One-Step Fabrication of Amino-Functionalized Fe3O4@SiO2 Core-Shell Magnetic Nanoparticles as a Potential Novel Platform for Removal of Cadmium (II) from Aqueous Solution
Abstract
:1. Introduction
2. Experimental Study
2.1. Materials
2.2. Preparation of Synthetic Cd(II) Ion Solution
2.3. Preparation of Fe3O4@SiO2-NH2 Nanoparticles
2.3.1. Synthesis of Oleic Acid Stabilized Fe3O4 Nanoparticles
2.3.2. Preparation of Core-Shell Fe3O4@SiO2 Nanoparticles
2.3.3. Functionalization of Fe3O4@SiO2 Nanoparticles
2.4. Characterization of Fe3O4@SiO2-NH2 Nanoparticles
2.5. Batch Adsorption Study
2.6. Thermodynamic Study
2.7. Isotherm Modelling
2.8. Kinetic Modeling
2.9. Adsorption Mechanism Validation
2.10. Reusability/Regeneration Studies
3. Results and Discussion
3.1. Characterization Study
3.1.1. XRD Pattern of Fe3O4@SiO2-NH2 Nanoparticles
3.1.2. Surface Morphology of Fe3O4@SiO2-NH2 Nanoparticles
3.1.3. FTIR Analysis of Fe3O4@SiO2-NH2 Nanoparticles
3.1.4. Magnetism and Dispersibility Nature of Fe3O4@SiO2-NH2 Nanoparticles
3.1.5. Thermogravimetric and DSC Analysis of Fe3O4@SiO2-NH2 Nanoparticles
3.2. Batch Adsorption Study
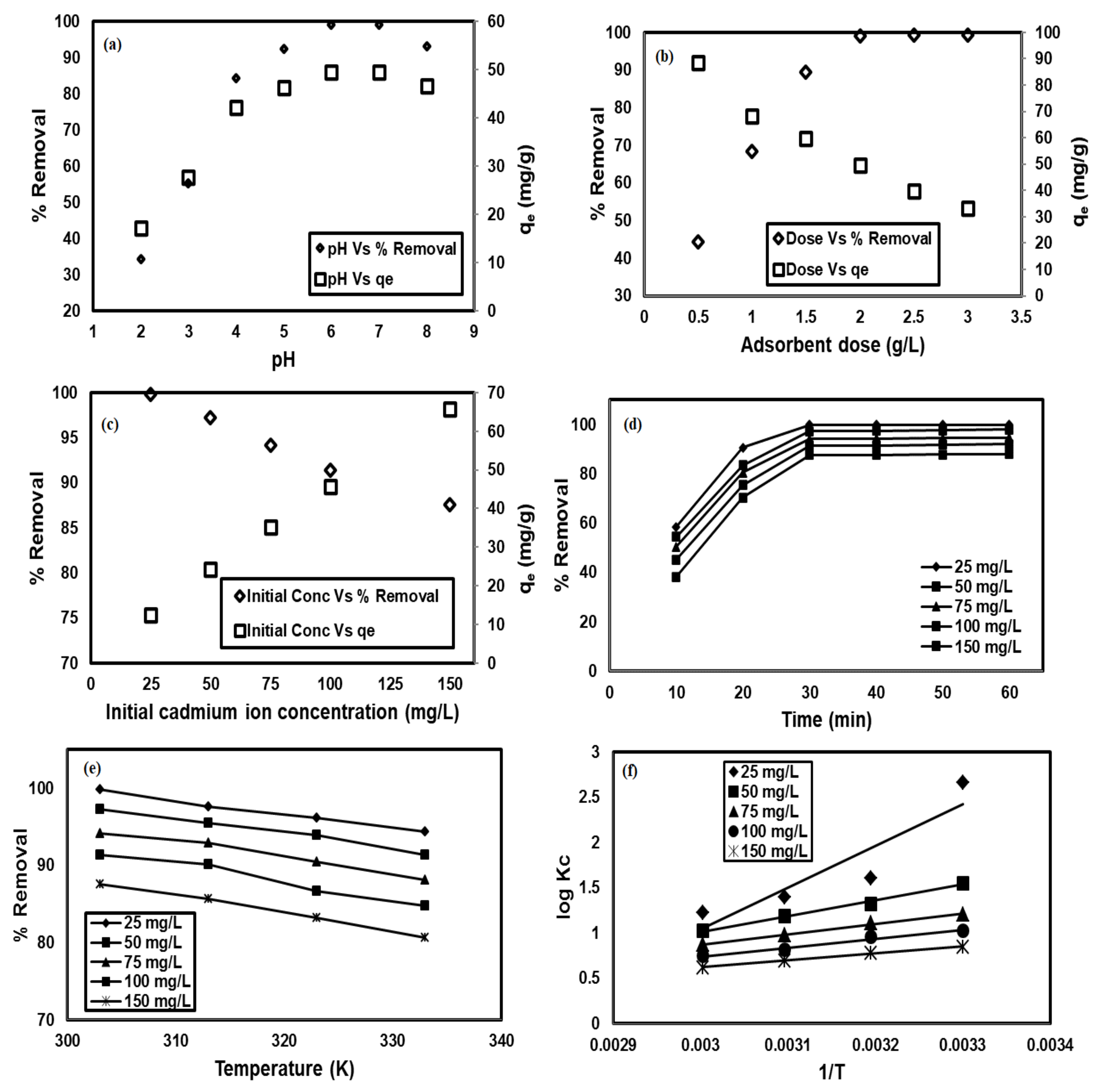
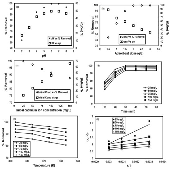
3.2.1. Impact of pH on Adsorption and Point of Zero Charge (pHpzc)
3.2.2. Impact of Dosage on Adsorption
3.2.3. Impact of the Amount of Cadmium Ions
3.2.4. Impact of Interaction Time
3.2.5. Impact of Temperature
3.2.6. Thermodynamic Study
3.3. Modeling Study
3.3.1. Adsorption Isotherm Study
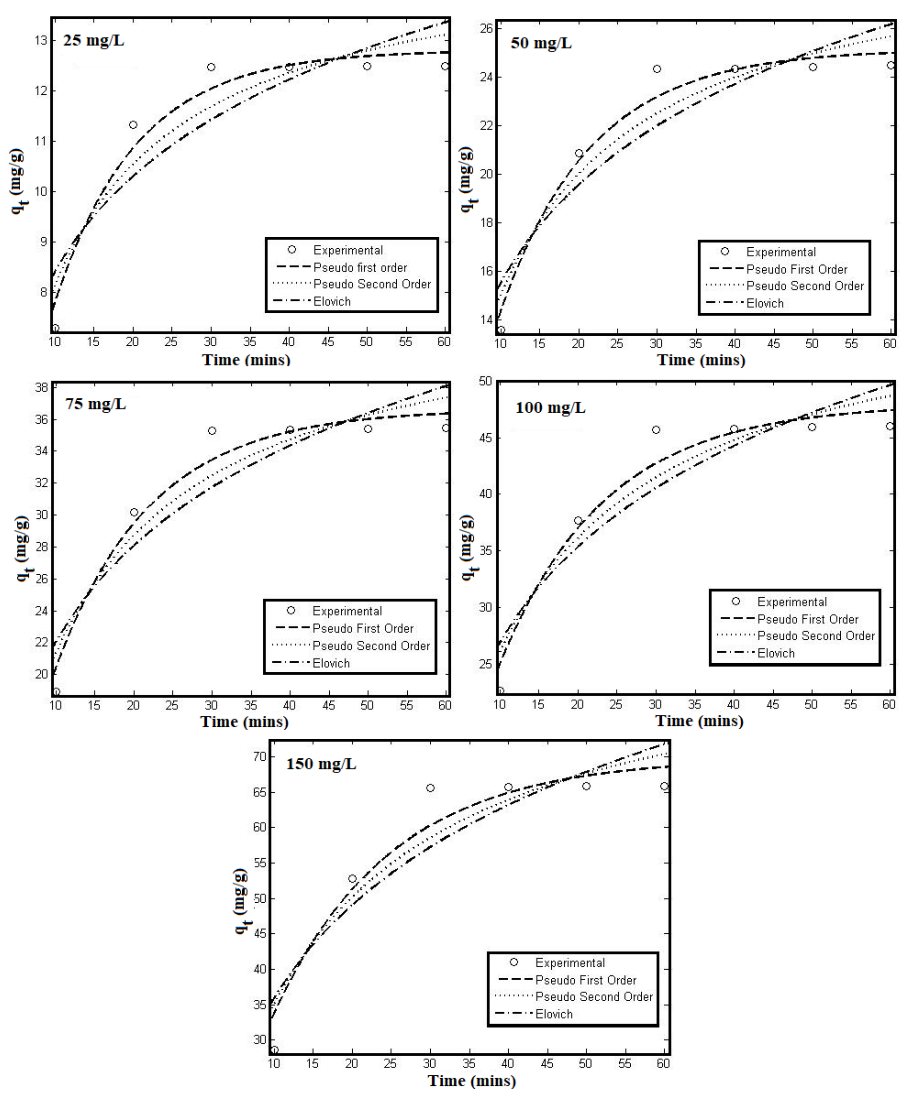
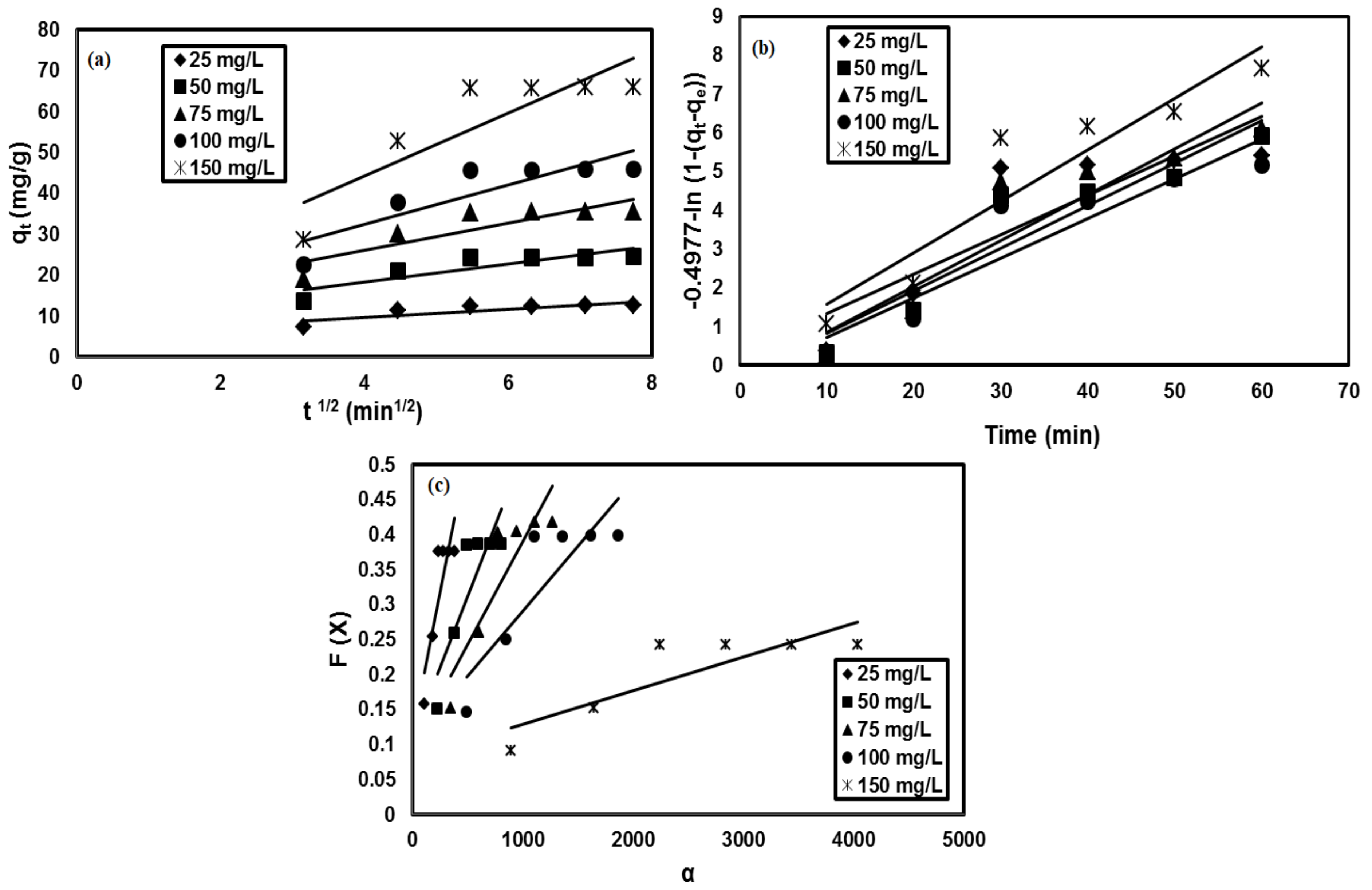
3.3.2. Adsorption Kinetics and Mechanism
- Film-type diffusion, where ion transfer from the bulk portion through the liquid film to the adsorbent surface;
- Intraparticle diffusion characterized by moving through adsorbent pores;
- Adsorption, the ions may be attached to the active sites of the adsorbent.
3.4. Desorption and Reuse of Fe3O4@SiO2-NH2 Nanoparticles
4. Conclusions
Author Contributions
Funding
Institutional Review Board Statement
Informed Consent Statement
Data Availability Statement
Acknowledgments
Conflicts of Interest
References
- Christopher, F.C.; Anbalagan, S.; Kumar, P.S.; Pannerselvam, S.R.; Vaidyanathan, V.K. Surface adsorption of poisonous Pb (II) ions from water using chitosan functionalised magneticnanoparticles. IET Nanobiotechnol. 2017, 11, 433–442. [Google Scholar] [CrossRef]
- Pavithra, K.G.; Kumar, P.S.; Christopher, F.C.; Saravanan, A. Removal of toxic Cr(VI) ions from tannery industrial wastewater using a newly designed three-phase three-dimensional electrode reactor. J. Phys. Chem. Solids 2017, 110, 379–385. [Google Scholar] [CrossRef]
- Kong, Z.; Li, L.; Xue, Y.; Yang, M.; Li, Y.-Y. Challenges and prospects for the anaerobic treatment of chemical-industrial organic wastewater: A review. J. Clean. Prod. 2019, 231, 913–927. [Google Scholar] [CrossRef]
- Carolin, C.F.; Kumar, P.S.; Saravanan, A.; Joshiba, G.J.; Naushad, M. Efficient techniques for the removal of toxic heavy metals from aquatic environment: A review. J. Environ. Chem. Eng. 2017, 5, 2782–2799. [Google Scholar] [CrossRef]
- Prabu, D.; Kumar, P.S.; Varsha, M.; Sathish, S.; Vijai Anand, K.; Mercy, J.; Tiwari, A. Potential of nanoscale size valent iron nanoparticles impregnated activated carbon prepared from palm kernel shell for cadmium removal to avoid water pollution. Int. J. Environ. Anal. Chem. 2020, 100, 1–17. [Google Scholar] [CrossRef]
- Kwikima, M.M.; Mateso, S.; Chebude, Y. Potentials of agricultural wastes as the ultimate alternative adsorbent for cadmium removal from wastewater. A review. Sci. Afr. 2021, 13, e00934. [Google Scholar] [CrossRef]
- Vijayaraghavan, K.; Prabu, D. Potential of Sargassum wightii biomass for copper(II) removal from aqueous solutions: Application of different mathematical models to batch and continuous biosorption data. J. Hazard.Mater. 2006, 157, 558. [Google Scholar] [CrossRef] [PubMed]
- BIS (Bureau of Indian Standards). Methods of Sampling and Test (Physical and Chemical) for Water and Wastewater. Part 41: Cadmium; Bureau of Indian Standards: New Delhi, India, 1992.
- Chai, W.S.; Cheun, J.Y.; Kumar, P.S.; Mubashir, M.; Majeed, Z.; Banat, F.; Ho, S.-H.; Show, P.L. A review on conventional and novel materials towards heavy metal adsorption in wastewater treatment application. J. Clean. Prod. 2021, 296, 126589. [Google Scholar] [CrossRef]
- Son, E.-B.; Poo, K.-M.; Mohamed, H.O.; Choi, Y.-J.; Cho, W.-C.; Chae, K.-J. A novel approach to developing a reusable marine macro-algae adsorbent with chitosan and ferric oxide for simultaneous efficient heavy metal removal and easy magnetic separation. Bioresour. Technol. 2018, 259, 381–387. [Google Scholar] [CrossRef]
- Soylak, M.; Ozalp, O.; Uzcan, F. Magnetic nanomaterials for the removal, separation and preconcentration of organic and inorganic pollutants at trace levels and their practical applications: A review. Trends Environ. Anal. Chem. 2021, 29, e00109. [Google Scholar] [CrossRef]
- Mandel, K.; Hutter, F.; Gellermann, C.; Sextl, G. Reusable superparamagnetic nanocomposite particles for magnetic separation of iron hydroxide precipitates to remove and recover heavy metal ions from aqueous solutions. Sep. Purif. Technol. 2013, 109, 144–147. [Google Scholar] [CrossRef]
- Almomani, F.; Bhosale, R.; Khraisheh, M.; Kumar, A.; Almomani, T. Heavy metal ions removal from industrial wastewater using magnetic nanoparticles (MNP). Appl. Surf. Sci. 2020, 506, 144924. [Google Scholar] [CrossRef]
- Masjedi, A.; Askarizadeh, E.; Baniyaghoob, S. Magnetic nano-particles surface-modified with tridentate ligands for removal of heavy metal ions from water. Mater. Chem. Phys. 2020, 249, 122917. [Google Scholar] [CrossRef]
- Singh, S.; Barick, K.C.; Bahadur, D. Surface engineered magneticnanoparticles for removal of toxic metal ions and bacterial pathogens. J. Hazard. Mater. 2011, 192, 1539–1547. [Google Scholar] [CrossRef] [PubMed]
- Wang, T.; Ai, S.; Zhou, Y.; Luo, Z.; Dai, C.; Yang, Y.; Zhang, J.; Huang, H.; Luo, S.; Luo, L. Adsorption of agricultural wastewater contaminated with antibiotics, pesticides and toxic metals by functionalized magnetic nanoparticles. J. Environ. Chem. Eng. 2018, 6, 6468–6478. [Google Scholar] [CrossRef]
- Qiao, H.; Wang, X.; Liao, P.; Zhang, C.; Liu, C. Enhanced sequestration of tetracycline by Mn(II) encapsulated mesoporous silicananoparticles: Synergistic sorption and mechanism. Chemosphere 2021, 284, 131334. [Google Scholar] [CrossRef] [PubMed]
- Jin, S.; Park, B.C.; Ham, W.S.; Pan, L.; Kim, Y.K. Effect of the magnetic core size of amino-functionalised Fe3O4-mesoporous SiO2 core-shellnanoparticles on the removal of heavy metal ions. Colloids Surf. A Physicochem. Eng. Asp. 2017, 531, 133–140. [Google Scholar] [CrossRef]
- Xin, X.; Wei, Q.; Yang, J.; Yan, L.; Feng, R.; Chen, G.; Du, B.; Li, H. Highly efficient removal of heavy metal ions by amine-functionalised mesoporous Fe3O4 nano-particles. Chem. Eng. J. 2012, 184, 132–140. [Google Scholar] [CrossRef]
- Samrot, A.V.; Sahithya, C.S.; Jenifer, S.A.; Purayil, S.K.; Ponnaiah, P. A review on synthesis, characterisation and potential biological applications of superparamagnetic iron oxidenanoparticles. Curr. Opin. Green Sustain. Chem. 2021, 4, 100042. [Google Scholar] [CrossRef]
- Ishiwata, T.; Miura, O.; Hosomi, K.; Shimizu, K.; Ito, D.; Yoda, Y. Removal and recovery of phosphorus in wastewater by superconducting high gradient magnetic separation with ferromagnetic adsorbent. Phys. C Supercond. Appl. 2010, 470, 1818–1821. [Google Scholar] [CrossRef]
- Prabu, D.; Kumar, P.S.; Rathi, B.S.; Sathish, S.; Anand, K.V.; Kumar, J.A.; Mohammed, O.B.; Silambarasan, P. Feasibility of magnetic nano adsorbent impregnated with activated carbon from animal bone waste: Application for the chromium (VI) removal. Environ. Res. 2022, 203, 111813. [Google Scholar] [CrossRef] [PubMed]
- Amesh, P.; Suneesh, A.S.; Selvan, B.R.; Venkatesan, K.A.; Chandra, M. Magnetic assisted separation of uranium(VI) from aqueous phase using diethylenetriamine modified high capacity iron oxide adsorbent. J. Environ. Chem. Eng. 2020, 8, 103661. [Google Scholar] [CrossRef]
- Le, A.T.; Tam, P.D.; Huy, P.T.; Huy, T.Q.; Van Hieu, N.; Kudrinskiy, A.A.; Krutyakov, Y.A. Synthesis of oleic acid-stabilised silvernanoparticles and analysis of their antibacterial activity. Mater. Sci. Eng. C 2010, 30, 910–916. [Google Scholar] [CrossRef]
- You, X.; He, R.; Shao, J.; Gao, F.; Pan, B.; Cui, D. Hydrophilic high-luminescent magnetic nanocomposites. Nanotechnology 2010, 18, 315. [Google Scholar] [CrossRef] [PubMed] [Green Version]
- Wang, L.; Bao, J.; Wang, L.; Zhang, F.; Li, Y. One-pot synthesis and bio-application of amine-functionalised magnetitenanoparticles and hollow nanospheres. Chem A Europ. J. 2007, 12, 6341–6347. [Google Scholar] [CrossRef] [PubMed]
- Langmuir, I. The adsorption of gases on plane surfaces of glass, mica and platinum. J. Am. Chem. Soc. 1918, 40, 1361–1403. [Google Scholar] [CrossRef] [Green Version]
- Freundlich, H.M.F. Over the adsorption in solution. J. Phys. Chem. 1906, 57, 385–470. [Google Scholar]
- Temkin, M.J.; Pyzhev, V. Recent modifications to Langmuir isotherms. Acta Phys. Chim. IJRSS 1940, 12, 217–225. [Google Scholar]
- Lagergren, S. About the theory of so-called adsorption of soluble substances. Sven. Vetenskapsakad. Handingarl. 1898, 24, 1–39. [Google Scholar]
- Ho, Y.S.; McKay, G. Pseudo-second order model for sorption processes. Process Biochem. 1999, 34, 451–465. [Google Scholar] [CrossRef]
- Low, M.J.D. Kinetics of chemisorption of gases on solids. Chem. Rev. 1960, 60, 267–312. [Google Scholar] [CrossRef]
- Weber, W.J.; Morris, J.C. Kinetics of adsorption on carbon from solution. J. Sanit. Eng. Div. Am. Soc. Civ. Eng. 1963, 89, 31–60. [Google Scholar] [CrossRef]
- Boyd, G.E.; Adamson, A.W.; Myers, L.S. The exchange adsorption of ions from aqueous solutions by organic zeolites. II. Kinetics. J. Am. Chem. Soc. 1947, 69, 2836–2848. [Google Scholar] [CrossRef]
- Adamcyzk, Z. Kinetics of diffusion-controlled adsorption of colloid particles and proteins. J. Colloid Interf. Sci. 2000, 229, 477–489. [Google Scholar] [CrossRef]
- Cui, J.-J.; Niu, C.-G.; Wang, X.-Y.; Zeng, G.-M. Facile preparation of magnetic chitosan modified with thiosemicarbazide for adsorption of copper ions from aqueous solution. J. Appl. Polym. Sci. 2017, 134, 44528. [Google Scholar] [CrossRef]
- Sun, X.; Yang, L.; Li, Q.; Zhao, J.; Li, X.; Wang, X.; Liu, H. Amino -functionalized magnetic cellulose nanocomposite as adsorbent for removal of Cr(VI):Synthesis and adsorption studies. Chem. Eng. J. 2014, 241, 175–183. [Google Scholar] [CrossRef]
- Zhu, H.Y.; Fu, Y.Q.; Jiang, R.; Jiang, J.H.; Xiao, L.; Zeng, G.M.; Zhao, S.L.; Wang, Y. Adsorption removal of congo red on to magnetic ellulose/Fe3O4/activated carbon composite:Equilibrium, kinetic and thermodynamic studies. Chem. Eng. J. 2011, 173, 494–502. [Google Scholar] [CrossRef]
- Saravanan, A.; Senthil Kumar, P.; Govarthanan, M.; George, C.S.; Vaishnavi, S.; Moulishwaran, S.; Praveen Kumar, S.; Jeevanantham, S.; Yaashika, P.R. Adsorption characteristics of magnetic nanoparticles coated mixed fungal biomass for Cr (VI) ions in aquatic environment. Chemosphere 2021, 267, 129226. [Google Scholar] [CrossRef] [PubMed]
- Gemeay, A.H.; Keshta, B.E.; El-Sharkawy, R.G.; Zaki, A.B. Chemical insight into the adsorption of reactive wool dyes onto amine-functionalized magnetite/silica core-shell from industrial wastewaters. Environ. Sci. Pollut. Res. 2020, 27, 32341–32358. [Google Scholar] [CrossRef] [PubMed]
- Lin, C.R.; Ivanova, O.S.; Petrov, D.A.; Sokolov, A.E.; Chen, Y.Z.; Gerasimova, M.A.; Zharkov, S.M.; Tseng, Y.T.; Shestakov, N.P.; Edelman, I.S. Amino-Functionalized Fe3O4@SiO2 Core-Shell Magnetic Nanoparticles for Dye Adsorption. Nanomaterials 2021, 11, 2371. [Google Scholar] [CrossRef]
- Xu, J.; Ju, C.; Sheng, J.; Wang, F.; Zhang, Q.; Sun, G.; Sun, M. Synthesis and Characterization of Magnetic Nanoparticles and Its Application in Lipase Immobilization. Bull. Korean Chem. Soc. 2013, 34, 2408–2412. [Google Scholar] [CrossRef] [Green Version]
- Yao, Y.; Miao, S.; Yu, S.; Ma, L.P.; Sun, H.; Wang, S. Fabrication of Fe3O4/SiO2 core/shell nanoparticles attached to graphene oxide and its use as an adsorbent. J. Colloid Interface Sci. 2012, 379, 20–26. [Google Scholar] [CrossRef] [PubMed]
- Ghasemzadeh, M.A.; Abdollahi-Basir, M.H.; Babaei, M. Fe3O4@SiO2–NH2 core-shell nanocomposite as an efficient and green catalyst for the multicomponent synthesis of highly substituted chromeno[2,3-b]pyridines in aqueous ethanol media. Green Chem. Lett. Rev. 2015, 8, 40–49. [Google Scholar] [CrossRef] [Green Version]
- Abkenar, S.D.; Khoobi, M.; Tarasi, R.; Hosseini, M.; Shafiee, A.; Ganjali, M.R. Fast removal of methylene blue from aqueous solution using magnetic-modified Fe3O4 nanoparticles. J. Environ. Eng. 2015, 141, 04014049. [Google Scholar] [CrossRef]
- Aljarrah, M.T.; Al-Harahsheh, M.S.; Mayyas, M.; Alrebaki, M. In situ synthesis of quaternary ammonium on silica-coated magnetic nanoparticles and it’s application for the removal of uranium (VI) from aqueous media. J. Environ. Chem. Eng. 2018, 6, 5662–5669. [Google Scholar] [CrossRef]
- Sundararaman, S.; Deivasigamani, P.; Gopakumaran, N.; Kumar, J.A.; Balasubramaniam, J.S.; Kumar, N.M. Amalgamation and application of nano chitosan cross-linked with fish scales based activated carbon as an adsorbent for the removal of reactive dye (RB9). IET Nanobiotechnol. 2020, 14, 289–299. [Google Scholar] [CrossRef]
- Meng, C.; Zhikun, W.; Qiang, L.; Chunling, L.; Shuangqing, S.; Songqing, H. Preparation of aminofunctionalized Fe3O4@mSiO2 core-shell magnetic nanoparticles and their application for aqueous Fe3+ removal. J. Hazard. Mater. 2018, 341, 198–206. [Google Scholar] [CrossRef]
- Ulu, A.; Ozcan, I.; Koytepe, S.; Ates, B. Design of epoxyfunctionalized Fe3O4@MCM-41 core–shell nanoparticles for enzyme immobilization. Int. J. Biol. Macromol. 2018, 115, 1122–1130. [Google Scholar] [CrossRef]
- Hozhabr Araghi, S.; Entezari, M.H. Amino-functionalized silica magnetite nanoparticles for the simultaneous removal of pollutants from aqueous solution. Appl. Surf. Sci. 2015, 333, 68–77. [Google Scholar] [CrossRef]
- Dada, A.O.; Adekola, F.A.; Odebunmi, E.O. Liquid phase scavenging of Cd (II) and Cu (II) ions onto novel nanoscale zerovalent manganese (nZVMn): Equilibrium, kinetic and thermodynamic studies. Environ. Nanotechnol. Monit. Manag. 2017, 8, 63–72. [Google Scholar] [CrossRef]
- Dada, A.O.; Adekola, F.A.; Odebunmi, E.O. Kinetics and equilibrium models for sorption of Cu (II) onto a novel manganese nano-adsorbent. J. Disper. Sci. Technol. 2016, 37, 119–133. [Google Scholar] [CrossRef]
- Senthil Kumar, P.S.; Saravanan, A.; Sundarrajan, P.; Yashwanthraj, M. Nanosclae zero-valent iron-impregnated agricultural waste as an effective biosorbent for the removal of heavy metal ions from wastewater. Text. Cloth. Sustain. 2016, 2, 2–11. [Google Scholar]
- Tan, Y.; Chen, M.; Hao, Y. High efficient removal of Pb (II) by amino-functionalised Fe3O4 magneticnanoparticles. Chem. Eng. J. 2012, 191, 104–111. [Google Scholar] [CrossRef]
- Xu, L.; Suo, H.; Liu, R. Preparation and characterisation of magnetic bioadsorbent for adsorption of Cd(II) ions. J. Indian Chem. Soc. 2021, 98, 100111. [Google Scholar] [CrossRef]
- Nassar, N.N. Rapid removal and recovery of Pb(II) from wastewater by magnetic nanoadsorbents. J. Hazard. Mater. 2010, 184, 538–546. [Google Scholar] [CrossRef] [PubMed]
- Deivasigamani, P.; Ponnusamy, S.K.; Sundararaman, S.; Suresh, A. Superhigh adsorption of cadmium(ii) Ions onto surface modified nano zerovalent iron Composite (CNS-NZVI): Characterization, adsorption Kinetics and isotherm studies. Chem. Chem. Technol. 2021, 15, 457–464. [Google Scholar] [CrossRef]
- Xu, H.; Hu, X.; Chen, Y.; Li, Y.; Zhang, R.; Tang, C.; Hu, X. Cd(II) and Pb(II) absorbed on humic acid-iron-pillared bentonite: Kinetics, thermodynamics and mechanism of adsorption. Colloids Surf. A Physicochem. Eng. Asp. 2021, 612, 126005. [Google Scholar] [CrossRef]
- Hu, J.; Zhao, D.L.; Wang, X.K. Removal of Pb(II) and Cu(II) from aqueous solution using multiwalled carbon nanotubes/iron oxide magnetic composites. Water Sci. Technol. 2011, 63, 917–923. [Google Scholar] [CrossRef] [PubMed]
- Sathish, S.; Senthil Kumar, P.; Prabu, D.; Aravind Kumar, J.; Marshiana, D. Assessing the Plant Phytoremediation Efficacy for Azolla filiculoides in the treatment of textile effluent and Redemption of Congo red dye onto Azolla Biomass. Sustainability 2021, 13, 9588. [Google Scholar]
- Phuengprasop, T.; Sittiwong, J.; Unob, F. Removal of heavy metal ions by iron oxide coated sewage sludge. J. Hazard. Mater. 2011, 186, 502–507. [Google Scholar] [CrossRef] [PubMed]
- Wang, S.-G.; Gong, W.-X.; Liu, X.-W.; Yao, Y.-W.; Gao, B.-Y.; Yue, Q.-Y. Removal of lead(II) from aqueous solution by adsorption onto manganese oxide-coated carbon nanotubes. Sep. Purif. Technol. 2007, 58, 17–23. [Google Scholar] [CrossRef]
- Reddad, Z.; Gerente, C.; Andres, Y.; Le Cloirec, P. Adsorption of several metal ions onto a low-cost biosorbent: Kinetic and equilibrium studies. Environ. Sci. Technol. 2002, 36, 2067–2073. [Google Scholar] [CrossRef] [PubMed]
- Ge, F.; Li, M.-M.; Ye, H.; Zhao, B.-X. Effective removal of heavy metal ions Cd2+, Zn2+, Pb2+, Cu2+ from aqueous solution by polymer-modified magneticnanoparticles. J. Hazard. Mater. 2012, 211, 366–372. [Google Scholar] [CrossRef] [PubMed]
- Solic, M.; Maletic, S.; Isakovski, M.K.; Nikic, J.; Watson, M.; Konya, Z.; Roncevic, S. Removing low levels of Cd(II) and Pb(II) by adsorption on two types of oxidised multiwalled carbon nanotubes. J. Environ. Chem. Eng. 2021, 9, 105402. [Google Scholar] [CrossRef]
- Du, X.; Cui, S.; Fang, X.; Wang, Q.; Liu, G. Adsorption of Cd(II), Cu(II), and Zn(II) by granules prepared using sludge from a drinking water purification plant. J. Environ. Chem. Eng. 2020, 8, 10. [Google Scholar] [CrossRef]
- Zeraatkar Moghaddam, A.; Ghiamati, E.; Ayati, A.; Ganjali, M.R. Application of the response surface methododlogy for optimizing the adsorptive removal of chromate using a magnetic crosslinked chitosan nanocomposite. J. Appl. Polym. Sci. 2019, 136, 47077. [Google Scholar] [CrossRef]
- Ravi, T.; Sundararaman, S. Synthesis and characterization of chicken eggshell powder coated magnetic nano adsorbent by an ultrasonic bath assisted co-precipitation for Cr(VI) removal from its aqueous mixture. J. Environ. Chem. Eng. 2020, 8, 103877–103889. [Google Scholar]
- Kumar, J.A.; Amarnath, D.J.; Sathish, S.; Jabasingh, S.A.; Saravanan, A.; Hemavathy, R.V.; Anand, K.V.; Yaashikaa, P.R. Enahanced PAHs removal using pyrolysis-assisted potassium hydroxide induced palm shell activated carbon: Batch and column investigation. J. Mol. Liq. 2019, 279, 77–87. [Google Scholar] [CrossRef]







| Concentration of Cd(II) ion (mg/L) | ∆Ho (kJ/mol) | ∆So (J/mol K) | ∆Go (kJ/mol) | |||
|---|---|---|---|---|---|---|
| 303 K | 313 K | 323 K | 333 K | |||
| 25 | −134.17 | −390.90 | −15.467 | −9.630 | −8.664 | −7.810 |
| 50 | −30.912 | −69.115 | −8.999 | −7.935 | −7.320 | −6.529 |
| 75 | −18.631 | −35.907 | −6.995 | −6.682 | −6.048 | −5.548 |
| 100 | −9.780 | −12.654 | −5.948 | −5.752 | −5.018 | −4.755 |
| 150 | −10.011 | −16.159 | −4.920 | −4.647 | −4.296 | −3.941 |
| Adsorption Isotherm Model | Parameters | Values | R2 |
|---|---|---|---|
| Langmuir | qm (mg/g) | 40.02 | 0.8832 |
| KL (L/mg) | 0.834 | ||
| SSE | 109.2 | ||
| RMSE | 5.97 | ||
| Freundlich | KF ((mg/g)(L/mg)(1/n))) | 19.67 | 0.9451 |
| n (g/L) | 3.091 | ||
| SSE | 23.56 | ||
| RMSE | 2.987 | ||
| Temkin | A | 112 | 0.8045 |
| B | 1.175 | ||
| b (kJ/mol) | 1.234 | ||
| SSE | 117.2 | ||
| RMSE | 5.393 |
| Adsorbents | qm (mg/g) | References |
|---|---|---|
| Magnetic chitosan | 48 | [58] |
| Fe3O4@SiO2-NH2 nanoparticles | 40.02 | This work |
| Amino-functionalized MNPs | 40.10 | [59] |
| Magnetic nanoadsorbents | 36.00 | [53] |
| HA-Fe-PILC | 31.34 | [54] |
| Magnetic composites-carbon nanotubes | 31.25 | [55] |
| Iron oxide coated sewage sludge | 42.40 | [56] |
| Manganese oxide-carbon nanotube | 26.24 | [57] |
| Sugar beet pulp | 24.3 | [58] |
| Fe3O4@APS@AA-co-CA MNPs | 29.6 | [59] |
| oxMWCNT6h | 13.5 | [60] |
| Granular sludge-clay | 1.53 | [61] |
| Kinetic Model | Parameters | Concentration of Cadmium Ion Solution (mg/L) | ||||
|---|---|---|---|---|---|---|
| 25 mg/L | 50 mg/L | 75 mg/L | 100 mg/L | 150 mg/L | ||
| qe,exp (mg/g) | 12.4899 | 25.4677 | 35.4566 | 45.99 | 65.956 | |
| Pseudo-first-order equation | k1(min−1) | 0.0943 | 0.08508 | 0.08162 | 0.07375 | 0.06614 |
| qe, cal (mg/g) | 12.8 | 25.13 | 36.63 | 47.96 | 69.89 | |
| R2 | 0.9636 | 0.9739 | 0.9663 | 0.9596 | 0.9396 | |
| Pseudo-second-order equation | k2 (g mg−1 min−1) | 0.008046 | 0.003395 | 0.002143 | 0.00135 | 0.0007472 |
| qe,cal (mg/g) | 14.93 | 29.88 | 43.96 | 58.87 | 88.2 | |
| R2 | 0.8858 | 0.9146 | 0.9059 | 0.9064 | 0.8894 | |
| Elovich kinetic model | α (mg/g.min) | 8.215 | 0.6823 | 0.3036 | 0.125 | 0.04648 |
| β (g/mg) | 0.227 | 1.677 | 3.087 | 4.927 | 8.666 | |
| R2 | 0.7977 | 0.8445 | 0.8374 | 0.8477 | 0.8374 | |
| Adsorption Models | Parameters | Concentration of Cadmium Ion Solution (mg/L) | ||||
|---|---|---|---|---|---|---|
| 25 | 50 | 75 | 100 | 150 | ||
| Intraparticle diffusion model | kp (mg/g min1/2) | 1.013 | 2.212 | 3.359 | 4.815 | 7.694 |
| C (mg/g) | 5.636 | 9.364 | 12.58 | 13.11 | 13.50 | |
| R2 | 0.670 | 0.748 | 0.741 | 0.759 | 0.754 | |
| Boyd kinetic model | B | 0.101 | 0.109 | 0.118 | 0.125 | 0.132 |
| Di (×10−12 m2/s) | 5.343 | 5.766 | 6.242 | 6.612 | 6.983 | |
| R2 | 0.760 | 0.883 | 0.862 | 0.857 | 0.867 | |
| SCM model | D (×10−9 m2/s) | 3.2564 | 3.1829 | 3.0978 | 3.0124 | 2.7893 |
| R2 | 0.751 | 0.747 | 0.798 | 0.747 | 0.734 | |
Publisher’s Note: MDPI stays neutral with regard to jurisdictional claims in published maps and institutional affiliations. |
© 2022 by the authors. Licensee MDPI, Basel, Switzerland. This article is an open access article distributed under the terms and conditions of the Creative Commons Attribution (CC BY) license (https://creativecommons.org/licenses/by/4.0/).
Share and Cite
Prabu, D.; Senthil Kumar, P.; Indraganti, S.; Sathish, S.; Aravind Kumar, J.; Vijai Anand, K. One-Step Fabrication of Amino-Functionalized Fe3O4@SiO2 Core-Shell Magnetic Nanoparticles as a Potential Novel Platform for Removal of Cadmium (II) from Aqueous Solution. Sustainability 2022, 14, 2290. https://doi.org/10.3390/su14042290
Prabu D, Senthil Kumar P, Indraganti S, Sathish S, Aravind Kumar J, Vijai Anand K. One-Step Fabrication of Amino-Functionalized Fe3O4@SiO2 Core-Shell Magnetic Nanoparticles as a Potential Novel Platform for Removal of Cadmium (II) from Aqueous Solution. Sustainability. 2022; 14(4):2290. https://doi.org/10.3390/su14042290
Chicago/Turabian StylePrabu, Deivasigamani, Ponnusamy Senthil Kumar, Sravya Indraganti, Sundararaman Sathish, Jagadeesan Aravind Kumar, and Kabali Vijai Anand. 2022. "One-Step Fabrication of Amino-Functionalized Fe3O4@SiO2 Core-Shell Magnetic Nanoparticles as a Potential Novel Platform for Removal of Cadmium (II) from Aqueous Solution" Sustainability 14, no. 4: 2290. https://doi.org/10.3390/su14042290
APA StylePrabu, D., Senthil Kumar, P., Indraganti, S., Sathish, S., Aravind Kumar, J., & Vijai Anand, K. (2022). One-Step Fabrication of Amino-Functionalized Fe3O4@SiO2 Core-Shell Magnetic Nanoparticles as a Potential Novel Platform for Removal of Cadmium (II) from Aqueous Solution. Sustainability, 14(4), 2290. https://doi.org/10.3390/su14042290

