Quality, Key Production Factors, and Consumption Volume of Niche Edible Oils Marketed in the European Union
Abstract
1. Introduction
2. Positioning of Niche Oils According to the Marketing Mix Concept (4Ps)
2.1. Product
2.2. Price
2.3. Place
2.4. Promotion
3. Research Purpose and Scope
- Compilation of key production factors with the possibility of waste reusing and the level of niche oils consumption,
- Comparison of main niche oils’ quality parameters.
3.1. Almond Oil
3.2. Argan Oil
3.3. Avocado Oil
3.4. Black Seed Oil
3.5. Camelina Oil
3.6. Ricinus Oil
3.7. Corn Oil
3.8. Cotton Seed Oil
3.9. Evening Primrose Oil
3.10. Flaxseed Oil
3.11. Grape Seed Oil
3.12. Hemp Seed Oil
3.13. Milk Thistle Oil
3.14. Mustard Oil
3.15. Peanut Oil
3.16. Plum Seed Oil
3.17. Pumpkin Seed Oil
3.18. Raspberry Seed Oil
3.19. Rice Bran Oil
3.20. Safflower Oil
3.21. Sesame Oil
3.22. Tomato Seed Oil
3.23. Walnut Oil
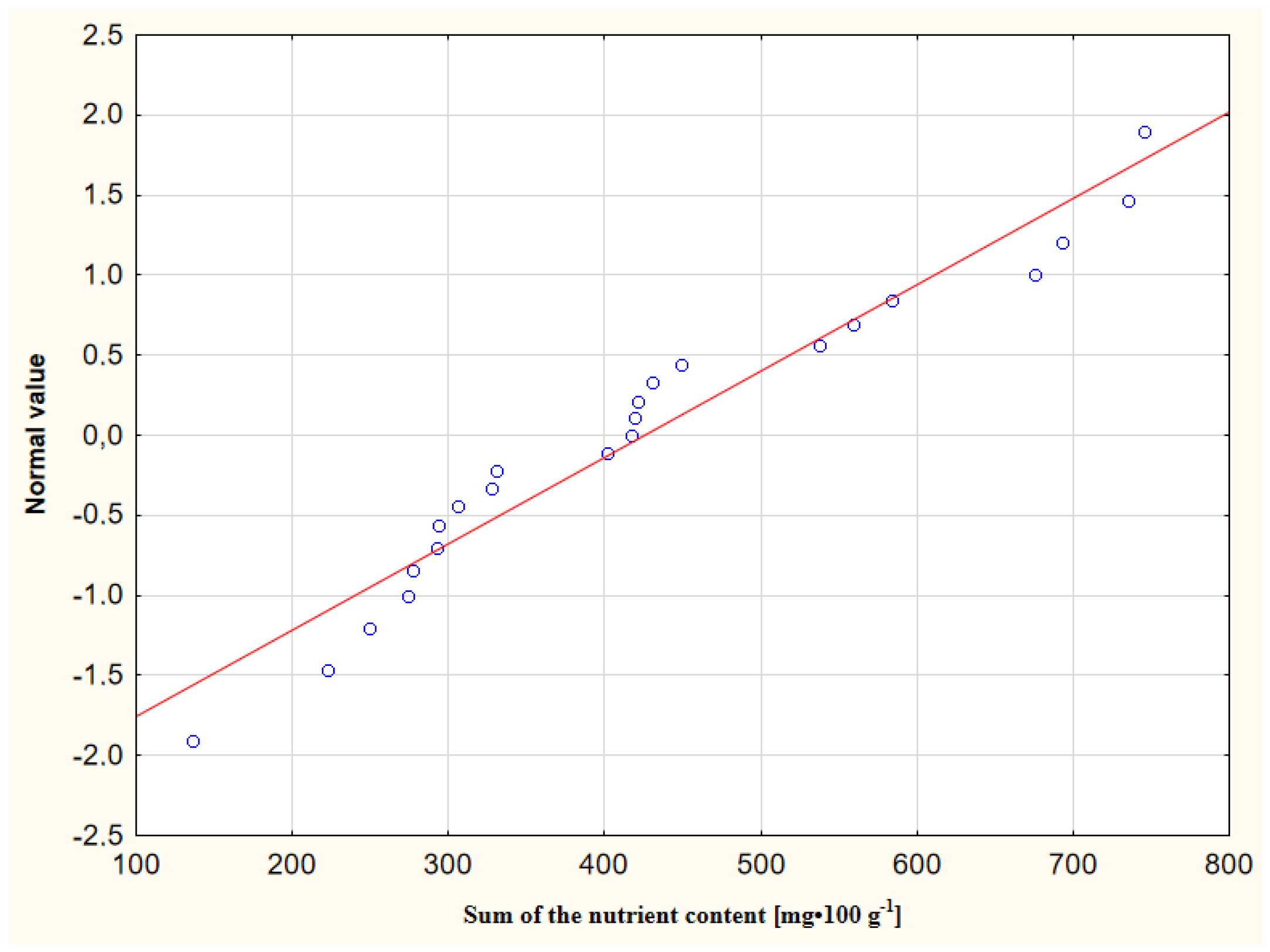
4. Results and Discussion
5. Conclusions and Recommendations
Author Contributions
Funding
Institutional Review Board Statement
Informed Consent Statement
Data Availability Statement
Conflicts of Interest
References
- Arrutia, F.; Binner, E.; Williams, P.; Waldron, K.W. Oilseeds beyond oil: Press cakes and meals supplying global protein requirements. Trends Food Sci. Technol. 2020, 100, 88–102. [Google Scholar] [CrossRef]
- Kumar, A.; Sharma, A.C.; Upadhyaya, K. Vegetable Oil: Nutritional and Industrial Perspective. Curr. Genom. 2016, 17, 230–240. [Google Scholar] [CrossRef]
- Fridrihsone, A.; Romagnoli, F.; Cabulis, U. Environmental life cycle assessment of rapeseed and rapeseed oil produced in Northern Europe: A Latvian case study. Sustainability 2020, 12, 5699. [Google Scholar] [CrossRef]
- Food and Agriculture Organization of the United Nations. FAOSTAT. 2021. Available online: https://www.fao.org/faostat/en/#data/FBS (accessed on 18 October 2021).
- Organization for Economic Cooperation and Development. OECD-FAO Agricultural Outlook, 2021–2030. Available online: https://www.oecd-ilibrary.org/docserver/19428846-en.pdf (accessed on 21 October 2021).
- European Statistics. “Oil Plants” in EUROSTAT. 2021. Available online: https://ec.europa.eu/eurostat (accessed on 25 October 2021).
- Carbone, A.; Cacchiarelli, L.; Sabbatini, V. Exploring quality and its value in the Italian olive oil market: A panel data analysis. Agric. Food Econ. 2018, 6, 1–15. [Google Scholar] [CrossRef]
- Mylan, J.; Morris, C.; Beech, E.; Geels, F.W. Rage against the regime: Niche-regime interactions in the societal embedding of plant-based milk. Environ. Innov. Soc. Transit. 2019, 31, 233–247. [Google Scholar] [CrossRef]
- Msanne, J.; Kim, H.; Cahoon, E.B. Biotechnology tools and applications for development of oilseed crops with healthy vegetable oils. Biochimie 2020, 178, 4–14. [Google Scholar] [CrossRef]
- Fogelberg, F.; Recknagel, J. Developing soy production in central and northern Europe. In Legumes in Cropping Systems, 1st ed.; Murphy-Bokern, D., Stoddard, F.L., Watson, C., Eds.; CAB International: Croydon, London, UK, 2017; pp. 109–124. [Google Scholar]
- Vinnichek, L.; Pogorelova, E.; Dergunov, A. Oilseed market: Global trends. IOP Conf. Ser. Earth Environ. Sci. 2019, 274, 7–12. [Google Scholar] [CrossRef]
- Rojas, V.M.; Inácio, A.G.; Martins Fernandes, I.P.; Leimann, F.V.; Gozzo, A.M.; Barros Fuchs, R.H.; Filipe Barreiro, M.F.; Barros, L.; Ferreira, I.C.F.R.; Coelho Tanamati, A.A.; et al. Whey protein supplement as a source of microencapsulated PUFA-rich vegetable oils. Food Biosci. 2020, 37, 100690. [Google Scholar] [CrossRef]
- Chuberre, B.; Araviiskaia, E.; Bieber, T.; Barbaud, A. Mineral oils and waxes in cosmetics: An overview mainly based on the current European regulations and the safety profile of these compounds. J. Eur. Acad. Dermatol. Venerol. 2019, 33, 5–14. [Google Scholar] [CrossRef]
- Di Fraia, S.; Massarotti, N.; Prati, M.V.; Vanoli, L. A new example of circular economy: Waste vegetable oil for cogeneration in wastewater treatment plants. Energy Convers. Manag. 2020, 211, 112763. [Google Scholar] [CrossRef]
- Santeramo, F.G.; di Gioia, L.; Lamonaca, E. Price responsiveness of supply and acreage in the EU vegetable oil markets: Policy implications. Land Use Policy 2021, 101, 105102. [Google Scholar] [CrossRef]
- El-Hamidi, M.; Zaher, F.A. Production of vegetable oils in the world and in Egypt: An overview. Bull. Natl. Res. Cent. 2018, 42, 19. [Google Scholar] [CrossRef]
- Cavallo, P.; Dini, I.; Sepe, I.; Galasso, G.; Fedele, F.L.; Sicari, A.; Censi, S.B.; Gaspari, A.; Ritieni, A.; Lorito, M.; et al. An innovative Olive Pâté with nutraceutical properties. Antioxidants 2020, 9, 581. [Google Scholar] [CrossRef] [PubMed]
- Narayanankutty, A.; Mukesh, R.K.; Ayoob, S.K.; Ramavarma, S.K.; Suseela, I.M.; Manalil, J.J.; Kuzhivelil, B.T.; Raghavamenon, A.C. Virgin coconut oil maintains redox status and improves glycemic conditions in high fructose fed rats. J. Food Sci. Technol. 2016, 53, 895–901. [Google Scholar] [CrossRef]
- Sampaio, K.A.; Ayala, J.V.; van Hoed, V.; Monteiro, S.; Ceriani, R.; Verhé, R.; Meirelles, A.J.A. Impact of crude oil quality on the refining conditions and composition of nutraceuticals in refined palm oil. J. Food Sci. 2017, 82, 1842–1850. [Google Scholar] [CrossRef] [PubMed]
- Pilorgé, E.; Muel, F. What vegetable oils and proteins for 2030? Would the protein fraction be the future of oil and protein crops? OCL—Oilseeds Fats Crop. Lipids 2016, 23, 4. [Google Scholar] [CrossRef]
- Ramos-Escudero, F.; González-Miret, M.L.; Viñas-Ospino, A.; Ramos Escudero, M. Quality, stability, carotenoids and chromatic parameters of commercial Sacha inchi oil originating from Peruvian cultivars. J. Food Sci. Technol. 2019, 56, 4901–4910. [Google Scholar] [CrossRef]
- Durante, M.; Milano, F.; de Caroli, M.; Giotta, L.; Piro, G.; Mita, G.; Frigione, M.; Lenucci, M.S. Tomato oil encapsulation by α-, β-, and γ-Cyclodextrins: A comparative study on the formation of supramolecular structures, antioxidant activity, and carotenoid stability. Foods 2020, 9, 1553. [Google Scholar] [CrossRef]
- Petrova, I. Traditional culture and contemporary economy: Constructing cultural heritage through bread-making. Folk. Electron. J. Folk. 2018, 71, 73–88. [Google Scholar] [CrossRef]
- Jakše, B.; Jakše, B.; Godnov, U.; Pinter, S. Nutritional, cardiovascular health and lifestyle status of ‘health conscious’ adult vegans and non-vegans from Slovenia: A cross-sectional self-reported survey. Int. J. Environ. Res. Public Health 2021, 18, 5968. [Google Scholar] [CrossRef]
- Hao, R.; Roy, K.; Pan, J.; Shah, B.R.; Mraz, J. Critical review on the use of essential oils against spoilage in chilled stored fish: A quantitative meta-analyses: Essential oils and seafood. Trends Food Sci. Technol. 2021, 111, 175–190. [Google Scholar] [CrossRef]
- Aung, W.P.; Bjertness, E.; Htet, A.S.; Stigum, H.; Chongsuvivatwong, V.; Soe, P.P.; Kjøllesdal, M.K.R. Fatty acid profiles of various vegetable oils and the association between the use of palm oil vs. Peanut oil and risk factors for non-communicable diseases in Yangon Region, Myanmar. Nutrients 2018, 10, 1193. [Google Scholar] [CrossRef]
- Li, H.; Fan, Y.W.; Li, J.; Tang, L.; Hu, J.N.; Deng, Z.Y. Evaluating and predicting the oxidative stability of vegetable oils with different fatty acid compositions. J. Food Sci. 2013, 78, 633–641. [Google Scholar] [CrossRef] [PubMed]
- Londhe, B.R. Marketing Mix for next generation marketing. Procedia Econ. Financ. 2014, 11, 335–340. [Google Scholar] [CrossRef]
- Siano, F.; Moccia, S.; Picariello, G.; Russo, G.L.; Sorrentino, G.; di Stasio, M.; la Cara, F.; Volpe, M.G. Comparative study of chemical, biochemical characteristic and ATR-FTIR analysis of seeds, oil and flour of the edible fedora cultivar hemp (Cannabis sativa L.). Molecules 2018, 24, 83. [Google Scholar] [CrossRef] [PubMed]
- Mancebo-campos, V.; Salvador, M.D.; Fregapane, G. Antioxidant capacity of individual and combined virgin olive oil minor compounds evaluated at mild temperature (25 and 40 °C) as compared to accelerated and antiradical assays. Food Chem. 2014, 150, 374–381. [Google Scholar] [CrossRef] [PubMed]
- Plat, J.; Baumgartner, S.; Vreugdenhil, A.C.E.; Konings, M.C.J.M.; Calkins, K.L.; Mensink, R.P. Modifying serum plant sterol concentrations: Effects on markers for whole body cholesterol metabolism in children receiving parenteral nutrition and intravenous lipids. Nutrients 2019, 11, 120. [Google Scholar] [CrossRef]
- Torales, L.I.E.; Garcia-Alonso, J.; Perigo-Castón, M.J. Nutritional importance of carotenoids and their effect on liver health: A review. Antioxidants 2019, 8, 229. [Google Scholar] [CrossRef]
- Sagan, A.; Blicharz-Kania, A.; Szmigielski, M.; Andrejko, D.; Sobczak, P.; Zawiślak, K.; Starek, A. Assessment of the properties of rapeseed oil enriched with oils characterized by high content of α -linolenic acid. Sustainability 2019, 11, 5638. [Google Scholar] [CrossRef]
- Rapa, M.; Ciano, S.; Rocchi, A.; D’Ascenzo, F.; Ruggieri, R.; Vinci, G. Hempseed oil quality parameters: Optimization of sustainable methods by miniaturization. Sustainability 2019, 11, 3104. [Google Scholar] [CrossRef]
- González, R.; Vidoni, M.; Locatelli, D.; Camargo, A. Quality evaluation and discrimination of flavoring process of garlic-flavored vegetable oils. Int. J. Food Prop. 2017, 20, 1016–1024. [Google Scholar] [CrossRef]
- Narayanankutty, A.; Illam, S.P.; Raghavamenon, A.C. Health impacts of different edible oils prepared from coconut (Cocos nucifera): A comprehensive review. Trends Food Sci. Technol. 2018, 80, 1–7. [Google Scholar] [CrossRef]
- Yu, L.; Wang, Y.; Wu, G.; Jin, J.; Jin, Q.; Wang, X. Quality and composition of virgin olive oils from Indigenous and European cultivars grown in China. J. Am. Oil Chem. Soc. 2020, 97, 341–353. [Google Scholar] [CrossRef]
- Agu, C.M.; Menkiti, M.C.; Ekwe, E.B.; Agulanna, A.C. Modeling and optimization of Terminalia catappaL. kernel oil extraction using response surface methodology and artificial neural network. Artif. Intell. Agric. 2020, 4, 1–11. [Google Scholar] [CrossRef]
- Silva, S.M.; Sampaio, K.A.; Ceriani, R.; Verh, R.; Stevens, C.; Greyt, W.D.; Meirelles, A.J.A. Effect of type of bleaching earth on the final color of refined palm oil. LWT—Food Sci. Tech. 2014, 59, 1258–1264. [Google Scholar] [CrossRef]
- Strieder, M.M.; Pinheiro, C.P.; Borba, V.S.; Pohndorf, R.S.; Cadaval, T.R.S.; Pinto, L.A.A. Bleaching optimization and winterization step evaluation in the refinement of rice bran oil. Sep. Purif. Technol. 2017, 175, 72–78. [Google Scholar] [CrossRef]
- Łaska-zieja, B.; Marcinkowski, D.; Golimowski, W.; Niedbała, G.; Wojciechowska, E. Low-cost investment with high quality performance. Bleaching earths for phosphorus reduction in the low-temperature bleaching process of rapeseed oil. Foods 2020, 9, 603. [Google Scholar] [CrossRef]
- Sisman, C.B. Quality losses in temporary sunflower seed stores and influences of storage conditions on quality losses during storage. J. Cent. Eur. Agric. 2005, 6, 143–150. [Google Scholar]
- Kiritsakis, A.; Kanavouras, A.; Kiritsakis, K. Chemical analysis, quality control and packaging issues of olive oil. Eur. J. Lipid Sci. Technol. 2002, 104, 628–638. [Google Scholar] [CrossRef]
- Mishra, P.; Lleó, L.; Cuadrado, T.; Ruiz, M. Monitoring oxidation changes in commercial extra virgin olive oils with fluorescence spectroscopy—Based prototype. Eur. Food Res. Technol. 2018, 244, 565–575. [Google Scholar] [CrossRef]
- Yuzbashkandi, S.S.; Khalilian, S.; Mortazavi, S.A. Edible oil market liberalization in Iran: Producer and consumer welfare effects. Eur. On. J. Nat. Soc. Sci. 2017, 6, 621–636. [Google Scholar]
- Srinivasan, P.V. Managing price volatility in an open economy environment: The case of edible oils and oilseeds in India. MTID Discuss. Pap. 2004, 69, 24–38. [Google Scholar]
- Cheng, M.; Dien, B.S.; Singh, V. Economics of plant oil recovery: A review. Biocatal. Agric. Biotechnol. 2019, 18, 101056. [Google Scholar] [CrossRef]
- Ribeiro, J.A.A.; Almeida, E.S.; Neto, B.A.D.; Abdelnur, P.V.; Monteiro, S. Identification of carotenoid isomers in crude and bleached palm oils by mass spectrometry. LWT—Food Sci. Technol. 2018, 89, 631–637. [Google Scholar] [CrossRef]
- Sharma, R.; Sharma, P.C.; Rana, J.C.; Joshi, V.K. Improving the olive oil yield and quality through enzyme-assisted mechanical extraction, antioxidants and packaging. J. Food Process. Preserv. 2015, 39, 157–166. [Google Scholar] [CrossRef]
- Emran, M.S.; Mookherjee, D.; Shilpi, F.; Uddin, M.H. Do Consumers Benefit from Supply Chain Intermediaries? Evidence from a Policy Experiment in the Edible Oils Market in Bangladesh; World Bank Policy Research Working Paper No. 7745; The World Bank: Washington, DC, USA, 2016; pp. 20–29. [Google Scholar]
- Paksoy, T.; Pehlivan, N.Y.; Kahraman, C. Organizational strategy development in distribution channel management using fuzzy AHP and hierarchical fuzzy TOPSIS. Expert Syst. Appl. 2012, 39, 2822–2841. [Google Scholar] [CrossRef]
- Tyagi, V.; Tuagi, A.K.; Pandey, V. A case study on consumer buying behavior towards selected FMCG products. Int. J. Sci. Res. Manag. 2014, 2, 1168–1182. [Google Scholar]
- Reddy, A.A.; Rani, C.R.; Reddy, G.P. Policy for edible oil complex in India under WTO regime. SSRN Electron. J. 2011, 30, 11–24. [Google Scholar] [CrossRef]
- Pyzhikova, N.; Shvalov, K.; Shvalov, P. The model of the distribution of oilseed processing products to foreign markets. E3S Web Conf. 2020, 176, 05009. [Google Scholar] [CrossRef]
- Jiang, Y.; Wang, H.H.; Jin, S.; Delgado, M.S. The promising effect of a green food label in the new online market. Sustainability 2019, 11, 796. [Google Scholar] [CrossRef]
- Lee, Y.C. Replacing work with study: A sustainable development strategy for economically or culturally disadvantaged students. Sustainability 2021, 13, 9658. [Google Scholar] [CrossRef]
- Cuevas, S.; Downs, S.M.; Ghosh-Jerath, S.; Shankar, B. Analysing the policy space for the promotion of healthy, sustainable edible oil consumption in India. Public Health Nutri. 2019, 22, 3435–3446. [Google Scholar] [CrossRef]
- Aydin, C. Physical properties of almond nut and kernel. J. Food Eng. 2003, 60, 315–320. [Google Scholar] [CrossRef]
- Food and Agriculture Organization of the United Nations. FAOSTAT. 2020. Available online: https://www.fao.org/faostat/en/#data/QC (accessed on 27 October 2021).
- Melhaoui, R.; Kodad, S.; Houmy, N.; Belhaj, K.; Mansouri, F.; Abid, M.; Addi, M.; Mihamou, A.; Sindic, M.; Serghini-Caid, H.; et al. Characterization of sweet almond Oil content of four European cultivars (Ferragnes, Ferraduel, Fournat, and Marcona) recently introduced in Morocco. Scientifica 2021, 2021, 9141695. [Google Scholar] [CrossRef] [PubMed]
- Yang, R.; Zhang, L.; Li, P.; Yu, L.; Mao, J.; Wang, X. A review of chemical composition and nutritional properties of minor vegetable oils in China. Trends Food Sci. Technol. 2018, 74, 26–32. [Google Scholar] [CrossRef]
- Górnas, P.; Rudzińska, M.; Raczyk, M.; Misina, I.; Soliven, A.; Lacis, G.; Seglina, D. Impact of species and variety on voncentrations of minor lipophilic bioactive compounds in oils recovered from plum kernels. J. Agric. Food Chem. 2016, 64, 898–905. [Google Scholar] [CrossRef]
- Pan, F.; Wang, X.; Wen, B.; Wang, C.; Xu, Y.; Dang, W.; Zhang, M. Development of walnut oil and almond oil blends for improvements in nutritional and oxidative stability. Grasasy Aceites 2020, 71, 4. [Google Scholar] [CrossRef]
- Roncero, J.M.; Álvarez-Ortí, M.; Pardo-Giménez, A.; Gómez, R.; Rabadán, A.; Pardo, J.E. Virgin almond oil: Extraction methods and composition. Grasasy Aceites 2016, 67, 3. [Google Scholar]
- Charrouf, Z.; Guillaume, D. The argan oil project: Going from utopia to reality in 20 years. OCL—Oilseeds Fats Crop. Lipids 2018, 25, 632–636. [Google Scholar] [CrossRef]
- El Abbassi, A.; Khalid, N.; Zbakh, H.; Ahmad, A. Physicochemical characteristics, nutritional properties and health benefits of argan oil: A review. Crit. Rev. Food Sci. Nutr. 2014, 54, 1401–1414. [Google Scholar] [CrossRef]
- Errouane, K.; Doulbeau, S.; Vaissayre, V.; Leblanc, O.; Collin, M.; Kaid-Harche, M.; Dussert, S. The embryo and the endosperm contribute equally to argan seed oil yield but confer distinct lipid features to argan oil. Food Chem. 2015, 181, 270–276. [Google Scholar] [CrossRef] [PubMed]
- Cherki, M.; Berrougui, H.; Drissi, A.; Adlouni, A.; Khalil, A. Argan oil: Which benefits on cardiovascular diseases? Pharmacol. Res. 2006, 54, 1–5. [Google Scholar] [CrossRef]
- Gharby, S.; Harhar, H.; Guillaume, D.; Haddad, A.; Charrouf, Z. The origin of virgin argan oil’s high oxidative stability unraveled. Nat. Prod. Comm. 2012, 7, 621–624. [Google Scholar] [CrossRef]
- Flores, M.; Saravia, C.; Vergara, C.E.; Avila, F.; Valdes, H.; Ortiz-Viedma, J. Avocado oil: Characteristics, properties and applications. Molecules 2019, 24, 2172. [Google Scholar] [CrossRef] [PubMed]
- Krumreich, F.D.; Borges, C.D.; Rosane, C.; Mendonça, B.; Jansen-Alves, C.; Zambiazi, R.C. Bioactive compounds and quality parameters of avocado oil obtained by different processes. Food Chem. 2018, 257, 376–381. [Google Scholar] [CrossRef] [PubMed]
- Cervantes-Paz, B.; Yahia, E.M. Avocado oil: Production and market demand, bioactive components, implications in health, and tendencies and potential uses. Compr. Rev. Food Sci. Food Safe. 2021, 20, 4120–4158. [Google Scholar] [CrossRef]
- Gharby, S.; Harhar, H.; Guillaume, D.; Roudani, A.; Boulbaroud, S.; Ibrahimi, M.; Ahmad, M.; Sultana, S. Chemical investigation of Nigella sativa L. seed oil produced in Morocco. J. Saudi Soc. Agric. Sci. 2015, 14, 172–177. [Google Scholar] [CrossRef]
- Matthaus, B.; Özcan, M.M. Fatty acids, tocopherol and sterol contents of some Nigella species seed oil. Czech J. Food Sci. 2011, 29, 145–150. [Google Scholar] [CrossRef]
- Kesen, S.; Amanpour, A.; Sarhir, S.T.; Sevindik, O.; Guclu, G.; Kelebek, H.; Selli, S. Characterization of aroma-active compounds in seed extract of black cumin (Nigella sativa L.) by aroma extract dilution analysis. Foods 2018, 7, 98. [Google Scholar] [CrossRef]
- Suri, K.; Singh, B.; Kaur, A.; Yadav, M.P.; Singh, N. Impact of infrared and dry air roasting on the oxidative stability, fatty acid composition, Maillard reaction products and other chemical properties of black cumin (Nigella sativa L.) seed oil. Food Chem. 2019, 295, 537–547. [Google Scholar] [CrossRef]
- Rokosik, E.; Dwiecki, K.; Siger, A. Nutritional quality and phytochemical contents of cold pressed oil obtained from chia, milk thistle, nigella and white and black poppy seeds. Grasasy Aceites 2020, 71, 3. [Google Scholar] [CrossRef]
- Ahmad, R.; Ahmad, N.; Shehzad, A. Solvent and temperature effects of accelerated solvent extraction (ASE) coupled with ultra-high pressure liquid chromatography (UHPLC-DAD) technique for determination of thymoquinone in commercial food samples of black seeds (Nigella sativa). Food Chem. 2020, 309, 125740. [Google Scholar] [CrossRef] [PubMed]
- Zanetti, F.; Alberghini, B.; Marjanović Jeromela, A.; Grahovac, N.; Rajković, D.; Kiprovski, B.; Monti, A. Camelina, an ancient oilseed crop actively contributing to the rural renaissance in Europe. A review. Agron. Sustain. Dev. 2021, 41, 2. [Google Scholar] [CrossRef]
- Li, X.; Mupondwa, E. Production and value-chain integration of Camelina Sativa as a dedicated bioenergy feedstock in the Canadian prairies. In Proceedings of the 24th European Biomass Conference and Exhibition, Amsterdam, The Netherlands, 6 June 2016. [Google Scholar]
- Kurasiak-Popowska, D.; Ryńska, B.; Stuper-Szablewska, K. Analysis of distribution of selected bioactive compounds in Camelina sativa from seeds to pomace and oil. Agronomy 2019, 9, 168. [Google Scholar] [CrossRef]
- Faten, M.I.; el Habbasha, S.F. Chemical composition, medicinal impacts and cultivation of camelina (Camelina sativa): Review. Inter. J. PharmTech Res. 2016, 8, 114–122. [Google Scholar]
- Piravi-Vanak, Z.; Azadmard-Damirchi, S.; Kahrizi, D.; Mooraki, N.; Ercisli, S.; Savage, G.P.; Rostami, H.; Martinez, F. Physicochemical properties of oil extracted from camelina (Camelina sativa) seeds as a new source of vegetable oil in different regions of Iran. J. Mol. Liq. 2021, 345, 117043. [Google Scholar] [CrossRef]
- Patel, V.R.; Dumancas, G.G.; Viswanath, L.C.K.; Maples, R.; Subong, B.J.J. Castor oil: Properties, uses and optimization of processing parameters in commercial production. Lipid Insights 2019, 9, 1–12. [Google Scholar] [CrossRef]
- Ananth, D.A.; Deviram, G.; Mahalakshmi, V.; Sivasudha, T.; Zipora, T. Phytochemical composition and antioxidant characteristics of traditional cold pressed seed oils in South India. Biocatal. Agric. Biotechnol. 2019, 17, 416–421. [Google Scholar] [CrossRef]
- Harhar, H.; Gharby, S.; Pioch, D.; Kartah, B.; Ibrahimi, M.; Charrouf, Z. Chemical characterization and oxidative stability of castor oil grown in Morocco. Mor. J. Chem. 2016, 2, 279–284. [Google Scholar]
- Yeboah, A.; Ying, S.; Lu, J.; Xie, Y.; Amoanimaa-dede, H.; Gyapong, K.; Boateng, A.; Chen, M.; Yin, X. Castor oil (Ricinus communis): A review on the chemical composition and physicochemical properties. Food Sci. Tech. 2020, 2061. [Google Scholar] [CrossRef]
- Moreau, R.A.; Johnston, D.B.; Hicks, K.B. A comparison of the levels of lutein and zeaxanthin in corn germ oil, corn fiber oil and corn kernel oil. J. Am. Oil Chem. Soc. 2007, 84, 1039–1044. [Google Scholar] [CrossRef]
- Redondo-Cuevas, L.; Castellano, G.; Torrens, F.; Raikos, V. Revealing the relationship between vegetable oil composition and oxidative stability: A multifactorial approach. J. Food Compos. Anal. 2018, 66, 221–229. [Google Scholar] [CrossRef]
- Hassenian, M.F.R. Plant sterols and tocols profile of vegetable oils consumed in Egypt. Intern. J. Food Prop. 2013, 16, 574–585. [Google Scholar] [CrossRef][Green Version]
- Riaz, T.; Iqbal, M.W.; Mahmood, S.; Yasmin, I.; Leghari, A.A.; Rehman, A.; Mushtaq, A.; Ali, K.; Azam, M.; Bilal, M. Cottonseed oil: A review of extraction techniques, physicochemical, functional and nutritional properties. Critic. Rev. Food Sci. Nutri. 2021, 1080. [Google Scholar] [CrossRef] [PubMed]
- Ganesan, K.; Sukalingam, K.; Xu, B. Impact of consumption and cooking manners of vegetable oils on cardiovascular diseases—A critical review. Trends Food Sci. Technol. 2018, 71, 132–154. [Google Scholar] [CrossRef]
- Kołodziej, M.; Szczurko, K.; Golimowski, W.; Konieczny, R. Effect of raw material quality on nutritional properties of selected edible oils. Pr. Chem. 2019, 3, 366–371. [Google Scholar]
- Matthäus, B.; Ozcan, M.M. Oil content, fatty acid composition and distributions of vitamin-E-active compounds of some fruit seed oils. Antioxidants 2015, 4, 124–133. [Google Scholar] [CrossRef] [PubMed]
- Phillips, K.M.; Ruggio, D.M.; Toivo, J.I.; Swank, M.A.; Simpkins, A.H. Free and esterified sterol composition of edible oils and fats. J. Food Compos. Anal. 2002, 15, 123–142. [Google Scholar] [CrossRef]
- Thirukkumar, S.; Hemalatha, G.; Vellaikumar, S.; Amutha, S.; Murugan, M. Studies on selected cotton seed (Gossypium sp.) varieties nutrient profile for human consumption in Tamil Nadu. J. Cotton Res. Dev. 2021, 35, 79–87. [Google Scholar]
- Montserrat-de la Paz, S.; Fernandez-Arche, M.A.; Angel-Martin, M.; Garcia-Gimenez, M.D. Phytochemical characterization of potential nutraceutical ingredients from Evening Primrose oil (Oenothera biennis L.). Phytochem. Lett. 2014, 8, 158–162. [Google Scholar] [CrossRef]
- Ghasemnezhad, A.; Honermeier, B. Seed yield, oil content and fatty acid composition of Oenothera biennis L. affected by harvest date and harvest method. Ind. Crops Prod. 2007, 25, 274–281. [Google Scholar] [CrossRef]
- Steckel, L.E.; Sosnoskie, L.M.; Steckel, S.J. Common evening-primrose (Oenothera biennis L.). Weed Technol. 2019, 33, 757–760. [Google Scholar] [CrossRef]
- Eskin, N.A.M. Borage and evening primrose oil. Eur. J. Lipid Sci. Technol. 2008, 110, 651–654. [Google Scholar] [CrossRef]
- Czaplicki, S.; Tańska, M.; Konopka, I. Sea-buckthorn oil in vegetable oils stabilisation. Ital. J. Food Sci. 2016, 28, 412–425. [Google Scholar]
- Symoniuk, E.; Ratusz, K.; Ostrowska-Ligęza, E.; Krygier, K. Impact of selected chemical characteristics of cold-pressed oils on their oxidative stability determined using the Rancimat and pressure differential scanning calorimetry method. Food Anal. Methods 2018, 11, 1095–1104. [Google Scholar] [CrossRef]
- Hadidi, M.; Ibarz, A.; Pouramin, S. Optimization of extraction and deamidation of edible protein from evening primrose (Oenothera biennis L.) oil processing by-products and its effect on structural and techno-functional properties. Food Chem. 2021, 334, 127613. [Google Scholar] [CrossRef] [PubMed]
- Gui, B.; Shim, Y.Y.; Reaney, M.J.T. Distribution of cyclolinopeptides in flaxseed fractions and products. J. Agric. Food Chem. 2012, 60, 8580–8589. [Google Scholar] [CrossRef]
- Zanqui, A.B.; Rodrigues de Morais, D.; da Silva, C.M.; Santos, J.M.; Gomes, S.T.M.; Visentainer, J.V.; Eberlin, M.N.; Cardozo-Filho, L.; Matsushita, M. Subcritical extraction of flaxseed oil with n-propane: Composition and purity. Food Chem. 2015, 188, 452–458. [Google Scholar] [CrossRef]
- Górnaś, P.; Siger, A.; Juhnevica, K.; Lacis, G.; Sne, E.; Seglina, D. Cold-pressed Japaneses quince (Chaenomeles japonica (Thunb.) Lindl. ex Spach) seed oil as a rich source of α-tocopherol, carotenoids and phenolics: A comparison of the composition and antioxidant activity with nine other plant oils. Eur. J. Lipid Sci. 2014, 116, 563–570. [Google Scholar] [CrossRef]
- Rubilar, M.; Gutierrez, C.; Verdugo, M.; Shene, C.; Sineiro, J. Flaxseed as a source of functional ingredients. J. Soil Sci. Plant Nut. 2010, 10, 373–377. [Google Scholar] [CrossRef]
- Spinei, M.; Oroian, M. The potential of grape pomace varieties as a dietary source of pectic substances. Foods 2021, 10, 867. [Google Scholar] [CrossRef]
- Garavaglia, J.; Markoski, M.M.; Oliveira, A.; Marcadenti, A. Grape seed oil compounds: Biological and chemical actions for health. Nut. Metab. Insights 2016, 9, 59–64. [Google Scholar] [CrossRef] [PubMed]
- Bail, S.; Stuebiger, G.; Krist, S.; Unterweger, H.; Buchbauer, G. Characterisation of various grape seed oils by volatile compounds, triacylglycerol composition, total phenols and antioxidant capacity. Food Chem. 2008, 108, 1122–1132. [Google Scholar] [CrossRef]
- Carullo, G.; Sciubba, F.; Governa, P.; Mazzotta, S.; Frattaruolo, L.; Grillo, G.; Cappello, A.R.; Cravotto, G.; Enrica, M.; Cocco, D.; et al. Mantonico and pecorello grape seed extracts: Chemical characterization and evaluation of in vitro wound-healing and anti-inflammatory activities. Pharmaceuticals 2020, 13, 97. [Google Scholar] [CrossRef] [PubMed]
- Matthäus, B.; Brühl, L. Virgin hemp seed oil: An interesting niche product. Eur. J. Lipid Sci. Technol. 2008, 110, 655–661. [Google Scholar] [CrossRef]
- Vonapartis, E.; Aubin, M.; Seguin, P.; Mustafa, A.F.; Charron, J. Seed composition of ten industrial hemp cultivars approved for production in Canada. J. Food Compos. Anal. 2015, 39, 8–12. [Google Scholar] [CrossRef]
- Marzocchi, S.; Caboni, M.F. Effect of harvesting time on hemp (Cannabis Sativa L.) seed oil lipid composition. Ital. J. Food Sci. 2020, 32, 1018–1029. [Google Scholar]
- Liang, J.; Aachary, A.A.; Thiyam-Holländer, U. Hemp seed oil: Minor components and oil quality. Lipid Tech. 2015, 27, 231–233. [Google Scholar] [CrossRef]
- Callaway, J.C. Hempseed as a nutritional resource: An overview. Euphytica 2004, 140, 65–72. [Google Scholar] [CrossRef]
- Carus, M.; Sarmento, L. European hemp industry: Cultivation, processing and applications for fibres, shivs, seeds and flowers. Euro. Ind. Hemp Assoc. 2013, 2016, 1–9. [Google Scholar]
- Fathi-Achachlouei, B.; Azadmard-Damirchi, S. Milk thistle seed oil constituents from different varieties grown in Iran. J. Am. Oil Chem. Soc. 2009, 86, 643–649. [Google Scholar] [CrossRef]
- Duran, D.; Ötleş, S.; Karasulu, E. Determination amount of silymarin and pharmaceutical products from milk thistle waste obtained from cold press. Acta Pharm. Sci. 2019, 57, 85–101. [Google Scholar] [CrossRef]
- Meddeb, W.; Rezig, L.; Abderrabba, M.; Lizard, G.; Mejri, M. Tunisian milk thistle: An investigation of the chemical composition and the characterization of its cold-pressed seed oils. Mol. Sci. 2017, 18, 2582. [Google Scholar] [CrossRef] [PubMed]
- Kozłowska, M.; Gruczyńska, E.; Ścibisz, I.; Rudzińska, M. Fatty acids and sterols composition and antioxidant activity of oils extracted from plant seeds. Food Chem. 2016, 213, 450–456. [Google Scholar] [CrossRef] [PubMed]
- Sehwag, S.S.; Das, M. A brief overview: Present status on utilization of mustard oil and cake. Indian J. Trad. Knowl. 2020, 14, 244–250. [Google Scholar]
- Vaidya, B.; Choe, E. Effects of seed roasting on tocopherols, carotenoids and oxidation in mustard seed oil during heating. J. Am. Oil Chem. Soc. 2011, 88, 83–90. [Google Scholar] [CrossRef]
- Alim, M.A.; Iqbal, Z.; Dutta, P.C. Studies on the characterization and distribution of fatty acids and minor components of high-erucic acid mustard oil and low-erucic acid rapeseed oil. Emir. J. Food Agric. 2012, 24, 281–287. [Google Scholar]
- Thiyam-Holländer, U.; Aladedunye, F.; Logan, A.; Yang, H.; Diehl, B.W.K. Identification and quantification of canolol and related sinapate precursors in Indian mustard oils and Canadian mustard products. Eur. J. Lipid Sci. Technol. 2014, 116, 1664–1674. [Google Scholar] [CrossRef]
- Konuskan, D.B.; Arslan, M.; Oksuz, A. Physicochemical properties of cold pressed sunflower, peanut, rapeseed, mustard and olive oils grown in the Eastern Mediterranean region. Saudi J. Biol. Sci. 2019, 26, 340–344. [Google Scholar] [CrossRef]
- Sachindra, N.M.; Mahendrakar, N.S. Process optimization for extraction of carotenoids from shrimp waste with vegetable oils. Bioresour. Tech. 2005, 96, 1195–1200. [Google Scholar] [CrossRef]
- Akhtar, S.; Khalid, N.; Ahmed, I.; Shahzad, A.; Ansar, H.; Suleria, R. Physicochemical characteristics, functional properties and nutritional benefits of peanut oil: A review. Critic. Rev. Food Sci. Nutri. 2014, 54, 1562–1575. [Google Scholar] [CrossRef]
- Savic, I.; Gajic, I.S.; Gajic, D. Physico-chemical properties and oxidative stability of fixed oil from plum seeds (Prunus domestica Linn.). Biomolecules 2020, 10, 294. [Google Scholar] [CrossRef]
- Uluata, S.; Özdemir, N. Evaluation of chemical characterization, antioxidant activity and oxidative stability of some waste seed oil. Turk. J. Agri. Food Sci. Tech. 2017, 5, 48–53. [Google Scholar] [CrossRef][Green Version]
- Giacometti, J.; Milin, C. Composition and qualitative characteristics of virgin olive oils produced in northern Adriatic region, Republic of Croatia. Grasasy Aceites 2001, 52, 397–402. [Google Scholar] [CrossRef]
- Andjelkovic, M.; Camp, J.V.; Trawka, A.; Verhé, R. Phenolic compounds and some quality parameters of pumpkin seed oil. Eur. J. Lipid Sci. Technol. 2010, 112, 208–217. [Google Scholar] [CrossRef]
- Sevenson, D.G.; Eller, F.J.; Wang, L.; Jane, J.; Wang, T.; Inglett, G.E. Oil and tocopherol content and composition of pumpkin seed oil in 12 cultivars. J. Agric. Food Chem. 2007, 55, 4005–4013. [Google Scholar] [CrossRef] [PubMed]
- Montesano, D.; Blasi, F.; Simonetti, M.S.; Santini, A.; Cossignani, L. Chemical and nutritional characterization of seed oil from Cucurbita maxima L. (var. Berrettina) pumpkin. Foods 2018, 7, 30. [Google Scholar] [CrossRef]
- Kulczyński, B.; Gramza-Michałowska, A. The profile of carotenoids and other bioactive molecules in various pumpkin fruits (Cucurbita maxima Duchesne) cultivars. Molecules 2019, 24, 3212. [Google Scholar] [CrossRef]
- Procida, G.; Stancher, B.; Cateni, F.; Zacchigna, M. Chemical composition and functional characterization of commercial pumpkin seed oil. J. Sci. Food Agric. 2013, 93, 1035–1041. [Google Scholar] [CrossRef]
- Adhikari, P.; Hwang, K.T.; Shin, M.K.; Lee, B.K.; Kim, S.K.; Kim, S.Y.; Lee, K.; Kim, S.Z. Tocols in craneberry seed oils. Food Chem. 2008, 111, 687–690. [Google Scholar] [CrossRef]
- Van Hoed, V.; de Clercq, N.; Echim, C.; Andjelkovic, M.; Leber, E.; Dewettinck, K.; Verhé, R. Berry seeds: A source of speciality oils with high content of bioactives and nutritional value. J. Food Lipids 2008, 50, 33–49. [Google Scholar] [CrossRef]
- Van Hoed, V.; Barbouche, I.; de Clercq, N.; Dewettinck, K.; Slah, M.; Leber, E.; Verhé, R. Influence of filtering of cold pressed berry seed oils on their antioxidant profile and quality characteristics. Food Chem. 2011, 127, 1848–1855. [Google Scholar] [CrossRef]
- Oomah, B.D.; Ladet, S.; Godfrey, D.V.; Liang, J.; Girard, B. Characteristics of raspberry (Rubus idaeus L.) seed oil. Food Chem. 2000, 69, 187–193. [Google Scholar] [CrossRef]
- Amarasinghe, B.M.W.P.K.; Kumarasiri, M.P.M.; Gangodavilage, N.C. Effect of method of stabilization on aqueous extraction of rice bran oil. Food Bio. Process. 2008, 7, 108–114. [Google Scholar] [CrossRef]
- Ghosh, M. Review on recent trends in rice bran oil processing. J. Am. Oil Chem. Soc. 2007, 84, 315–324. [Google Scholar] [CrossRef]
- Anwar, F.; Anwer, T.; Mahmood, Z. Methodical characterization of rice (Oryza sativa) bran oil from Pakistan. Grasasy Aceites 2005, 56, 125–134. [Google Scholar] [CrossRef]
- Wilson, T.A.; Nicolosi, R.J.; Woolfrey, B.; Kritchevsky, D. Rice bran oil and oryzanol reduce plasma lipid and lipoprotein cholesterol concentrations and aortic cholesterol ester accumulation to a greater extent than ferulic acid in hypercholesterolemic hamsters. J. Nutri. Bio. 2007, 18, 105–112. [Google Scholar] [CrossRef]
- Mariod, A.A.; Ahmed, S.Y.; Abdelwahab, S.I.; Cheng, S.F.; Eltom, M.; Yagoub, S.O.; Gouk, S.W. Effects of roasting and boiling on the chemical composition, amino acids and oil stability of safflower seeds. Intern. J. Food Sci. Tech. 2012, 47, 1737–1743. [Google Scholar] [CrossRef]
- Zhou, Y.; Zhao, W.; Lai, Y.; Zhang, B.; Zhang, D. Edible plant oil: Global status, health issues and perspectives. Front. Plant. Sci. 2020, 11, 1–16. [Google Scholar] [CrossRef]
- Aydeniz, B.; Gunesar, O.; Yilmaz, E. Physico-chemical, sensory and aromatic properties of cold press produced safflower oil. J. Am. Oil Chem. Soc. 2014, 91, 99–110. [Google Scholar] [CrossRef]
- Taha, E.; Matthäus, B. Effect of roasting temperature on safflower seeds and oil. J. Food Dairy Sci. 2018, 9, 103–109. [Google Scholar] [CrossRef]
- Franke, S.; Frohlich, K.; Werner, S.; Bohm, V.; Schone, F. Analysis of carotenoids and vitamin E in selected oilseeds, press cakes and oils. Eur. J. Lipid Sci. Technol. 2010, 112, 1122–1129. [Google Scholar] [CrossRef]
- Latif, S.; Anwar, F. Aqueous enzymatic sesame oil and protein extraction. Food Chem. 2011, 125, 679–684. [Google Scholar] [CrossRef]
- Shao, X.; Li, H.; Wang, N.; Zhang, Q. Comparison of different classification methods for analyzing electronic nose data to characterize sesame oils and blends. Sensors 2015, 15, 26726–26742. [Google Scholar] [CrossRef]
- Andressa, S.A.O.; Ribeiro, O.; Nicacio, A.E.; Zanqui, A.B.; Biondo, P.B.F.; de Abreu-Filho, B.A.; Visentainer, J.V.; Gomes, S.T.M.; Matsushita, M. Improvements in the quality of sesame oil obtained by a green extraction method using enzymes. LWT—Food Sci. Technol. 2016, 65, 464–470. [Google Scholar]
- Zanqui, A.B.; Barros, T.V.; Barao, C.E.; da Silva, C.; Cardozo-Filho, L. Production of blends of edible oil and carrot carotenoids using compressed propane: Enhancement of stability and nutritional characteristics. J. Super. Fluids 2021, 171, 105189. [Google Scholar] [CrossRef]
- Fahimdanesh, M.; Bahrami, M.E. Evaluation of physicochemical properties of Iranian tomato seed oil. J. Nutr. Food Sci. 2013, 3, 1000206. [Google Scholar] [CrossRef]
- Giuffre, A.M.; Capocasale, M. Sterol composition of tomato (Solanum lycopersicum L.) seed oil: The effect of cultivar. Int. Food Res. J. 2016, 23, 116–122. [Google Scholar]
- Vagi, E.; Simandi, B.; Vasarhelyine, K.P.; Daood, H.; Kery, A.; Doleschall, F.; Nagy, B. Supercritical carbon dioxide extraction of carotenoids, tocopherols and sitosterols from industrial tomato by-products. J. Super. Fluids 2007, 40, 218–226. [Google Scholar] [CrossRef]
- Giuffre, A.M.; Capocasale, M.; Zappia, C. Tomato seed oil for edible use: Cold break, hot break and harvest year effects. J. Food Process. Prese. 2017, 41, 13309. [Google Scholar] [CrossRef]
- Szabo, K.; Dulf, F.V.; Teleky, B.; Eleni, P.; Boukouvalas, C.; Krokida, M.; Kapsalis, N.; Rusu, A.V.; Socol, C.T.; Vodnar, D.C. Evaluation of the bioactive compounds found in tomato seed oil and tomato peels influenced by industrial heat treatments. Foods 2021, 10, 110. [Google Scholar] [CrossRef]
- Felix-Palomares, L.; Donis-Gonzalez, I.R. Optimization and validation of Rancimat operational parameters to determine walnut oil oxidative stability. Processes 2021, 9, 651. [Google Scholar] [CrossRef]
- Martinez, M.; Barrionuevo, G.; Nepote, V.; Grosso, N.; Maestri, D. Sensory characterisation and oxidative stability of walnut oil. Int. J. Food Sci. Tech. 2011, 46, 1276–1281. [Google Scholar] [CrossRef]
- Calvo, P.; Castano, L.A.; Hernandez, M.T.; Gonzalez-Gomez, D. Effects of microcapsule constitution on the quality of microencapsulated walnut oil. Eur. J. Lipid Sci. Technol. 2011, 113, 1273–1280. [Google Scholar] [CrossRef]
- Abdallah, I.B.; Tlili, N.; Martinez-Force, E.; Rubio, A.G.P.; Perez-Camino, M.C.; Albouchi, A.; Boukhchina, S. Content of carotenoids, tocopherols, sterols, triterpenic and aliphatic alcohols and volatile compounds in six walnuts (Juglans regia L.) varieties. Food Chem. 2015, 173, 972–978. [Google Scholar] [CrossRef]
- Torres, M.; Martinez, M.; Pierantozzi, P.; Albanese, M.; Nasjleti, A.; Maestri, D. Contribution of compositional parameters to the oxidative stability of olive and walnut oil blends. J. Am. Oil Chem. Soc. 2011, 88, 755–762. [Google Scholar] [CrossRef]
- Grosso, A.L.; Asensio, C.M.; Nepote, V.; Grosso, N.R. Antioxidant activity displayed by phenolic compounds obtained from walnut oil cake used for walnut oil preservation. J. Am. Oil Chem. Soc. 2018, 95, 1409–1419. [Google Scholar] [CrossRef]

| Oil Type | Plant Name | Seed Oiliness (%) | Recommended Extraction Method | Recommended Refining Section | Waste Reuse | Consumption (Tons) | References |
|---|---|---|---|---|---|---|---|
| Almond oil | Prunus dulcis L. | 37.5 ± 2.5 | pressing | ND | additives to food, cosmetics production | 37,500 | [58,59,60,64] |
| Argan oil | Argania spinosa L. | 52.5 ± 2.5 | pressing | ND | solvent extraction, use in cosmetics, fuel production | 140,000 | [65] |
| Avocado oil | Persea americana Mill. | 60.0 ± 1.0 | pressing | bleaching, deodorization | nutrition, cosmetics production | 193,000 | [70] |
| Black seed oil | Nigella sativa L. | 32.1 ± 4.1 | pressing | ND | additives to dietary supplements, food | 150,000 | [72,78] |
| Camelina oil | Camelina sativa L. | 40.5 ± 4.5 | pressing | ND | high value bio-based products, e.g., food, fuels | 80,000 | [79,80] |
| Castor oil | Ricinus communis L. | 47.5 ± 7.5 | pressing | full refining | cosmetics, fertilizers production | 25,000 | [16,84] |
| Corn oil | Zea mays L. | 30.1 ± 3.1 | extraction | bleaching, deodorization | biofuels | 120,000 | [61,88,89] |
| Cotton seed oil | Gossypium hirsutum L. | 16.5 ± 0.5 | extraction | bleaching, deodorization | animal feed | 49,000 | [4,16,91,92,93] |
| Evening primrose oil | Oenothera biennis L. | 25.0 ± 5.0 | pressing | dewaxing | proteins extraction | 200,000 | [97,98,99] |
| Flaxseed oil | Linum usitatissimum L. | 35.0 ± 5.0 | pressing | ND | animal feed, nutrition, cosmetics production, fertilizer | 708,000 | [4,16,104,105] |
| Grape seed oil | Vitis vinifera L. | 13.5 ± 6.5 | pressing | ND | ND | 5600 | [108,109] |
| Hemp seed oil | Cannabis sativa L. | 31.5 ± 3.5 | pressing | ND | animal feed, functional food, proteins extraction | 500,000 | [112,116,117] |
| Milk thistle oil | Silybum marianum L. | 22.5 ± 2.5 | pressing | ND | natural medicine, cosmetics production | 150,000 | [118,119,120] |
| Mustard oil | Brassica nigra L. | 28.4 ± 4.3 | pressing | ND | animal feed, functional food | 170,000 | [4,121,122] |
| Peanut oil | Arachis hypogaea L. | 47.0 ± 7.0 | pressing | ND | biofuels, filler in fertilizers, feed industry, cosmetics | 78,000 | [128] |
| Plum seed oil | Prunus domestica L. | 26.7 ± 2.2 | extraction | dewaxing | ND | 2500 | [129] |
| Pumpkin seed oil | Cucurbita maxima L. | 22.7 ± 9.2 | pressing | bleaching | ND | 180,000 | [4,132] |
| Raspberry seed oil | Rubus idaeus L. | 16.7 ± 6.5 | pressing | ND | ND | 35,000 | [137,138,139,140] |
| Rice bran oil | Oryza sativa L. | 17.5 ± 5.5 | extraction | dewaxing, bleaching | ND | 8000 | [141,142] |
| Safflower oil | Carthamus tinctorius L. | 31.5 ± 5.5 | pressing | ND | medicinal purposes, biofuels production | 32,000 | [145,146] |
| Sesame oil | Sesamum indicum L. | 50.5 ± 6.5 | pressing | bleaching | cosmetics, ointments and sweets production ointments | 48,000 | [150,151] |
| Tomato seed oil | Lycopersicon Esculentum Mill. | 35.5 ± 1.9 | extraction | ND | animal feed | 42,000 | [154,155,156] |
| Walnut oil | Juglans regia L. | 65.0 ± 5.0 | pressing | ND | solvent extraction, use in cosmetics, fuel production | 68,000 | [159,160] |
| Oil Type | MUFA:PUFA | Tocopherols (mg/100 g) | Sterols [mg/100 g] | Phenols [mg/100 g] | Carotenoids (mg/100 g) | References |
|---|---|---|---|---|---|---|
| Almond oil | 5:1 | 38.0 ± 7.2 | 312.1 ± 14.8 | 64.5 ± 6.7 | 4.9 ± 0.1 | [27,61,62,63] |
| Argan oil | 2:1 | 71.9 ± 8.2 | 295.0 ± 45.6 | 32.6 ± 2.9 | 2.1 ± 0.1 | [66,67,68,69] |
| Avocado oil | 6:1 | 109.2 ± 10.6 | 90.9 ± 9.2 | 21.0 ± 3.7 | 1.3 ± 0.2 | [70,71,72] |
| Black seed oil | 1:3 | 18.7 ± 9.7 | 244.0 ± 45.0 | 22.6 ± 3.0 | 42.3 ± 40.1 | [73,74,75,76,77] |
| Camelina oil | 1:2 | 85.0 ± 5.0 | 314.0 ± 46.0 | 36.9 ± 2.1 | 12.6 ± 0.7 | [81,82,83] |
| Castor oil | 8:1 | 39.5 ± 0.2 | 199.5 ± 47.5 | 50.4 ± 15.3 | 2.6 ± 1.2 | [85,86,87] |
| Corn oil | 1:2 | 55.8 ± 33.0 | 480.0 ± 1.5 | 1.9 ± 0.1 | 21.8 ± 9.9 | [61,88,89] |
| Cotton seed oil | 1:3 | 100.4 ± 13.6 | 277.5 ± 14.5 | 32.5 ± 4.5 | 11.0 ± 1.2 | [16,91,92,93,94,95,96] |
| Evening primrose oil | 1:8 | 39.2 ± 5.1 | 91.4 ± 5.4 | 4.9 ± 1.6 | 0.9 ± 0.2 | [61,97,100,101,102,103] |
| Flaxseed oil | 1:3 | 162.4 ± 20.6 | 374.6 ± 32.6 | 176.7 ± 5.0 | 31.3 ± 0.5 | [16,91,93,101,105,106,107] |
| Grape seed oil | 1:4 | 42.4 ± 10.6 | 218.6 ± 9.2 | 9.0 ± 2.6 | 6.7 ± 0.4 | [61,91,110,111] |
| Hemp seed oil | 1:3 | 75.5 ± 34.5 | 530.2 ± 139.8 | 116.8 ± 71.2 | 12.5 ± 3.1 | [113,114,115] |
| Milk thistle oil | 1:2 | 42.9 ± 20.7 | 200.1 ± 19.8 | 53.4 ± 15,1 | 34.5 ± 0.4 | [77,118,120] |
| Mustard oil | 2:1 | 62.4 ± 2.5 | 606.3 ± 30.2 | 22.8 ± 8.8 | 1.9 ± 0.3 | [123,124,125,126] |
| Peanut oil | 2:1 | 92.4 ± 37.6 | 262.1 ± 172.3 | 60.1 ± 1.3 | 2.3 ± 0.2 | [16,126,127,128] |
| Plum seed oil | 3:1 | 73.8 ± 0.4 | 153.1 ± 31.9 | 20.4 ± 15.2 | 1.9 ± 1.2 | [62,130,131] |
| Pumpkin seed oil | 1:2 | 92.6 ± 33.7 | 295.0 ± 22.7 | 21.2 ± 10.9 | 21.6 ± 2.1 | [61,133,134,135,136] |
| Raspberry seed oil | 1:7 | 75.1 ± 0.6 | 493.7 ± 2.2 | 84.0 ± 4.2 | 23.0 ± 0.3 | [137,138,139,140] |
| Rice bran oil | 2:1 | 75.5 ± 17.5 | 500.0 ± 105.0 | 5.6 ± 0.3 | 2.4 ± 0.2 | [61,127,143,144] |
| Safflower oil | 1:5 | 46.0 ± 13.1 | 226.1 ± 17.6 | 21.1 ± 3.2 | 0.2 ± 0.1 | [61,140,147,148,149] |
| Sesame oil | 1:5 | 68.1 ± 32.9 | 235.5 ± 13.5 | 208.6 ± 2.8 | 25.0 ± 5.8 | [16,106,152,153] |
| Tomato seed oil | 1:2 | 34.6 ± 2.2 | 190.5 ± 16.5 | 41.2 ± 12.1 | 39.1 ± 9.8 | [61,157,158] |
| Walnut oil | 1:4 | 32.9 ± 11.2 | 141.9 ± 26.2 | 95.3 ± 3.4 | 4.1 ± 3.0 | [61,106], [161,162] |
Publisher’s Note: MDPI stays neutral with regard to jurisdictional claims in published maps and institutional affiliations. |
© 2022 by the authors. Licensee MDPI, Basel, Switzerland. This article is an open access article distributed under the terms and conditions of the Creative Commons Attribution (CC BY) license (https://creativecommons.org/licenses/by/4.0/).
Share and Cite
Czwartkowski, K.; Wierzbic, A.; Golimowski, W. Quality, Key Production Factors, and Consumption Volume of Niche Edible Oils Marketed in the European Union. Sustainability 2022, 14, 1846. https://doi.org/10.3390/su14031846
Czwartkowski K, Wierzbic A, Golimowski W. Quality, Key Production Factors, and Consumption Volume of Niche Edible Oils Marketed in the European Union. Sustainability. 2022; 14(3):1846. https://doi.org/10.3390/su14031846
Chicago/Turabian StyleCzwartkowski, Kamil, Arkadiusz Wierzbic, and Wojciech Golimowski. 2022. "Quality, Key Production Factors, and Consumption Volume of Niche Edible Oils Marketed in the European Union" Sustainability 14, no. 3: 1846. https://doi.org/10.3390/su14031846
APA StyleCzwartkowski, K., Wierzbic, A., & Golimowski, W. (2022). Quality, Key Production Factors, and Consumption Volume of Niche Edible Oils Marketed in the European Union. Sustainability, 14(3), 1846. https://doi.org/10.3390/su14031846

