Next Article in Journal
Competition, Gender Equality, and Doping in Sports in the Red Queen Effect Perspective
Previous Article in Journal
Exploring Wineries and Wine Tourism Potential in the Republic of Srpska, an Emerging Wine Region of Bosnia and Herzegovina
 
 
Font Type:
Arial Georgia Verdana
Font Size:
Aa Aa Aa
Line Spacing:
Column Width:
Background:
Article

Characteristics of Soil Macrofauna and Its Coupling Relationship with Environmental Factors in the Loess Area of Northern Shaanxi

1
College of Life Science, Yan’an University, Yan’an 716000, China
2
Shaanxi Key Laboratory of Chinese Jujube, Yan’an University, Yan’an 716000, China
*
Authors to whom correspondence should be addressed.
Sustainability 2022, 14(5), 2484; https://doi.org/10.3390/su14052484
Submission received: 27 December 2021 / Revised: 2 February 2022 / Accepted: 18 February 2022 / Published: 22 February 2022

Abstract

:
Even with the in-depth implementation of forestry ecological projects, such as restoring farmland to forest (grass) in the loess area of northern Shaanxi, the characteristics of soil macrofauna communities and their coupling relationship with environmental factors after vegetation restoration in the study area are yet obscure. However, the soil macrofauna community characteristics are of great significance for evaluating the effectiveness of vegetation restoration in the study area. Therefore, the study aims to reveal the characteristics of the soil macrofauna community and their coupling relationships with the environment in the loess area of northern Shaanxi. In this study, all organisms of the five typical vegetation types in the study area were collected by manual sorting (Armeniaca sibirica and Populus simonii mixed forest (M), Robinia pseudoacacia (P), Populus simonii (S), Populus hopeiensis (H) and Hippophae rhamnoides (R)), and the adjacent abandoned grassland (G) was used as a control group. The group number and the individual number of soil macrofauna of different vegetation types in the study area and their coupling relationships with environmental factors are studied, and the following conclusions were drawn. (1) The study shows that there are certain differences in the environmental factors of different vegetation types in the study area, which include the significant differences in the alkaline nitrogen content of various vegetation types (p < 0.05). (2) The effects of different vegetation on soil macrofauna community were different. There were no significant differences in the soil macrofauna community structure between Armeniaca sibirica and Populus simonii mixed forest, Robinia pseudoacacia, Populus simonii and Populus hopeiensis, but there was a large difference from that of the abandoned grasslands. The community density of soil macrofauna in Armeniaca sibirica and Populus simonii mixed forest and Populus simonii were significantly higher than that in the abandoned grassland (p < 0.05), but the other indexes showed no significant differences. The Shannon–Wiener index of Robinia pseudoacacia and Populus hopeiensis were much lower than that of the abandoned grassland (p < 0.05). (3) The diversity of soil macrofauna communities was mainly affected by pH, alkaline nitrogen, potassium available, vegetation coverage and litter production. (4) Different groups of soil macrofauna were closely related and reacted differently to environmental factors, and vegetation coverage, litter production and alkaline nitrogen content were the key factors affecting the composition of soil macrofauna communities.

1. Introduction

With social and economic development, the soil surface environment of the loess area in northern Shaanxi has witnessed big changes under the impact of climate change and human activities. Environmental problems, such as of soil erosion, biodiversity loss, land degradation, and ecosystem destruction, are becoming more and more severe [1], which has caused the quality of ecological environment of forests to decline [2]. In order to make sure that national ecological security is sustained and to achieve a sustainable development, the Chinese government implemented forestry ecological projects, such as restoring farmland to forest (grass) in 1999, which has helped to improve the ecosystem and the service functions in the study area [3]. The study found that the project of restoring farmland to forest (grass) has significantly increased soil carbon storage [4], improved the soil water retention capacity of the study area, reduced soil erosion [5], and created conditions for the development of soil biodiversity in the study area. The relationship between the soil biodiversity and the elements of ecosystem has been the focus of study of scholars [6]. Soil fauna is an essential part of soil biodiversity, which reacts strongly to environmental changes. Soil fauna indicators are often referred to as the biological indicators of the stability of ecosystem [7]. In recent years, the studies on soil faunas at home and abroad have mainly focused on the following aspects: the decomposition process of soil fauna litter and its role in community succession [8,9], the role of soil faunas in ecological restoration [10], the reaction of soil fauna to land use patterns [11] as well as the response to environmental problems, such as heavy metal pollution and pesticide pollution [12], global climate change [13], the specific groups of soil fauna and their relationships with plants and microorganisms [14]. These study results have shown that the dynamic changes of soil faunas and the ecological processes along with them interact with the environment and build a coupling relationship between them.
Evidently, soil biodiversity affects soil nutrient cycle and plant community diversity [15]. Soil fauna plays an important role in the decomposition process of litter, surface food network and plant growth [16]. They promote the growth of vegetation by participating in the decomposition process of vegetation litter and in soil fertility, which supply the nutrients required by plants [17]; in such a way, the composition, structure and continuance of plant communities are regulated [18]. The quality difference between vegetation root exudates and litter may lead to the uneven distribution of soil organisms [15]. In fact, vegetation changes the diversity and richness of the resources available for soil faunas by influencing the chemical, physical and biological characteristics of the soil and the nutrient cycle of ecosystem [19]. Additionally, the composition of vegetation communities also plays a vital role in the changes of the abundance of soil fauna and diversity [20]. Therefore, studying the effects of vegetation types on soil fauna is of great value to the function and protection of forest ecosystems.
To date, there are some reports indicating the effect of afforested plantations of different ages on soil arthropod diversity on the loess plateau. Examples include the works by Hao [21] and Zhu [22]. However, the response of soil arthropod diversity to afforestation practices with regard to life forms and plantation types remains unclear. All these findings will benefit accurate afforestation practices focusing on biodiversity conservation, ecosystem recovery and the stability of degraded ecosystems.
The objectives of present study are to address the following research questions: (1) How are the composition and biodiversity of soil macrofauna affected by different vegetation communities after the farmland was restored to forests? (2) What is the relationship between soil macrofauna and environmental factors? We hypothesized that: (1) Different vegetation types change the composition and biodiversity of soil macrofauna communities significantly; (2) the main factors to affect the soil properties can be distinguished to explain soil macrofauna communities.

2. Materials and Methods

2.1. Study Area

The studied area is located in Jinfoping small watershed (108°12′09″–108°23′20″ E, 36°21′09″–37°21′20″ N), Wuqi County, Yan’an City, Shaanxi Province, China, at the altitude of 1500–1600 m. It has a climate of semi-arid temperate continental monsoon climate, and an annual average temperature of 7.8 °C. The annual average rainfall is 395.4 mm, and the annual average frost-free period is 130 days. The area is a beam-shaped hilly area on the Loess Plateau, and the soil type is loessal soil. The vegetation in this area mainly consists of trees, such as Populus hopeiensis, Populus simonii, and Armeniaca sibirica; shrubs, such as Caragana korshinskii; and herbaceous vegetation, such as Artemisia giraldii, Phragmites communis, Agropyroncristatum and Lespedeza bicolor.

2.2. Experimental Design

Since the 1990 s, ecological restoration and reconstruction measures, such as returned farmland to forests and grasslands, have been taken in the loess area of northern Shaanxi. Five typical vegetation types in the loess area of northern Shaanxi were selected as the study area, which were the mixed forest of Armeniaca sibirica and Populus simonii, Robinia pseudoacacia, Populus simonii, Populus hopeiensis and Hippophae rhamnoides. These five vegetation types are typical vegetation types formed after the implementation of forestry ecological projects, such as returned farmland to forests in Wuqi, and were typical and representative. The basic information on vegetation characteristics is presented in Table 1.

2.3. Collection and Identification of Soil Fauna

The mixed forests of Armeniaca sibirica and Populus simonii, Robinia pseudoacacia, Populus simonii, Populus hopeiensis and Hippophae rhamnoides in the Wuqi area were selected as the study area. The adjacent abandoned grassland served as the control areas. In each afforestation area with similar topography, there were five plots (10 m × 10 m) set as replicates with a distance above 10 m, in the case of being independent. In the center of each plot, three sampling squares were set up, with an area of 50 cm × 50 cm, a depth of 0–15 cm and an interval of 3 m. All soil macrofauna in the plot were recovered by manual sorting. In total, 90 sampling quarts were obtained by 6 study areas × 5 replicates × 3 sampling quarts.
The soil macrofauna in each quadrat were preserved in the field with 75% alcohol and brought back to the laboratory for identification. The soil macrofauna was identified at the level of the Order and Family according to “Pictorial Keys to Soil Faunas of China” [23], and classified into groups on the basis of morphological features under a binocular microscope (40× magnification). Larvae, nymphs and adults were separately counted because of their different functions.

2.4. Determination of Litter Mass and Soil Physical and Chemical Properties

Before the collection of soil macrofauna, a sub quart of 20 cm × 20 cm within each sampling quart, we measured the thickness (cm) of the litter in the sampling, collected all the litter in the sampling quart, and brought it back to perform the experiment. It was dried in the laboratory and the dry weight (g) of the litter was measure.
Likewise, a soil stainless steel ring (100 mL) was used to collect the complete soil core of each quadrat, and it was divided into three layers vertically downward from the surface, which were 0–5 cm, 5–10 cm, and 10–15 cm in sequence. Soil bulk density (BD, g m−3) and other physical indicators of 0–15 cm soil cores were collected in each sampling square; three soil cores were obtained in each plot, and then the three soil cores were mixed together to obtain a soil mix sample. These mixed soil samples were brought back to the laboratory. Soil samples were hand sieved through a 2 mm sieve to remove roots and other debris. Each sieved sample was air-dried to determine the selected soil chemistries.
The soil organic carbon content was determined by potassium dichromate oxidation external heating method and NH4 OAc extraction-flame photometry of the available potassium in the soil was determined. The available nitrogen in the soil was determined by alkali diffusion method. The available phosphorus was determined by 0.5 mol/L NaHCO3 extraction-molybdenum blue colorimetric method. Total phosphorus was determined by sulfuric acid–perchloric acid digestion method. The pH and electrical conductivity of the soil were measured by PHS-320 high-precision intelligent acidity meter (soil-water ratio 2.5:1) and DDS-608 multifunctional conductivity meter (soil–water ratio 5:1) [24].

2.5. Statistical Analysis

The soil macrofauna data from the three sampling points within each plot were pooled together in order to in order to enrich the data used for the multivariate analysis of variance. Then, the abundance and group richness were obtained, and the Shannon index were calculated for soil macrofaunal communities. The data of litter and soil bulk density were averaged by the three samples within each plot. One-way analysis of variance (LSD) and post hoc multiple comparisons were used to compare the abundance, group Margalef index and the Shannon–Wiener index of soil macrofaunal communities, as well as litter and soil variables between the five habitats. All statistical analyses were performed through replicate sites using SPSS 22.0 for Windows (SPSS Inc., Chicago, IL, USA).
RDA was used to analyze the contribution of litter and soil factors to the soil macrofauna communities. The length of the first DCA ordination axis was below 3 (for taxonomic group data), suggesting that redundancy analysis (RDA) was an appropriate approach (i.e., length of gradient < 4). Forward selections were performed to test which factor(s) had significant influence on the arthropod community structure. The selection procedures were stopped when the factor to be added was not significant anymore. Before RDA, a Hellinger transformation was applied to remove the issues of double-zeros in the data matrix and improve the analysis. The data and Monte Carlo reduced model tests with 499 unrestricted permutations were used to statistically evaluate the significance of the first canonical axis and of all canonical axes combined. In order to meet the requirements of the Monte Carlo reduced model test, all taxonomic group data were log (x + 1) -transformed. DCA and RDA were carried out using CANOCO software for Windows 5.0 (Microcomputer Power, Ithaca, NY, USA).

3. Results

3.1. Litter and Soil Variables

The soil physical and chemical properties of different vegetation types were significantly different (p < 0.05) (Table 2), and the soil pH of each plot had weak alkalis. Populus hopeiensis organic carbon content and litter production were significantly higher than that of the other vegetation types (p < 0.05). The content of available phosphorus and available potassium of Populus simonii was significantly higher than the other vegetation types (p < 0.05). The electrical conductivity of abandoned grassland was significantly higher than the other vegetation types (p < 0.05), and the bulk density was significantly lower as well (p < 0.05). There are significant differences in the alkaline nitrogen content of all vegetation types (p < 0.05), but there is no significant difference among non-capillary porosity.

3.2. Composition of Soil Macrofaunal Community and Abundance of Dominate Taxonomical Groups

We investigated the relative abundance of groups (A), orders (B) and families (C) in different vegetation types in the Jinfoping watershed of Wuqi (Figure 1). During the study period, a total of 766 soil macrofauna were collected at the sampling quarts, which belonged to 7 classes, 16 orders and 34 families. The dominant classes included Insecta, Arachnida and Diplopoda, accounting for 95.3% of the total. Oligochaetes and Malacostraca were rare classes, accounting for 1.04% of the total; Gastropoda and Chilopoda belonged to the common classes. The dominant orders were Julid, Araneae, Hymenoptera, Coleoptera, accounting for 79.11% of the total; the common orders included Stylommatophora, Hemiptera, Orthoptera, Diptera, Lepidoptera, accounting for 17.49% of the total; the rest were rare orders. The dominant families were Julidae and Formicidae. Common families were Bradybaenidae, Thomisidae, Gna-phosidae, Linyphiidae, Lycosidae, Clubionidae, Aphidoidea, Anthocoridae, Cicadidae, and Carabidae. Different vegetations have an impact on the community structure of soil macrofauna (Figure 2). The community structures of the Armeniaca sibirica and Populus simonii mixed forest, Populus simonii, Robinia pseudoacacia and Populus hopeiensis plots have no significant differences, but there are significant differences with the community structures of the abandoned grassland plots. The community structures between the Hippophae rhamnoides plot and the abandoned grassland plot are quite different. This indicates that the soil macrofauna communities of Armeniaca sibirica and Populus simonii mixed forest, Populus simonii, Robinia pseudoacacia and Populus hopeiensis are highly similar to that of the abandoned grassland. Generally speaking, the main taxa that affects the PC 1 and PC 2 ranking axes are Gnaphosidae, Julida, Thomisidae, Reduviidae, and Linyphiidae.

3.3. The Abundance, Group Richness and Diversity Index of Soil Macrofaunal Communites

There are differences in the diversity indexes between different vegetation types (p < 0.05) (Figure 3). The density of soil macrofauna in Armeniaca sibirica and Populus simonii mixed forest and Populus simonii were significantly higher than that of the abandoned grassland (p < 0.05), and there were no significant differences among the other indicators. The species number and Margalef index of Populus simonii and the abandoned grassland were significantly higher than that of Robinia pseudoacacia, Populus hopeiensis and Hippophae rhamnoides (p < 0.05). The Shannon–Wiener indexes of Robinia pseudoacacia and Populus hopeiensis were significantly lower than that of the abandoned grassland (p < 0.05), while the Simpson index was significantly higher than that of abandoned grassland (p < 0.05). There were no significant differences between the Pielou index and Simpson index of Populus hopeiensis and Hippophae rhamnoides and those of the abandoned grassland.
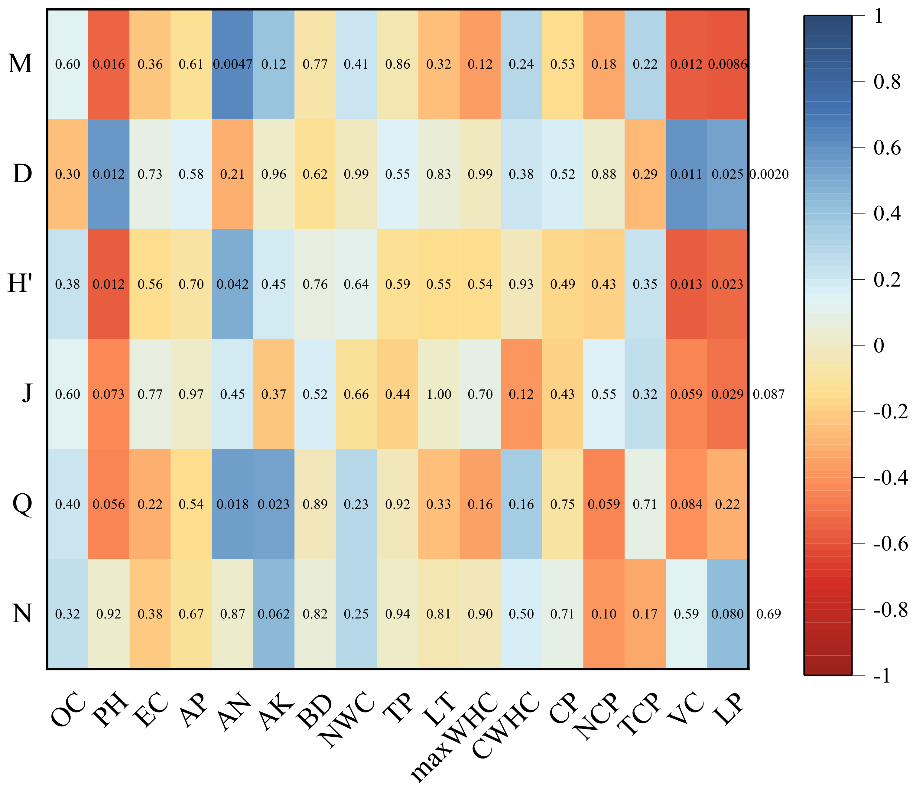
The species number and the diversity of the soil macrofauna community are mainly related to pH, alkaline nitrogen, available potassium, vegetation coverage and litter production (Figure 4). The Margalef index and the Shannon–Wiener index of soil macrofauna are significantly negatively correlated with pH, vegetation coverage and litter production, and significantly positively correlated with alkaline nitrogen. The Simpson index was significantly positively correlated with pH, vegetation coverage and litter production. The Pielou index was significantly negatively correlated with litter production, and alkaline nitrogen and available potassium were significantly positively correlated with the number of species.

3.4. The Contribution of Litter and Soil Variables to Soil Macrofaunal Communities

The ranking results of different vegetation types and environmental factors show that 16 environmental factors accounted for 89.84% of the variation of soil macrofauna communities. The pRDA analysis found that vegetation coverage, alkaline nitrogen and litter production were the main environmental factors that affect the distribution of soil macrofauna communities, and they accounted for 31% of the variation of soil macrofauna communities (Table 3). Different soil macrofauna have different relationships with the major environmental factors (Figure 5). Thomisidae, Tctrigoidea, and Reduviidae are significantly positively correlated with vegetation coverage (p < 0.05); Julida, Staphylinidae, Centipede, and Carabidae are significantly positively correlated with the amount of litter (p < 0.05), but are significantly negatively correlated with vegetation coverage (p < 0.05). The alkaline nitrogen content was significantly positively correlated with Porcellionidae and Neuroptera larvae (p < 0.05), and significantly negatively correlated with Limacidae, Anisolabididae, Diptera larvae, Pyrrhocoridae, etc. (p < 0.05).

4. Discussion

4.1. Soil Physical and Chemical Factors of Different Vegetation Types

Different vegetation types have different effects on soil physical and chemical factors (p < 0.05). Bulk density is the basic physical property of the soil, which directly affects the aeration and water storage capacity of the soil, and indirectly affects the fertility status and material circulation of the soil. In this study, the bulk density of the abandoned grassland was significantly lower than that of the other vegetation types (Table 2). The greater root density of the abandoned grassland and a significant negative correlation between root density and soil bulk density may be the reason [25]. Soil organic carbon is an important indicator of soil fertility. It mainly comes from the decomposition of underground litter and is largely affected by vegetation, climate, and human activities [26]. The organic carbon content of Populus hopeiensis was significantly higher than that of the rest of the vegetation, mainly because of the larger Populus hopeiensis vegetation coverage, which leads to the weakening of wind and sand activities. Additionally, the dust and fine-grained matter in the air gradually deposit in the surface of the soil, resulting in the accumulation of soil nutrients on the surface [27]. The factors that affect the available nutrients in the soil are very complex and include soil parent material, fertilization, selective absorption of plants, soil acidity and alkalinity, nutrient mobility, and soil aeration. Studies have shown that soil nutrients in a small area are mainly affected by the types of surface plant communities [28]. The results of small watersheds as the research object show that the content of alkaline nitrogen in the abandoned grassland was significantly higher than that of other vegetation. This may be because the accumulation and decomposition of organic matter in the abandoned grassland play a leading role in the storage and transformation of nitrogen in the soilt [29].

4.2. Community Composition and Diversity of Soil Macrofauna in Different Vegetations

Different vegetation types provide different food sources and habitats for soil macrofauna; therefore, they can significantly affect the community structure and diversity of soil faunas [30]. This study found that the community structure of Armeniaca sibirica and Populus simonii mixed forest, Populus simonii, Robinia pseudoacacia and Populus hopeiensis were significantly different from that of the abandoned grassland (Figure 2). The density of soil fauna community in the abandoned grassland was lower than that of the other vegetation types, which mainly affected by the structure of vegetation community and the type and quantity of litter [31]. In this study, the Shannon–Wiener index of Armeniaca sibirica and Populus simonii mixed forest, Populus simonii and abandoned grassland had no significant difference (p > 0.05), which was mainly affected by the root biomass of different vegetation types [32], the decomposition rate of litter [33], quantity and quality [34], etc. that have certain effects on the diversity of soil macrofauna. Other studies have found that the greater the vegetation coverage, the thicker the litter layer, the richer the soil organic matter, and the greater the number and taxa of soil faunas [35,36]. In this study, the amount of litter and vegetation coverage were significantly negatively correlated with the Shannon–Wiener and Margalef indices, and significantly positively correlated with the Simpson index; the vegetation coverage of Hippophae rhamnoides and abandoned grassland was significantly higher than that of other vegetation types, but the abandoned grassland had the lowest litter volume, mainly because Hippophae rhamnoides, Populus hopeiensis and Robinia pseudoacacia had less understory vegetation and single litter, resulting in a single soil organic matter composition. Therefore, soil nutrients and food resources supplied to soil faunas are relatively single, and the soil macrofauna calculated with the Shannon–Wiener and Margalef indices was lower [37].
The physical and chemical properties of soil can also affect soil fauna communities [38]. Soil pH is a limiting factor, and most soil faunas show a significant negative response to soil pH. However, in this study, the Simpson index of soil macrofauna was significantly positively correlated with the soil pH. This result was consistent with the result obtained by Wang [11]. Alkaline nitrogen was significantly positively correlated with Shannon–Wiener index, the Margalef index and the group number; and the available potassium was significantly positively correlated with the group number. The significant indigenous differences in the alkaline nitrogen content among different vegetation types were also found. It indicated that the alkaline nitrogen was the main factor affecting the diversity of soil macrofauna. The study found that the change in the community structure of soil faunas caused by nitrogen was the main reason for the difference in the contribution of soil faunas to litter decomposition [39] and an appropriate amount of nitrogen was beneficial to soil faunas [40]. Nitrogen can change plant biomass and community structure. Soil faunas are affected by the succession of plant communities, and their abundance and diversity is regulated by the vegetation communities [41]. In short, our research found that different vegetation significantly affects the composition and diversity of soil macrofauna, which solves our first problem and also confirms the first hypothesis.

4.3. The Relationship between the Community Composition of Soil Macrofauna and Environmental Factors

This study found that different groups of soil macrofauna were closely related to environmental factors and had different responses to them. Vegetation coverage, litter production, and alkaline nitrogen content were the key factors affected the composition of soil macrofauna. This result was similar to that of Liu [42] from the study conducted in the desert–oasis transition zone in the middle region of the Heihe River. Different vegetation types had different effects on the physical and chemical properties of soil, and soil faunas had different preferences for soil environmental factors [43]; therefore, different soil fauna had different compositions. The alkaline nitrogen content was significantly positively correlated with Porcellionidae and Neuroptera larvae (p < 0.05), and was significantly negatively correlated with Limacidae, Anisolabididae, Diptera larvae, etc. This was similar to the research results of Liu [44]. The physical and chemical properties of the soil affected the composition and diversity of soil fauna communities. Porcellionidae and Neuroptera larvae choose habitats where the nitrogen content is higher, and Limacidae, Anisolabididae, and Diptera larvae choose habitats where the nitrogen content is relatively low. Compared with other vegetations, the abandoned grassland had a higher alkaline nitrogen level, which caused the soil fauna community to have different compositions. Julida, Staphylinidae, Centipede and Carabidae were significantly positively correlated with litter production (p < 0.05). Thomisidae, Tctrigoidea and Reduviidae were significantly positively correlated with vegetation coverage. This result was similar to that of the study by Wang [45] and Litavskä [46] on Julida and Carabidae. Vegetation coverage and litter production affected the composition and distribution of soil faunas. Some studies have shown that the increase in vegetation coverage reduces the predation intensity of birds and other fauna predators, and provides a habitat for soil macrofauna to avoid natural enemies. Some soil faunas that had fewer risks of being predated by natural enemies, such as birds, tend to move in the open habitats [47,48]. Litter is the main factor that controls the community structure of soil faunas and provides habitat and food resources for them [49]. Therefore, alkaline nitrogen, litter production and vegetable coverage affect the soil fauna community structure and specific fauna groups, which confirms our second hypothesis. In short, exploring the synergistic promotion effect between plant species and soil fauna groups and the coupling effect of soil faunas on nutrients is conducive to improving soil ecological functions.

5. Conclusions

Our research showed that different vegetations had different effects on soil macrofauna communities. The community diversity of soil macrofauna in Armeniaca sibirica and Populus simonii mixed forest and Populus simonii forest were more abundant than that of the other vegetation types. The diversity of soil macrofauna community was mainly affected by the soil pH, alkaline nitrogen, available potassium, vegetable coverage and litter production. Different groups of soil faunas were closely related and had different responses to environmental factors. Vegetable coverage, litter production, and alkaline nitrogen content were the key factors that affected the composition of soil macrofauna communities.

Author Contributions

Conceptualization, C.L. and N.A.; methodology, C.L. and N.A.; validation, Y.Z., C.L. and N.A.; formal analysis, Y.Z., C.L. and N.A.; investigation, Y.Z., X.T., Z.Z., R.G., J.Q., C.Y., C.L. and N.A.; resources, C.L. and N.A.; data curation, Y.Z., X.T., Z.Z., R.G., J.Q., C.Y., C.L. and N.A.; writing—original draft preparation, Y.Z.; writing—review and editing, Y.Z., C.L. and N.A.; visualization, Y.Z., C.L. and N.A.; supervision, C.L. and N.A.; project administration, C.L. and N.A.; funding acquisition, C.L. and N.A. All authors have read and agreed to the published version of the manuscript.

Funding

This study project was funded by the National Natural Science Foundation of China Project (32060297, 31370541), the IWHR Research & Development Support Program (SC0145 B012021), the Natural Science Basic Research Program of Shaanxi Province (2021 JQ-626), the Yan’an University Graduate Innovation Program Project (YCX2021077), and the “Thirteenth Five-Year” National Key Research and Development Project (2016 YFC0501705).

Institutional Review Board Statement

Not applicable.

Informed Consent Statement

Not applicable.

Conflicts of Interest

The authors declare no conflict of interest.

References

  1. Mahmoud, S.H.; Gan, T.Y. Impact of anthropogenic climate change and human activities on environment and ecosystem services in arid regions. Sci. Total Environ. 2018, 633, 1329–1344. [Google Scholar] [CrossRef]
  2. Feng, J.; Wang, J.; Yao, S.; Ding, L. Dynamic assessment of forest resources quality at the provincial level using AHP and cluster analysis. Comput. Electron. Agric. 2016, 124, 184–193. [Google Scholar] [CrossRef]
  3. Luo, Y.; Lü, Y.; Fu, B.; Zhang, Q.; Li, T.; Hu, W.; Comber, A. Half century change of interactions among ecosystem services driven by ecological restoration: Quantification and policy implications at a watershed scale in the Chinese Loess Plateau. Sci. Total Environ. 2019, 651, 2546–2557. [Google Scholar] [CrossRef] [Green Version]
  4. Liu, Y.L.; Zhu, G.Y.; Deng, L.; Chen, L.; Shangguan, Z.P. Effects of natural vegetation restoration and afforestation on soil carbon and nitrogen storage in the Loess Plateau, China. Ying Yong Sheng Tai Xue Bao 2018, 29, 2163–2172. [Google Scholar] [CrossRef]
  5. Wang, B.; Gao, P.; Niu, X.; Sun, J. Policy-driven China’s Grain to Green Program: Implications for ecosystem services. Ecosyst. Serv. 2017, 27, 38–47. [Google Scholar] [CrossRef]
  6. Sisay, M.; Ketema, H. Variation in abundance and diversity of soil invertebrate macro-fauna and some soil quality indicators under agroforestry based conservation tillage and maize-based conventional tillage in Southern Ethiopia. Int. J. Multidiscip. Res. Dev. 2015, 2, 100–107. [Google Scholar]
  7. Riutta, T.; Clack, H.; Crockatt, M.; Slade, E. Landscape-Scale Implications of the Edge Effect on Soil Fauna Activity in a Temperate Forest. Ecosystems 2016, 19, 534–544. [Google Scholar] [CrossRef] [Green Version]
  8. De Deyn, G.B.; Raaijmakers, C.E.; Zoomer, H.R.; Berg, M.P.; de Ruiter, P.C.; Verhoef, H.A.; Bezemer, T.M.; van der Putten, W.H. Soil invertebrate fauna enhances grassland succession and diversity. Nature 2003, 422, 711–713. [Google Scholar] [CrossRef]
  9. Fujii, S.; Takeda, H. Succession of soil microarthropod communities during the aboveground and belowground litter decomposition processes. Soil Biol. Biochem. 2017, 110, 95–102. [Google Scholar] [CrossRef]
  10. Xiang, C.-G.; Feng, G.-L.; Pan, G.-X.; Zhang, P.-J. Soil animal diversity and its respondence to ecological restoration and reconstruction in Southwest Karst area-Take the Mile Bailongdong area in Yunnan Province as an example. J. Hunan Agric. Univ. 2007, 33, 324. [Google Scholar]
  11. Jiayuan, W.; Fucang, Q.; Zhenqi, Y.; Xiaotong, R.; Fei, F.; Ying, Z. Characteristics of Soil Animal Communities Under Different Land Use in Gully Area of Loess Plateau. J. Agric. Sci. Technol. 2021, 23, 156. [Google Scholar]
  12. Uwizeyimana, H.; Wang, M.; Chen, W.; Khan, K. The eco-toxic effects of pesticide and heavy metal mixtures towards earthworms in soil. Environ. Toxicol. Pharmacol. 2017, 55, 20–29. [Google Scholar] [CrossRef]
  13. Siebert, J.; Ciobanu, M.; Schädler, M.; Eisenhauer, N. Climate change and land use induce functional shifts in soil nematode communities. Oecologia 2020, 192, 281–294. [Google Scholar] [CrossRef]
  14. Lan, L.Y.; Yang, W.Q.; Wu, F.Z.; Liu, Y.W.; Yang, F.; Guo, C.H.; Chen, Y.; Tan, B. Effects of soil fauna on microbial community during litter decomposition of Populus simonii and Fargesia spathacea in the subalpine forest of western Sichuan, China. Ying Yong Sheng Tai Xue Bao 2019, 30, 2983–2991. [Google Scholar]
  15. Bardgett, R.D.; Van Der Putten, W.H. Belowground biodiversity and ecosystem functioning. Nature 2014, 515, 505–511. [Google Scholar] [CrossRef]
  16. Mueller, K.E.; Eisenhauer, N.; Reich, P.B.; Hobbie, S.E.; Chadwick, O.A.; Chorover, J.; Dobies, T.; Hale, C.M.; Jagodziński, A.M.; Kałucka, I. Light, earthworms, and soil resources as predictors of diversity of 10 soil invertebrate groups across monocultures of 14 tree species. Soil Biol. Biochem. 2016, 92, 184–198. [Google Scholar] [CrossRef]
  17. Sylvain, Z.A.; Wall, D.H. Linking soil biodiversity and vegetation: Implications for a changing planet. Am. J. Bot. 2011, 98, 517–527. [Google Scholar] [CrossRef]
  18. Yin, X.; Song, B.; Dong, W.; Xin, W.; Wang, Y. A review on the eco-geography of soil fauna in China. J. Geogr. Sci. 2010, 20, 333–346. [Google Scholar] [CrossRef]
  19. Carrillo, Y.; Ball, B.A.; Bradford, M.A.; Jordan, C.F.; Molina, M. Soil fauna alter the effects of litter composition on nitrogen cycling in a mineral soil. Soil Biol. Biochem. 2011, 43, 1440–1449. [Google Scholar] [CrossRef]
  20. Eissfeller, V.; Langenbruch, C.; Jacob, A.; Maraun, M.; Scheu, S. Tree identity surpasses tree diversity in affecting the community structure of oribatid mites (Oribatida) of deciduous temperate forests. Soil Biol. Biochem. 2013, 63, 154–162. [Google Scholar] [CrossRef]
  21. Baobao, H.; Siping, C.; Yang, L.; Jiao, L.; Dahong, Q.; Changhai, L. Emporal and spatial changes of soil animals in returning farmland to forestland in different years in Wuqi County. J. Arid Land Resour. Environ. 2020, 34, 130–136. [Google Scholar]
  22. Zhu, Y.; Wang, Y.; Chen, L.; Li, Z. Does non-native black locust afforestation affect soil biodiversity at the regional scale? Case study of soil macroinvertebrates across the Chinese Loess Plateau. Catena 2021, 200, 105171. [Google Scholar] [CrossRef]
  23. Yin, W. Retrieval Atlas of Soil Animals in China; Science Press: Beijing, China, 1998. [Google Scholar]
  24. Shidan, B. Soil Agrochemical Analysis; China Agriculture Press: Beijing, China, 2000. [Google Scholar]
  25. Ge, F.; Zhou, Z.; Liu, J.; Wang, N.; Li, J.; Jiang, P. Distribution Characteristics of Root and Their Effect on Soil Separation Rate of Four Typical Plants in Loess Hilly Region. J. Soil Water Conserv. 2017, 31, 164–169. [Google Scholar]
  26. Zhou, Z.; Wang, C.; Zhang, Q. The effect of land use change on soil carbon, nitrogen, and phosphorus contents and their stoichiometry in temperate sapling stands in northeastern China. Acta Ecol. Sin. 2015, 35, 6694–6702. [Google Scholar]
  27. Ren-Tao, L.; Ha-Lin, Z.; Xue-Yong, Z. Effects of different afforestation types on soil faunal diversity in Horqin Sand Land. Ying Yong Sheng Tai Xue Bao 2012, 23, 1104–1110. [Google Scholar]
  28. Zhang, Q.; Yu, X.; Qian, J.; Xiong, T. Distribution characteristics of plant communities and soil organic matter and main nutrients in the Poyang Lake Nanji Wetland. Acta Ecol. Sin. 2012, 32, 3656–3669. [Google Scholar] [CrossRef] [Green Version]
  29. Wang, G.; Liu, G.; Xu, M. Effect of vegetation restoration on soil nutrient changes in Zhifanggou watershed of loess hilly region. Bull. Soil Water Conserv. 2001, 22, 1–5. [Google Scholar]
  30. Xu, H.; Wei-Quan, W.; Jian, Z.; Wan-Qin, Y.; Yang, L.; Yu-Mei, H. Soil faunal diversity under typical alpine vegetations in West Sichuan. Ying Yong Sheng Tai Xue Bao 2010, 21, 181–190. [Google Scholar]
  31. Siemann, E.; Tilman, D.; Haarstad, J.; Ritchie, M. Experimental tests of the dependence of arthropod diversity on plant diversity. Am. Nat. 1998, 152, 738–750. [Google Scholar] [CrossRef]
  32. Halin, Z.; Rentao, L.; Ruilian, Z. Effects of changes in land use on soil macro-arthropod communities in Horqin sand land. Acta Pedol. Sin. 2013, 50, 413–418. [Google Scholar]
  33. Lingjun, M.; Limin, Z.; Limei, Z.; Zhongke, F. Responses of soil macrofaunal communities to tourism trample in the Wudalianchi Yaoquan Mountains. Acta Ecol. Sin. 2016, 36, 6607–6617. [Google Scholar]
  34. Shi-Ke, I.; Juan-Juan, W.; Sha, Z.; Qi, Z.; Xiang, L.; Wen-Jing, Z.; Wen-Hui, Y. Soil fauna community in the litter of six woodlands in Shanghai urban area. Resour. Environ. Yangtze Basin 2016, 25, 1–8. [Google Scholar]
  35. Li, F.-R.; Liu, J.-L.; Liu, C.-A.; Liu, Q.-J.; Niu, R.-X. Shrubs and species identity effects on the distribution and diversity of ground-dwelling arthropods in a Gobi desert. J. Insect Conserv. 2013, 17, 319–331. [Google Scholar] [CrossRef]
  36. Liu, J.-L.; Li, F.-R.; Liu, C.-A.; Liu, Q.-J. Influences of shrub vegetation on distribution and diversity of a ground beetle community in a Gobi desert ecosystem. Biodivers. Conserv. 2012, 21, 2601–2619. [Google Scholar] [CrossRef]
  37. Yuanyuan, L.; Jiahui, L.; Ziqian, X.; Hanmei, X.; Juanping, N.; Shide, H.; Honghua, R. Effects of organic fertilizer application and understory plant removal on the diversity of soil arthropods in poplar plantations. Acta Ecol. Sin. 2021, 41, 2761–2769. [Google Scholar]
  38. Yi, W.; Wei, W.; Xing-zhong, Y.; Li-ding, C.; Lei, Y. Interrelationships between soil fauna and soil environmental factors in China: Research advance. Ying Yong Sheng Tai Xue Bao 2010, 21, 2441–2448. [Google Scholar]
  39. Zhi-Wei, L.; Mei, H.; Hai-Shan, D.; He, Y.; Yu-Chen, Z.; Yan Jin, L.J. Effects of soil meso- and micro-fauna on litter decomposition under nitrogen deposition and rainfall changes. Chin. J. Appl. Ecol. 2021, 32, 4279–4288. [Google Scholar]
  40. He, Y.; Me, H.; Bayinnamula, Z.; Jing, L.; Jin, Y.; Yuchen, Z.; Zhiwei, L. Effects of water and nitrogen treatments on root decomposition in a Stipa breviflora desert steppe. Chin. J. Appl. Environ. Biol. 2020, 26, 1169–1175. [Google Scholar]
  41. Guangbin, Y.; Xiaodong, Y. Characteristics of litter and soil arthropod communities at different successional stages of tropical forests. Biodivers. Sci. 2010, 15, 188. [Google Scholar] [CrossRef]
  42. Jiliang, L.; Wenzhi, Z.; Fengrui, L.; Yibin, B. The relationship of ground spider and beetle assemblage with environmental factors in the natural and artificial fixed-sand shrub forests. Acta Ecol. Sin. 2020, 40, 7987–7996. [Google Scholar]
  43. Adejuyigbe, C.O.; Tian, G.; Adeoye, G.O. Microcosmic study of soil microarthropod and earthworm interaction in litter decomposition and nutrient turnover. Nutr. Cycl. Agroecosyst. 2006, 75, 47–55. [Google Scholar] [CrossRef]
  44. Shu-Tang, L.; Pei-Li, L.; Xiao-Ri, H.; Fang-Gong, S.; Rui, C. Effects of Long-Term Located Fertilization on Biological Environment of Non-Calcareous Fluro-Aquic Soil. Bull. Soil Water Conserv. 2006, 1, 26–29. [Google Scholar]
  45. Wang, M.; Fu, S.; Xu, H.; Wang, M.; Shi, L. Ecological functions of millipedes in the terrestrial ecosystem. Biodivers. Sci. 2018, 26, 1051–1059. [Google Scholar] [CrossRef] [Green Version]
  46. Litavský, J.; Majzlan, O.; Stašiov, S.; Svitok, M.; Fedor, P. The associations between ground beetle (Coleoptera: Carabidae) communities and environmental condition in floodplain forests in the Pannonian Basin. Eur. J. Entomol. 2021, 118, 14–23. [Google Scholar] [CrossRef]
  47. Groner, E.; Ayal, Y. The interaction between bird predation and plant cover in determining habitat occupancy of darkling beetles. Oikos 2001, 93, 22–31. [Google Scholar] [CrossRef]
  48. Shrewsbury, P.M.; Raupp, M.J. Do top-down or bottom-up forces determine Stephanitis pyrioides abundance in urban landscapes? Ecol. Appl. 2006, 16, 262–272. [Google Scholar] [CrossRef]
  49. Braschler, B.; Baur, B. Effects of experimental small-scale grassland fragmentation on spatial distribution, density, and persistence of ant nests. Ecol. Èntomol. 2003, 28, 651–658. [Google Scholar] [CrossRef]
Figure 1. Relative abundance of the soil macrofauna communities at the Class level (A); Order level (B); and Family level (C). Data for the average relative abundances from three replicates were calculated as the ratio between the abundance of the sequence type and the total number of sequences. All calculations used normalized data.
Figure 1. Relative abundance of the soil macrofauna communities at the Class level (A); Order level (B); and Family level (C). Data for the average relative abundances from three replicates were calculated as the ratio between the abundance of the sequence type and the total number of sequences. All calculations used normalized data.
Sustainability 14 02484 g001
Figure 2. PCA ordination map of soil macrofauna communities in different vegetation types. Notes: Dip: Diptera larvae; Oni: Julida; Lio: Liocranidae; Col: Coleoptera larvae; Gna: Gnaphosidae; Lin: Linyphiidae; Acr: Acridoidea; Aph: Aphidoidea; For: Formicidae; Tho: Thomisidae; Red: Reduviidae; Cic: Cicadidae; Ant: Anthocoridae.
Figure 2. PCA ordination map of soil macrofauna communities in different vegetation types. Notes: Dip: Diptera larvae; Oni: Julida; Lio: Liocranidae; Col: Coleoptera larvae; Gna: Gnaphosidae; Lin: Linyphiidae; Acr: Acridoidea; Aph: Aphidoidea; For: Formicidae; Tho: Thomisidae; Red: Reduviidae; Cic: Cicadidae; Ant: Anthocoridae.
Sustainability 14 02484 g002
Figure 3. Indicators of soil macrofauna in different vegetation types. Notes: Q: Number of species; N: Density; M: Margalef index; D: Simpson index; H’: Shannon–Wiener index; J: Pielou index. Error bars represent the standard deviation, different scripts mean significant differences (p < 0.050). M: Margalef index; D: Simpson index; H’: Shannon–Wiener index; J: Pielou index; N: Density; Q: Number of species. Error bars represent the standard deviation, different scripts mean significant differences (p < 0.050).
Figure 3. Indicators of soil macrofauna in different vegetation types. Notes: Q: Number of species; N: Density; M: Margalef index; D: Simpson index; H’: Shannon–Wiener index; J: Pielou index. Error bars represent the standard deviation, different scripts mean significant differences (p < 0.050). M: Margalef index; D: Simpson index; H’: Shannon–Wiener index; J: Pielou index; N: Density; Q: Number of species. Error bars represent the standard deviation, different scripts mean significant differences (p < 0.050).
Sustainability 14 02484 g003
Figure 4. Correlation analysis of soil macrofauna diversity and environmental factors. Notes: Data represent p-values; shades of color represent correlations. M: Margalef index; D: Simpson index; H’: Shannon–Wiener index; J: Pielou index; N: Density; Q: Number of species.
Figure 4. Correlation analysis of soil macrofauna diversity and environmental factors. Notes: Data represent p-values; shades of color represent correlations. M: Margalef index; D: Simpson index; H’: Shannon–Wiener index; J: Pielou index; N: Density; Q: Number of species.
Sustainability 14 02484 g004
Figure 5. RDA two-dimensional ordination diagram of the relationship between soil macrofauna in different vegetation and environmental variables. Notes: Lim: Limacidae; Cen: Centipede; Geo: Geophilidae; Lit: Lithobidae; Oni: Julida; Por: Porcellionidae; Tho: Thomisidae; Gna: Gnaphosidae:; Lin: Linyphiidae; Lyc: Lycosidae; Phi: Philodromidae; Ara: Araneidae; Clu: Clubionidae; Lio: Liocranidae; Sal: Salticidae; Age: Agelenidae; For: Formicidae; Aph: Aphidoidea; Red: Reduviidae; Ant: Anthocoridae; Pyr: Pyrrhocoridae; Cor: Coreidae; Pen: Pentatomidae; Cic: Cicadidae; Acr: Acridoidea; Tct: Tctrigoidea; Man: Mantidae; Ani: Anisolabididae; Sca: Scarabaeoidea; Sta: Staphylinidae; Cur: Curculionidae; Car: Carabidae; Ten: Tenebrionidae; Chr: Chrysomeloidae; Neu: Neuroptera larvae; Col: Coleoptera larvae; Dip: Diptera larvae; Lep: Lepidoptera larvae.
Figure 5. RDA two-dimensional ordination diagram of the relationship between soil macrofauna in different vegetation and environmental variables. Notes: Lim: Limacidae; Cen: Centipede; Geo: Geophilidae; Lit: Lithobidae; Oni: Julida; Por: Porcellionidae; Tho: Thomisidae; Gna: Gnaphosidae:; Lin: Linyphiidae; Lyc: Lycosidae; Phi: Philodromidae; Ara: Araneidae; Clu: Clubionidae; Lio: Liocranidae; Sal: Salticidae; Age: Agelenidae; For: Formicidae; Aph: Aphidoidea; Red: Reduviidae; Ant: Anthocoridae; Pyr: Pyrrhocoridae; Cor: Coreidae; Pen: Pentatomidae; Cic: Cicadidae; Acr: Acridoidea; Tct: Tctrigoidea; Man: Mantidae; Ani: Anisolabididae; Sca: Scarabaeoidea; Sta: Staphylinidae; Cur: Curculionidae; Car: Carabidae; Ten: Tenebrionidae; Chr: Chrysomeloidae; Neu: Neuroptera larvae; Col: Coleoptera larvae; Dip: Diptera larvae; Lep: Lepidoptera larvae.
Sustainability 14 02484 g005
Table 1. Basic conditions of the plots.
Table 1. Basic conditions of the plots.
Sample PlotAltitude (m)AspectSlope PositionLatitude-LongitudeMain Herbaceous Vegetation
Armeniaca sibirica and Populus simonii mixed forest1428.33Half shady slopeSlope top108°12′22″ E, 36°50′44″ NArtemisia sacrorum, Lespedeza daurica
Robinia pseudoacacia1309.15Half shady slopeMidslop108°12′19″ E, 36°52′25″ NLespedeza daurica, Setaria viridis
Populus simonii1327.51Half shady slopeDownhill108°12′23″ E, 36°52′33″ NOnopordum acanthium, Artemisia selengensis, Heteropappus altaicus
Populus hopeiensis1316.40Shady slopeDownhill108°12′43″ E, 36°52′17″ NArtemisia sacrorum, Lespedeza bicolor
Hippophae rhamnoides1354.63Half shady slopeUphill108°12′40″ E, 36°52′14″ NAdenophora stenanthina, Potentilla chinensis, Artemisia sacrorum, Rubia cordifolia
Abandoned grassland1332.99Half shady slopeUphill108°12′51″ E, 36°52′37″ NPatrinia rupestris, Kochia scoparia, Agropyron cristatum, Lespedeza bicolor
Table 2. Soil physical and chemical properties of different vegetations (mean ± standard deviation).
Table 2. Soil physical and chemical properties of different vegetations (mean ± standard deviation).
Environmental FactorsMSPHRG
BD (g/cm3)1.23 ± 0.03 ab1.26 ± 0.12 ab1.23 ± 0.05 ab1.16 ± 0.02 ab1.3 ± 0.04 a1.12 ± 0.16 b
NWC (%)14.20 ± 0.23 b17.47 ± 2.96 a10.55 ± 0.16 cd17.62 ± 0.77 a9.90 ± 1.65 d13.35 ± 0.36 bc
Max WHC (%)45.70 ± 3.29 ab35.70 ± 5.70 b42.71 ± 5.55 ab48.64 ± 2.46 ab37.57 ± 1.39 b50.5 ± 10.62 a
CWHC (%)35.47 ± 2.90 ab23.94 ± 3.81 b31.92 ± 0.19 ab40.98 ± 0.90 a31.45 ± 0.42 ab38.27 ± 5.58 a
CP (%)43.43 ± 2.95 ab29.83 ± 2.12 d39.28 ± 1.85 c47.40 ± 0.64 a40.80 ± 1.58 bc42.15 ± 1.78 bc
NCP (%)12.5 ± 3.77 a14.6 ± 1.32 a13.1 ± 6.64 a8.83 ± 2.22 a7.87 ± 1.99 a12.9 ± 4.37 a
TCP (%)55.93 ± 2.75 a44.43 ± 2.38 b52.38 ± 5.90 ab56.23 ± 1.79 a48.68 ± 0.44 ab55.05 ± 4.77 a
OC (g/kg)7.37 ± 0.39 b7.17 ± 0.49 b3.54 ± 0.16 d10.15 ± 0.51 a8.02 ± 0.45 b5.52 ± 0.39 c
pH8.36 ± 0.03 bc8.43 ± 0.04 abc8.48 ± 0.03 a8.51 ± 0.05 a8.44 ± 0.03 ab8.33 ± 0.09 c
EC (μs/cm3)88.5 ± 3.42 b85.27 ± 3.21 b84.57 ± 1.14 b84.47 ± 0.12 b84.43 ± 2.16 b96.8 ± 3.12 a
AP (mg/kg)5.37 ± 0.17 c9.30 ± 0.94 a6.50 ± 0.49 b4.17 ± 0.25 d5.27 ± 0.31 c6.77 ± 0.12 b
AN (mg/ kg)9.02 ± 0.31 c11.6 ± 0.29 b7.97 ± 0.48 d9.33 ± 0.21 c6.15 ± 0.64 e28.3 ± 0.29 a
AK (mg/kg)90.67 ± 8.65 b156.67 ± 8.18 a79.33 ± 6.13 b92 ± 2.16 b53.33 ± 2.62 c84 ± 5.72 b
TP (g/kg)0.19 ± 0.06 bc0.18 ± 0.07 bc0.51 ± 0.03 a0.15 ± 0.04 c0.55 ± 0.02 a0.25 ± 0.01 b
VC (%)70 ± 3.00 b50 ± 5.2 c60 ± 4.5 b90 ± 5.34 a70 ± 4.12 b94 ± 3.61 a
LT (cm)2 ± 0.15 d3.43 ± 0.21 c5.3 ± 0.2 a4.8 ± 0.15 b1 ± 0.15 e1.2 ± 0.16 e
LP (g/m2)83.1 ± 1.50 c43.75 ± 1.39 d99.67 ± 1.94 b103.83 ± 2.15 a37.92 ± 1.94 e37.5 ± 0.91 e
Notes: Different scripts mean significant differences in multiple comparisons in rows (p < 0.05). BD: bulk density; Max WHC: maximum water-holding capacity; CWHC: capillary water-holding capacity; CP: capillary porosity; NCP: non-capillary porosity; TCP: total capillary porosity; NWC: natural water content; EC: electrical conductivity; OC: organic carbon; AN: alkaline nitrogen; AP: available phosphorus; AK: available potassium; TP: total phosphorus; LP: litter production; LT: Litter thickness; VC: Vegetation coverage; M: Armeniaca sibirica and Populus simonii mixed forest; S: Populus simonii; P: Robinia pseudoacacia; H: Populus hopeiensis; R: Hippophae rhamnoides; G: abandoned grassland.
Table 3. pRDA analysis determined the relative contribution rate of 16 environmental factors to the distribution of soil macrofauna.
Table 3. pRDA analysis determined the relative contribution rate of 16 environmental factors to the distribution of soil macrofauna.
Explanatory VariablesExplains %Contribution %Pseudo-Fp
VC (%)11.112.920.03
AN (mg/ kg)10.712.420.038
LP (g/m2)9.210.71.90.04
BD (g/cm3)5.96.91.20.272
Max WHC (%)6.37.31.30.208
AK (mg/kg)5.46.31.20.32
LT (cm)5.26.11.10.368
TP (g/kg)4.85.610.392
EC (μs/cm3)5.66.51.30.244
TCP (%)4.3510.528
AP (mg/kg)44.70.90.568
OC (g/kg)5.86.71.30.264
NCP (%)5.261.30.324
CWHC (%)4.45.11.10.4
NWC (%)44.710.436
PH2.32.70.40.694
Notes: BD: bulk density; Max WHC: maximum water-holding capacity; CWHC: capillary water-holding capacity; NCP: non-capillary porosity; TCP: total capillary porosity; NWC: natural water content; EC: electrical conductivity; OC: organic carbon; AN: alkaline nitrogen; AP: available phosphorus; AK: available potassium; TP: total phosphorus; LP: litter production; LT: Litter thickness; VC: Vegetation coverage.
Publisher’s Note: MDPI stays neutral with regard to jurisdictional claims in published maps and institutional affiliations.

Share and Cite

MDPI and ACS Style

Zhou, Y.; Liu, C.; Ai, N.; Tuo, X.; Zhang, Z.; Gao, R.; Qin, J.; Yuan, C. Characteristics of Soil Macrofauna and Its Coupling Relationship with Environmental Factors in the Loess Area of Northern Shaanxi. Sustainability 2022, 14, 2484. https://doi.org/10.3390/su14052484

AMA Style

Zhou Y, Liu C, Ai N, Tuo X, Zhang Z, Gao R, Qin J, Yuan C. Characteristics of Soil Macrofauna and Its Coupling Relationship with Environmental Factors in the Loess Area of Northern Shaanxi. Sustainability. 2022; 14(5):2484. https://doi.org/10.3390/su14052484

Chicago/Turabian Style

Zhou, Yongwei, Changhai Liu, Ning Ai, Xianghui Tuo, Zhiyong Zhang, Rui Gao, Jiafeng Qin, and Caixia Yuan. 2022. "Characteristics of Soil Macrofauna and Its Coupling Relationship with Environmental Factors in the Loess Area of Northern Shaanxi" Sustainability 14, no. 5: 2484. https://doi.org/10.3390/su14052484

APA Style

Zhou, Y., Liu, C., Ai, N., Tuo, X., Zhang, Z., Gao, R., Qin, J., & Yuan, C. (2022). Characteristics of Soil Macrofauna and Its Coupling Relationship with Environmental Factors in the Loess Area of Northern Shaanxi. Sustainability, 14(5), 2484. https://doi.org/10.3390/su14052484

Note that from the first issue of 2016, this journal uses article numbers instead of page numbers. See further details here.

Article Metrics

Back to TopTop