < 20TB_0.2S < 20TB_0.1S < 20TB_0S after RTFOT. Under RTFOT, the ΔAPI of the TBHB binders is lower than that of the 20TB_0S, indicating that TBHB can inhibit the degradation of polybutadiene compared with 20TB_0S in the RTFOT stage.
The chemical changes of polymers (API) and oxidation level (ICA) of TBHB binders are shown in Figure 5. After RTFOT, the ICA value of bitumen increases slightly, but after PAV, the ICA value increases greatly, indicating the oxidation of TBHB binders mainly occurs in the PAV aging process. The API value of the same binder after RTFOT and PAV first decreases and then increases. Compared with other binders, 20TB_0.4S increases more after PAV aging, which indicates that polybutadiene degradation is the main process of TBHB binder in the RTFOT stage, and the TBHB binder is mainly desulfurized after PAV aging. Meanwhile, the increase in sulfur content in the TBHB binder can improve the desulfurization degree of the TBHB binder after PAV.

3.2. Jnr and R

3.2.1. Evaluation of Jnr and R before Aging

Jnr and R reflect the viscoelastic properties ability of bitumen. Higher Jnr and lower R mean lower the elasticity of bitumen [35]. The changes in Jnr and R of TBHB binders at 64 °C, 70 °C, 76 °C, and 82 °C, are presented in Figure 6 and Figure 7. According to Figure 6, the sulfur results in decreases in Jnr0.1 and Jnr3.2 of TBHB before aging. Both Jnr0.1 and Jnr3.2 increase with the increase in temperature, and Jnr3.2 is greater than Jnr0.1 for the same binder. The ranking of five Jnr0.1 is 20TB_0.4S < 20TB_0.3S < 20TB_0.2S < 20TB_0.1S < 20TB_0S and the order of Jnr3.2 is the same as that of Jnr0.1. The above results show that TBHB binders have a higher elasticity, and 20TB_0.4S shows the best. From Figure 7, the change rule of R0.1 and R3.2 is opposite to that of Jnr0.1 and Jnr3.2. Moreover, the ranking of R0.1 and R3.2 of five binders is 20TB_0S < 20TB_0.1S < 20TB_0.2S < 20TB_0.3S < 20TB_0.4S. The above results show that 20TB_0.4S has the highest elasticity, followed by 20TB_0.3S and 20TB_0.2S. The cause of this result is as follows: sulfur can cause the cross-linking reaction between the polymer and neat bitumen to some extent so that the polymer molecules can be stabilized on the bitumen molecules. At the same time, it can prevent the self-aggregation of polymer molecules from segregation, resulting in a more uniform distribution of polymer in bitumen, and improve the mechanical properties and elasticity of TBHB binder [18].

3.2.2. Evaluation of Jnr and R after Aging

Figure 8 and Figure 9 show the Jnr3.2 and R3.2 of TBHB binder before and after aging. As seen in Figure 8, the values of Jnr3.2 of TBHB binder increase with the increasing temperature after RTFOT and PAV, and the Jnr3.2 of TBHB decreased after aging. The decreasing rate of Jnr3.2 of TBHB binder after RTFOT is greater than that of PAV. Moreover, at 76 °C, the difference of 20TB_0S, 20TB_0.1S, 20TB_0.2S, 20TB_0.3S, and 20TB_0.4S in virgin condition and RTFOT condition is 23.9, 11.1, 8.4, 8.5, and 7.6 kPa−1 respectively. The difference of 20TB_0S, 20TB_0.1S, 20TB_0.2S, 20TB_0.3S, and 20TB_0.4S in RTFOT condition and PAV condition is 11.3, 5.4, 6.9, 7.1, and 4.6 kPa−1 respectively. That is to say, the ranking of five ΔJnr3.2 values of binders between virgin condition and RTFOT condition at 76 °C is 20TB_0.4S < 20TB_0.2S < 20TB_0.3S < 20TB_0.1S < 20TB_0S. The ranking of five ΔJnr3.2 values of binders between RTFOT condition and PAV condition at 76 °C is 20TB_0.4S < 20TB_0.1S < 20TB_0.2S < 20TB_0.3S < 20TB_0S. The above results show that adding sulfur into TBRB can reduce the hardening degree of the binder during aging. This phenomenon is because the addition of sulfur in TBRB makes the performance of the binder more stable and slows down the hardening effect of aging on bitumen. As described in Figure 9, after aging, the values of R3.2 of TBHB have increased, which is caused by the hardening of the binder after aging, indicating that its elasticity has been improved. The values of R3.2 of TBHB binder decrease with the increasing temperature after RTFOT and PAV, and the R3.2 values of TBHB are higher before and after aging compared with 20TB_0S, indicating that TBHB is more elastic than 20TB_0S.

3.3. G* and δ

3.3.1. Evaluation of G* and δ before Aging

G* and δ can reflect the viscoelasticity and rutting resistance of TBHB binders respectively. With temperatures ranging from 40 °C to 88 °C, the change of G* and δ of TBHB binders are presented in Figure 10. As shown in Figure 10a, the G* value of 20TB_0S is lower than that of the TBHB binder from 40 °C to 88 °C. The ranking of five G* is 20TB_0S < 20TB_0.1S < 20TB_0.2S < 20TB_0.3S < 20TB_0.4S, indicating that the change of G* is similar to that of R0.1 and R3.2 in Figure 7. Moreover, from Figure 10b, the order of δ of five kinds of bitumen is opposite to that of G*, and the 20TB_0.4S shows the lowest δ. The above results show that 20TB_0.4S has a higher rutting resistance, followed by 20TB_0.3S. The reason for this result is that the sulfur can improve the high temperature performance of the TBRB binder [19].

3.3.2. Evaluation of G* and δ after Aging

G* and δ of TBHB before and after RTFOT and PAV are shown in Figure 11 and Figure 12. As described in Figure 11, with the increase in the temperature from 40 °C to 88 °C, the G* values of five binders before and after aging decrease gradually. The G* of 20TB_0S before and after aging is generally lower than that of the other four TBHB binders by temperature sweep tests, and the ranking of G* of binders is 20TB_0S < 20TB_0.1S < 20TB_0.2S < 20TB_0.3S < 20TB_0.4S. It is noted that, compared with other binders, the increase in G* of 20TB_0S is more obvious after RTFOT aging. The results mean that the short-term aging sensitivity of 20TB_0S is more serious than that of other binders.
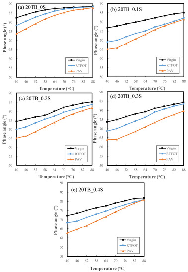
As described in Figure 12, the δ of TBHB binders increases with increasing temperature before and after aging, which shows that the viscoelasticity of TBHB binders deteriorates with the increase in temperature. Moreover, the δ of binders decreases from RTFOT to PAV, which shows that aging improves the elasticity of bitumen. The δ of 20TB_0S is higher than that of the other four kinds of TBHB binders, and the rankings of δ of binders before and after aging are 20TB_0.4S < 20TB_0.3S < 20TB_0.2S < 20TB_0.1S < 20TB_0S, indicating that the rutting resistance of TBHB binders is improved compared with 20TB_0S. This phenomenon is because the TBHB binders harden after aging, resulting in the decrease in δ. Additionally, the addition of sulfur in TBRB improves the rutting resistance of the bitumen, causing the δ of TBHB to be lower than that of 20TB_0S.

3.4. Aging Resistance

To quantitatively analyze the effect of sulfur on the aging resistance of bitumen [36], CAI was used. A larger CAI implies a higher aging degree of bitumen. The CAI values of TBHB binders after aging are displayed in Figure 13. Based on Figure 13, the values of CAI of five different kinds of binders are increased from RTFOT to PAV, showing that the aging state of TBHB binders is deteriorating along with aging. In Figure 13a, the CAI values of TBHB binders decrease compared with 20TB_0S after RTFOT. In addition, when the temperature is less than 52 °C, the 20TB_0.4S shows the lowest CAI value, followed by 20TB_0.2S, and the ranking of CAI is 20TB_0.4S < 20TB_0.2S < 20TB_0.3S < 20TB_0.1S < 20TB_0S. Moreover, when the temperature is more than 52 °C, the CAI values of 20TB_0.2S are the lowest, and the ranking of CAI is 20TB_0.2S < 20TB_0.3S < 20TB_0.4S < 20TB_0.1S < 20TB_0S. Nevertheless, according to Figure 13b, the CAI of 20TB_0S is more than that of TBHB binders from 40 °C to 88 °C. However, 20TB_0.4S shows a lower CAI value when the temperature is lower than about 58 °C, and the ranking of CAI is 20TB_0.4S < 20TB_0.2S < 20TB_0.1S < 20TB_0.3S < 20TB_0S. Moreover, the CAI value of 20TB_0.2S is the lowest when the temperature is more than about 58 °C, and the ranking of CAI is 20TB_0.2S < 20TB_0.4S < 20TB_0.1S < 20TB_0.3S < 20TB_0S. At different temperatures, the cause of the change in the aging resistance of 20TB_0.4S may be that 20TB_0.4S could produce a certain degree of desulfurization after PAV aging, which destroys the cross-linking structure in TBHB binders, thus affecting its anti-aging property. The above results show that sulfur can improve the anti-aging properties of TBRB binders, which is due to the sulfur being able to prevent the segregation of polymer molecules in bitumen, thereby improving the stability and anti-aging property of bitumen.

4. Conclusions

The influence of sulfur on the chemical, rheological, and aging properties of terminal blend rubberized bitumen was studied in this research. Some conclusions are summarized as follows:
  • According to ATR-FTIR analysis, after aging, the ΔICA of the TBHB binders is less than 20TB_0S, indicating sulfur can improve the aging resistance of the TBRB binder. Additionally, TBHB can inhibit the degradation of polybutadiene compared with 20TB_0S in the RTFOT stage, and the polybutadiene degradation is the main process of TBHB binder in the RTFOT stage, while the TBHB binder is mainly desulfurized after PAV aging. Meanwhile, the increase in sulfur content in the TBHB binder can improve the desulfurization degree of the TBHB binder after PAV.
  • TBRB binder contains sulfur, improving the mechanical properties and elasticity for binders, resulting in a decrease in Jnr0.1, Jnr3.2, and δ and an increase in R0.1, R3.2, and G*. This implies that the sulfur could improve the rutting resistance of the TBRB.
  • R3.2 and G* of TBHB increase with the severity of aging, and the change rule of Jnr3.2 and δ is opposite to that of R3.2 and G*. Compared with TBHB binders, the decrease in Jnr3.2 of 20TB_0S (20 wt% crumb rubber, and 0 wt% sulfur) and the increase in G* of 20TB_0S is more obvious after RTFOT aging, which means that the short-term aging sensitivity of 20TB_0S is more serious than that of TBHB binders. The above results show that adding sulfur into the TBRB binder can reduce the hardening degree of the binder during aging.
  • Blending sulfur into the TBRB binder caused a lower CAI after RTFOT and PAV, which indicates that TBHB has superior aging resistance. Furthermore, the reason for 20TB_0.4S having different aging resistance at different temperatures may be that 20TB_0.4S could produce a certain degree of desulfurization after PAV aging, which destroys the cross-linking structure in TBHB binders, thus affecting its aging resistance.

Author Contributions

Conceptualization, S.W.; Methodology, S.W.; Validation, W.H.; Investigation, X.L.; Writing—original draft, S.W.; Writing—review and editing, P.L.; Visualization, P.L.; Supervision, S.W. All authors have read and agreed to the published version of the manuscript.

Funding

This research was developed within the Projects of National Natural Science Foundation of China (grant no. 51978518) and China Scholarship Council (CSC no. 202106260114).

Institutional Review Board Statement

Not applicable.

Informed Consent Statement

Not applicable.

Data Availability Statement

The data presented in this study are available upon request from the corresponding author.

Acknowledgments

The authors would like express their appreciation for the financial support from the National Natural Science Foundation of China under grant number 51978518. Additionally, the first author acknowledges the financial support from the China Scholarship Council (CSC no. 202106260114).

Conflicts of Interest

No potential conflict of interest was reported by the authors.

References

  1. Ruan, Y.; Davison, R.R.; Glover, C.J. Oxidation and viscosity hardening of polymer-modified asphalts. Energy Fuels 2003, 17, 991–998. [Google Scholar] [CrossRef]
  2. Cortizo, M.S.; Larsen, D.O.; Bianchetto, H.; Alessandrini, J.L. Effect of the thermal degradation of SBS copolymers during the ageing of modified asphalts. Polym. Degrad. Stab. 2004, 86, 275–282. [Google Scholar] [CrossRef]
  3. Veropalumbo, R.; Russo, F.; Oreto, C.; Buonocore, G.G.; Verdolotti, L.; Muiambo, H.; Biancardo, S.A.; Viscione, N. Chemical, Thermal, and Rheological Performance of Asphalt Binder Containing Plastic Waste. Sustainability 2021, 13, 13887. [Google Scholar] [CrossRef]
  4. Yildirim, Y. Polymer modified asphalt binders. Constr. Build. Mater. 2007, 21, 66–72. [Google Scholar] [CrossRef]
  5. Kuang, D.; Yu, J.; Feng, Z.; Li, R.; Chen, H.; Guan, Y.; Zhang, Z. Performance evaluation and preventive measures for aging of different bitumens. Constr. Build. Mater. 2014, 66, 209–213. [Google Scholar] [CrossRef]
  6. Chen, Z.; Zhang, H.; Duan, H. Investigation of ultraviolet radiation aging gradient in asphalt binder. Constr. Build. Mater. 2020, 246, 118501. [Google Scholar] [CrossRef]
  7. Zhu, C.; Zhang, H.; Xu, G.; Wu, C. Investigation of the aging behaviors of multi-dimensional nanomaterials modified different bitumens by Fourier transform infrared spectroscopy. Constr. Build. Mater. 2018, 167, 536–542. [Google Scholar] [CrossRef]
  8. Cao, Z.; Chen, M.; He, B.; Han, X.; Yu, J.; Xue, L. Investigation of ultraviolet aging resistance of bitumen modified by layered double hydroxides with different particle sizes. Constr. Build. Mater. 2019, 196, 166–174. [Google Scholar] [CrossRef]
  9. Han, L.; Zheng, M.; Wang, C. Current status and development of terminal blend tyre rubber modified asphalt. Constr. Build. Mater. 2016, 128, 399–409. [Google Scholar] [CrossRef]
  10. Picado-Santos, L.G.; Capitão, S.D.; Neves, J.M.C. Crumb rubber asphalt mixtures: A literature review. Constr. Build. Mater. 2020, 247, 118577. [Google Scholar] [CrossRef]
  11. Kim, S.; Loh, S.; Zhai, H.; Bahia, H.U. Advanced Characterization of Crumb Rubber-Modified Asphalts, Using Protocols Developed for Complex Binders. Transp. Res. Rec. 2001, 1767, 15–24. [Google Scholar] [CrossRef]
  12. Lee, S.J.; Akisetty, C.K.; Amirkhanian, S.N. The effect of crumb rubber modifier (CRM) on the performance properties of rubberized binders in HMA pavements. Constr. Build. Mater. 2008, 22, 1368–1376. [Google Scholar] [CrossRef]
  13. Akisetty, C.K.; Lee, S.J.; Amirkhanian, S.N. High temperature properties of rubberized binders containing warm asphalt additives. Constr. Build. Mater. 2009, 23, 565–573. [Google Scholar] [CrossRef]
  14. Hajj, E.Y.; Sebaaly, P.E.; Hitti, E.; Borroel, C. Performance Evaluation of Terminal Blend Tire Rubber HMA and WMA Mixtures-Case Studies. In Proceedings of the Asphalt Paving Technology 2011, Tampa, FL, USA, 27–30 March 2011; Volume 80, pp. 665–696. [Google Scholar]
  15. Chamoun, Z.; Souliman, M.I.; Hajj, E.Y.; Sebaaly, P. Evaluation of select warm mix additives with polymer and rubber modified asphalt mixtures. Can. J. Civ. Eng. 2015, 42, 377–388. [Google Scholar] [CrossRef]
  16. Wen, Y.; Wang, Y.; Zhao, K.; Chong, D.; Huang, W.; Hao, G.; Mo, S. The engineering, economic, and environmental performance of terminal blend rubberized asphalt binders with wax-based warm mix additives. J. Clean. Prod. 2018, 184, 985–1001. [Google Scholar] [CrossRef]
  17. Zhang, F.; Hu, C. The research for SBS and SBR compound modified asphalts with polyphosphoric acid and sulfur. Constr. Build. Mater. 2013, 43, 461–468. [Google Scholar] [CrossRef]
  18. Chen, J.S.; Huang, C.C. Fundamental characterization of SBS-modified asphalt mixed with sulfur. J. Appl. Polym. Sci. 2007, 103, 2817–2825. [Google Scholar] [CrossRef] [Green Version]
  19. Zhang, F.; Yu, J.; Wu, S. Effect of ageing on rheological properties of storage-stable SBS/sulfur-modified asphalts. J. Hazard. Mater. 2010, 182, 507–517. [Google Scholar] [CrossRef]
  20. Wen, G.; Zhang, Y.; Zhang, Y.; Sun, K.; Chen, Z. Vulcanization characteristics of asphalt/SBS blends in the presence of sulfur. J. Appl. Polym. Sci. 2001, 82, 989–996. [Google Scholar] [CrossRef]
  21. Wen, G.; Zhang, Y.; Zhang, Y.; Sun, K.; Fan, Y. Improved properties of SBS-modified asphalt with dynamic vulcanization. Polym. Eng. Sci. 2002, 42, 1070–1081. [Google Scholar] [CrossRef]
  22. Wu, S.; Pang, L.; Mo, L.; Chen, Y.; Zhu, G. Influence of aging on the evolution of structure, morphology and rheology of base and SBS modified bitumen. Constr. Build. Mater. 2009, 23, 1005–1010. [Google Scholar] [CrossRef]
  23. Wang, S.; Huang, W.; Lin, P. Low-Temperature and Fatigue Characteristics of Degraded Crumb Rubber–Modified Bitumen Before and After Aging. J. Mater. Civ. Eng. 2022, 34, 04021493. [Google Scholar] [CrossRef]
  24. Wang, S.; Huang, W.; Lin, P.; Wu, Z.; Kou, C.; Wu, B. Chemical, Physical, and Rheological Evaluation of Aging Behaviors of Terminal Blend Rubberized Asphalt Binder. J. Mater. Civ. Eng. 2021, 33, 04021302. [Google Scholar] [CrossRef]
  25. Wang, S.; Huang, W.; Lv, Q.; Yan, C.; Lin, P.; Zheng, M. Influence of different high viscosity modifiers on the aging behaviors of SBSMA. Constr. Build. Mater. 2020, 253, 119214. [Google Scholar] [CrossRef]
  26. Mansourkhaki, A.; Ameri, M.; Daryaee, D. Application of different modifiers for improvement of chemical characterization and physical-rheological parameters of reclaimed asphalt binder. Constr. Build. Mater. 2019, 203, 83–94. [Google Scholar] [CrossRef]
  27. Tang, N.; Huang, W.; Xiao, F. Chemical and rheological investigation of high-cured crumb rubber-modified asphalt. Constr. Build. Mater. 2016, 123, 847–854. [Google Scholar] [CrossRef]
  28. AASHTO M 332-14; Standard Specification for Performance-Graded Asphalt Binder Using Multiple Stress Creep Recovery (MSCR) Test. American Association of State Highway and Transportation Official: Washington, DC, USA, 2014.
  29. AASHTO M 320-14; Standard Specification for Performance-Graded Asphalt Binder. ASTM International (ASTM): Washington, DC, USA, 2014.
  30. Wang, S.; Huang, W. Investigation of aging behavior of terminal blend rubberized asphalt with SBS polymer. Constr. Build. Mater. 2021, 267, 120870. [Google Scholar] [CrossRef]
  31. Liu, M.; Ferry, M.A.; Davison, R.R.; Glover, C.J.; Bullin, J.A. Oxygen uptake as correlated to carbonyl growth in aged asphalts and asphalt Corbett fractions. Ind. Eng. Chem. Res. 1998, 37, 4669–4674. [Google Scholar] [CrossRef]
  32. Liu, M.; Lunsford, K.M.; Davison, R.R.; Glover, C.J.; Bullin, J.A. The kinetics of carbonyl formation in asphalt. AIChE J. 1996, 42, 1069–1076. [Google Scholar] [CrossRef]
  33. Morian, N.; Zhu, C.; Hajj, E.Y. Rheological Indexes: Phenomenological Aspects of Asphalt Binder Aging Evaluations. Transp. Res. Rec. 2015, 32–40. [Google Scholar] [CrossRef]
  34. Yan, C.; Lv, Q.; Zhang, A.A.; Ai, C.; Huang, W.; Ren, D. Modeling the modulus of bitumen/SBS composite at different temperatures based on kinetic models. Compos. Sci. Technol. 2021, 218, 109146. [Google Scholar] [CrossRef]
  35. D’Angelo, J.A. The Relationship of the MSCR Test to Rutting. Road Mater. Pavement Des. 2009, 10, 61–80. [Google Scholar] [CrossRef]
  36. Ābele, A.; Merijs-Meri, R.; Bērziņa, R.; Zicāns, J.; Haritonovs, V.; Ivanova, T. Effect of bio-oil on rheological and calorimetric properties of RTFOT aged bituminous compositions. Int. J. Pavement Res. Technol. 2021, 14, 537–542. [Google Scholar] [CrossRef]
Figure 1. Schematic of preparation of the TBRB and TBHB.
Figure 1. Schematic of preparation of the TBRB and TBHB.
Sustainability 14 02612 g001
Figure 2. Flowchart of experimental design.
Figure 2. Flowchart of experimental design.
Sustainability 14 02612 g002
Figure 3. ATR-FTIR test spectra of the TBHB binders before aging.
Figure 3. ATR-FTIR test spectra of the TBHB binders before aging.
Sustainability 14 02612 g003
Figure 4. ATR-FTIR test spectra of the TBHB binders after RTFOT and PAV.
Figure 4. ATR-FTIR test spectra of the TBHB binders after RTFOT and PAV.
Sustainability 14 02612 g004
Figure 5. The relationship between ICA and API: (a) 20TB_0S, (b) 20TB_0.1S, (c) 20TB_0.2S, (d) 20TB_0.3S, (e) 20TB_0.4S.
Figure 5. The relationship between ICA and API: (a) 20TB_0S, (b) 20TB_0.1S, (c) 20TB_0.2S, (d) 20TB_0.3S, (e) 20TB_0.4S.
Sustainability 14 02612 g005
Figure 6. Jnr0.1 and Jnr3.2 of TBHB before aging: (a) Jnr0.1; (b) Jnr3.2.
Figure 6. Jnr0.1 and Jnr3.2 of TBHB before aging: (a) Jnr0.1; (b) Jnr3.2.
Sustainability 14 02612 g006
Figure 7. R0.1 and R3.2 of TBHB before aging: (a) R0.1; (b) R3.2.
Figure 7. R0.1 and R3.2 of TBHB before aging: (a) R0.1; (b) R3.2.
Sustainability 14 02612 g007
Figure 8. Jnr3.2 of TBHB binders after RTFOT and PAV: (a) 20TB_0S; (b) 20TB_0.1S; (c) 20TB_0.2S; (d) 20TB_0.3S; (e) 20TB_0.4S.
Figure 8. Jnr3.2 of TBHB binders after RTFOT and PAV: (a) 20TB_0S; (b) 20TB_0.1S; (c) 20TB_0.2S; (d) 20TB_0.3S; (e) 20TB_0.4S.
Sustainability 14 02612 g008
Figure 9. R3.2 of TBHB binders after RTFOT and PAV: (a) 20TB_0S; (b) 20TB_0.1S; (c) 20TB_0.2S; (d) 20TB_0.3S; (e) 20TB_0.4S.
Figure 9. R3.2 of TBHB binders after RTFOT and PAV: (a) 20TB_0S; (b) 20TB_0.1S; (c) 20TB_0.2S; (d) 20TB_0.3S; (e) 20TB_0.4S.
Sustainability 14 02612 g009
Figure 10. G* and δ of TBHB binders before aging: (a) G*; (b) δ.
Figure 10. G* and δ of TBHB binders before aging: (a) G*; (b) δ.
Sustainability 14 02612 g010
Figure 11. G* of TBHB binders after RTFOT and PAV: (a) 20TB_0S; (b) 20TB_0.1S; (c) 20TB_0.2S; (d) 20TB_0.3S; (e) 20TB_0.4S.
Figure 11. G* of TBHB binders after RTFOT and PAV: (a) 20TB_0S; (b) 20TB_0.1S; (c) 20TB_0.2S; (d) 20TB_0.3S; (e) 20TB_0.4S.
Sustainability 14 02612 g011
Figure 12. δ of TBHB binders after RTFOT and PAV: (a) 20TB_0S; (b) 20TB_0.1S; (c) 20TB_0.2S; (d) 20TB_0.3S; (e) 20TB_0.4S.
Figure 12. δ of TBHB binders after RTFOT and PAV: (a) 20TB_0S; (b) 20TB_0.1S; (c) 20TB_0.2S; (d) 20TB_0.3S; (e) 20TB_0.4S.
Sustainability 14 02612 g012
Figure 13. CAI of TBHB after aging: (a) CAI after RTFOT, (b) CAI after PAV.
Figure 13. CAI of TBHB after aging: (a) CAI after RTFOT, (b) CAI after PAV.
Sustainability 14 02612 g013
Table 1. Basic properties of 20TB_0S.
Table 1. Basic properties of 20TB_0S.
Sample Name20TB_0S
Penetration at 25 °C, 0.1 mm120
Ductility at 10 °C, cm96.4
Softening point, °C47.5
Table 2. ICA of TBHB before and after RTFOT and PAV.
Table 2. ICA of TBHB before and after RTFOT and PAV.
Sample20TB_0S20TB_0.1S20TB_0.2S20TB_0.3S20TB_0.4S
ICA (×10−3)ΔICA (×10−3)ICA
(×10−3)
ΔICA (×10−3)ICA (×10−3)ΔICA (×10−3)ICA (×10−3)ΔICA (×10−3)ICA (×10−3)ΔICA (×10−3)
Unaged0.123-0.000-0.730-0.402-0.454-
RTFOT aging1.5361.4121.3621.3621.2420.5120.7880.3860.7740.320
PAV aging6.3126.1895.7245.7244.9134.1833.8623.4604.1943.740
Table 3. API of TBHB before and after RTFOT and PAV.
Table 3. API of TBHB before and after RTFOT and PAV.
Sample20TB_0S20TB_0.1S20TB_0.2S20TB_0.3S20TB_0.4S
API (×10−3)ΔAPI
(×10−3)
API (×10−3)ΔAPI
(×10−3)
API (×10−3)ΔAPI
(×10−3)
API (×10−3)ΔAPI
(×10−3)
API (×10−3)ΔAPI
(×10−3)
Unaged3.309-3.025-2.883-2.872-2.911-
RTFOT aging2.9480.3612.7820.2442.7070.1762.8310.0402.8680.042
PAV aging2.9800.3282.7890.2362.6810.2022.8300.0412.972−0.061
Publisher’s Note: MDPI stays neutral with regard to jurisdictional claims in published maps and institutional affiliations.

Share and Cite

MDPI and ACS Style

Wang, S.; Huang, W.; Liu, X.; Lin, P. Aging Characteristics of Rubber Modified Bitumen Mixed with Sulfur after Terminal Blend Process. Sustainability 2022, 14, 2612. https://doi.org/10.3390/su14052612

AMA Style

Wang S, Huang W, Liu X, Lin P. Aging Characteristics of Rubber Modified Bitumen Mixed with Sulfur after Terminal Blend Process. Sustainability. 2022; 14(5):2612. https://doi.org/10.3390/su14052612

Chicago/Turabian Style

Wang, Sheng, Weidong Huang, Xueyan Liu, and Peng Lin. 2022. "Aging Characteristics of Rubber Modified Bitumen Mixed with Sulfur after Terminal Blend Process" Sustainability 14, no. 5: 2612. https://doi.org/10.3390/su14052612

APA Style

Wang, S., Huang, W., Liu, X., & Lin, P. (2022). Aging Characteristics of Rubber Modified Bitumen Mixed with Sulfur after Terminal Blend Process. Sustainability, 14(5), 2612. https://doi.org/10.3390/su14052612

Note that from the first issue of 2016, this journal uses article numbers instead of page numbers. See further details here.

Article Metrics

Back to TopTop