Pre- and Post-Harvest Practices and Varietal Preferences of Tomato in Ghana
Abstract
:1. Introduction
2. Materials and Methods
2.1. Study Area
2.2. Sampling Methods
2.3. Data Collection
2.4. Data Analysis
2.4.1. Improved Varieties
2.4.2. Gender
2.4.3. Education
2.4.4. Training
2.4.5. Irrigation
3. Results and Discussion
3.1. Household Socio-Economic Characteristics and Demographic Profiles
3.2. Tomato Seed Systems
3.2.1. Sources of Tomato Seeds
3.2.2. Seed Purchase Habits of Tomato Farmers
3.3. Varietal Diversity and Preferred Tomato Attributes
3.4. Tomato Production Season and Practices
3.4.1. Tomato Planting Season
3.4.2. Tomato Seedling Handling
3.4.3. Inputs for Tomato Production in Ghana
3.5. Determinants of the Use of Improved Varieties
3.6. Challenges of Tomato Production in Ghana
3.6.1. Tomato Diseases and Pests’ Management Strategies
3.6.2. Tomato Diseases and Pests Control
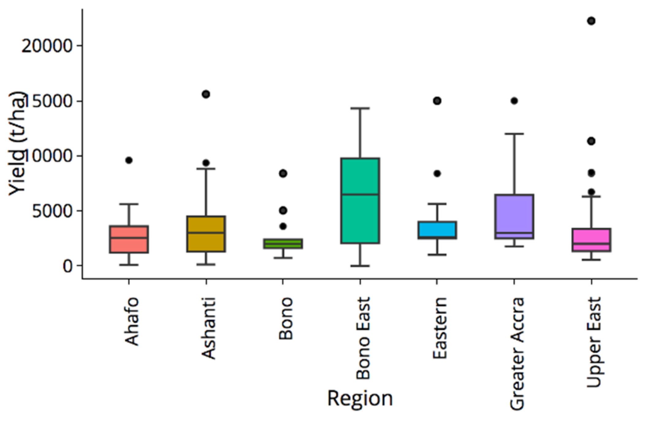
3.7. Tomato Yield Obtained by Farmers Based on Region and Gender
3.8. Harvest and Post-Harvest Handling
3.9. Marketing and Transportation
3.9.1. Challenges and Proposed Solutions to Tomato Marketing
3.9.2. Tomato Market Preference
3.10. Profitability Analysis
3.10.1. Production Cost and Revenue
3.10.2. Income and Profitability of Tomato Production
4. Conclusions and Recommendations
- Exploit the ownership of mobiles phones by vegetable growers to improve access to good agronomic practices and market information;
- Increase farmers’ awareness of improved varieties by facilitating access to irrigation; Interventions to promote the use of improved varieties should be inclusive and ensure they are not gender-biased;
- Increase investment into introducing or breeding adapted vegetable varieties to meet the challenges of growing conditions. For instance, breeding for insect resistant varieties will decrease the use of pesticides, and hence promote a more sustainable tomato production;
- Seed distributors should move closer to farmers for increased availability of high-quality seeds. Besides seeds sale, seed dealers should offer critical information on good agronomic practices that will enable farmers to optimize their production;
- Improvement in irrigation to enable farmers to grow vegetables year-round or in off-season especially in Ahafo, Ashanti, Bono, Bono East, and Eastern regions;
- Strengthen the capacity of farmers on integrated diseases and pests’ management for sustainable tomato production;
- Improve storage facility for vegetables to enable farmers to sell them produces at the desired period and increase their profit margins.
Supplementary Materials
Author Contributions
Funding
Institutional Review Board Statement
Informed Consent Statement
Data Availability Statement
Acknowledgments
Conflicts of Interest
References
- Fufa, F.; Hanson, P.; Dagnoko, S.; Dhaliwal, M.; Africa, C. AVRDC—The World Vegetable Center Tomato Breeding in Sub-Saharan Africa: Lessons from the Past, Present Work, and Future Prospects. Acta Hortic. 2011, 911, 87–98. [Google Scholar] [CrossRef]
- Sibomana, M.S.; Workneh, T.S.; Audain, K. A review of postharvest handling and losses in the fresh tomato supply chain: A focus on Sub-Saharan Africa. Food Secur. 2016, 8, 389–404. [Google Scholar] [CrossRef]
- FAOSTAT Online Statistical Database of the Food and Agriculture Organization of the United Nations. Available online: http://www.fao.org/faostat/en/#data/TP (accessed on 1 October 2021).
- Asselt, J.V.; Masias, I.; Kolavalli, S. Competitiveness of the Ghanaian Vegetable Sector Findings from a Farmer Survey. Ghana Strateg. Support Progr. GSSP Work. Pap. 2018, 47, 1–24. [Google Scholar]
- International Food Policy Research Institute (IFPRI). Ghana’s Tomato Market. MoFA-IFPRI Market Brief 3; IFPRI: Washington, DC, USA, 2020; pp. 1–4. [Google Scholar] [CrossRef]
- Trade Economy Annual International Trade Statistics by Country. Available online: https://trendeconomy.com/data/h2/Ghana/0702 (accessed on 10 February 2021).
- Robinson, E.J.Z.; Kolavalli, S.L. The Case of Tomato in Ghana: Productivity. Ghana Strategy Support Program (GSSP); GSSP Working Paper No. 19. 2010, pp. 1–9. Available online: gssp.ifpri.info/files/2010/08/gsspwp191.pdf (accessed on 1 October 2021).
- Gonzalez, Y.S.; Dijkxhoorn, Y.; Elings, A.; Glover-Tay, J.; Koomen, I.; van der Maden, E.C.L.J.; Nkansah, G.; Obeng, P. Vegetables Business Opportunities in Ghana; Wageningen UR: Wageningen, The Netherlands, 2014. [Google Scholar]
- Kugblenu, Y.O.; Oppong-Danso, E.; Ofori, K.; Andersen, M.N.; Abenney-Mickson, S.; Sabi, E.B. Screening tomato genotypes for adaptation to high temperature in West Africa. Acta Agric. Scand. Sect. B Soil Plant Sci. 2013, 63, 516–522. [Google Scholar] [CrossRef]
- Ayenan, M.A.T.; Danquah, A.; Agre, P.A.; Hanson, P.; Asante, I.K.; Danquah, E.Y. Genomic and phenotypic diversity of cultivated and wild tomatoes with varying levels of heat tolerance. Genes 2021, 12, 503. [Google Scholar] [CrossRef]
- Melomey, D.L.; Danquah, A.; Offei, K.S.; Ofori, K.; Danquah, E.; Osei, M. Review on Tomato (Solanum lycopersicum, L.) Improvement Programmes in Ghana. Recent Adv. Tomato Breed. Prod. 2019. [Google Scholar] [CrossRef] [Green Version]
- Nanii, Y.; Isaac, A.; Evelyn, D.A. An efficiency assessment of irrigated tomato (Solanum lycopersicum) production in the Upper East Region of Ghana. J. Dev. Agric. Econ. 2020, 12, 1–8. [Google Scholar] [CrossRef] [Green Version]
- Jumpah, E.T.; Adams, A.; Ayeduvor, S. Estimating yield and income effects of formal credit-based programme among tomato farmers in the Greater Accra Region of Ghana. Sci. Afr. 2020, 9, e00499. [Google Scholar] [CrossRef]
- Pham, P.; Dorey, A.; Musaraj, P.; Patrick-Vinck, F.E.; Kreutzer, T. KoBoToolbox at the Harvard Humanitarian Initiative. Available online: https://kobotoolbox.org/ (accessed on 10 June 2021).
- KoBoCollect. 2021. Available online: https://play.google.com/store/apps/details?id=org.koboc.collect.android&hl=en (accessed on 10 June 2021).
- Julkowska, M.M.; Saade, S.; Gao, G.; Morton, M.J.L.; Awlia, M.; Tester, M.A. mmjulkowskwa/MVApp.pre-Release_v2.0. 2017. Available online: https://zenodo.org/record/1067974 (accessed on 1 October 2021).
- R Core Team. A Language and Environment for Statistical Computing; R Foundation for Statistical Computing: Vienna, Austria; Available online: https://www.R-project.org/ (accessed on 1 October 2021).
- Ghana Statistical Service Ghana Living Standard Survey (Glss 7). 2018; pp. 1–8. Available online: https://www2.statsghana.gov.gh/nada/index.php/catalog/97/study-description (accessed on 1 October 2021).
- Osei, M.K.; Danquah, A.; Blay, E.; Danquah, E.; Adu-dapaah, H. Stakeholders’ perception and preferences of post-harvest quality traits of tomato in Ghana. Sustain. Agric. Res. 2018, 7, 93–109. [Google Scholar] [CrossRef]
- Nelson, R.; Richard, P.S.E. Investment in Humans, Technological Diffussion and Economic Growth. Am. Econ. Rev. 1966, 56, 69–75. [Google Scholar]
- Reimers, M.; Klasen, S. Revisiting the Role of Education for Agricultural Productivity. Am. J. Agric. Econ. 2013, 95, 131–152. [Google Scholar] [CrossRef] [Green Version]
- Morris, M.L.; Doss, C.R. How does gender affect the adoption of agricultural innovations? The case of improved maize technology in Ghana. Agric. Econ. 2004, 25, 27–39. [Google Scholar]
- Quisumbing, A.R.; Payongayong, E. Women’s Land Rights in the Transition to Individualized Ownership: Implications for Tree-Resource Management in Western Ghana. Econ. Dev. Cult. Chang. 2001, 50, 157–182. [Google Scholar] [CrossRef] [Green Version]
- Yokying, P.; Lambrecht, I. Land Use Policy Landownership and the gender gap in agriculture: Insights from northern Ghana. Land Use Policy 2020, 99, 105012. [Google Scholar] [CrossRef]
- Kudadze, S.; Imoru, A.J.; Adzawla, W. Farmers’ Perception on Irrigation Farming and the Factors Influencing Access to and Size of Irrigable lands in Northern Region, Ghana. Asian Food Sci. J. 2019, 8, 1–14. [Google Scholar] [CrossRef]
- Balana, B.B.; Bizimana, J.; Richardson, J.W.; Lefore, N.; Adimassu, Z.; Herbst, B.K. Economic and food security effects of small-scale irrigation technologies in northern Ghana. Water Resour. Econ. 2020, 29, 100141. [Google Scholar] [CrossRef]
- Issahaku, H.; Abu, B.M.; Nkegbe, P.K. Does the Use of Mobile Phones by Smallholder Maize Farmers Affect Productivity in Ghana? J. Afr. Bus. 2018, 19, 302–322. [Google Scholar] [CrossRef]
- Haile, K.K.; Tirivayi, N.; Tesfaye, W. Farmers’ willingness to accept payments for ecosystem services on agricultural land. Ecosyst. Serv. 2019, 39, 100964. [Google Scholar] [CrossRef]
- Krell, N.T.; Giroux, S.A.; Guido, Z.; Hannah, C.; Lopus, S.E.; Caylor, K.K.; Evans, T.P. Smallholder farmers’ use of mobile phone services in central Kenya. Clim. Dev. 2021, 13, 215–227. [Google Scholar] [CrossRef] [Green Version]
- Gebre, G.G.; Isoda, H.; Rahut, D.B.; Amekawa, Y.; Nomura, H. Gender differences in agricultural productivity: Evidence from maize farm households in southern Ethiopia. GeoJournal 2019, 86, 843–864. [Google Scholar] [CrossRef] [Green Version]
- USDA. Report Name: Planting Seeds Report; GH2020-000; 2020. Available online: https://apps.fas.usda.gov/newgainapi/api/Report/DownloadReportByFileName?fileName=Planting%20Seeds_Accra_Ghana_04-07-2020 (accessed on 1 October 2021).
- Bold, T.; Svensson, K.C.K.J.; Yanagizawa-Drott, D. Lemon Technologies and Adoption: Measurement, Theory, and Evidence from Agricultural Markets in Uganda. Q. J. Econ. 2017, 132, 1055–1100. [Google Scholar] [CrossRef] [Green Version]
- Gonzalez, Y.S.; Dijkxhoorn, Y.; Koomen, I.; van der Maden, E.; Herms, S.; Joosten, F.; Mensah, S.A. Vegetable Business Opportunities in Ghana; Wageningen UR: Wageningen, The Netherlands, 2016. [Google Scholar]
- Anatole, M.; Ayenan, T.; Danquah, A.; Ahoton, L.E.; Ofori, K. Utilization and farmers’ knowledge on pigeonpea diversity in Benin, West Africa Utilization and farmers’ knowledge on pigeonpea diversity in Benin, West Africa. J. Ethnobiol. Ethnomed. 2017, 13, 37. [Google Scholar] [CrossRef] [Green Version]
- Bryan, E.; Didi, H.E. Research Post Considering Gender in Irrigation: Meeting the Challenges Women Farmers Face in Technology Adoption; IFPRI, 2019. Available online: https://www.ifpri.org/blog/considering-gender-irrigation-meeting-challenges-women-farmers-face-technology-adoption (accessed on 1 October 2021).
- Sinyolo, S. Technology adoption and household food security among rural households in South Africa: The role of improved maize varieties. Technol. Soc. 2020, 60, 101214. [Google Scholar] [CrossRef]
- Donkor, A.; Osei-Fosu, P.; Dubey, B.; Kingsford-Adaboh, R.; Ziwu, C.; Asante, I. Pesticide residues in fruits and vegetables in Ghana: A review. Environ. Sci. Pollut. Res. 2016, 23, 18966–18987. [Google Scholar] [CrossRef]
- Pretty, J.; Bharucha, Z.P. Integrated pest management for sustainable intensification of agriculture in Asia and Africa. Insects 2015, 6, 152–182. [Google Scholar] [CrossRef]













| Characteristics | Category | Frequency (N = 180) | Percentage |
|---|---|---|---|
| Gender of farmers | Men farmers = 1 | 146 | 81 |
| Female farmers = 2 | 34 | 19 | |
| Age | 19–34 = 1 | 33 | 18 |
| 34–49 = 2 | 85 | 47 | |
| 49–63 = 3 | 49 | 27 | |
| 63–78 = 4 | 13 | 7 | |
| Education | None/Illiterate = 1 | 19 | 11 |
| None/literate = 2 | 8 | 4 | |
| Kindergarten/Nursery = 3 | 1 | 1 | |
| Primary School = 4 | 34 | 19 | |
| Vocational Training = 5 | 1 | 1 | |
| Junior Secondary = 6 | 74 | 41 | |
| Senior Secondary = 7 | 30 | 17 | |
| Tertiary = 7 | 13 | 7 | |
| Household type | Male headed, with one wife = 1 | 146 | 81 |
| Male headed, with more than one wife = 2 | 11 | 6 | |
| Male headed, divorced, single or widowed = 3 | 8 | 4 | |
| Female headed, divorced, single or widowed = 4 | 11 | 6 | |
| Female headed, husband away = 5 | 2 | 1 | |
| Female headed with husband = 6 | 1 | 1 | |
| Male headed single = 7 | 1 | 1 | |
| Land ownership | Male/Head | 134 | 65 |
| Female/Head | 20 | 10 | |
| Joint (Both Partners) | 33 | 16 | |
| Male/Child | 5 | 2 | |
| Female/Child | 2 | 1 | |
| Grandparents | 10 | 5 | |
| Other | 3 | 1 | |
| Main Occupation | Crop farming = 1 | 164 | 91 |
| Trading in agricultural products (excl. livestock) = 2 | 2 | 1 | |
| Government employee = 3 | 4 | 2 | |
| Business–trade/services /Self-employed = 4 | 1 | 1 | |
| Handicrafts = 5 | 6 | 3 | |
| Wage labor (e.g., factory work, taxi, motorcycle etc.) = 6 | 2 | 1 | |
| Student/Pupil =7 | 1 | 1 | |
| Access to irrigation | No = 1 | 108 | 60 |
| Yes = 2 | 72 | 40 | |
| Ownership of mobile phones | Yes = 1 | 99 | |
| No = 2 | 1 |
| Gender | Land Size (Ac) Owned |
|---|---|
| Male head | 14.70 a |
| Female head | 7.65 a |
| Land size for tomato production (ac) | |
| Male | 4.23 a |
| Female | 2.29 a |
| Characteristics | Category | Frequency N = 180 * | Percentage |
|---|---|---|---|
| Seed source | Seed purchasing | 117 | 65 |
| Seed saving and purchasing | 4 | 2 | |
| Seed saving | 58 | 32 | |
| Other | 1 | 1 | |
| Seed supplies | Local Shop/Agro-dealer | 86 | 73 |
| Other farmers | 23 | 19 | |
| Seed companies | 7 | 6 | |
| Supermarket in town | 2 | 2 | |
| Reasons farmers purchase seeds from suppliers | Cheaper seed | 13 | 7 |
| Assured of quality | 112 | 62 | |
| Proximity/Nearness | 43 | 24 | |
| Others | 12 | 7 | |
| Criteria for choosing a variety | High yield | 56 | 29 |
| Fruit size | 48 | 25 | |
| Color | 34 | 18 | |
| Time to maturity | 24 | 12 | |
| Resistance to diseases | 19 | 10 | |
| Others | 13 | 7 |
| Sources of Seeds (%) | Ahafo N = 15 | Ashanti N = 45 | Bono N = 15 | Bono East N = 15 | Greater Accra N = 20 | Eastern N = 20 | Upper East N = 50 |
|---|---|---|---|---|---|---|---|
| Purchase seed | 29 | 36 | 100 | 20 | 90 | 90 | 86 |
| Saved and purchase seed | 7 | 4 | 0 | 7 | 10 | 14 | |
| Saved seed | 64 | 60 | 0 | 73 | 10 | 0 | 0 |
| Regions | Average Distance Travelled (km) | Average Quantity of Seeds Purchased (g) | Amount (GHS) |
|---|---|---|---|
| Ashanti | 55.96 | 215.00 b | 192.08 b |
| Greater Accra | 28.00 | 793.33 a | 811.00 a |
| Eastern Region | 12.38 | 280.00 b | 235.62 b |
| Upper East | 5.62 | 222.73 b | 134.16 b |
| Ahafo | 2.38 | 720.00 ab | 263.75 b |
| Bono | 1.48 | 153.33 b | 186.33 b |
| Bono East | 0.40 | 102.50 b | 90.00 b |
| Characteristics | Category | Frequency N = 180 | Percentage |
|---|---|---|---|
| Sources of seedlings | Own nursery | 180 | 100 |
| Commercial nursery | 0 | 0 | |
| Nursery methods | Seedbed | 176 | 98 |
| Seed trays | 4 | 2 | |
| Reasons for using seedbeds | Cheaper | 65 | 25 |
| Established near field | 149 | 57 | |
| Established near water source | 46 | 18 | |
| N/A | 2 | ||
| Reasons for using seedbeds | Easier to transplant | 3 | 43 |
| Less disease incidences | 1 | 14 | |
| Easier to transport | 2 | 29 | |
| High seedling establishment | 1 | 14 | |
| N/A | 176 | ||
| Duration of nursery | Less than 4 weeks | 28 | 16 |
| More than 4 weeks | 37 | 21 | |
| N/A | 63 |
| Variables | Average Marginal Effect | Std. Error | Pr(>|t|) |
|---|---|---|---|
| Intercept | 0.03 | 0.13 | 0.84 |
| Gender | 0.19 | 0.09 | 0.03 |
| Irrigation | 0.51 | 0.07 | 0.00 |
| Training | 0.09 | 0.09 | 0.31 |
| Education | 0.03 | 0.12 | 0.83 |
| Methods of Disease and Pest Control | Disease Management (%) | Insects’ Management (%) | Weed Management |
|---|---|---|---|
| Use of pesticides | 81 | 93 | - |
| Rotation | 0 | 1 | - |
| Pesticides + rotation | 17 | 4 | - |
| Biological | 2 | 2 | - |
| Mechanical control | - | - | 66 |
| Herbicides + mechanical control | - | - | 15 |
| Herbicide | - | - | 11 |
| None | - | - | 8 |
| Variable | N = 180 | Percentage |
|---|---|---|
| Fruit Size | ||
| Medium (60–80 g) | 89 | 49 |
| Large (above 80 g) | 91 | 51 |
| Fruit shape | ||
| Flattened (oblate) | 12 | 7 |
| Slightly flattened | 12 | 7 |
| Rounded | 47 | 26 |
| High rounded | 60 | 33 |
| Heart-shaped | 27 | 15 |
| Cylindrical (long oblong) | 3 | 2 |
| Pyriform | 15 | 8 |
| Ellipsoid (plum-shaped) | 4 | 2 |
| Fruit colour | ||
| Yellow | 4 | 2 |
| Red | 176 | 98 |
| Grand Total | 180 | 100 |
| Cost | Average | Standard Deviation | Minimum | Maximum |
|---|---|---|---|---|
| Total production cost (GHS) | 5715 | 7285 | 340 | 55,570 |
| Variable cost (GHS) | 4995 | 6644 | 340 | 54,170 |
| Ratio variable cost to total cost | 0.87 |
| Income Ranges in GHS | Frequency | Valid Percent | Cumulative Percent |
|---|---|---|---|
| <1000 | 9 | 5.1 | 5.1 |
| 2001–3000 | 19 | 10.7 | 15.7 |
| 3001–5000 | 27 | 15.2 | 30.9 |
| 5001–10,000 | 43 | 24.2 | 55.1 |
| 10,001–20,000 | 37 | 20.8 | 75.8 |
| 20,001–30,000 | 22 | 12.4 | 88.2 |
| >30,000 | 21 | 11.8 | 100.0 |
| Total | 178 | 100.0 | |
| System | 2 | ||
| Total | 180 |
| Average Selling Price | Male | Female | Grand Total | Fisher Exact Test |
|---|---|---|---|---|
| Less than GHS 4/kg | 47 | 12 | 59 | 0.53 |
| GHS 4.1–5/kg | 18 | 2 | 20 | |
| GHS 5.1–10/kg | 15 | 3 | 18 | |
| GHS 15.1–20/kg | 1 | 1 | 1 | |
| More than GHS 20/kg | 2 | 0 | 2 | |
| Grand Total | 81 | 19 | 100 | |
| Income | ||||
| Less than GHS 1000 | 2 | 3 | 5 | 0.026 |
| GHS 2001–3000 | 8 | 3 | 11 | |
| GHS 3001–5000 | 12 | 3 | 15 | |
| GHS 5001–10,000 | 20 | 4 | 24 | |
| GHS 10,001–20,000 | 19 | 2 | 21 | |
| GHS 20,001–30,000 | 10 | 2 | 12 | |
| More than 30,000 | 11 | 1 | 12 | |
| Grand Total | 81 | 19 | 100 | |
Publisher’s Note: MDPI stays neutral with regard to jurisdictional claims in published maps and institutional affiliations. |
© 2022 by the authors. Licensee MDPI, Basel, Switzerland. This article is an open access article distributed under the terms and conditions of the Creative Commons Attribution (CC BY) license (https://creativecommons.org/licenses/by/4.0/).
Share and Cite
Melomey, L.D.; Ayenan, M.A.T.; Marechera, G.; Abu, P.; Danquah, A.; Tarus, D.; Danquah, E.Y. Pre- and Post-Harvest Practices and Varietal Preferences of Tomato in Ghana. Sustainability 2022, 14, 1436. https://doi.org/10.3390/su14031436
Melomey LD, Ayenan MAT, Marechera G, Abu P, Danquah A, Tarus D, Danquah EY. Pre- and Post-Harvest Practices and Varietal Preferences of Tomato in Ghana. Sustainability. 2022; 14(3):1436. https://doi.org/10.3390/su14031436
Chicago/Turabian StyleMelomey, Leander D., Mathieu A. T. Ayenan, George Marechera, Pearl Abu, Agyemang Danquah, David Tarus, and Eric Y. Danquah. 2022. "Pre- and Post-Harvest Practices and Varietal Preferences of Tomato in Ghana" Sustainability 14, no. 3: 1436. https://doi.org/10.3390/su14031436
APA StyleMelomey, L. D., Ayenan, M. A. T., Marechera, G., Abu, P., Danquah, A., Tarus, D., & Danquah, E. Y. (2022). Pre- and Post-Harvest Practices and Varietal Preferences of Tomato in Ghana. Sustainability, 14(3), 1436. https://doi.org/10.3390/su14031436

