Next Article in Journal
Biodiversity Conservation and the Role of Policy Resources: The Case of Saint Helena
Next Article in Special Issue
Safeguarding against Harm in a Climate-Smart Forest Economy: Definitions, Challenges, and Solutions
Previous Article in Journal
Novel Shielding Mortars for Radiation Source Transportation and Storage
Previous Article in Special Issue
What Is the Impact of Mass Timber Utilization on Climate and Forests?
 
 
Font Type:
Arial Georgia Verdana
Font Size:
Aa Aa Aa
Line Spacing:
Column Width:
Background:
Article

A Lifecycle Assessment of a Low-Energy Mass-Timber Building and Mainstream Concrete Alternative in Central Chile

1
Facultad de Arquitectura y Urbanismo, Instituto de la Vivienda, Universidad de Chile, Santiago 8331051, Chile
2
Centro de Biotecnología de los Recursos Naturales (CENBIO), Facultad de Ciencias Agrarias y Forestales, Universidad Católica del Maule, Talca 3480112, Chile
3
Facultad de Ingeniería, Ciencias y Tecnología, Universidad Bernardo O’Higgins, Santiago 8370993, Chile
4
Facultad de Ingeniería y Ciencias Aplicadas, Universidad de los Andes, Santiago 7620001, Chile
5
Elige Madera, SpA, CL, Santiago 7810658, Chile
6
CORRIM—Consortium for Research on Renewable Industrial Materials, Corvallis, OR 97339, USA
7
BTG Pactual Timberland Investment Group, 1180 Peachtree Street NE Suite #1810, Atlanta, GA 30309, USA
*
Authors to whom correspondence should be addressed.
Sustainability 2022, 14(3), 1249; https://doi.org/10.3390/su14031249
Submission received: 15 November 2021 / Revised: 17 January 2022 / Accepted: 17 January 2022 / Published: 22 January 2022
(This article belongs to the Special Issue Mass Timber and Sustainable Building Construction)

Abstract

:
While high-rise mass-timber construction is booming worldwide as a more sustainable alternative to mainstream cement and steel, in South America, there are still many gaps to overcome regarding sourcing, design, and environmental performance. The aim of this study was to assess the carbon emission footprint of using mass-timber products to build a mid-rise low-energy residential building in central Chile (CCL). The design presented at a solar decathlon contest in Santiago was assessed through lifecycle analysis (LCA) and compared to an equivalent mainstream concrete building. Greenhouse gas emissions, expressed as global warming potential (GWP), from cradle-to-usage over a 50-year life span, were lower for the timber design, with 131 kg CO2 eq/m2 of floor area (compared to 353 kg CO2 eq/m2) and a biogenic carbon storage of 447 tons of CO2 eq/m2 based on sustainable forestry practices. From cradle-to-construction, the embodied emissions of the mass-timber building were 42% lower (101 kg CO2 eq/m2) than those of the equivalent concrete building (167 kg CO2 eq/m2). The embodied energy of the mass-timber building was 37% higher than that of its equivalent concrete building and its envelope design helped reduce space-conditioning emissions by as much as 83%, from 187 kg CO2 eq/m2 as estimated for the equivalent concrete building to 31 kg CO2 eq/m2 50-yr. Overall, provided that further efforts are made to address residual energy end-uses and end-of-life waste management options, the use of mass-timber products offers a promising potential in CCL for delivering zero carbon residential multistory buildings.

1. Introduction

The use of sustainably sourced mass-timber technologies to build multistory residential buildings (mainly cross-laminated timber (CLT) and glue-laminated timber (glulam)) has the potential to mitigate global climate change and benefit developing economies [1,2,3]. While it is well known that the building sector is responsible for about 40% of global carbon emissions [4], there is a large body of scientific research showing that, compared to reinforced concrete (RC), mass-timber (MT) buildings can store large amounts of biogenic carbon, reduce the embodied carbon of building materials, and avoid useful life emissions from auxiliary space-conditioning energy [5,6,7,8]. In recognizing these advantages, large forest product exporters, such as China (CN), Brazil (BZ), and Chile (CL), are currently seeking synergies with their timber sector to tackle large housing deficits and meet carbon emission targets by 2050 [9,10,11]. In Chile, since over 90% of new multistory constructions are RC apartment buildings [12], the surge of a high-rise MT industry could lead to a transition towards decarbonizing the national construction sector.
The rapid global expansion of the MT industry, which has quintupled over the last decade, reaching a production of over three million cubic meters by 2019 [13], has posed many research challenges to assess its long-term environmental impacts. Recent lifecycle assessments (LCA) comparing carbon emissions between MT and RC buildings in the US, Austria (AT), the UK, and CN have shown that through sustainable forestry practices, MT buildings could help offset most lifecycle emissions with per-square-meter carbon storage rates between 145 and 490 kg CO2 eq [2,3,14,15], reduce emissions from cradle-to-construction by 35–47% [1,2,3], and avoid emissions from space-conditioning energy by 30–40% over useful life [5,6]. These ranges are due to differences in local manufacturing, building codes, and construction practices that are just being acknowledged and, if not well understood, may lead to unforeseen adverse effects on greenhouse gas (GHG) emissions and global fossil fuel depletion [1,2]. Mass-timber production in Chile is low scale, has incipient CLT production, and leaves several gaps yet to be addressed regarding sourcing, manufacturing, and environmental performance.
Over two-thirds of primary energy use, greenhouse gases, and solid waste generated by the building sector in Chile comes from housing [15,16]. This is partly because 75% of new constructions are residential buildings, 100 thousand units per year [12], and partly due to the thermal inefficiency of its existing housing stock leading to acute overconsumption of fuels for space heating, which accounts for over half of national residential energy use, an annual average of 4280 kWh per dwelling [17]. Although the country extends over a wide range of latitudes (17–56° S), more than 90% of its population is concentrated in the mild climatic region of its central valley (32–43° S) [18], where 98% of the country’s sawn timber is produced—8 million cubic meters yearly [19]. Due to the mild climate and improved thermal performance of MT envelopes compared to mainstream cement and steel [7], there is great potential for MT buildings to cut most useful life emissions. To date, the major constraints for MT construction in CL are stringent seismic codes and the lack of tested MT products and design guidelines to meet local standards, namely, to fulfill current code requirements for fire safety, soundproofing, and thermal insulation.
This study aims to bridge the existing knowledge gap regarding the carbon and energy impacts of sourcing, manufacturing, and space-conditioning of mass-timber buildings in central Chile (CCL). The study is part of a larger research effort led by the Nature Conservancy (TNC), a nonprofit environmental organization, that seeks to assess the impact of increased MT construction on global forest and carbon stocks [20,21]. Six cities were selected by the TNC project—Atlanta (US), Boston (US), Seattle (US), Santiago (CL), Beijing (CN), and Vienna (AT) [21]. This paper reports the results of the first LCA performed on a mid-rise low-energy MT building in Santiago and compares it with an equivalent mainstream RC building, considering current national building codes [22]. The objectives of the study are:
  • Perform a cradle-to-construction LCA of the low-energy mass-timber design;
  • Perform a cradle-to-construction LCA of a building with similar functionalities but constructed with reinforced concrete;
  • Assess the space conditioning performance of the buildings over useful life.

2. Case Study Building

The case study building selected for the LCA is a mid-rise social housing apartment block (Figure 1) classified as type B2 according to the Chilean Ministry of Housing [23]. The building is part of a large public multi-apartment development that would be built on an underused parking lot in downtown Santiago [24]. The development, which was designed for a solar decathlon contest held in 2019 in Santiago [25] by a Chilean architectural team of the TNC project, has six apartment blocks of 20 flats each, four large open courtyards, ground-floor facilities, and retail shops. Aiming to reduce lifecycle emissions, the design of the blocks was adapted to integrate locally sourced prefabricated CLT designs and passive envelope features [26]. As shown in Figure 1, to simplify the building modeling, material quantifications were performed on a base module of 10 flats separated from the rest of the block by a structural expansion joint. As is common for social housing in CL, the height of the blocks was set at five stories, the maximum allowed by code without incurring additional expenses for mandatory elevators [27].
The MT and RC buildings were both modeled to conform to Chilean standards (NCh) and regulations set by the General Construction and Urbanism Ordinance (OGUC in Spa-nish) [27]. A functionally equivalent approach was adopted to quantify building materials by which components that were comparable between the two building types were not considered (e.g., windows, frames, railings, etc.). Non-structural elements, such as aesthetics and interior finishing, may differ between the two buildings. However, MT and RC elements requiring additional materials to meet minimum code standards, such as thermal insulation, acoustic barriers, and fire-retardants, were modeled. To account for emissions from space-conditioning energy over useful life, it was assumed that the MT apartment building would feature passive designs proposed for the solar decathlon contest, summarized in the axonometric shown in Figure 2, whereas the RC building would keep mainstream design features complying with minimum national OGUC regulations.
Although no particular site was considered for the LCA analysis, for structural design purposes, specific seismic demand and the static and dynamic soil-bearing capacities were assumed. Dynamic load characteristics were drawn from seismic hazard zone II, a region of intermediate seismicity according to Chilean standard NCh-433: Earthquake Resistant Design of Buildings [28]. Soil mechanical properties were classified as stiff, drawn from soil class C, Supreme Decree DS-61: Seismic Soil Categories [29]. Both design characteristics are representative of most built-up areas in the Santiago basin [30]. It should be noted that both zone II and soil class C have restrictive seismic design criteria comparable the most stringent site classes of US standards (classes D and F [30]). If, unlike the assumptions made here, a more restrictive hazard zone or soil class was the case, the size of structural members will increase more on the MT building than on the RC building requiring greater concrete foundations and lateral load reinforcement.
Figure 2. Exploded view and floor plan of the MT module built at the technological park [31].
Figure 2. Exploded view and floor plan of the MT module built at the technological park [31].
Sustainability 14 01249 g002
To facilitate comparison, the MT and RC buildings were assumed to have the same overall dimensions, that is, structural grid and floor heights. As shown in Figure 1, the 20-unit apartment block modeled for the LCA analysis has a total habitable floor area of 1405 m2, with a footprint of roughly 28 m × 5 m and 13.9 m overall height. The structural walls are spaced at around 3 m in each direction. The core is 2 m × 6 m. Floor-to-floor heights are limited to 3.2 m on the first floor and 2.66 m on the upper floors. All exterior circulation areas and distances between stairways and entries were designed as per OGUC code (Art. 4.2.1 General Safety Conditions [27]). The specifications and structural dimensions of MT members were informed by a pilot apartment module (Figure 2) built in 2021 as part of the framework of this project at the Technological Park of the University of Chile [31].

3. Materials and Methods

3.1. Lifecycle Assessment

Simplified bills for materials for the MT and RC designs were used for the LCA analysis (Table A1 and Table A2, Appendix A). Primary data for tracing lifecycle processes were collected from mainstream local suppliers, manufacturers, and transport/equipment contractors. Secondary or reference data relevant to the CCL region were gathered from existing local literature and national databases (e.g., national average emissions for cement or electricity). When primary or secondary data could not be obtained, estimates were based on trusted databases (e.g., ECOBASE, CORRIM, Ecoinvent). Lifecycle inventory (LCI) data compiled for this study account for all relevant inputs of raw materials, energy, and GHG emissions from the whole lifecycle of the buildings, including upstream and relevant downstream processes, such as transport, product manufacturing, and operation. Carbon dioxide and equivalent GHG emissions, expressed as global warming potential (GWP), were modeled using SimaPRO v. 8.0 environmental analysis software [32] under the lifecycle framework defined in ISO standards 14040/14044 [33,34].
The declared functional unit is 1 m2 of total livable floor area. The system boundary includes lifecycle analysis from “cradle to construction,” from the acquisition of raw materials until the installation of building products on site, and space-conditioning energy use over the entire useful lifespan of the buildings. “Product Stage” (A1–A3) and “Construction Stage” (A4–A5) were considered as per the buildings’ product category rules (PCR) [35]. As illustrated in Figure 3, the product stage includes raw-material supply (module A1), transport to manufacturer (module A2), and manufacturing of building materials (module A3). The construction stage includes transport of building materials to the construction site (module A4) and construction-installation of the building (module A5). The use stage includes the space-conditioning energy use of the building (module B6) over a 50-year useful life span horizon as per local building category A2 [36]. Because of the lack of primary and reliable data at the time of the study with regard to the maintenance, use, and deconstruction of buildings in Chile, other use categories and end-of-life phases were not addressed in the analysis.

3.2. Product Stage (A1–A3)

This stage includes all processes required to extract the raw materials from the environment and convert them into ready-to-use construction products. For the MT components, it was assumed that the source wood would be Pinus radiata, which is the single most used species in CL, accounting for over 96% of all national sawn timber production [19]. The wood would be supplied from a harvesting site located within the Bio-Bio region, where most of national pine plantations are found [19]. To keep the carbon biomass in the forest, further care should be taken to ensure responsible harvesting practices are employed. Since CLT panel framing is a relatively new construction method in CL, there are few manufacturing plants with the capacity to produce CLT, all based in the Bio-Bio region. It was assumed that CLT and glulam would be supplied from a plant located in the Bio-Bio region near Los Angeles (37.5° S, 72.5° W), 45 km from the sawmill and another 43 km from there to the plantation site. All MT components were modeled with the CORRIM database [37], modified using Chilean forestry operation and energy sources.

3.3. Construction Stage (A4–A5)

This stage includes the transport of building materials from the production gate to the construction site and their subsequent installation. Building components included in the analysis were the superstructure (walls, slabs, beams, etc.), exterior walls and roof, interior walls, and below-grade structure. It was assumed that the MT components would be shipped on a diesel truck from the manufacturing plant in Los Angeles to the construction site in Santiago, a total road distance of 487 km. All other materials were assumed to be produced and sold within the metropolitan region of Santiago (MRS), within a radius of 30 km from the assumed project site. The assumed road distances for each of the materials assessed in the study can be consulted in Table A3 in the Appendix A.
The installation phase includes the energy use of construction equipment to erect the MT and RC buildings. For the MT building, CLT panels and glulam beams were assumed to be lifted from the shipping truck at the construction site using a mobile tower crane (10-ton maximum load capacity). It should be noted that, as is the current practice in CL, MT structures are mainly composed of CLT wall and slab panels. As an indication, for the construction of the pilot apartment, which used a total of 27 m3 of processed sawn timber (Figure 2), 47% was 5-ply CLT slabs, 36% was 3-ply CLT walls, and 6% was glulam beams. Thus, a multistory building in CL using the same construction system would require about 0.35–0.41 m3 of processed mass-timber per square meter of floor area, a high usage rate compared to other studies in which usage rates are between 0.1–0.45 m3 [3,38]. Other capital equipment and facilities, land use, maintenance, use, and final disposal were excluded from the system boundaries.

3.4. Operational Energy Use Stage (B6)

The use stage includes the energy consumed and GHG emissions over the entire useful life of the buildings. The focus was on the influence of building envelope assemblies on auxiliary energy demands for space-heating and cooling. TAS 9.2 [39] was used to estimate the energy performance of the case study buildings using TMY weather data for Santiago (WMO 855740) extracted from Meteonorm 7.0 [39]. TAS is a thermal analysis software that traces hourly energy demands by taking into account detailed weather data, building properties, and occupancy schedules [39]. Following the drawings shown in Figure 1, the entire 20-unit block of each building was modeled in TAS under multizone configuration. The material properties used in the simulations are given in Table A3 and the key input parameters are presented in Table A4. As an indication, for all of the apartments, occupancy was assumed to follow those of a reference household of four [40] using hourly heat gains of 5.0 W/m2 per occupant, 5.0 W/m2 for appliances on bedrooms, and 10 W/m2 for appliances on the living area (see detailed schedules in Table A4).
As highlighted in Figure 2, based on passive design guidelines given for the climate of Santiago [26], the MT building has integrated design features that reduce demands for auxiliary space-conditioning energy. These are minor measures that have little impact on the overall resources involved in manufacturing and construction but may considerably reduce emissions throughout their useful life [26]. Compared to the RC building, as summarized in Table 1, these design features comprise higher envelope thermal resistances for less additional insulation (Appendix A); higher airtightness by adding a polypropylene membrane; larger room glazing-to-floor ratios for the same net glazing area (all windows being single glazing); a closer heat-storage capacity than mainstream timber frame given by the CLT structure, a 50-mm cement mortar flooring, and plaster finishes; and improved solar control through provision of operable shading blinds (Figure 2).
The results of simulations, given in kWh per square meter of floor area, were converted into GHG emissions using national emission factors [41]. Based on previous fieldwork performed for households in Santiago [26], daily and seasonal space-heating and cooling schedules were assumed for a 16-h day (7 a.m.–11 p.m.), with thermostats on the living area and bedrooms set at 17 °C from May to September (heating season) and 27 °C from December to February (cooling season). The major energy sources for space-conditioning in the MRS are liquified petroleum gas (54%), paraffin (32%), and electricity (12%) from coal, natural gas, or hydroelectricity [17]. Since electricity is projected to become the dominant source by 2050 [42], the carbon intensity factor of per-consumed kWh used in this study was 0.47 kg CO2 based on CCL’s electric power grid [41]. Due to the lack of reliable local data at the time of the study, building maintenance, repair, and refurbishment were excluded from the system boundaries.

4. Building Code Assumptions

The criterion for building materials’ specification was to meet national codes with locally available mainstream products. To this end, detailed specifications were drawn from tested product assemblies provided by the Chilean Ministry of Housing and Urbanism (MINVU in Spanish), specifically for fire safety (E-12 [43]), soundproofing (E-14 [43]), and space conditioning (E-8 [43]). When no tested assemblies were available for MT construction, equivalent product specifications were taken from international guidelines and adapted accordingly. Material specifications and code-compliant standards are detailed in Figure 4 and Figure 5.
Fire resistance: National fire safety standards for 5–6 story buildings (Type B under OGUC [43]) require minimum fire-resistive ratings of 1.0 h for roofs (b), 1.5 h for demising and load-bearing walls (c/f) and slabs (d), and 2 h for staircase walls (e). As per MINVU E-12 guidelines, no additional fire-retardant materials were required for the RC building. For the MT building (Figure 4), following specifications from northern Europe CLT pine [44], almost all assembly categories required additional fire protection, assuming gypsum wall boards (GWBs) and rock fiber as the requisite non-combustible materials.
Soundproofing: OGUC allows a maximum sound transmittance coefficient (STC) of 45 dB for demising walls and slabs (Figure 5c,d) and a minimum impact insulation coefficient (ICC) of 75 dB for demising slabs (Figure 5d). As per MINVU E-14, no additional soundproofing materials were required for the concrete building. Since no acoustic tests had been conducted for Chilean CLT products, reference assemblies were drawn from a recently published acoustical report by WoodWorks [45]. To comply with standards for demising CLT walls, a cavity space and two-layer GWBs were added on both ends (Figure 5c). For the CLT slabs, a cement mortar topping with a polyester sound-deadening mat underneath was used to meet the requisite soundproofing assembly (Figure 5d).
Thermal performance: Minimum admissible thermal resistances for Santiago (Zone D) are 0.5 m2k/W for exterior walls and 2.1 m2k/W for the roof [46]. For the RC building, a typical concrete wall assembly was used, including a 10 mm expanded polystyrene EPS board and gypsum plaster or stucco as exterior finish (Figure 4a). The same solution was used for the roof, which required a thicker EPS board of 80 mm (Figure 4b). For the MT building, no additional insulation was required for external walls and only 45-mm EPS was required for the roof (Figure 4a,b). The density and conductivity of MT elements, seen in Appendix A (Table A3), were drawn from results of laboratory tests undertaken as part of this study at the laboratory of mechanical engineering at the University of Santiago.
Structural design: Given that Chilean seismic codes are strict [30], additional consideration was given to meeting statutory resistance criteria by performing spectral modal analysis with ETABS v. 18 engineering software [43]. As a result of traditional construction practice and local code compliance, multistory buildings in CL generally have short floor spans and several load-bearing walls [30]. Unlike other countries with similar seismicity, such as the US or New Zealand (NZ), the design of high-rise buildings relies on redundant configurations and stiff framing to overcome the low drift limits imposed by standard NCh-433 (i.e., a maximum drift limit of 0.002 hs, compared to 0.02 hs (US) and 0.015 hs (NZ) [47]). For this study, the seismic resistance of the MT building is provided by a dense grid of CLT walls confined with glulam beams and additional RC foundation reinforcement. Further shear resistance is provided by CLT steel connectors, such as typical hold-down angle brackets and bolts. No additional steel framing or buckling-restrained braces were specified as per structural design.
For dimensioning structural elements, uniform design criteria were applied to both buildings in compliance with national standards for seismic action, NCh-433 [28], soil classification, DS-61 [29], and permanent and live loads, NCh-1537 [43]. For the RC building, the assumed compressive strength of concrete was 25 MPa, and the ultimate and yield strength of reinforcing steel rebars 630 MPa and 420 MPa (grade A630-420H [43]). For the MT building, structural CLT and glulam components were assumed to be machine-strength graded Pinus radiata with a bending stress of 24 MPa, which is timber class C-24, according to Chilean standards [43]. Since CLT panel steel connectors were not modeled, they were assumed to equal 2% of all reinforcing steel rebars used for the foundations of the MT building. As per standard NCh1537 [43], additional dead loads of 150 kg/m2 and live loads of 200 kg/m2 were assumed in private areas, 300 kg/m2 for common areas, and 100 kg/m2 for the roof. The seismic mass of the buildings was calculated considering 100% of the dead loads and 25% of live loads. See Appendix A (Table A5) for detailed input parameters and the results of the spectral modal analysis.

5. Results

5.1. Material Quantities

The quantities of building materials required for the low-energy MT building and the mainstream RC building are displayed in Table A1 and Table A2 (Appendix A). It should be remembered at this stage of the analysis that only different functionally equivalent materials were modeled, all identical design feature between the two buildings were excluded (e.g., windows, frames, railings, etc.). The MT building uses a total of 526 m3 of sawn timber with 97% CLT and glulam. The mass timber usage rate is roughly 0.38 m3 per m2 of floor area. The exterior walls use 154 m3 of 5-ply CLT (29%), interior walls use 97 m3 of 3-ply CLT (18%), floor slabs 213 m3 of 5-ply CLT (40%), and beams 45 m3 of glulam (8.6%). To counteract the greater seismic tensile loading of CLT, the MT building uses 149 m3 of concrete only for its foundations, almost double the amount of that of the RC building (89 m3). The RC building uses 641 m3 of concrete, 47% (302 m3) for exterior walls, 39% (250 m3) for the roof and floor slabs, and 14% for the foundations. In addition, by achieving better thermal insulation, the MT building uses only 16% of the total EPS required for the RC building to comply with OGUC regulations [43].
As seen in Figure 6, for both building designs, concrete accounts for the largest contribution by mass. For the RC building, concrete accounts for nearly 98% of the total building mass, followed by steel (reinforcing rebars) and the gypsum plaster used as exterior finish with low values around 1.5% and 0.3%, respectively. Mainly due to its additional seismic load reinforcement at foundations, concrete makes up nearly half (47.8%) the total mass of the MT building, followed by CLT and glulam (34%) and the cement mortar used as fire retardant and acoustic deadening of CLT slabs (16%). Besides these, all other supplementary materials used to comply with local codes were found to have negligible mass, representing only 1.2% and 0.94% of each total. These and other supplementary materials not included in this study (e.g., finishes, fixtures, or opening components) are typically found within the 0.5–2% margin of the total mass of multistory buildings [48,49].

5.2. Embodied Carbon

5.2.1. Product Stage (A1–A3)

The embodied carbon of materials for each building type, expressed here as GWP in kg CO2 eq per square meter of floor area, are shown in Figure 7a,b. For both buildings, more than 96% of the total embodied carbon is generated during the product stage (A1–A3), which comprises the supply of raw materials, transport to factory, and gate-to-gate production. In this stage, the global warming contribution of the MT design was 44% lower (90 kg CO2 eq/m2) than that of the mainstream RC building (162 kg CO2 eq/m2), attributable to the relatively high usage of mass timber and differences in national energy source mixes. This is a considerable cut in emissions compared to other studies that found reductions from RC to MT buildings in the order of 18% and 28%, with the embodied carbon of MT buildings ranging from 190–240 kg CO2 eq/m2 [3,21].

5.2.2. Construction Stage (A4–A5)

Transport (A4) account for 7% of the total embodied carbon of the MT building and only 0.4% of that of the RC building (Figure 7b). This is primarily due to differences in transport distances, as MT components are brought from the Bio-Bio region (487 km) and concrete from within the MRS region (30 km). If unlike this scenario, MT were to be sourced from an established manufacturer overseas, for instance from Austria (Biderholz Company [48]), an additional 18 kg of CO2 eq/m2 would be emitted, generating at least 10% more emissions than when MT is produced locally. As shown in Figure 7b, for the installation module (A5), consistent with the higher mass of concrete compared to Pinus radiata (radiata pine, Appendix A), the larger contributor to global warming was the mainstream RC building, which, compared to its mass timber equivalent, increased emissions by around 118%, from 3.8 to 4.5 kg CO2 eq/m2.
Compared to other LCA studies [14,50,51,52], the resultant emissions for both building types were found within the lower end of the spectrum. This can be seen in a recent publication by Puettmann et al. [51], which, as part of the same global TNC project [21], adopts a similar approach to this study by comparing the emissions of six equivalent MT and RC buildings across different regions of the US [52]. For the MT buildings of the study in the US, the emissions of modules A1–A5 were found within the 106–172 kg CO2 eq/m2 range whereas those for the RC buildings within 203–282 kg CO2 eq/m2 [52]. Besides other differences in bills of materials, material processing, and manufacturing discussed throughout this paper, the main reason of the lower emissions obtained for the RC building is shorter distances for supply of primary materials on module A4 which compared to the US study yielded differences in the order of 55 kg CO2 eq/m2 [52].

5.2.3. Operational Energy Use Stage (B6)

Of all lifecycle stages, auxiliary space-conditioning energy accounts for 23% and 53% of emissions of the MT and RC buildings, respectively (Figure 7c). The annual emission rates expressed here in kg CO2 eq/m2 are the results of building thermal simulations performed in a 20-unit apartment block divided by the total conditioned area in square meters. For the mainstream RC building, the total annual emission rate for space-conditioning was 14.7 kg CO2 eq/m2, 12 kg CO2 eq/m2 for space-heating, and 2.7 kg CO2 eq/m2 for space-cooling. In turn, the passive envelope designs of the MT building help drop emis-sions to 2.4 kg CO2 eq/m2 per year with no need for mechanical cooling. Remarkably, as seen in Figure 7c, over the 50-year lifespan, the accumulated emissions for the MT building were as much as 83% lower (30.5 tons of CO2 eq/m2) than that of the equivalent RC building (186.5 tons of CO2 eq/m2).

5.3. Lifecyle Carbon Emissions

Considering that wood products are associated with carbon sink due to their photosynthetic nature and assuming that sustainable forestry practices allow to keep the carbon biomass in the forest, a net building carbon emission was also estimated. As both the MT and the RC buildings have a gross floor area of 1405 m2, from cradle until end of use, the buildings will generate a total of 184,000 and 496,000 kg of fossil CO2 eq, respectively (Figure 7d). On the other hand, from the standpoint of their value as carbon sink, the MT building stores 447,000 kg CO2 eq in its timber structure, leaving a negative net of 306,000 kg CO2 eq from cradle to construction and 263,000 kg CO2 eq when including space-conditioning energy use. To retain the sequestered carbon through end-of-life, crucial decisions not discussed here should be evaluated [48,53]. As a result, until end-of-life, the use of sustainably sourced wood products helps reduce GHGs of an MT building by as much as 300% and 118% that of a functionally equivalent mainstream RC building.

5.4. Primary Energy Use

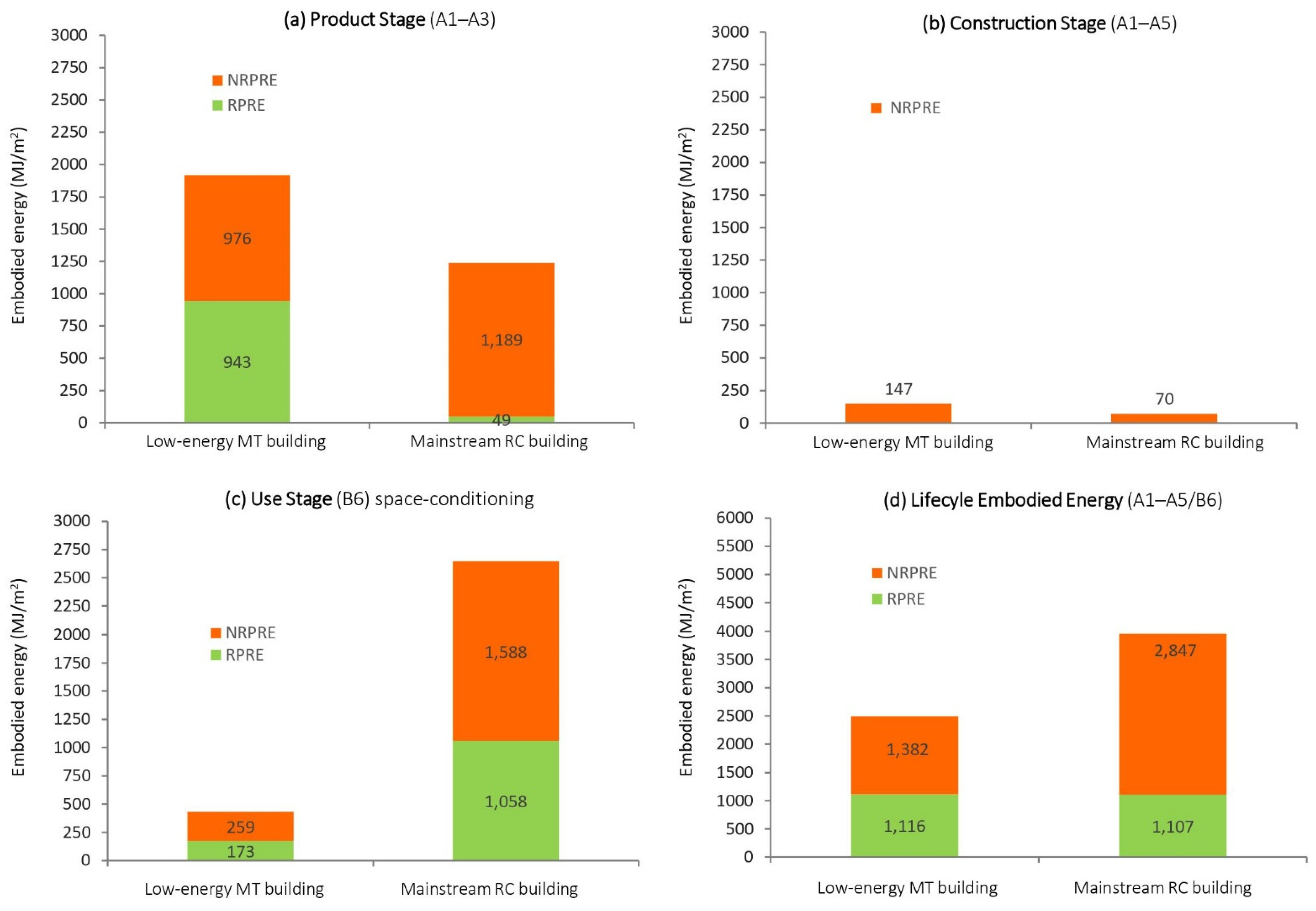
Both renewable (RPRE) and non-renewable primary energy (NRPRE) are used to create the inputs of the lifecycle process of the buildings. Embodied energy is the sum of the energy used from the extraction, transport, and manufacturing of materials. As shown in Figure 8, through all lifecycle stages (A1–A5/B6), the total share of non-renewable fossil energy is 55% for the MT and 72% for the RC building. From cradle-to-construction (A1–A5), the MT building uses 10% less fossil-based energy and 19 times more renewable energy per square meter. Renewable energy is used to produce lumber feedstock (A1–A3) as raw material to manufacture MT components. For CLT and glulam, most of the renewable energy is generated through combustion of biomass (sawdust, chips, and other waste from the milling process). The embodied energy of the MT design is 37% higher (2066 MJ/m2) than that of its equivalent RC design (1308 MJ/m2) with 93% and 95% generated in the product stage (A1–A3). For domestic space-conditioning, most electricity comes from non-renewables (66%), mainly coal and natural gas [41]. In all the lifecycle (Figure 8c), space-conditioning energy use represents 6% and 10% of the RPRE and NRPRE used by the MT building (432 MJ/m2), and 42% and 63% of that of the RC building (2646 MJ/m2).

6. Discussion

Based on LCA results which show that for a given location in Santiago (CCL), mass-timber has lower embodied emissions than mainstream concrete and steel, relevant design implications can be drawn on how to improve the carbon footprint of MT buildings. To examine these design issues, Figure 9 shows a GWP contribution analysis by material assembly. As can be seen for the MT design the large GWP share of the mass-timber structure (56%) could be reduced through carefully weighing losses in carbon storage capacity by substituting load-bearing CLT walls with glulam columns and beams [54]. Further savings can be made by reducing the GWP share of the concrete foundations (30%) distributing lateral loads on above-grade structures through either adding a concrete ground floor and concrete core walls [54] and/or hybrid steel-timber frames [55]. On sites with the same or more stringent seismic provisions than those assumed in this study which will yield larger emissions, an advisable choice to reduce seismic loads on the foundations would be to increase the compactness of the building shape.
Other design measures for reducing the embodied emissions of materials include exploring alternative assemblies to meet code compliance standards. As seen in Figure 9 after the concrete foundations, the largest GWP share for the MT design was the cement mortar topping (6.3%) used to meet the fire and acoustic ratings of CLT slabs which can be substituted using multiple layers of gypsum, wood fiber, and/or stone wool boards [56]. Although a more significant effect will be seen on buildings with 6 stories or more where national fire ratings are more stringent [26], the GWP share of non-combustible gypsum and rock-fiber (1.2%) could be lowered by adding a charring layer to CLT and glulam [57]. For non-load-bearing walls where minimum fire ratings are 0.25–0.5 h [26], an interesting alternative would be replacing aluminum frame with 60 mm thick CLT partitions. For any of the outlined choices, there should be careful consideration to weigh the embodied emissions of all substitute materials required to meet equivalent compliance.
With regard to space-conditioning, the LCA results also show that while the passive designs of the MT building increased its embodied emissions, their contribution to reduce useful life emissions were significantly much greater. In terms of additional materials, the embodied emissions of the improved design features applied to the MT building sum up 7.8 kg CO2 eq/m2 whereas over useful life, they help reducing by over 37 kg CO2 eq/m2 emissions from space-conditioning energy use. Since again the largest GWP is the cement mortar topping (5.6 kg CO2 eq/m2), further efforts should be placed in finding alternatives to increase the thermal capacity of mass-timber envelopes. Interestingly, compared to the concrete building, the most influential contributions in displacing auxiliary space-conditioning demands were the distribution of glazing areas (34%) and the inherent lower thermal transmittance of the mass-timber envelope (23%). Future work should be undertaken to provide a more comprehensive overview of the performance of MT buildings, including variations in indoor temperatures, occupant comfort, and household operation.
Overall, the results show that provided that further efforts are made to address end-of-life waste management options, the carbon stored in the MT building could help offset emissions of cradle-to-construction and space-conditioning energy use, leaving scope to address other domestic energy end-uses. As shown in Figure 7, until end-of-life, the MT building stores 318 kg CO2 eq/m2 which adding emissions from cradle-to-construction (101 kg CO2 eq/m2) and space-conditioning energy use (31 kg CO2 eq/m2) leaves a total negative net of 186 kg CO2 eq/m2 (A1–A5/B6). As an indication, the residual annual energy use of an average household in the MRS is roughly 4000 kWh (including LPG for water heating and cooking and electricity [17]) the equivalent of nearly 1000 kg CO2 eq/m2 (50-yr). As specified for the MT design (Figure 2), the installation of on-grid solar photovoltaics would help offset this total with four panels of 275 W per household a target that can be balanced through current subsidy schemes (MINEN [42]). On the other hand, to avoid releasing the stored carbon after end of life CLT and glulam components can be reused or combusted as a substitute of fossil fuel where previous studies have shown carbon retention rates of 85–90% [52,53]. To make definitive comparisons, future work should delve into evaluating other use modules and end-of-life scenarios.

7. Conclusions

A lifecycle analysis was performed to investigate the carbon and energy implications of manufacturing and using a low-energy mass-timber residential building and compare it against those of a mainstream concrete building in central Chile. The system boundary comprised sourcing and processing of radiata pine lumber, local manufacturing, and on-site installation of mass-timber products, transportation, and energy use for space-conditioning over useful life. For both buildings, reinforced concrete represented the largest contribution by mass. In the concrete design, reinforced concrete accounted for 97% of the total building mass. In the timber building, mass-timber materials such as CLT and glulam represented 30% and 4%, respectively. Global warming potentials for the mass-timber and concrete buildings were estimated at 101 and 167 kg of CO2 eq/m2, respectively. A 40% reduction in equivalent emissions was estimated when the reinforced concrete structure was replaced by CLT and glulam products.
By considering wood as carbon sink, until-of-life phases where significant emissions could be released due to waste disposal choices, the usage of mass-timber allows achieving a total negative net of 306 tons of CO2 eq/building, decreasing emissions by 131% when compared to an equivalent concrete building. From cradle-to-usage, the embodied energy of the mass-timber building was 37% lower than that of the concrete building option, with a share of 45% and 27% in renewable energy, respectively. Furthermore, over the lifespans of the buildings, the accumulated emissions due to space-conditioning energy usage were as much as 83% lower for the mass-timber building design (30.5 tons CO2 eq/m2) than that of the mainstream concrete building (186.5 tons CO2 eq/m2). Finally, the use of mass-timber products such as CLT and glulam in a conventional five-story residential building located in Santiago, central Chile, generates potential benefits to the environment, decreasing the emissions of GWP when used to substitute concrete.

Author Contributions

Conceptualization, G.F. and R.M.-V.; methodology, G.F. and R.M.-V.; software, G.F., R.M.-V., M.P., R.A., and I.G.; validation, R.M.-V. and M.P.; formal analysis, G.F. and R.M.-V.; investigation, G.F. and R.M.-V.; resources, G.F. and R.M.-V.; data curating, R.M.-V.; writing—original draft preparation, G.F.; writing—review and editing, R.M.-V., R.A., and I.G.; visualization, G.F.; supervision, M.P.; project administration, M.W.; funding acquisition, M.W. All authors have read and agreed to the published version of the manuscript.

Funding

This research was funded by USDA Forest Service, Southern Region, Wood Innovations Program (19-DG-11083150-023).

Institutional Review Board Statement

Not applicable.

Informed Consent Statement

Not applicable.

Data Availability Statement

Not applicable.

Acknowledgments

This article is part of a larger five-phase project initiated by the Nature Conservancy (nature.org) through generous support from the Climate and Land Use Alliance and the Doris Duke Charitable Foundation (DDCF). The work upon which this project is based was also funded in whole or in part through a cooperative agreement with the USDA Forest Service, Forest Products Laboratory, Forest Products Marketing Unit (17-CA-11111169-031). * The Nature Conservancy initiated this project to further the collective understanding of the potential benefits and risks of increasing demand for forest products. The Conservancy focuses on delivering critical safeguard frameworks to mitigate potential risks to forest ecosystems as mass timber demand increases. * In accordance with Federal Law and U.S. Department of Agriculture policy, this institution is prohibited from discriminating on the basis of race, color, national origin, sex, age, or disability. (Not all prohibited bases apply to all programs.) To file a complaint of discrimination, write to USDA, Director, Office of Civil Rights, Room 326-W, Whitten Building, 1400 Independence Avenue, SW, Washington, DC 20250-9410 or call (202) 720-5964 (voice and TDD). USDA is an equal opportunity provider, employer, and lender.

Conflicts of Interest

The authors declare no conflict of interest. The funders had no role in the design of the study; in the collection, analyses, or interpretation of data; in the writing of the manuscript, or in the decision to publish the results.

Appendix A

Table A1. Material quantities for the low-energy MT design.
Table A1. Material quantities for the low-energy MT design.
ComponentMaterialUnitQuantity
BeamsGlulamm345.0
Exterior wallsCLT (5-ply)m3153.9
Interior wallsCLT (3-ply)m397.0
Floor slabsCLT (5-ply)m3212.6
Topping slabsCement mortarm357.6
Slab-on-gradeConcrete (10 MPa)m324.6
Foundation wallsConcrete (25 MPa)m326.7
Spread footingsConcrete (25 MPa)m397.4
FoundationsSteelm30.4
Roof insulationExpanded polystyrenem313.6
Interior finishGypsum boardsm30.9
Cavity wallRock fiberm30.5
Acoustical matPolyesterm323.0
GlazingClear glassm31.7
Vapor retarderPolypropylenem30.6
Exterior claddingRadiata pinem318.2
Table A2. Material quantities for the mainstream RC alternative.
Table A2. Material quantities for the mainstream RC alternative.
ComponentMaterialUnitQuantity
Exterior wallsConcretem3302.3
Interior finishGypsumm34.6
Cavity insulationRock fiberm315.4
Metal studsSteelm30.4
Roof slabConcrete (25 MPa)m326.8
Floor slabsConcrete (25 MPa)m3223.1
Slab-on-gradeConcrete (10 MPa) m328.3
Foundation wallsConcrete (25 MPa)m35.7
Foundation BeamsConcrete (25 MPa)m30.6
Spread footingsConcrete (25 MPa)m353.9
Rebar foundationsSteelm30.2
Rebar slabsSteelm31.7
Rebar wallsSteelm31.1
Roof insulationExpanded polystyrenem327.0
Wall insulationExpanded polystyrenem360.0
GlazingClear glassm31.7
Exterior finishStuccom313.3
Table A3. Properties of building materials and assumed road distance from manufacturer to site.
Table A3. Properties of building materials and assumed road distance from manufacturer to site.
MaterialDensityConductivitySpecific HeatTransport Distance
(kg/m3)(W/mK)(J/kgK)(km)
CLT (Pinus radiata)470 10.12 11880 1487
Glulam (Pinus radiata)470 10.12 11880 1487
Cladding (Pinus radiata)4100.12850487
Concrete22001.6392016
Cement mortar20001.4092012.3
Steel rebar7850--18
Metal studs7400--19
Gypsum board10800.4184030
Polyester mat7.50.0610509
Glazing25001.008379
Stucco8000.3583730
EPS board100.04312007
Rock fiber800.04084030
1 Based on laboratory tests undertaken at the University of Santiago. The properties of materials are drawn from Chilean standard NCh 853 [58,59,60].
Table A4. Key parameters used in TAS modeling.
Table A4. Key parameters used in TAS modeling.
ParameterValueCommentReference
Floor area of an apartment71.2 m2 -
Number of apartments20 -
Number of occupants per flat 4 -
External wall R-valueMT—1.5 W/m2K [46]
RC—0.5 W/m2K
Roof R-valueMT—2.3 W/m2K
RC—2.1 W/m2K
Glazing0.18 W/m2K
Occupation main bedroom10 p.m.–7 a.m.2 occupants[26]
Occupation bedrooms10 p.m.–7 a.m.1 occupant
Occupation living area8 a.m.–10 p.m.1–4 occupants
Internal heat gains75 W per person
Infiltration rateMT—0.3 ACH controllable vents[59]
RC—1.0 ACH
Ventilation30 m3/h per personwhen occupied
Thermostat set points17 °C (heating) [26]
27 °C (cooling)
Heating season (Santiago)1st May–31 September7 a.m.–11 p.m.
Cooling season (Santiago)1st December–31 March7 a.m.–11 p.m.
Table A5. Seismic design parameters and results of spectral modal analysis (/building).
Table A5. Seismic design parameters and results of spectral modal analysis (/building).
Seismic Design Parameters (DS-61 [29]) 1Spectral Modal Analysis
Max. effective ground accelerationAo = 0.30 gBuilding fundamental period1.55 s
T’0.45 sModification factorR = 8.95
n1.40Seismic weight (kN)P = 108.230
S1.05Base shear ratioP/Qo = 0.070
T00.40 sBase shear (kN)Qo = 7576
p1.6Maximum driftΔxe = 0.0014
1 Values according to site soil class C (DS-61 [29]) and seismic zone II (NCh-433 (NCh-433 [28]).
Table A6. Material, energy, fuel used, and data sources for mass timber and concrete buildings.
Table A6. Material, energy, fuel used, and data sources for mass timber and concrete buildings.
Material/Energy/FuelLCI ProcessDatabase/Data Source
Acoustic panelGypsum plasterboard (GLO)| market for | Cut-off, UEcoInvent 3.5
Steel studGalvanized steel sheet, at plant NREL/RNA UUS-EI 2.2
Exterior finish—claddingSAWN lumber, softwood, planed, kiln dried, packaged, at planer, m3/ChileModified for Chilean energy wood density, and radiate pine forestry operations in Chile
Exterior finish—stuccoThermal plaster, outdoor (GLO)| market for | Cut-off, UEcoInvent 3.5
CLTCLT(Chen et al., 2019 [60]; Huang et al., 2019 [61]); modified for Chilean energy, wood density, and radiate pine forestry operations in Chile
ConcreteConcrete, 25 MPa (GLO)| market for | Cut-off, UEcoInvent 3.5
ConcreteConcrete, 20 MPa (GLO)| market for | Cut-off, UEcoInvent 3.5
Construction energyDiesel, combusted in industrial equipment NREL/US UUS-EI 2.2
ElectricityChilean Grid, 2018Vega-Coloma and Zaror, 2018 [41]
GlazingGlazing, double (2-IV), U < 1.1 W/m2K, at plant (20 kg/m2)/US-US-EI UEcoInvent 3.5
GlulamGlulamCORRIM and proxy processes; modified for Chilean energy wood density, and radiate pine forestry operations in Chile
Gypsum concreteProxy processEcoInvent 3.5
Gypsum wallboardGypsum fiberboard (GLO)| market for | Cut-off, UEcoInvent 3.5
InsulationStone wool, packed (GLO)| market for stone wool, packed | Cut-off, UEcoInvent 3.5
Insulation; polystyrene insulated sheathingPolystyrene, extruded (GLO)| market for | Cut-off, UEcoInvent 3.5
RebarReinforcing steel (GLO)| market for | Cut-off, UEcoInvent 3.5
Road transportTransport, freight, lorry >32 metric ton, euro3 (RoW)| market for transport, freight, lorry >32 metric ton, EURO3 | Cut-off, UEcoInvent 3.5

References

  1. Himes, A.; Busby, G. Wood buildings as a climate solution. Dev. Built Environ. 2020, 4, 100030. [Google Scholar] [CrossRef]
  2. Scouse, A.; Kelley, S.S.; Liang, S.; Bergman, R. Regional and net economic impacts of high-rise mass timber construction in Oregon. Sustain. Cities Soc. 2020, 61, 102154. [Google Scholar] [CrossRef]
  3. Liang, S.; Gu, H.; Bergman, R.; Kelley, S.S. Comparative life-cycle assessment of a mass timber building and concrete alternative. Wood Fiber Sci. 2020, 52, 217–229. [Google Scholar] [CrossRef]
  4. Huang, L.; Krigsvoll, G.; Johansen, F.; Liu, Y.; Zhang, X. Carbon emission of global construction sector. Renew. Sustain. Energy Rev. 2018, 2, 1906–1916. [Google Scholar] [CrossRef] [Green Version]
  5. Guo, H.; Liu, Y.; Meng, Y.; Huang, H.; Sun, C.; Shao, Y. A Comparison of the energy saving and carbon reduction performance between reinforced concrete and cross-laminated timber structures in residential buildings in the severe cold region of China. Sustainability 2017, 9, 1426. [Google Scholar] [CrossRef] [Green Version]
  6. Liu, Y.; Guo, H.; Sun, C.; Chang, W.S. Assessing cross laminated timber (CLT) as an alternative material for mid-rise residential buildings in cold regions in China-A life-cycle assessment approach. Sustainability 2016, 8, 1047. [Google Scholar] [CrossRef] [Green Version]
  7. Jensen, A.; Norford, L.; Grinham, J. Mass(ive) Timber: Examining the Thermally Massive Behavior of Mass Timber Construction. Technol. Des. 2020, 4, 186–199. [Google Scholar] [CrossRef]
  8. Cabral, M.R.; Blanchet, P. A State of the Art of the Overall Energy Efficiency of Wood Buildings—An Overview and Future Possibilities. Materials 2021, 14, 1848. [Google Scholar] [CrossRef] [PubMed]
  9. Zou, C.; Xiong, B.; Xue, H.; Zheng, D.; Ge, Z.; Wang, Y.; Jiang, L.; Pan, S.; Wu, S. The role of new energy in carbon neutral. Pet. Explor. Dev. 2021, 48, 480–491. [Google Scholar] [CrossRef]
  10. Advisory Committee on Sustainable Forest-Based Industries (ACSFI) Status of Public Policies Encouraging Wood Use in Construction—An Overview. 2020. Available online: https://www.readkong.com/page/status-of-public-policies-encouraging-wood-use-in-1270588 (accessed on 16 January 2022).
  11. The World Bank. La Construcción de Viviendas en Madera en Chile: Un Pilar Para el Desarrollo Sostenible y la Agenda de Reactivación; Terraza, H.C., Donoso, R., Victorero, F., Ibanez, D., Eds.; World Bank Publications: Washington, DC, USA, 2020; Volume 154785. [Google Scholar]
  12. INE. Anuarios de Edificación (2009–2019); Instituto Nacional de Esatadisticas: Santiago, Chile, 2019. [Google Scholar]
  13. Muszynski, L.; Larasatie, P.; Guerrero, J.E.; Albee, R. Global CLT industry in 2020: Growth beyond the Alpine Region. In Proceedings of the 63rd International Convention of Society of Wood Science and Technology, Corvallis, OR, USA, 12–17 July 2020. [Google Scholar]
  14. Pierobona, F.; Huang, M.; Simonen, K.; Gangulya, I. Environmental benefits of using hybrid CLT structure in midrise non-residential construction: An LCA based comparative case study in the US PNW. J. Build. Eng. 2019, 26, 100862. [Google Scholar] [CrossRef]
  15. MMA. Tercer Informe Bienal de Actualización de Chile sobre el Cambio Climático; Ministerio del Medio Ambiente (MMA), Gobierno de Chile: Santiago, Chile, 2018; Available online: https://mma.gob.cl/wp-content/uploads/2018/12/3rd-BUR-Chile-SPanish.pdf (accessed on 16 January 2022).
  16. MINEN. Balance Energético; Ministerio de Energia (MINEN), Gobierno de Chile: Santiago, Chile, 2018. [Google Scholar]
  17. MINEN. Informe Final de Usos de la Energía de los Hogares en Chile; Ministerio de Energia (MINEN), Gobierno de Chile: Santiago, Chile, 2018. [Google Scholar]
  18. MDSF. Encuesta de Caracterisacion Socioeconomica Nacional (CASEN): Resultados 2017. Ministerio de Desarrollo Social y Familia (MDSF), Gobierno de Chile. Available online: http://observatorio.ministeriodesarrollosocial.gob.cl/encuesta-casen (accessed on 16 January 2022).
  19. INFOR. Anuario Forestal 2019; Instituto Forestal (INFOR), Área de Economia e Informacion Forestal: Santiago, Chile, 2019; Volume 140. [Google Scholar]
  20. Pasternack, R.; Wishnie, M.; Clarke, C.; Wang, Y.; Belair, E.; Naranjo, K.; Brashaw, B.; Marshall, S.; Felmer, G.; Morales-vera, R. What is the potential impact of mass timber utilization on climate and forests? Sustainabilty 2021, 13, 758. [Google Scholar]
  21. Dolezal, F.; Dornigg, I.; Wurm, M.; Figl, H. Overview and Main Findings for the Austrian Case Study. Sustainabilty 2021, 13, 7584. [Google Scholar] [CrossRef]
  22. MINVU. Estrategia Nacional de Construcción Sustentable; Ministerio de Vivienda y Urbanismo (MINVU), Gobierno de Chile: Santiago, Chile, 2013. [Google Scholar]
  23. MINVU. Vivienda Social en Copropiedad: Catastro Nacional de Condominios Sociales, 1st ed.; Ministerio de Vivienda y Urbanismo (MINVU), Gobierno de Chile: Santiago, Chile, 2014; ISBN 9789569432071. [Google Scholar]
  24. Morales-vera, R.; Felmer, G.; Salgado, P.; Astroza, R.; González, I.; Tobar, J.; Puettmann, M.; Wishnie, M. A Life Cycle Assessment of Low Energy Residential Multistory Mass Timber Buildings in Central Chile. In Proceedings of the WCTE 2021—World Conference on Timber Engineering, Santiago, Chile, 9–12 August 2021; World Conference on Timber Engineering (WCTE): Santiago, Chile, 2021. [Google Scholar]
  25. Felmer, G.; Morales-vera, R.; Astroza, R.; González, I.; Palma, V.; Rivas, N. Construcción del Primer Módulo de Vivienda Carbono Neutral con Madera Masiva de Pino Radiata Nacional. In Proceedings of the XXXIX Encuentro Arquisur/XXIV Congreso Arquisur, Arquisur 2021, Santiago, Chile, 4–7 October 2021; pp. 2–6. [Google Scholar]
  26. Felmer, G.; Yannas, S. Designing naturally-conditioned dwellings for warm and cold-temperate regions of Chile. Archit. Sci. Rev. 2021, 64, 275–292. [Google Scholar] [CrossRef]
  27. OGUC. Ordenanza General de Urbanismo y Construcciones; Ministerio de Vivienda y Urbanismo (MINVU), Gobierno de Chile: Santiago, Chile, 2021. [Google Scholar]
  28. INN. NCh-433: Diseño Sísmico de Edificios; Instituto Nacional de Normalización (INN): Santiago, Chile, 2007. [Google Scholar]
  29. MINVU. Decreto Supremo N°61: Diseño Sísmico de Edificios; Diario Oficial de la República: Santiago, Chile, 2011. [Google Scholar]
  30. NEHRP. Consultants Joint Venture (organization). In Comparison of U.S. and Chilean Building Code Requirements and Seismic Design Practice 1985–2010; National Earthquake Hazards Reduction Program (NEHRP) Consultants Joint Venture: Redwood City, CA, USA, 2012. [Google Scholar]
  31. Centro Tecnológico para la Innovación en Construicción (CTeC) Parque Tecnológico para la Innovación en Construcción. Available online: https://ctecinnovacion.cl/parque (accessed on 12 July 2021).
  32. PRé Sustainability SimaPro Software 2019. Available online: https://www.simapro.co.uk/download-simapro (accessed on 16 January 2022).
  33. ISO 14040; Environmental Management-Life Cycle Assessment-Principles and Framework. The International Organization for Standardization (ISO): Geneva, Switzerland, 2006.
  34. ISO 14044; Environmental Management-Life Cycle Assessment-Requirements and Guidelines. The International Organization for Standardization (ISO): Geneva, Switzerland, 2006.
  35. FPInnovations. North American Structural and Architectural Wood Products; FPInnovations: Vancouver, BC, Canada, 2015. [Google Scholar]
  36. SII. Fija Vida útil Normal a los Bienes del Activo Inmovilizado para los Efectos de su Depreciación; Servicio de Impuestos Internos (SII): Santiago, Chile, 2002. [Google Scholar]
  37. Puettmann, M.; Sinha, A.; Ganguly, I. CORRIM Report—Life Cyle Assessment of Cross Laminated Timber Produced in Oregon; Consortium for Research on Renewable Industrial Materials: Corvallis, OR, USA, 2018; Volume 53. [Google Scholar]
  38. Lolli, N.; Fufa, S.M.; Kjendseth Wiik, M. An assessment of greenhouse gas emissions from CLT and glulam in two residential nearly zero energy buildings. Wood Mater. Sci. Eng. 2019, 14, 342–354. [Google Scholar] [CrossRef] [Green Version]
  39. EDSL Thermal Analysis Simulation Software (TAS) 2019. Available online: https://www.edsltas.com/about-tas (accessed on 16 January 2022).
  40. INE. Síntesis de Resultados CENSO 2017; Instituto Nacional de Estadísticas (INE), Gobierno de Chile: Santiago, Chile, 2018. [Google Scholar]
  41. Vega-Coloma, M.; Zaror, C.A. Environmental impact profile of electricity generation in Chile: A baseline study over two decades. Renew. Sustain. Energy Rev. 2018, 94, 154–167. [Google Scholar] [CrossRef]
  42. MINEN. Hoja de Ruta 2050: Hacia una Energía Sustentable e Inclusiva para Chile; Comité Consultivo de Energía 2050, Ed.; Ministerio de Energia (MINEN), Gobierno de Chile: Santiago, Chile, 2014. [Google Scholar]
  43. MINVU-DITEC. Listado Oficial de Soluciones Constructivas: E8 Acondicionamiento Térmico; E12 Aislamiento Acústico; E14 Comportamiento al Fuego; Dirección Tecnica (DITEC), Ministerio de Vivienda y Urbanismo (MINVU), Gobiernod de Chile: Santiago, Chile, 2014. [Google Scholar]
  44. Storaenso. CLT—Cross Laminated Timber Fire Protection; Storaenso: Helsinki, Finland, 2016. [Google Scholar]
  45. WoodWorks. Acoustically-Tested Mass Timber Assemblies; WoodWorks—Wood Products Council: Washington, DC, USA, 2019. [Google Scholar]
  46. MINVU. Requisitos y Mecanismos de Acreditación para el Acondicionamiento Ambiental de Edificaciones: Parte 2 Comportamiento Higrotérmico; Ministerio de Vivienda y Urbanismo (MINVU), Gobierno de Chile: Santiago, Chile, 2014. [Google Scholar]
  47. Tremblay, R.; Dehghani, M.; Fahnestock, L.; Herrera, R.; Canales, M.; Clifton, C.; Hamid, Z. Comparison of seismic design provisions for buckling restrained braced frames in Canada, United States, Chile, and New Zealand. Structures 2016, 8, 183–196. [Google Scholar] [CrossRef]
  48. Hemmati, M.; Messadi, T.; Gu, H. Life Cycle Assessment of Cross-Laminated Timber Transportation from Three Origin Points. Sustainability 2022, 14, 336. [Google Scholar] [CrossRef]
  49. Allan, K.; Phillips, A.R. Comparative cradle-to-grave life cycle assessment of low and mid-rise mass timber buildings with equivalent structural steel alternatives. Sustainability 2021, 13, 3401. [Google Scholar] [CrossRef]
  50. Chen, Z.; Gu, H.; Bergman, R.D.; Liang, S. Comparative life-cycle assessment of a high-rise mass timber building with an equivalent reinforced concrete alternative using the athena impact estimator for buildings. Sustainability 2020, 12, 4708. [Google Scholar] [CrossRef]
  51. Puettmann, M.; Pierobon, F.; Ganguly, I.; Gu, H.; Chen, C.; Liang, S.; Jones, S.; Maples, I.; Wishnie, M. Comparative LCAs of Conventional and Mass Timber Buildings in Regions with Potential for Mass Timber Penetration. Sustainability 2021, 13, 13987. [Google Scholar] [CrossRef]
  52. Liang, S.; Gu, H.; Bergman, R. Environmental Life-Cycle Assessment and Life-Cycle Cost Analysis of a High-Rise Mass Timber Building: A Case Study in Pacific Northwestern United States. Sustainability 2021, 13, 7831. [Google Scholar] [CrossRef]
  53. Jayalath, A.; Navaratnam, S.; Ngo, T.; Mendis, P.; Hewson, N. Energy & Buildings Life cycle performance of Cross Laminated Timber mid-rise residential buildings in Australia. Energy Build. 2020, 223, 110091. [Google Scholar] [CrossRef]
  54. Zumbrunnen, P.; Kingdom, U. Pure CLT—Concepts and Structural Solutions for Multi Storey Timber Structures. In Proceedings of the Internationales Holzbau-Forum IHF 2017, Garmisch-Partenkirchen, Germany, 6–8 December 2017; pp. 1–6. [Google Scholar]
  55. He, M.; Luo, Q.; Li, Z.; Dong, H.; Li, M. Seismic performance evaluation of timber-steel hybrid structure through large-scale shaking table tests. Eng. Struct. 2018, 175, 483–500. [Google Scholar] [CrossRef]
  56. Pagnoncelli, L.; Morales, F. Cross-Laminated Timber System (CLT): Laboratory and in Situ Measurements of Airborne and Impact Sound Insulation. In Proceedings of the EuroRegio, Porto, Portugal, 13–15 June 2016; pp. 1–11. [Google Scholar]
  57. Breneman, S.; Timmers, M.; Richardson, D. Tall Wood Buildings in the 2021 IBC Up to 18 Stories of Mass Timber; WoodWorks—Wood Products Council: Washington, DC, USA, 2019. [Google Scholar]
  58. Bustamante, W.; Pino, F.E.; Rozas, Y.; Victorero, F. Informe Etapa 05 Manuales de Referencias Técnicas: Fundamentos Técnicos; Pontificia Universidad Católica de Chile: Santiago, Chile, 2007. [Google Scholar]
  59. MINVU. Estándares de Construcción Sustentable para Viviendas (ECSV); Ministerio de Vivienda y Urbanismo (MINVU), Gobierno de Chile: Santiago, Chile, 2018. [Google Scholar]
  60. Chen, C.X.; Pierobon, F.; Ganguly, I. Life Cycle Assessment (LCA) of Cross-Laminated Timber (CLT) Produced in Western Washington: The Role of Logistics and Wood Species Mix. Sustainability 2019, 11, 1278. [Google Scholar] [CrossRef] [Green Version]
  61. Huang, M.; Chen, C.X.; Pierobon, F.; Ganguly, I.; Simonen, K. Life Cycle Assessment of Katerra’s Cross-Laminated Timber (CLT) and Catalyst Building: Final Report; University of Washington: Washington, DC, USA, 2019. [Google Scholar]
Figure 1. Case study buildings: (left) low-energy MT design; (right) mainstream RC alternative.
Figure 1. Case study buildings: (left) low-energy MT design; (right) mainstream RC alternative.
Sustainability 14 01249 g001
Figure 3. LCA system boundary used in this study.
Figure 3. LCA system boundary used in this study.
Sustainability 14 01249 g003
Figure 4. Illustrative construction assemblies for the mainstream RC building alternative. (a) exterior wall; (b) exterior roof; (c) load-bearing partition; (d) non-load bearing partition.
Figure 4. Illustrative construction assemblies for the mainstream RC building alternative. (a) exterior wall; (b) exterior roof; (c) load-bearing partition; (d) non-load bearing partition.
Sustainability 14 01249 g004
Figure 5. Illustrative construction assemblies for the low-energy MT building design. (a) exterior wall; (b) exterior roof; (c) demising wall; (d) demising slab; (e) core wall.
Figure 5. Illustrative construction assemblies for the low-energy MT building design. (a) exterior wall; (b) exterior roof; (c) demising wall; (d) demising slab; (e) core wall.
Sustainability 14 01249 g005
Figure 6. Material contribution by mass for the MT design and mainstream RC alternative.
Figure 6. Material contribution by mass for the MT design and mainstream RC alternative.
Sustainability 14 01249 g006
Figure 7. Summary of carbon emissions through all lifecycle stages considered in the analysis. (a) product stage; (b) construction stage; (c) use stage; (d) lifecycle carbon emissions.
Figure 7. Summary of carbon emissions through all lifecycle stages considered in the analysis. (a) product stage; (b) construction stage; (c) use stage; (d) lifecycle carbon emissions.
Sustainability 14 01249 g007
Figure 8. Summary of primary energy use through all of the lifecycle stages considered in the analysis. (a) product stage; (b) construction stage; (c) use stage; (d) lifecycle embodied energy.
Figure 8. Summary of primary energy use through all of the lifecycle stages considered in the analysis. (a) product stage; (b) construction stage; (c) use stage; (d) lifecycle embodied energy.
Sustainability 14 01249 g008
Figure 9. Materials’ contributions to GWP.
Figure 9. Materials’ contributions to GWP.
Sustainability 14 01249 g009
Table 1. Passive design features applied to the low-energy MT building.
Table 1. Passive design features applied to the low-energy MT building.
Design ParameterIndicatorLow-Energy MT BuildingMainstream RC Building
Thermal resistanceRoof R-value (W/m2K)2.32.1
Wall R-value (W/m2K)1.50.5
Glazing R-value (W/m2K)0.180.18
Thermal capacityInternal heat capacity (kJ/m2K)165225
Building glazing areaNet glazing surface (m2)7.27.2
Glazing to floor ratioGFR of habitable rooms (%)2010
Orientation of glazingNorth glazing areas (%)8555
South glazing areas (%)1545
Night insulationBlinds U-value (W/m2K)0.9-
Operable ventsAir exchange rate (ACH) 0.31.0
Operable shadingExterior louvers (SF) 10.4-
1 The shading factor (SF) is 1 in the absence of shading and 0 in the case of total shading.
Publisher’s Note: MDPI stays neutral with regard to jurisdictional claims in published maps and institutional affiliations.

Share and Cite

MDPI and ACS Style

Felmer, G.; Morales-Vera, R.; Astroza, R.; González, I.; Puettmann, M.; Wishnie, M. A Lifecycle Assessment of a Low-Energy Mass-Timber Building and Mainstream Concrete Alternative in Central Chile. Sustainability 2022, 14, 1249. https://doi.org/10.3390/su14031249

AMA Style

Felmer G, Morales-Vera R, Astroza R, González I, Puettmann M, Wishnie M. A Lifecycle Assessment of a Low-Energy Mass-Timber Building and Mainstream Concrete Alternative in Central Chile. Sustainability. 2022; 14(3):1249. https://doi.org/10.3390/su14031249

Chicago/Turabian Style

Felmer, Gabriel, Rodrigo Morales-Vera, Rodrigo Astroza, Ignacio González, Maureen Puettmann, and Mark Wishnie. 2022. "A Lifecycle Assessment of a Low-Energy Mass-Timber Building and Mainstream Concrete Alternative in Central Chile" Sustainability 14, no. 3: 1249. https://doi.org/10.3390/su14031249

APA Style

Felmer, G., Morales-Vera, R., Astroza, R., González, I., Puettmann, M., & Wishnie, M. (2022). A Lifecycle Assessment of a Low-Energy Mass-Timber Building and Mainstream Concrete Alternative in Central Chile. Sustainability, 14(3), 1249. https://doi.org/10.3390/su14031249

Note that from the first issue of 2016, this journal uses article numbers instead of page numbers. See further details here.

Article Metrics

Back to TopTop