Effect of Zeolite on the Methane Production from Chicken Manure Leachate
Abstract
1. Introduction
2. Materials and Methods
2.1. Chicken Manure
2.2. Zeolite
2.3. Experimental Set-Up
2.4. Biochemical Methane Potential
2.5. Calculations
2.6. Analytical Methods
3. Results and Discussion
3.1. Conceptualization of the Study
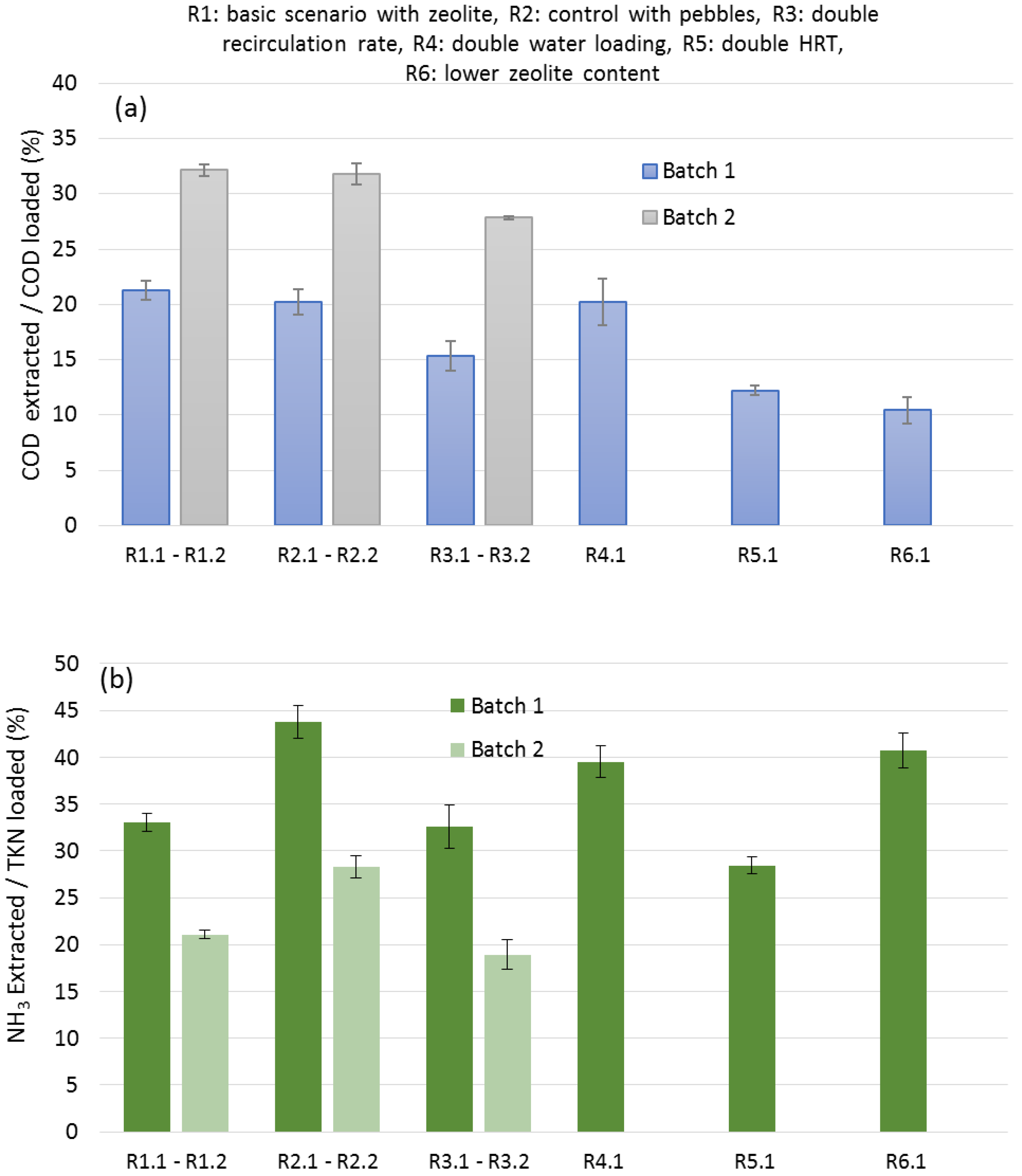
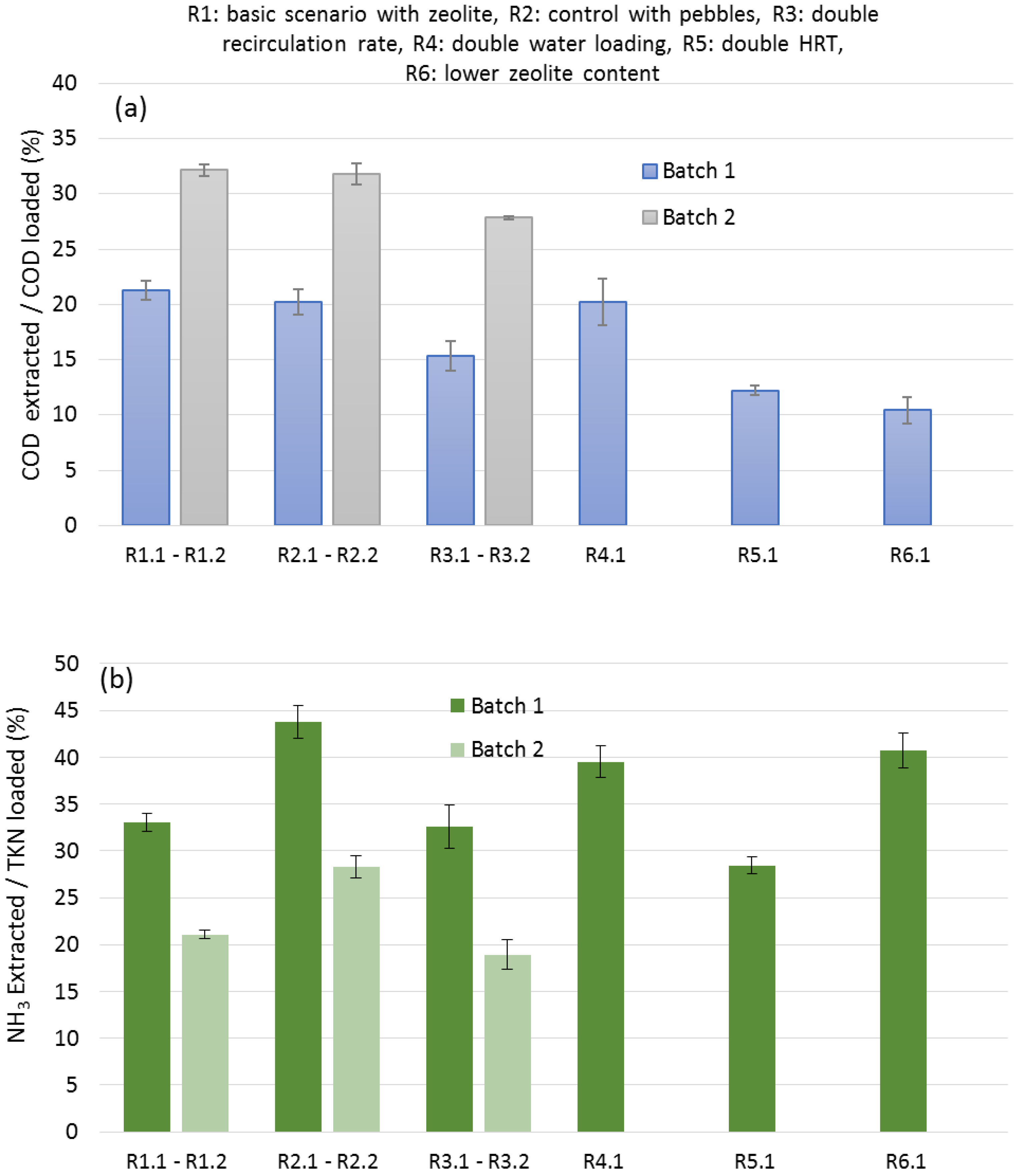
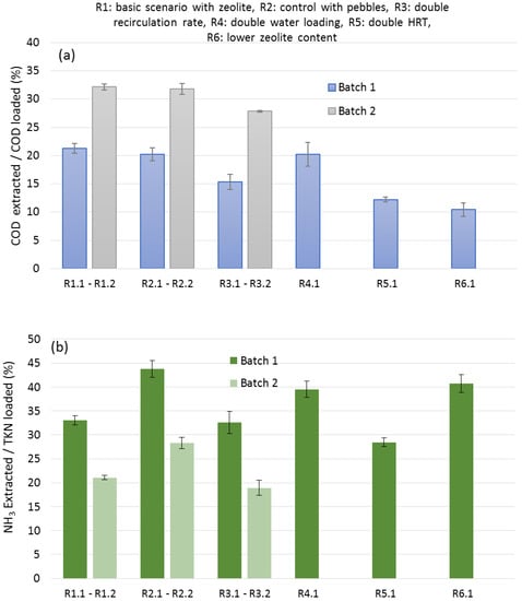
3.2. Effect of Different Operating Conditions on Leachate’s Characteristics
3.3. VFAs Accumulation
3.4. Biochemical Methane Potential
4. Conclusions
Supplementary Materials
Author Contributions
Funding
Institutional Review Board Statement
Informed Consent Statement
Data Availability Statement
Conflicts of Interest
References
- Molaey, R.; Bayrakdar, A.; Sürmeli, R.Ö.; Çalli, B. Anaerobic Digestion of Chicken Manure: Mitigating Process Inhibition at High Ammonia Concentrations by Selenium Supplementation. Biomass Bioenergy 2018, 108, 439–446. [Google Scholar] [CrossRef]
- Mitchell, C.C.; Donald, J.O. The Value and Use of Poultry Manures as Fertilizer. Available online: https://www.aces.edu/ (accessed on 27 January 2022).
- Bayrakdar, A.; Molaey, R.; Sürmeli, R.Ö.; Sahinkaya, E.; Çalli, B. Biogas Production from Chicken Manure: Co-Digestion with Spent Poppy Straw. Int. Biodeterior. Biodegrad. 2017, 119, 205–210. [Google Scholar] [CrossRef]
- Bujoczek, G.; Oleszkiewicz, J.; Sparling, R.; Cenkowski, S. High Solid Anaerobic Digestion of Chicken Manure. J. Agric. Eng. Res. 2000, 76, 51–60. [Google Scholar] [CrossRef]
- Zhang, H.; Hamilton, D.W.; Payne, J. Using Poultry Litter as Fertilizer. Oklahoma Cooperative Extension Service. Available online: https://extension.okstate.edu/fact-sheets/print-publications/pss/using-poultry-litter-as-fertilizer-pss-2246.pdf (accessed on 1 November 2021).
- Piechota, G. Removal of Siloxanes from Biogas Upgraded to Biomethane by Cryogenic Temperature Condensation System. J. Clean. Prod. 2021, 308, 127404. [Google Scholar] [CrossRef]
- Sun, C.; Cao, W.; Banks, C.J.; Heaven, S.; Liu, R. Biogas Production from Undiluted Chicken Manure and Maize Silage: A Study of Ammonia Inhibition in High Solids Anaerobic Digestion. Bioresour. Technol. 2016, 218, 1215–1223. [Google Scholar] [CrossRef]
- Kalamaras, S.D.; Vasileiadis, S.; Karas, P.; Angelidaki, I.; Kotsopoulos, T.A. Microbial Adaptation to High Ammonia Concentrations during Anaerobic Digestion of Manure-Based Feedstock: Biomethanation and 16S RRNA Gene Sequencing. J. Chem. Technol. Biotechnol. 2020, 95, 1970–1979. [Google Scholar] [CrossRef]
- Chen, Y.; Cheng, J.J.; Creamer, K.S. Inhibition of Anaerobic Digestion Process: A Review. Bioresour. Technol. 2008, 99, 4044–4064. [Google Scholar] [CrossRef]
- Shapovalov, Y.; Zhadan, S.; Bochmann, G.; Salyuk, A.; Nykyforov, V. Dry Anaerobic Digestion of Chicken Manure: A Review. Appl. Sci. 2020, 10, 7825. [Google Scholar] [CrossRef]
- Huang, H.; He, L.; Lei, Z.; Zhang, Z. Contribution of Precipitates Formed in Fermentation Liquor to the Enhanced Biogasification of Ammonia-Rich Swine Manure by Wheat-Rice-Stone Addition. Bioresour. Technol. 2015, 175, 486–493. [Google Scholar] [CrossRef]
- Serna-Maza, A.; Heaven, S.; Banks, C.J. In Situ Biogas Stripping of Ammonia from a Digester Using a Gas Mixing System. Environ. Technol. 2017, 38, 3216–3224. [Google Scholar] [CrossRef]
- Bayrakdar, A.; Sürmeli, R.Ö.; Çalli, B. Anaerobic Digestion of Chicken Manure by a Leach-Bed Process Coupled with Side-Stream Membrane Ammonia Separation. Bioresour. Technol. 2018, 258, 41–47. [Google Scholar] [CrossRef] [PubMed]
- Böjti, T.; Kovács, K.L.; Kakuk, B.; Wirth, R.; Rákhely, G.; Bagi, Z. Pretreatment of Poultry Manure for Efficient Biogas Production as Monosubstrate or Co-Fermentation with Maize Silage and Corn Stover. Anaerobe 2017, 46, 138–145. [Google Scholar] [CrossRef]
- Elasri, O.; Salem, M.; Ramdani, M.; Zaraali, O.; Lahbib, L. Effect of Increasing Inoculum Ratio on Energy Recovery from Chicken Manure for Better Use in Egyptian Agricultural Farms. Chem. Biol. Technol. Agric. 2018, 5, 17. [Google Scholar] [CrossRef]
- Wang, F.; Pei, M.; Qiu, L.; Yao, Y.; Zhang, C.; Qiang, H. Performance of Anaerobic Digestion of Chicken Manure under Gradually Elevated Organic Loading Rates. Int. J. Environ. Res. Public Health 2019, 16, 2239. [Google Scholar] [CrossRef] [PubMed]
- Cysneiros, D.; Banks, C.J.; Heaven, S.; Karatzas, K.A.G. The Effect of PH Control and “hydraulic Flush” on Hydrolysis and Volatile Fatty Acids (VFA) Production and Profile in Anaerobic Leach Bed Reactors Digesting a High Solids Content Substrate. Bioresour. Technol. 2012, 123, 263–271. [Google Scholar] [CrossRef]
- Nikulina, N.; Uslu, S.; Lemmer, A.; Azbar, N.; Oechsner, H. Optimal Conditions for High Solid Co-Digestion of Organic Fraction of Municipal Solid Wastes in a Leach-Bed Reactor. Bioresour. Technol. 2021, 331, 125023. [Google Scholar] [CrossRef] [PubMed]
- Zayen, A.; Sayadi, S.; Sousbie, P.; Bernet, N.; Torrijos, M.; Escudié, R. Chicken Manure and Wheat Straw Co-Digestion in Batch Leach Bed Reactors: Optimization of the Start-up Conditions. Biomass Convers. Biorefinery 2021. [Google Scholar] [CrossRef]
- Hernández-Shek, M.A.; Mathieux, M.; André, L.; Peultier, P.; Pauss, A.; Ribeiro, T. Quantifying Porosity Changes in Solid Biomass Waste Using a Disruptive Approach of Water Retention Curves (WRC) for Dry Anaerobic Digestion. Bioresour. Technol. Rep. 2020, 12, 100585. [Google Scholar] [CrossRef]
- Hernández-Shek, M.A.; André, L.; Peultier, P.; Pauss, A.; Ribeiro, T. Immersion Effect on the Anaerobic Degradation and the Rheological Properties of Straw-Cattle Manure (SCM) at 440 L Batch Pilot Scale Reactor. Waste Biomass Valorization 2021, 12, 6741–6758. [Google Scholar] [CrossRef]
- Cysneiros, D.; Banks, C.J.; Heaven, S.; Karatzas, K.A.G. The Role of Phase Separation and Feed Cycle Length in Leach Beds Coupled to Methanogenic Reactors for Digestion of a Solid Substrate (Part 2): Hydrolysis, Acidification and Methanogenesis in a Two-Phase System. Bioresour. Technol. 2011, 102, 7393–7400. [Google Scholar] [CrossRef]
- Yu, H.W.; Samani, Z.; Hanson, A.; Smith, G. Energy Recovery from Grass Using Two-Phase Anaerobic Digestion. Waste Manag. 2002, 22, 1–5. [Google Scholar] [CrossRef]
- Nizami, A.S.; Murphy, J.D. Optimizing the Operation of a Two-Phase Anaerobic Digestion System Digesting Grass Silage. Environ. Sci. Technol. 2011, 45, 7561–7569. [Google Scholar] [CrossRef] [PubMed]
- Yang, J.; Wang, D.; Luo, Z.; Zeng, W. Anaerobic Mono-Digestion of Pig Manure in a Leach Bed Coupled with a Methanogenic Reactor: Effects of the Filter Media. J. Clean. Prod. 2019, 234, 1094–1101. [Google Scholar] [CrossRef]
- Yang, J.; Wang, D.; Luo, Z.; Zeng, W.; Huang, H. The Role of Reflux Time in a Leach Bed Reactor Coupled with a Methanogenic Reactor for Anaerobic Digestion of Pig Manure: Reactor Performance and Microbial Community. J. Clean. Prod. 2020, 242, 118367. [Google Scholar] [CrossRef]
- Korazbekova, K.U.; Bakhov, Z.K. Performance of Leach-Bed Reactor with Immobilization of Microorganisms in Terms of Methane Production Kinetics. J. Biol. Sci. 2014, 14, 258–266. [Google Scholar] [CrossRef]
- Luo, L.; Kaur, G.; Zhao, J.; Zhou, J.; Xu, S.; Varjani, S.; Wong, J.W.C. Optimization of Water Replacement during Leachate Recirculation for Two-Phase Food Waste Anaerobic Digestion System with off-Gas Diversion. Bioresour. Technol. 2021, 335. [Google Scholar] [CrossRef]
- Fotidis, I.A.; Kougias, P.G.; Zaganas, I.D.; Kotsopoulos, T.A.; Martzopoulos, G.G. Inoculum and Zeolite Synergistic Effect on Anaerobic Digestion of Poultry Manure. Environ. Technol. 2014, 35, 1219–1225. [Google Scholar] [CrossRef]
- Wang, Q.; Yang, Y.; Yu, C.; Huang, H.; Kim, M.; Feng, C.; Zhang, Z. Study on a Fixed Zeolite Bioreactor for Anaerobic Digestion of Ammonium-Rich Swine Wastes. Bioresour. Technol. 2011, 102, 7064–7068. [Google Scholar] [CrossRef]
- Wijesinghe, D.T.N.; Dassanayake, K.B.; Sommer, S.G.; Scales, P.; Chen, D. Biogas Improvement by Adding Australian Zeolite During the Anaerobic Digestion of C:N Ratio Adjusted Swine Manure. Waste Biomass Valorization 2019, 10, 1883–1887. [Google Scholar] [CrossRef]
- Fatima, B.; Liaquat, R.; Farooq, U.; Jamal, A.; Ali, M.I.; Liu, F.J.; He, H.; Guo, H.; Urynowicz, M.; Huang, Z. Enhanced Biogas Production at Mesophilic and Thermophilic Temperatures from a Slaughterhouse Waste with Zeolite as Ammonia Adsorbent. Int. J. Environ. Sci. Technol. 2021, 18, 265–274. [Google Scholar] [CrossRef]
- Montalvo, S.; Guerrero, L.; Borja, R.; Sánchez, E.; Milán, Z.; Cortés, I.; Angeles de la la Rubia, M. Application of Natural Zeolites in Anaerobic Digestion Processes: A Review. Appl. Clay Sci. 2012, 58, 125–133. [Google Scholar] [CrossRef]
- Romero-Güiza, M.S.; Vila, J.; Mata-Alvarez, J.; Chimenos, J.M.; Astals, S. The Role of Additives on Anaerobic Digestion: A Review. Renew. Sustain. Energy Rev. 2016, 58, 1486–1499. [Google Scholar] [CrossRef]
- Sangeetha, C.; Baskar, P. Zeolite and Its Potential Uses in Agriculture: A Critical Review. Agric. Rev. 2016. [Google Scholar] [CrossRef]
- Hafner, S.D.; de Laclos, H.F.; Koch, K.; Holliger, C. Improving Inter-Laboratory Reproducibility in Measurement of Biochemical Methane Potential (BMP). Water 2020, 12, 1752. [Google Scholar] [CrossRef]
- Allen, E.; Browne, J.D.; Murphy, J.D. Evaluation of the Biomethane Yield from Anaerobic Co-Digestion of Nitrogenous Substrates. Environ. Technol. 2013, 34, 2059–2068. [Google Scholar] [CrossRef]
- APHA; AWWA. WEF Standard Methods for the Examination of Water and Wastewater; American Public Health Association/American Water Works Association/Water Environment Federation: Washington, DC, USA, 1999. [Google Scholar]
- Spyridonidis, A.; Skamagkis, T.; Lambropoulos, L.; Stamatelatou, K. Modeling of Anaerobic Digestion of Slaughterhouse Wastes after Thermal Treatment Using ADM1. J. Environ. Manag. 2018, 224, 49–57. [Google Scholar] [CrossRef]
- Li, R.; Liu, D.; Zhang, Y.; Duan, N.; Zhou, J.; Liu, Z.; Zhang, Y. Improved Methane Production and Energy Recovery of Post-Hydrothermal Liquefaction Waste Water via Integration of Zeolite Adsorption and Anaerobic Digestion. Sci. Total Environ. 2019, 651, 61–69. [Google Scholar] [CrossRef]
- Degueurce, A.; Tomas, N.; le Roux, S.; Martinez, J.; Peu, P. Biotic and Abiotic Roles of Leachate Recirculation in Batch Mode Solid-State Anaerobic Digestion of Cattle Manure. Bioresour. Technol. 2016, 200, 388–395. [Google Scholar] [CrossRef]
- Kougias, P.G.; Fotidis, I.A.; Zaganas, I.D.; Kotsopoulos, T.A.; Martzopoulos, G.G. Zeolite and Swine Inoculum Effect on Poultry Manure Biomethanation. Int. Agrophysics 2013, 27, 169–173. [Google Scholar] [CrossRef]
- Milán, Z.; Sánchez, E.; Weiland, P.; Borja, R.; Martín, A. Ilangovan K Influence of Different Natural Zeolite Concentrations on the Anaerobic Digestion of Piggery Waste. Bioresour. Technol. 2001, 80, 37–43. [Google Scholar] [CrossRef]
- Montalvo, S.; Díaz, F.; Guerrero, L.; Sánchez, E.; Borja, R. Effect of Particle Size and Doses of Zeolite Addition on Anaerobic Digestion Processes of Synthetic and Piggery Wastes. Process Biochem. 2005, 40, 1475–1481. [Google Scholar] [CrossRef]






| TS | VS | Humidity | COD | TKN | COD/TKN | Lipids | |
|---|---|---|---|---|---|---|---|
| % | gCOD kg−1VS | g(NH3-N) kg−1VS | g kg−1VS | ||||
| Batch 1 | 58.3 ± 3.0 | 46.6 ± 3.1 | 41.7 ± 3.0 | 1194 ± 22 | 70.7 ± 1.0 | 16.9 ± 0.6 | 4.42 ± 0.12 |
| Batch 2 | 57.0 ± 2.0 | 48.7 ± 2.6 | 43.0 ± 2.0 | 1314 ± 17 | 51.4 ± 7.5 | 26.2 ± 4.1 | 3.81 ± 0.20 |
| Chemical Composition | |||||||||||
|---|---|---|---|---|---|---|---|---|---|---|---|
| Chemical compound | Loss on Ignition | Al2O3 | CaO | Fe2O3 | K2O | MgO | MnO | Na2O | P2O5 | SiO3 | TiO |
| Percentage (%) | 6.25 | 13.2 | 2.0 | 1.4 | 3.5 | 1.1 | <0.1 | 0.3 | <0.1 | 71.9 | 0.1 |
| Run | VS | COD | TKN | BA | Recirculation | H2O Loading | HRT |
|---|---|---|---|---|---|---|---|
| g | g | gNH3-N | %v/v CM bed | mL mL−1 CM bed.d−1 | g g−1 TS CM | d | |
| Set 1 | |||||||
| R1.1 | 12.6 ± 0.3 | 15.1 ± 0.4 | 0.86 ± 0.02 | zeolite 10% | 2.88 | 5.24 | 1 |
| R2.1 | 12.0 ± 0.1 | 14.1 ± 0.1 | 0.81 ± 0.01 | pebbles 10% * | 2.88 | 5.56 | 1 |
| R3.1 | 11.4 ± 0.1 | 13.9 ± 0.1 | 0.79 ± 0.01 | zeolite 10% | 5.76 * | 5.69 | 1 |
| R4.1 | 10.8 ± 0.1 | 13.8 ± 0.1 | 0.79 ± 0.01 | zeolite 10% | 2.88 | 11.43 * | 1 |
| R5.1 | 10.4 ± 0.1 | 12.2 ± 0.1 | 0.74 ± 0.01 | zeolite 10% | 2.88 | 6.06 | 2 * |
| R6.1 | 11.6 ± 0.0 | 13.1 ± 0.0 | 0.80 ± 0.00 | zeolite 3.5% * | 2.88 | 5.64 | 1 |
| Set 2 | |||||||
| R1.2 | 13.6 ± 1.1 | 17.6 ± 1.3 | 0.69 ± 0.09 | zeolite 10% | 2.88 | 5.02 | 1 |
| R2.2 | 13.6 ± 1.0 | 17.7 ± 1.3 | 0.69 ± 0.09 | pebbles 10% * | 2.88 | 4.97 | 1 |
| R3.2 | 13.7 ± 1.1 | 17.8 ± 1.3 | 0.70 ± 0.09 | zeolite 10% | 5.76 * | 5.00 | 1 |
Publisher’s Note: MDPI stays neutral with regard to jurisdictional claims in published maps and institutional affiliations. |
© 2022 by the authors. Licensee MDPI, Basel, Switzerland. This article is an open access article distributed under the terms and conditions of the Creative Commons Attribution (CC BY) license (https://creativecommons.org/licenses/by/4.0/).
Share and Cite
Spyridonidis, A.; Vasiliadou, I.A.; Stamatelatou, K. Effect of Zeolite on the Methane Production from Chicken Manure Leachate. Sustainability 2022, 14, 2207. https://doi.org/10.3390/su14042207
Spyridonidis A, Vasiliadou IA, Stamatelatou K. Effect of Zeolite on the Methane Production from Chicken Manure Leachate. Sustainability. 2022; 14(4):2207. https://doi.org/10.3390/su14042207
Chicago/Turabian StyleSpyridonidis, Apostolos, Ioanna A. Vasiliadou, and Katerina Stamatelatou. 2022. "Effect of Zeolite on the Methane Production from Chicken Manure Leachate" Sustainability 14, no. 4: 2207. https://doi.org/10.3390/su14042207
APA StyleSpyridonidis, A., Vasiliadou, I. A., & Stamatelatou, K. (2022). Effect of Zeolite on the Methane Production from Chicken Manure Leachate. Sustainability, 14(4), 2207. https://doi.org/10.3390/su14042207

