The Relationships among Microelement Composition of Reindeer Meat (Rangifer tarandus) and Adaptation: A Systematic Review and Meta-Analysis
Abstract
1. Introduction
2. Materials and Methods
2.1. Search Strategy
2.2. Inclusion Criteria
2.3. Study Selection, Data Extraction and Assessment of Methodological Quality and Risk of Bias
2.4. Data Analysis and Synthesis
3. Results
3.1. General Characteristics
3.2. Macro- and Microelement Composition in Reindeer Meat: Heterogeneity Analysis
3.2.1. Magnesium
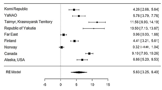
3.2.2. Iron
3.2.3. Zinc
3.2.4. Calcium
3.2.5. Potassium
3.2.6. Sodium
3.2.7. Phosphorus
4. Discussion
5. Conclusions
Author Contributions
Funding
Institutional Review Board Statement
Informed Consent Statement
Acknowledgments
Conflicts of Interest
Appendix A
| Section/Topic | # | Checklist Item | Reported on Page # |
|---|---|---|---|
| TITLE | |||
| Title | 1 | Identify the report as a systematic review, meta-analysis, or both. | 1 |
| ABSTRACT | |||
| Structured summary | 2 | Provide a structured summary including, as applicable: background; objectives; data sources; study eligibility criteria, participants, and interventions; study appraisal and synthesis methods; results; limitations; conclusions and implications of key findings; systematic review registration number. | 1 |
| INTRODUCTION | |||
| Rationale | 3 | Describe the rationale for the review in the context of what is already known. | 1–3 |
| Objectives | 4 | Provide an explicit statement of questions being addressed with reference to participants, interventions, comparisons, outcomes, and study design (PICOS). | 2–3 |
| METHODS | |||
| Protocol and registration | 5 | Indicate if a review protocol exists, if and where it can be accessed (e.g., Web address), and, if available, provide registration information including registration number. | N/A |
| Eligibility criteria | 6 | Specify study characteristics (e.g., PICOS, length of follow-up) and report characteristics (e.g., years considered, language, publication status) used as criteria for eligibility, giving rationale. | 3–4 |
| Information sources | 7 | Describe all information sources (e.g., databases with dates of coverage, contact with study authors to identify additional studies) in the search and date last searched. | 3–4 |
| Search | 8 | Present full electronic search strategy for at least one database, including any limits used, such that it could be repeated. | 3-4 |
| Study selection | 9 | State the process for selecting studies (i.e., screening, eligibility, included in systematic review, and, if applicable, included in the meta-analysis). | 3–4 |
| Data collection process | 10 | Describe method of data extraction from reports (e.g., piloted forms, independently, in duplicate) and any processes for obtaining and confirming data from investigators. | 4–5 |
| Data items | 11 | List and define all variables for which data were sought (e.g., PICOS, funding sources) and any assumptions and simplifications made. | 4–5 |
| Risk of bias in individual studies | 12 | Describe methods used for assessing risk of bias of individual studies (including specification of whether this was done at the study or outcome level), and how this information is to be used in any data synthesis. | 5 |
| Summary measures | 13 | State the principal summary measures (e.g., risk ratio, difference in means). | 5 |
| Synthesis of results | 14 | Describe the methods of handling data and combining results of studies, if done, including measures of consistency (e.g., I2) for each meta-analysis. | 5 |
| Risk of bias across studies | 15 | Specify any assessment of risk of bias that may affect the cumulative evidence (e.g., publication bias, selective reporting within studies). | 5, Appendix B |
| Additional analyses | 16 | Describe methods of additional analyses (e.g., sensitivity or subgroup analyses, meta-regression), if done, indicating which were pre-specified. | N/A |
| RESULTS | |||
| Study selection | 17 | Give numbers of studies screened, assessed for eligibility, and included in the review, with reasons for exclusions at each stage, ideally with a flow diagram. | 5–6 |
| Study characteristics | 18 | For each study, present characteristics for which data were extracted (e.g., study size, PICOS, follow-up period) and provide the citations. | 5–14 |
| Risk of bias within studies | 19 | Present data on risk of bias of each study and, if available, any outcome level assessment (see item 12). | 6–14 |
| Results of individual studies | 20 | For all outcomes considered (benefits or harms), present, for each study: (a) simple summary data for each intervention group (b) effect estimates and confidence intervals, ideally with a forest plot. | 6–14 |
| Synthesis of results | 21 | Present results of each meta-analysis done, including confidence intervals and measures of consistency. | 6–14 |
| Risk of bias across studies | 22 | Present results of any assessment of risk of bias across studies (see Item 15). | 6–14 |
| Additional analysis | 23 | Give results of additional analyses, if done (e.g., sensitivity or subgroup analyses, meta-regression [see Item 16]). | N/A |
| DISCUSSION | |||
| Summary of evidence | 24 | Summarize the main findings including the strength of evidence for each main outcome; consider their relevance to key groups (e.g., healthcare providers, users, and policy makers). | 14–17 |
| Limitations | 25 | Discuss limitations at study and outcome level (e.g., risk of bias), and at review-level (e.g., incomplete retrieval of identified research, reporting bias). | 16–17 |
| Conclusions | 26 | Provide a general interpretation of the results in the context of other evidence, and implications for future research. | 17 |
| FUNDING | |||
| Funding | 27 | Describe sources of funding for the systematic review and other support (e.g., supply of data); role of funders for the systematic review. | 17 |
Appendix B
| Quality Criteria checklists | [3] | [85] | [88] | [89] | [84] | [90] | [91] | [92] | [39] |
| Year | 2019 | 2019 | 2010 | 2011 | 2014 | 2016 | 2017 | 2019 | 2019 |
| Relevance questions | |||||||||
| 1 | Yes | Yes | Yes | Yes | Yes | Yes | Yes | Yes | Yes |
| 2 | Yes | Yes | Yes | Yes | Yes | Yes | Yes | Yes | Yes |
| 3 | Yes | Yes | Yes | Yes | Yes | Yes | Yes | Yes | Yes |
| 4 | N/A | N/A | N/A | N/A | N/A | N/A | N/A | N/A | N/A |
| Validity Questions | |||||||||
| 1 | Yes | Yes | Yes | Yes | Yes | Yes | Yes | Yes | Yes |
| 2 | Yes | Yes | Yes | Yes | Yes | Yes | Yes | Yes | Yes |
| 3 | Yes | Yes | Yes | Yes | Yes | Yes | Yes | Yes | Yes |
| 4 | N/A | N/A | N/A | N/A | N/A | N/A | N/A | N/A | N/A |
| 5 | Yes | Yes | Yes | Yes | Yes | Yes | Yes | Yes | Yes |
| 6 | Yes | Yes | Yes | Yes | Yes | Yes | Yes | Yes | Yes |
| 7 | Yes | Yes | Yes | Yes | Yes | Yes | Yes | Yes | Yes |
| 8 | Yes | Yes | Yes | Yes | Yes | Yes | Yes | Yes | Yes |
| 9 | Yes | Yes | Yes | Yes | Yes | Yes | Yes | Yes | Yes |
| 10 | Yes | Yes | Yes | Yes | Yes | Yes | Yes | Yes | Yes |
| Quality Rating (+,0,−) | + | + | + | + | + | + | + | + | + |
| Quality Criteria checklists | [19] | [21] | [22] | [98] | [95] | [96] | [74] | [97] | |
| Year | 1992 | 2000 | 2002 | 2002 | 2012 | 2012 | 2012 | 2013 | |
| Relevance questions | |||||||||
| 1 | Yes | Yes | Yes | Yes | Yes | Yes | Yes | Yes | |
| 2 | Yes | Yes | Yes | Yes | Yes | Yes | Yes | Yes | |
| 3 | Yes | Yes | Yes | Yes | Yes | Yes | Yes | Yes | |
| 4 | N/A | N/A | N/A | N/A | N/A | N/A | N/A | N/A | |
| Validity Questions | |||||||||
| 1 | Yes | Yes | Yes | Yes | Yes | Yes | Yes | Yes | |
| 2 | Yes | Yes | Yes | Yes | Yes | Yes | Yes | Yes | |
| 3 | Yes | Yes | Yes | Yes | Yes | Yes | Yes | Yes | |
| 4 | N/A | N/A | N/A | N/A | N/A | N/A | N/A | N/A | |
| 5 | Yes | Yes | Yes | Yes | Yes | Yes | Yes | Yes | |
| 6 | Yes | Yes | Yes | Yes | Yes | Yes | Yes | Yes | |
| 7 | Yes | Yes | Yes | Yes | Yes | Yes | Yes | Yes | |
| 8 | Yes | Yes | Yes | Yes | Yes | Yes | Yes | Yes | |
| 9 | Yes | Yes | Yes | Yes | Yes | Yes | Yes | Yes | |
| 10 | Yes | Yes | Yes | Yes | Yes | Yes | Yes | Yes | |
| Quality Rating (+,0,−) | + | + | + | + | + | + | + | + | |
| Quality Criteria checklists | [107] | [108] | [109] | [102] | [103] | [104] | [105] | [106] | |
| Year | 1995 | 1997 | 2007 | 2010 | 2011 | 2014 | 2020 | 2021 | |
| Relevance questions | |||||||||
| 1 | Yes | Yes | Yes | Yes | Yes | Yes | Yes | Yes | |
| 2 | Yes | Yes | Yes | Yes | Yes | Yes | Yes | Yes | |
| 3 | Yes | Yes | Yes | Yes | Yes | Yes | Yes | Yes | |
| 4 | N/A | N/A | N/A | N/A | N/A | N/A | N/A | N/A | |
| Validity Questions | |||||||||
| 1 | Yes | Yes | Yes | Yes | Yes | Yes | Yes | N/A | |
| 2 | Yes | Yes | Yes | Yes | Yes | Yes | Yes | N/A | |
| 3 | Yes | Yes | Yes | Yes | Yes | Yes | Yes | Yes | |
| 4 | N/A | N/A | N/A | N/A | N/A | N/A | N/A | N/A | |
| 5 | Yes | Yes | Yes | Yes | Yes | Yes | Yes | Yes | |
| 6 | Yes | Yes | Yes | Yes | Yes | Yes | Yes | Yes | |
| 7 | Yes | Yes | Yes | Yes | Yes | Yes | Yes | Yes | |
| 8 | Yes | Yes | Yes | Yes | Yes | Yes | Yes | Yes | |
| 9 | Yes | Yes | Yes | N/A | N/A | N/A | N/A | N/A | |
| 10 | Yes | Yes | Yes | Yes | Yes | Yes | Yes | Yes | |
| Quality Rating (+,0,−) | + | + | + | + | + | + | + | + | |
| Quality Criteria checklists | [83] | [100] | [27] | [87] | [38] | [101] | [99] | [93] | [94] |
| Year | 1999 | 2006 | 2009 | 2009 | 2018 | 2019 | 2019 | 2020 | 2013 |
| Relevance questions | |||||||||
| 1 | Yes | Yes | Yes | Yes | Yes | Yes | Yes | Yes | Yes |
| 2 | Yes | Yes | Yes | Yes | Yes | Yes | Yes | Yes | Yes |
| 3 | Yes | Yes | Yes | Yes | Yes | Yes | Yes | Yes | Yes |
| 4 | N/A | N/A | N/A | N/A | N/A | N/A | N/A | N/A | N/A |
| Validity Questions | |||||||||
| 1 | Yes | Yes | Yes | Yes | Yes | Yes | Yes | N/A | Yes |
| 2 | Yes | N/A | N/A | Yes | Yes | N/A | N/A | N/A | Yes |
| 3 | Yes | Yes | Yes | Yes | Yes | Yes | Yes | Yes | Yes |
| 4 | N/A | N/A | N/A | N/A | N/A | N/A | N/A | N/A | N/A |
| 5 | Yes | Yes | Yes | Yes | Yes | Yes | Yes | Yes | Yes |
| 6 | Yes | Yes | Yes | Yes | Yes | Yes | Yes | Yes | Yes |
| 7 | Yes | Yes | Yes | Yes | Yes | Yes | Yes | Yes | Yes |
| 8 | Yes | Yes | Yes | Yes | Yes | Yes | Yes | Yes | Yes |
| 9 | Yes | N/A | N/A | Yes | Yes | N/A | N/A | N/A | Yes |
| 10 | Yes | Yes | Yes | Yes | Yes | Yes | Yes | Yes | Yes |
| Quality Rating (+,0,−) | + | + | + | + | + | + | + | + | + |
References
- Atsusi, Y. Kul’tura Pitaniya Gydanskih Nencev: (Interpretaciya i Social’naya Adaptaciya) [Food Culture of the Gydan Nenets: (Interpretation and Social Adaptation)]; Russian Academy of Sciences: Moscow, Russia, 1997; 252p. [Google Scholar]
- Inerbaeva, A.T. Ocenka kachestva i bezopasnosti oleniny i myasnyh izdelij na ee osnove [Assessment of the quality and safety of venison and meat products based on it]. Sib. Her. Agric. Sci. 2018, 48, 80–86. [Google Scholar] [CrossRef]
- Semenova, A.A.; Derevickaya, O.K.; Dydykin, A.S.; Aslanova, M.A.; Vostrikova, N.L.; Ivankin, A.N. Harakternye osobennosti nutrientnogo sostava vorkutinskoj oleniny, obuslovlennye usloviyami regiona proiskhozhdeniya [Characteristic features of the nutritional composition of the Vorkuta venison, conditioned by the conditions of the region of origin]. Probl. Nutr. 2019, 88, 72–79. [Google Scholar] [CrossRef]
- Kozlov, A.I. Pishcha Lyudej [Human Food]; Vek 2: Fryazino, Russia, 2005; 272p. [Google Scholar]
- Moldanova, T.A. Pishcha kak element etnicheskoj identichnosti i mezhkul’turnogo vzaimodejstviya [Food as an element of ethnic identity and intercultural interaction]. Bull. Ugric Stud. 2017, 7, 131–143. [Google Scholar]
- Andronov, S.V.; Bogdanova, E.N.; Lobanov, A.A.; Voronenko, A.G.; Gritsenko, V.N.; Detter, G.P.; Kobelkova, I.V.; Kochkin, R.A.; Lobanova, L.P.; Popov, A.I.; et al. Food Security of the Indigenous Peoples of the Arctic Zone of Western Siberia in the Context of Globalization and Climate Change; Publishing House KIRA: Arkhangelsk, Russia, 2020; 374p. [Google Scholar]
- Andronov, S.; Lobanov, A.; Popov, A.; Luo, Y.; Shaduyko, O.; Fesyun, A.; Lobanova, L.; Bogdanova, E.; Kobel’Kova, I. Changing diets and traditional lifestyle of Siberian Arctic Indigenous Peoples and effects on health and well-being. Ambio 2020, 50, 1–12. [Google Scholar] [CrossRef]
- Bogdanova, E.; Lobanov, A.; Andronov, S.; Popov, A.; Kochkin, R.; Morell, I.A. Traditional nutrition of Indigenous peoples in the Arctic zone of Western Siberia. Challenges and impact on food security and health. In Food Security in the High North Contemporary Challenges Across the Circumpolar Region; Taylor & Francis Group Series; Routledge Research in Polar Regions: London, UK, 2020. [Google Scholar] [CrossRef]
- Bogdanova, E.; Andronov, S.; Morell, I.A.; Hossain, K.; Raheem, D.; Filant, P.; Lobanov, A. Food Sovereignty of the Indigenous Peoples in the Arctic Zone of Western Siberia: Response to COVID-19 Pandemic. Int. J. Environ. Res. Public Health 2020, 17, 7570. [Google Scholar] [CrossRef]
- Pavlinov, I.Y.A.; Lisovskij, A.A. Mlekopitayushchie Rossii: Sistematiko-Geograficheskij Spravochnik [Mammals of Russia: A Taxonomy-Geographical Reference Book]; Tovarishchestvo nauchnyh izdanij KMK: Moscow, Russia, 2012; 604p. [Google Scholar]
- Gunn, A. Rangifer tarandus. In The IUCN Red List of Threatened Species; E.T29742A22167140; 2016; Available online: https://www.iucnredlist.org/species/29742/22167140 (accessed on 10 March 2021).
- Rosstat. Bulletin “Pogolov’e Skota v Rossijskoj Federacii v 2020 Godu” [Bulletin “Livestock in the Russian Federation in 2020”]; ROSSTAT: Moscow, Russia, 2021; p. 8.
- Ohrana Okruzhayushchej Sredy v Rossii [Environmental Protection in Russia]; ROSSTAT: Moscow, Russia, 2016; 95p.
- Lajshev, K.A.; Yuzhakov, A.A.; Muhachev, A.D. Vliyanie razlichnyh faktorov na himicheskij sostav i kalorijnost’ myasa domashnih severnyh olenej [Influence of various factors on the chemical composition and caloric content of domestic reindeer meat]. Actual Quest. Vet. Biol. 2021, 3, 62–67. [Google Scholar]
- Kushnir, A.V.; Yuzhakov, A.A.; Zakrevskij, S.R.; Polukeev, S.M. Biohimicheskij polimorfizm po koncentracii kaliya v krovi severnyh olenej neneckoj aborigennoj porody [Biochemical polymorphism in the concentration of potassium in the blood of reindeer of the Nenets aboriginal breed]. Sib. Her. Agric. Sci. 2007, 6, 51–58. [Google Scholar]
- Ophof, A.A.; Oldeboer, K.W.; Kumpula, J. Intake and chemical composition of winter and spring forage plants consumed by semi-domesticated reindeer (Rangifer tarandus) in Northern Finland. Anim. Feed. Sci. Technol. 2013, 185, 190–195. [Google Scholar] [CrossRef]
- Schaefer, O. Changing Dietary patterns in the Canadian North: Health, social and economic consequences. J. Can. Diet. Assoc. 1977, 38, 17–25. [Google Scholar]
- Hoppner, K.; McLaughlan, J.M.; Shah, B.G.; Thompson, J.N.; Beare-Rogers, J.; Ellestad-Sayed, J.; Schaefer, O. Nutrient levels of some foods of Eskimos from Arctic Bay, N.W.T., Canada. J. Am. Diet. Assoc. 1978, 73, 257–261. [Google Scholar] [CrossRef]
- Kuhnlein, H.V.; Soueida, R. Use and nutrient composition of traditional Baffin Inuit foods. J. Food Compos. Anal. 1992, 5, 112–126. [Google Scholar] [CrossRef]
- Kuhnlein, H.V.; Soueida, R.; Receveur, O. Dietary nutrient profiles of Canadian Baffin Island Inuit differ by food source, season and age. J. Am. Diet. Assoc. 1996, 96, 155–162. [Google Scholar] [CrossRef]
- Kuhnlein, H.V.; Receveur, O.; Chan, H.M.; Loring, E. Assessment of Dietary Benefit/Risk in Inuit Communities; Technical report; Centre for Indigenous Peoples’ Nutrition and Environment (CINE), McGill: Quebec City, QC, Canada, 2000; 458p, ISBN 0-7717-0558-1. Available online: https://www.mcgill.ca/cine/files/cine/assessment_of_dietary_benefit_risk_in_inuit_communities.pdf (accessed on 10 March 2021).
- Kuhnlein, H.V.; Chan, H.M.; Leggee, D.; Barthet, V. Macronutrient, mineral and fatty acid composition of Canadian Arctic traditional food. J. Food Compos. Anal. 2002, 15, 545–566. [Google Scholar] [CrossRef]
- Kuhnlein, H.V.; Receveur, O.; Soueida, R.; Egeland, G.M. Arctic Indigenous Peoples experience the nutrition transition with changing dietary patterns and obesity. J. Nutr. 2004, 134, 1447–1453. [Google Scholar] [CrossRef]
- Kuhnlein, H.V.; Barthet, V.; Farren, A.; Falahi, E.; Leggee, D.; Receveur, O.; Berti, P. Vitamins A, D, and E in Canadian Arctic traditional food and adult diets. J. Food Compos. Anal. 2006, 19, 495–506. [Google Scholar] [CrossRef]
- Kuhnlein, H.V.; Erasmus, B.; Spigelski, D. Indigenous Peoples’ Food Systems: The Many Dimensions of Culture, Diversity and Environment for Nutrition and Health; United Nations Food and Agriculture Organization: Rome, Italy, 2009; 337p, ISBN 978-92-5-106071-1. Available online: http://www.fao.org/3/a-i0370e.pdf (accessed on 10 March 2021).
- Nobmann, E. Nutrient Value of Alaska Native Foods; U.S. Department of Health and Human Services, Indian Health Service, Alaska Area Native Health Service: Anchorage, AK, USA, 1993.
- USDA Nutrient Database for Standard Reference, Legacy Release 22; Ag Data Commons, U.S. Department of Agriculture: Beltsville, MD, USA, 2009. Available online: https://data.nal.usda.gov/dataset/usda-national-nutrient-database-standard-reference-legacy-release (accessed on 10 March 2021).
- Lobanov, A.A.; Lobanova, L.P.; Popov, A.I.; Andronov, S.V.; Kochkin, R.A.; Kostritsyn, V.V.; Protasova, I.V. The Composition for the Preparation of Crackers, Food Additive for It and the Method of Its Preparation. Patent RU 2690451 C1, 3 June 2019. [Google Scholar]
- Andronov, S.; Lobanov, A.; Popov, A.; Lobanova, L.; Kochkin, R.; Bogdanova, E.; Protasova, I. The impact of traditional nutrition on reduction of the chronic nonobstructive bronchitis risk in the indigenous peoples living in tundra of the Arctic zone in Western Siberia, Russia. Eur. Respir. J. 2018, 52, PA796. [Google Scholar] [CrossRef]
- Romanenko, T.M. Struktura raciona severnyh olenej v ekologicheskih usloviyah vypasa bol’shezemel’skoj tundry Neneckogo avtonomnogo okruga [The structure of the diet of reindeer in the ecological conditions of grazing on the Bolshezemelskaya tundra of the Nenets Autonomous Okrug]. In Global’nye Problemy Arktiki i Antarktiki; FITS RAN: Arkhangelsk, Russia, 2020; pp. 1111–1113. [Google Scholar]
- Ilyina, L.A.; Filippova, V.A.; Laishev, K.A.; Yildirim, E.A.; Dunyashev, T.P.; Brazhnik, E.A.; Dubrovin, A.V.; Sobolev, D.V.; Tyurina, D.G.; Novikova, N.I.; et al. Sezonnye izmeneniya mikro-bioma rubca u severnogo olenya (rangifer tarandus) v usloviyah rossijskoj Arktiki [Seasonal changes in the rumen microbiome in reindeer (rangifer tarandus) in the Russian Arctic]. Agric. Biol. 2020, 55, 697–713. [Google Scholar]
- Ilyina, L.A.; Laishev, K.A.; Yildirim, E.A.; Filippova, V.A.; Dunyashev, T.P.; Dubrovin, A.V.; Sobolev, D.V.; Novikova, N.I.; Laptev, G.Y.; Yuzhakov, A.A.; et al. Mesto obitaniya kak opredelyayushchij faktor formirovaniya mikrobioma rubca u severnyh olenej v Arkticheskoj Rossii [Habitat as a determining factor in the formation of the rumen microbiome in reindeer in Arctic Russia]. Agric. Biol. 2019, 54, 1177–1187. [Google Scholar]
- Kim, Y.M. O biologicheskoj cennosti myasa severnogo olenya v zavisimosti ot vremeni goda [On the biological value of reindeer meat depending on the season]. Bull. Sci. Tech. Inf. Res. Inst. High North 1972, 2, 5–7. [Google Scholar]
- Kim, Y.M. Himicheskij Sostav i Pishchevaya Cennost’ Myasa Domashnih Severnyh Olenej [Chemical Composition and Nutritional Value of Domestic Reindeer Meat]; Moscow Veterinary Academy named after K.I.Skryabin: Moscow, Russia, 1973; 23p. [Google Scholar]
- Kim, Y.M. Kolichestvennyj i kachestvennyj sostav svobodnyh aminokislot myshechnoj tkani severnyh olenej v zavisimosti ot vremeni goda [Quantitative and qualitative composition of free amino acids in the muscle tissue of reindeer depending on the season]. Bull. Sci. Tech. Inf. Res. Inst. High North 1974, 2–4, 17–19. [Google Scholar]
- Kondrat, A.M. Soderzhanie Makro- (Ca, P, Mg, Na, K) i Mikroelementov (Fe, Cu, Mn, Co) v Tkanyah, Organah Domashnih Olenej i Pastbishchnyh Rasteniyah Severo-Vostochnogo Zabajkal’ya [Content of Macro- (Ca, P, Mg, Na, K) and Microelements (Fe, Cu, Mn, Co) in Tissues, Organs of Domestic deer and Pasture Plants of Northeastern Transbaikalia]; All-Union Academy of Agricultural Sciences Sciences named after V. I. Lenin: Borovsk, Russia, 1975; 16p. [Google Scholar]
- Bogdan, E.G.; Turshuk, E.G. Harakteristika oleniny. Issledovanie vitaminnogo i zhirno-kislotnogo sostava myasa odomashnennogo severnogo olenya [Venison characteristics. Study of the vitamin and fatty acid composition of the meat of a domesticated reindeer]. Bull. MSTU 2016, 19, 842–847. [Google Scholar] [CrossRef]
- Bogdan, E.G.; Turshuk, E.G. Sposob Proizvodstva Marinovannyh Melkokuskovyh Myasnyh Polufabrikatov [Method for the Production of Marinated Small-Sized Meat Semi-Finished Products]. Patent of the Russian Federation RU2649641C1, 4 April 2018. [Google Scholar]
- Bogdan, E.G. Razrabotka Tekhnologii i Tovarovednaya Ocenka Myasnyh Kulinarnyh Izdelij iz Myasa Odomashnennogo Severnogo Olenya [Development of Technology and Commodity Assessment of Meat Culinary Products from Meat of a Domesticated Reindeer]. Ph.D. Thesis, Moscow State University of Food Production, Moscow, Russia, 2019; 201p. [Google Scholar]
- Tutelyan, V.A. Himicheskij Sostav i Kalorijnosti Rossijskih Produktov Pitaniya [Chemical Composition and Caloric Content of Russian Food Products]; DeLi plus: Moscow, Russia, 2012; 284p. [Google Scholar]
- Ermosh, L.G.; Safronova, T.N.; Evtukhova, O.M.; Kazina, V.V. Analiz pitaniya rabotnikov tyazhelogo truda, vahtovym metodom v usloviyah Krajnego Severa. Rossijskaya Arktika [Analysis of the nutrition of workers of hard labor, on a rotational basis in the High North]. Russ. Arct. 2018, 3, 71–92. [Google Scholar] [CrossRef]
- Caballero, B.; Allen, L.; Prentice, A. Encyclopedia of Human Nutrition; Elsevier Inc.: Amsterdam, The Netherlands, 2012; 2190p. [Google Scholar]
- Garry, M.R.; Shock, S.S.; Salatas, J.; Dau, J. Application of a weight of evidence approach to evaluating risks associated with subsistence caribou consumption near a lead/zinc mine. Sci. Total Environ. 2018, 619–620, 1340–1348. [Google Scholar] [CrossRef] [PubMed]
- Petrenya, N.; Rylander, C.; Brustad, M. Dietary patterns of adults and their associations with Sami ethnicity, sociodemographic factors, and lifestyle factors in a rural multiethnic population of northern Norway—The SAMINOR 2 clinical survey. BMC Public Health 2019, 19, 1632. [Google Scholar] [CrossRef]
- Borch-Iohnsen, B.; Nilssen, K.J.; Norheim, G. Influence of season and diet on liver and kidney content of essential elements and heavy metals in svalbard reindeer. Biol. Trace Elem. Res. 1996, 51, 235–247. [Google Scholar] [CrossRef]
- Moher, D.; Liberati, A.; Tetzlaff, J.; Altman, D.G. The PRISMA Group. Preferred Reporting Items for Systematic Reviews and Meta-Analyses: The PRISMA Statement. PLoS Med. 2019, 6, e1000097. [Google Scholar] [CrossRef]
- Page, M.J.; McKenzie, J.E.; Bossuyt, P.M.; Boutron, I.; Hoffmann, T.C.; Mulrow, C.D.; Shamseer, L.; Tetzlaff, J.M.; Akl, E.A.; Brennan, S.E.; et al. The PRISMA 2020 statement: An updated guideline for reporting systematic reviews. BMJ 2021, 372, n71. [Google Scholar] [CrossRef]
- Liberati, A.; Altman, D.G.; Tetzlaff, J.; Mulrow, C.; Gøtzsche, P.C.; Ioannidis, J.P.; Clarke, M.; Devereaux, P.J.; Kleijnen, J.; Moher, D. The PRISMA statement for reporting systematic reviews and meta-analyses of studies that evaluate health care interventions: Explanation and elaboration. PLoS Med. 2009, 6, e1000100. [Google Scholar] [CrossRef]
- National Standard GOST R 51447-99 (ISO 3100-1-91); Myaso i Myasnye Produkty. Metody Otbora Prob [Meat and Meat Products. Sampling Methods]. Gosstandart: Moscow, Russia, 2001.
- R 4.1.1672–03. Rukovodstvo po Metodam Kontrolya Kachestva i Bezopasnosti Biologicheski Aktivnyh Dobavok k Pishche [Guidelines for Quality Control and Safety of Dietary Supplements]; Federal Center for State Sanitary and Epidemiological Supervision of the Ministry of Health of Russia: Moscow, Russia, 2004; 240p.
- National Standard GOST 30178-96; Syr’e i Produkty Pishchevye. Atomno-Absorbcionnyj Metod Opredeleniya Toksichnyh Elementov [Raw Materials and Food Products. Atomic Absorption Method for the Determination of Toxic Elements]. Gosstandart: Moscow, Russia, 1998.
- Fowkes, F.G.; Fulton, P.M. Critical appraisal of published research: Introductory guidelines. BMJ 1991, 302, 1136–1140. [Google Scholar] [CrossRef]
- Myers, E.F.; Parrott, J.S.; Cummins, D.S.; Splett, P. Funding Source and Research Report Quality in Nutrition Practice-Related Research. PLoS ONE 2011, 6, e28437. [Google Scholar] [CrossRef]
- Evidence Analysis Manual: Steps in the ADA Evidence Analysis Process; Research and Strategic Business Development, American Dietic Association: Chicago, IL, USA, 2010; 31p, Available online: https://journals.plos.org/plosone/article/file?type=supplementary&id=info:doi/10.1371/journal.pone.0028437.s001 (accessed on 10 March 2021).
- Higgins, J.P.T.; Thompson, S.G.; Deeks, J.J.; Altman, D.G. Measuring inconsistency in meta-analyses. BMJ 2003, 327, 557–560. [Google Scholar] [CrossRef]
- Higgins, J.P.; Thompson, S.G. Quantifying heterogeneity in a meta-analysis. Stat. Med. 2002, 21, 1539–1558. [Google Scholar] [CrossRef]
- Rosenthal, R. Parametric measures of effect size. In The Handbook of Research Synthesis; Russell Sage Foundation: New York, NY, USA, 1994; pp. 231–244. [Google Scholar]
- Chinn, S. A simple method for converting an odds ratio to effect size for use in meta-analysis. Stat. Med. 2000, 19, 3127–3131. [Google Scholar] [CrossRef]
- Higgins, J.P.; Thompson, S.G.; Spiegelhalter, D.J. A re-evaluation of random-effects meta-analysis. J. R. Stat. Soc. Ser. A Stat. Soc. 2009, 172, 137–159. [Google Scholar] [CrossRef]
- Egger, M.; Smith, G.D.; Schneider, M.; Minder, C. Bias in meta-analysis detected by a simple, graphical test. BMJ 1997, 315, 629–634. [Google Scholar] [CrossRef]
- Rosenblad, A.; Borenstein, M.; Hedges, L.V.; Higgins, J.P.T.; Rothstein, H.R. Introduction to meta-analysis. Int. Stat. Rev. 2009, 77, 478–479. [Google Scholar] [CrossRef]
- The Jamovi Project. *jamovi* (Version 1.2) (Computer Software). 2020. Available online: https://www.jamovi.org (accessed on 10 March 2021).
- Hamilton, K. MAJOR—Meta-Analysis for JAMOVI. 2018. Available online: https://github.com/kylehamilton/MAJOR#major-meta-analysis-jamovi-r (accessed on 10 March 2021).
- Viechtbauer, W. Conducting meta-analyses in R with the metafor package. J. Stat. Softw. 2010, 36, 1–48. [Google Scholar] [CrossRef]
- Miranda, G.H.N.; Alvarenga, M.O.P.; Ferreira, M.K.M.; Puty, B.; Bittencourt, L.O.; Fagundes, N.C.F.; Pessan, J.P.; Buzalaf, M.A.R.; Lima, R.R. A systematic review and meta-analysis of the association between fluoride exposure and neurological disorders. Sci. Rep. 2021, 11, 22659. [Google Scholar] [CrossRef]
- Higgins, J.P.; Altman, D.G.; Gøtzsche, P.C.; Jüni, P.; Moher, D.; Oxman, A.D.; Savović, J.; Schulz, K.F.; Weeks, L.; Sterne, J.A.C.; et al. Te Cochrane Collaboration’s tool for assessing risk of bias in randomised trials. BMJ 2011, 343, d5928. [Google Scholar] [CrossRef]
- Wiklund, E.; Farouk, M.; Finstad, G. Venison: Meat from red deer (Cervus elaphus) and reindeer (Rangifer tarandus tarandus). Anim. Front. 2014, 4, 55–61. [Google Scholar] [CrossRef]
- Stashko, F.S.; Makarenko, E.N. Sostav zhirnykh kislot i fosfolipidov miasa domashnikh severnykh oleneĭ [Fatty acid and phospholipid content of the meat of domesticated reindeer]. Probl. Nutr. 1977, 2, 73–75. [Google Scholar]
- Wikner, M.; Nordberg, G.F.; Nordberg, M.; Garvey, J.S. Copper and cadmium binding proteins from liver and kidney of moose and reindeer. Arct. Med. Res. 1988, 47 (Suppl. S1), 179–184. [Google Scholar]
- Wiklund, E.; Pickova, J.; Sampels, S.; Lundstrom, K. Fatty acid composition of M. longissimus lumborum, ultimate muscle pH values and carcass parameters in reindeer (Rangifer tarandus tarandus L) grazed on natural pasture or fed a commercial feed mixture. Meat Sci. 2001, 58, 293–298. [Google Scholar] [CrossRef]
- Robillard, S.; Beauchamp, G.; Paillard, G.; Bélanger, D. Levels of cadmium, lead, mercury and 137caesium in Caribou (Rangifer tarandus). Tissues from Northern Québec. Arctic 2002, 55, 1–9. [Google Scholar] [CrossRef]
- Wiklund, E.; Finstad, G.; Johansson, L.; Aguiar, G.; Bechtel, P.J. Carcass composition and yield of Alaskan reindeer (Rangifer tarandus tarandus) steers and effects of electrical stimulation applied during field slaughter on meat quality. Meat Sci. 2008, 78, 185–193. [Google Scholar] [CrossRef]
- Mielnik, M.B.; Rzeszutek, A.; Triumf, E.C.; Egelandsdal, B. Antioxidant and other quality properties of reindeer muscle from two different Norwegian regions. Meat Sci. 2011, 89, 526–532. [Google Scholar] [CrossRef]
- Triumf, E.C.; Purchas, R.W.; Mielnik, M.; Maehre, H.K.; Elvevoll, E.; Slinde, E.; Egelandsdal, B. Composition and some quality characteristics of the longissimus muscle of reindeer in Norway compared to farmed New Zealand red deer. Meat Sci. 2012, 90, 122–129. [Google Scholar] [CrossRef]
- Florek, M.; Drozd, L. Bioactive Compounds in Deer Meat. Med. Weter. 2013, 69, 535–539. [Google Scholar]
- Kautto, A.H.; Vagsholm, I.; Niskanen, R. Meat inspection of reindeer—A rich source of data for monitoring food safety and animal and environmental health in Sweden. Infect. Ecol. Epidemiol. 2017, 7, 1340695. [Google Scholar] [CrossRef] [PubMed]
- Pacyna, A.D.; Koziorowska-Makuch, K.; Chmiel, S.; Mazerski, J.; Polkowska, Ż. Svalbard reindeer as an indicator of ecosystem changes in the Arctic terrestrial ecosystem. Chemosphere 2018, 203, 209–218. [Google Scholar] [CrossRef] [PubMed]
- Pacyna, A.D.; Frankowski, M.; Kozioł, K.; Węgrzyn, M.H.; Wietrzyk-Pełka, P.; Lehmann-Konera, S.; Polkowska, Ż. Evaluation of the use of reindeer droppings for monitoring essential and non-essential elements in the polar terrestrial environment. Sci. Total Environ. 2019, 658, 1209–1218. [Google Scholar] [CrossRef]
- Węgrzyn, M.H.; Wietrzyk, P.; Lehmann-Konera, S.; Chmiel, S.; Cykowska-Marzencka, B.; Polkowska, Z. Annual variability of heavy metal content in Svalbard reindeer faeces as a result of dietary preferences. Environ. Sci. Pollut. Res. Int. 2018, 25, 36693–36701. [Google Scholar] [CrossRef]
- Venäläinen, E.-R. The Levels of Heavy Metals in Moose, Reindeer and Hares in Finland Results of Twenty Years’ Monitoring; Finnish Food Safety Authority Evira: Helsinki, Finland, 2007; 96p, ISBN 952-5662-69-1. Available online: https://core.ac.uk/download/pdf/14900393.pdf (accessed on 10 March 2021).
- Pacyna-Kuchta, A.D.; Wietrzyk-Pełka, P.; Węgrzyn, M.H.; Frankowski, M.; Polkowska, Ż. A screening of select toxic and essential elements and persistent organic pollutants in the fur of Svalbard reindeer. Chemosphere 2020, 245, 125458. [Google Scholar] [CrossRef]
- Skrokki, A.; Hormi, O. Composition of minced meat part B: A survey of commercial ground meat. Meat Sci. 1994, 38, 503–509. [Google Scholar] [CrossRef]
- Medvedev, N. Levels of heavy metals in Karelian wildlife, 1989–1991. Environ. Monit. Assess. 1999, 56, 177–193. [Google Scholar] [CrossRef]
- Robbek, N.S.; Savvin, R.G.; Reshetnikov, A.D.; Barashkova, A.I.; Rumyantseva, T.D. Venison as the Staple Food of the Indigenous Minorities Inhabiting the North of Yakutia, Russian Federation. Biosci. Biotech. Res. Asia 2014, 11, 43–49. [Google Scholar] [CrossRef]
- Shelepov, V.G.; Uglov, V.A.; Boroday, E.V.; Poznyakovsky, V.M. Chemical composition of indigenous raw meats. Foods Raw Mater. 2019, 7, 412–418. [Google Scholar] [CrossRef]
- Bogdan, E.G. Razrabotka Tekhnologii i Tovarovednaya Ocenka Myasnyh Kulinarnyh Izdelij iz Myasa Odomashnennogo Severnogo Olenya [Development of Technology and Commodity Assessment of Culinary Meat Products from Domesticated Reindeer Meat]. Ph.D. Thesis, Murmansk State Technical University, Murmansk, Russia, 2019; 24p. [Google Scholar]
- Vasiliev, S.S. Nauchnoe Obosnovanie i Razrabotka Novogo Rublenogo Polufabrikata iz Oleniny Dlya Shkol’nogo Pitaniya [Scientific Substantiation and Development of a New Chopped Semi-Finished Product from Venison for School Meals]. Ph.D. Thesis, Vost.-Sib. State Technol. University, Ulan-Ude, Russia, 2009; 127p. [Google Scholar]
- Robbeck, N.S. Soderzhanie makro-, mikroelementov v myase domashnih olenej OPH “Yuchyugejskoe” Respubliki Saha (Yakutiya) [The content of macro- and microelements in the meat of domesticated reindeer of the Yuchyugeyskoye industrial farm of the Republic of Sakha (Yakutia)]. Bull. Buryat State Agric. Acad. 2010, 2, 123–125. [Google Scholar]
- Robbeck, N.S. Myasnaya Produktivnost’ i Pishchevaya Cennost’ Myasa Domashnih Severnyh Olenej Evenskoj Porody Respubliki Saha (Yakutiya) [Meat Productivity and Nutritional Value of Meat of Domesticated Reindeer of the Even Breed of the Republic of Sakha (Yakutia). Ph.D. Thesis, Yakutsk Research Institute of Agriculture of the Russian Academy of Agricultural Sciences, Yakutsk, Russia, 2011; 19p. [Google Scholar]
- Robbeck, N.S.; Alekseev, E.D. Soderzhanie makroelementov v myase olenej CHukotskoj porody [The content of macronutrients in the meat of deer of the Chukotka breed]. Anim. Husb. 2016, 8, 27–29. [Google Scholar]
- Robbeck, N.S.; Abramov, A.F. Evenskaya Poroda Olenej YAkutii: Myasnaya Produktivnost’, Biologicheskaya i Pishchevaya Cennost’ [Evenskaya Breed of Deer of Yakutia: Meat Productivity, Biological and Nutritional Value]; Association of Scientific Researchers “Siberian Academic Book”: Novosibirsk, Russia, 2017; 144p. [Google Scholar]
- Robbek, N.S.; Alekseev, E.D.; Rumyantseva, T.D. Soderzhanie mikroelementov i tyazhelyh metallov v myase olenej chukotskoj porody (hargin) [The content of trace elements and heavy metals in the meat of the Chukchi breed (khargin)]. Chief Zootech. 2019, 7, 60–65. [Google Scholar] [CrossRef]
- Bondarev, A.; Samurkhanov, T. Rol’ olenevodstva v sel’skom hozyajstve narodov Sibiri i Dal’nego Vostoka [The role of reindeer husbandry in agriculture of the peoples of Siberia and the Far East]. Agrar. Hist. 2020, 4, 17–23. [Google Scholar] [CrossRef]
- Samchenko, O.N. Ispol’zovanie myasa dikih zhivotnyh v tekhnologii myasnyh izdelij [The use of wild animal meat in the technology of meat products]. Sci. Mod. 2013, 24, 220–224. [Google Scholar]
- Hassan, A.A.; Sandanger, T.M.; Brustad, M. Level of selected nutrients in meat, liver, tallow and bone marrow from semi-domesticated reindeer (Rangifer t. tarandus L.). Int. J. Circumpolar Health 2012, 71, 17997. [Google Scholar] [CrossRef]
- Hassan, A.A.; Sandanger, T.M.; Brustad, M. Selected vitamins and essential elements in meat from semi-domesticated reindeer (Rangifer tarandus tarandus L.) in mid- and northern Norway: Geographical variations and effect of animal population density. Nutrients 2012, 4, 724–739. [Google Scholar] [CrossRef]
- Hassan, A.A.; Rylander, C.; Sandanger, T.M.; Brustad, M. Copper, Cobalt and Chromium in Meat, Liver, Tallow and Bone Marrow from Semi-domesticated Reindeer (Rangifer tarandus tarandus L.) in Northern Norway. Food Public Health 2013, 3, 154–160. [Google Scholar] [CrossRef]
- Bernhoft, A.; Waaler, T.; Mathiesen Svein, D.; Flåøyen, A. Trace elements in reindeer from Rybatsjij Ostrov, north western Russia. Rangifer 2002, 22, 67–73. [Google Scholar] [CrossRef]
- The Norwegian Food Composition Table. 2019. Available online: https://matportalen.no/verktoy/the_norwegian_food_composition_table/ (accessed on 10 March 2021).
- The Norwegian Food Safety Authority; The Norwegian Directorate of Health and the University of Oslo. The Norwegian Food Composition Table; Matportalen: Oslo, Norway, 2006. Available online: http://matportalen.no/matvaretabellen/index_html/main_view_eng (accessed on 10 March 2021).
- Beltsville Human Nutrition Research Centre, USDA Agricultural Research Service. Methods and Application of Food Composition Laboratory; U.S. Department of Agriculture: Beltsville, MD, USA. Available online: https://www.ars.usda.gov/northeast-area/beltsville-md-bhnrc/beltsville-human-nutrition-research-center/methods-and-application-of-food-composition-laboratory/mafcl-site-pages/sr11-sr28/ (accessed on 10 March 2021).
- United States Department of Agriculture (USDA). National Nutrient Database for Standard Reference, Release 23; USDA: Washington, DC, USA, 2010. Available online: http://www.nal.usda.gov/fnic/foodcomp/search/ (accessed on 10 March 2021).
- United States Department of Agriculture. National Nutrient Database for Standard Reference, Release 24. 2011. Available online: http://www.ars.usda.gov/Services/docs.htm?docid=8964 (accessed on 10 March 2021).
- U.S. Department of Agriculture; Agricultural Research Service; USDA National Nutrient Database for Standard Reference. Composition of Foods: Raw, Processed, Prepared. Release 27. September 2014. Available online: https://www.ars.usda.gov/northeast-area/beltsville-md-bhnrc/beltsville-human-nutrition-research-center/methods-and-application-of-food-composition-laboratory/mafcl-site-pages/sr11-sr28/ (accessed on 10 March 2021).
- United States Department of Agriculture (USDA). National Nutrient Database for Standard Reference, Release 28; USDA: Washington, DC, USA, 2020. Available online: http://www.nal.usda.gov/fnic/foodcomp/search/ (accessed on 10 March 2021).
- Canadian Nutrient File (CNF). Available online: https://food-nutrition.canada.ca/cnf-fce/index-eng.jsp (accessed on 10 March 2021).
- Rintala, R.; Venäläinen, E.R.; Hirvi, T. Heavy metals in muscle, liver, and kidney from Finnish reindeer in 1990–91 and 1991–92. Bull. Environ. Contam. Toxicol. 1995, 54, 158–165. [Google Scholar] [CrossRef]
- Rastas, M.; Seppaenen, R.; Knuts, L.R.; Hakala, P.; Karttila, V. Nutrient Composition of Foods. Kansanelakelaitos; Gummerus Kirjapanio Oy: Turku, Finland, 1997; p. 372. (In Finnish) [Google Scholar]
- Niemi, M. Kirjallisuuskatsaus: Poronlihan ja Poronmaidonkoostumus; Tiivistelmä, Paliskuntainyhdistys: Rovaniemi, Finland, 2007; 89p, Available online: http://apumatti.redu.fi/admin/filecontrol/MS_242.pdf (accessed on 10 March 2021).
- Byazrov, L.G. Lishajniki v Ekologicheskom Monitoring [Lichens in Environmental Monitoring]; Scientific World: Moscow, Russia, 2002; 336p. [Google Scholar]
- Tentyukov, M.P. Geohimicheskij Monitoring Yamala: Geohimicheskie bar’ery (prakticheskij Aspekt) [Geochemical Monitoring of Yamal: Geochemical Barriers (Practical Aspect)]; Academy of Sciences of the USSR, Ural Department, Institute of Biology, Komi Scientific Centre: Syktyvkar, Russia, 1990; 38p. [Google Scholar]
- Yearbook. Zagryaznenie Pochv Rossijskoj Federacii Toksikantami Promyshlennogo Proiskhozhdeniya v 2020 Godu [Soil Pollution of the Russian Federation with Industrial Toxicants in 2020]; FSBI NPO Typhoon: Obninsk, Russia, 2021; 128p. [Google Scholar]
- Gornyj Enciklopedicheskij Slovar’ [Mining Encyclopedic Dictionary]; Beletsky, V.S., Ed.; Vostochny Publishing House: Donetsk, Ukraine, 2004; Volume 3, 752p. [Google Scholar]
- Chapin, F.S., III; Barsdate, R.J.; Barul, D. Phosphorus cycling in Alaskan coastal tundra: A hypothesis for the regulation of nutrient cycling. Oikos 1978, 31, 189. [Google Scholar] [CrossRef]
- Xiao, X.J.; Anderson, D.W.; Bettany, J.R. The effect of pedogenic processes on the distribution of phosphorus, calcium and magnesium in Gray Luvisol soils. Can. J. Soil Sci. 1991, 71, 397–410. [Google Scholar] [CrossRef][Green Version]
- Dietz, R.; Letcher, R.J.; Desforges, J.-P.; Eulaers, I.; Sonne, C.; Wilson, S.; Andersen-Ranberg, E.; Basu, N.; Barst, B.; Bustnes, J.O.; et al. Current state of knowledge on biological effects from contaminants on arctic wildlife and fish. Sci. Total Environ. 2019, 696, 133792. [Google Scholar] [CrossRef]
- Makarov, D.A.; Komarov, A.A.; Ovcharenko, V.V.; Nebera, E.A.; Kozhushkevich, A.I.; Kalantaenko, A.M.; Afanasieva, E.L.; Demidova, S.V. Zagryaznenie dioksinami i toksichnymi elementami subproduktov severnyh olenej v regionah Krajnego Severa Rossii [Contamination with dioxins and toxic elements of reindeer by-products in the regions of the High North of Russia]. Agric. Biol. 2018, 53, 364–373. [Google Scholar]
- Moskovchenko, D.V. Biogeohimicheskie Osobennosti Landshaftov Poluostrova Yamal i ih Optimizaciya v Svyazi s Neftegazodobychej [Biogeochemical Features of the Landscapes of the Yamal Peninsula and Their Optimization in Connection with Oil and Gas Production]. Ph.D. Thesis, St.Petersburg State University, St. Petersbugr, Russia, 1995; 24p. [Google Scholar]
- Moskovchenko, D.V. Biogeohimicheskie osobennosti pochv bassejna reki Messoyaha (Tazovskij rajon YAmalo-Neneckogo avtonomnogo okruga) [Biogeochemical characteristics of soils in the Messoyakha river basin (Tazovsky district of the Yamal-Nenets Autonomous Okrug)]. Bull. Tyumen State Univ. Ecol. Nat. Manag. 2016, 2, 8–21. [Google Scholar] [CrossRef]
- Perelman, A.I.; Kasimov, N.S. Geohimiya Landshafta [Landscape Geochemistry]; Astrea-2000: Moscow, Russia, 1999; 763p. [Google Scholar]
- Tentyukov, M.P. Geohimiya Landshaftov Ravninnyh Tundr (na Primere YAmala i bol’shezemel’skoj tundry) [Geochemistry of Landscapes of Plain Tundra (on the Example of Yamal and Bolshezemelskaya Tundra)]; RAS, Ural Branch, KSC, Institute of Biology: Syktyvkar, Russia, 2010; 260p. [Google Scholar]
- Wojtuń, B.; Samecka-Cymerman, A.; Kolon, K.; Kempers, A.J.; Skrzypek, G. Metals in some dominant vascular plants, mosses, lichens, algae, and the biological soil crust in various types of terrestrial tundra, SW Spitsbergen, Norway. Polar Biol. 2013, 36, 1799–1809. [Google Scholar] [CrossRef]
- Wojtuń, B.; Samecka-Cymerman, A.; Kolon, K.; Kempers, A.J. Metals in Racomitrium lanuginosum from Arctic (SW Spitsbergen, Svalbard archipelago) and alpine (Karkonosze, SW Poland) tundra. Environ. Sci. Pollut. Res. 2018, 25, 12444–12450. [Google Scholar] [CrossRef]
- Kostyaev, A.I. Agropromyslovoe Hozyajstvo SEVERA [Agricultural Industry of the North]; Nauka: Leningrad, Russia, 1986; 161p. [Google Scholar]
- Ivanov, V.A. Olenevodstvo v arkticheskom subregione: Sostoyanie i napravleniya razvitiya [Reindeer husbandry in the Arctic subregion: State and directions of development]. Reg. Econ. Sociol. 2014, 2, 39–51. [Google Scholar]
- Borozdin, E.K.; Zabrodin, V.A.; Vagin, A.S. Severnoe Olenevodstvo [Northern Reindeer Husbandry]; Agropromizdat, Leningrad Branch: Leningrad, Russia, 1990; p. 96. [Google Scholar]
- Vershinina, S. Boreal lichens in second growth forests of Irkutsk-cheremchovo plain (Easten Siberia). In Boreal Forests in a Changing World: Challenges and Needs for Actions; Sukachev Institute of Forest SB RAS: Krasnoyarsk, Russia, 2011; pp. 368–369. [Google Scholar]
- Agnan, Y.; Courault, R.; Alexis, M.A.; Zanardo, T.; Cohen, M.; Sauvage, M.; Castrec-Rouelle, M. Distribution of trace and major elements in subarctic ecosystem soils: Sources and influence of vegetation. Sci. Total Environ. 2019, 682, 650–662. [Google Scholar] [CrossRef]
- Tyupkina, G.I.; Okuneva, S.V.; Kornienko, I.P.; Beletsky, S.L. Biohimicheskij sostav lishajnikov—Korma severnyh olenej na Arkticheskoj territorii [Biochemical composition of lichens—Food for reindeer in the Arctic territory]. Innov. Technol. Prod. Storage Mater. Assets State Needs 2019, 12, 223–232. [Google Scholar]
- Shcherbakova, A.I.; Koptina, A.V.; Kanarskiy, A.V. Biologicheski aktivnye veshchestva lishajnikov [Biologically active substances of lichens]. For. J. 2013, 3, 7–15. [Google Scholar]
- Yin, X.; Xia, L.; Sun, L.; Luo, H.; Wang, Y. Animal excrement: A potential biomonitor of heavy metal contamination in the marine environment. Sci. Total Environ. 2008, 399, 179–185. [Google Scholar] [CrossRef]
- Kłos, A.; Ziembik, Z.; Rajfur, M.; Dołhańczuk-Śródka, A.; Bochenek, Z.; Bjerke, J.W.; Tømmervik, H.; Zagajewski, B.; Ziółkowski, D.; Jerz, D.; et al. The origin of heavy metals and radionuclides accumulated in the soil and biota samples collected in Svalbard, near Longyearbyen. Ecol. Chem. Eng. 2017, S 24, 223–238. [Google Scholar] [CrossRef]
- Pozhitkov, R.; Moskovchenko, D.; Soromotin, A.; Kudryavtsev, A.; Tomilova, E. Trace elements composition of surface snow in the polar zone of northwestern Siberia: The impact of urban and industrial emissions. Environ. Monit. Assess. 2020, 192, 215. [Google Scholar] [CrossRef]
- Georgievsky, V.I.; Annenkov, B.N. Mineral’noe Pitanie Zhivotnyh [Mineral Nutrition of Animals]; Kolos: Moscow, Russia, 1979; 471p. [Google Scholar]
- Kormovye Rasteniya Senokosov i Pastbishch SSSR: V 3 t. T. 1: Sporovye, Golosemennye i Odnodol’nye [Forage Plants of Hayfields and Pastures of the USSR: In 3 Volumes. Vol. 1: Spore, Gymnosperms and Monocotyledons]; Larina, I.V., Ed.; Selkhozgiz: Moscow, Russia, 1950; pp. 519–598. [Google Scholar]
- Moskovchenko, D.V. Geohimiya Landshaftov Severa Zapadno-Sibirskoj Ravniny: Strukturno-Funkcional’naya Organizaciya Veshchestva Geosistem i Problemy Ekodiagnostiki [Geochemistry of Landscapes in the North of the West Siberian Plain: Structural and Functional Organization of Matter in Geosystems and Problems of Ecodiagnostics]. Ph.D. Thesis, St.Petersburg State University, St.Petersburg, Russia, 2010; 391p. [Google Scholar]
- Moskovchenko, D.V.; Romanenko, E.A. Osobennosti elementnogo sostava pochv Pur-Tazovskogo mezhdurech’ya [Features of the elemental composition of soils in the Pur-Taz interfluves]. Bull. V.V. Dokuchaeva 2020, 103, 51–84. [Google Scholar] [CrossRef]
- Stoltz, E.; Greger, M. Effects of different wetland plant species on fresh unweathered sulphidic mine tailings. Plant Soil 2005, 276, 251–261. [Google Scholar] [CrossRef]
- Ostroverkhova, G.P.; Donnikov, S.V.; Merkhlyakov, A.L.; Moiseeva, M.S. Gribnye soobshchestva kak ob”ekty regional’nogo monitoringa i bioindikacii zagryaznenij tyazhelymi metallami [Fungal communities as objects of regional monitoring and bioindication of heavy metal pollution]. Sib. J. Ecol. 2002, 1, 35–40. [Google Scholar]
- Obruchev, S.V. Po Goram i Tundram Chukotki. Ekspediciya 1934–1935 gg. [Along the Mountains and Tundra of Chukotka. Expedition 1934–1935]; Geografgiz: Moscow, Russia, 1957. [Google Scholar]
- Andronov, S.V.; Lobanov, A.A.; Kostritsyn, V.V.; Kobelkova, I.V.; Keshabyants, E.E.; Martinchik, A.N.; Lobanova, L.P.; Popov, A.I.; Kochkin, R.A. Tradicionnoe pitanie korennyh zhitelej Yamalo-Neneckogo avtonomnogo okruga i preduprezhdenie razvitiya gipertonicheskoj bolezni, hronicheskogo bronhita, izbytochnoj massy tela [Traditional nutrition of the indigenous inhabitants of the Yamal-Nenets Autonomous Okrug and the prevention of the development of hypertension, chronic bronchitis, overweight]. Sci. Bull. Yamal-Nenets Auton. Okrug 2017, 2, 13–16. [Google Scholar]
- Stepanov, K.M.; Lebedeva, U.M.; Dokhunaeva, A.M.; Zaharova, L.S.; CHugunov, A.V.; Efremova, S.T. The role of natural nutrition from local products in the diet of the population of the Republic of Sakha (Yakutia). Yakutsk. Med. J. 2014, 1, 72–75. [Google Scholar]
- Stepanov, K.M.; Lebedeva, U.M. Creation of food products in combination with unique northern raw materials. Probl. Nutr. 2016, S2, 214–215. [Google Scholar]
- Averyanova, I.V.; Barbaruk, Y.V.; Vdovenko, S.I. Produktovaya korzina dlya Krajnego Severa: Fakticheskoe i normativnoe potreblenie [Food basket for the High North: Actual and standard consumption]. Profil. Meditsina 2021, 24, 82–86. [Google Scholar] [CrossRef]
- Kochkin, R.A.; Lobanov, A.A.; Andronov, S.V.; Kobelkova, I.V.; Nikityuk, D.B.; Bogdanova, E.N.; Popov, A.I.; Kostritsyn, V.V.; Protasova, I.V.; Lobanova, L.P.; et al. Influence of consumption of various types of fat on the stability of the central nervous system to cold stress. Bull. New Med. Technol. 2019, 2, 172–180. [Google Scholar]
- Kochkin, R.A.; Lobanov, A.A.; Andronov, S.V.; Popov, A.I.; Bogdanova, E.N. Vliyanie potrebleniya mikroelementov na central’nuyu nervnuyu sistemu v usloviyah geomagnitnyh vozmushchenij [Influence of the consumption of trace elements on the central nervous system in conditions of geomagnetic disturbances]. Probl. Nutr. 2018, 87, 29. [Google Scholar]
- NNR. Nordic Nutrition Recommendations 2012: Integrating Nutrition and Physical Activity, 5th ed.; Nordic Council of Ministers: Copenhagen, Denmark, 2014; p. 627. [Google Scholar]
- Fogelholm, M. New Nordic nutrition recommendations are here. Food Nutr. Res. 2013, 57, 22903. [Google Scholar] [CrossRef] [PubMed]















| Region | Sample of Animals, n | Macro- and Microelements, mg/100 g | Source | ||||||
|---|---|---|---|---|---|---|---|---|---|
| K | P | Na | Mg | Ca | Fe | Zn | |||
| Yamal-Nenets Autonomous Okrug (control group) | 10 | 360.0 ± 18.0 | 250.0 ± 12.5 | 77.0 ± 4.5 | 28.0 ± 1.5 | 15.0 ± 0.8 | 5.0 ± 0.5 | 2.2 ± 0.4 | [own data] |
| Murmansk region | 10 | 225.0 ± 11.2 | 226.0 ± 11.3 | 121.0 ± 6.1 | 16.1 ± 0.8 | 9.6 ± 0.5 | 6.1 ± 0.3 | 3.0 ± 0.5 | [38,83,86] |
| Komi Republic | 10 | 333.0 ± 50.0 | * | 54.16 ± 9.2 | 31.03 ± 4.55 | 7.13 ± 1.78 | 5.55 ± 0.9 | 4.19 ± 0.7 | [3] |
| Taimyr, Krasnoyarsk Territory | 30 | 465.0 ± 10.2 | 71.0 ± 5.0 | 276.0 ± 11.0 | 120.0 ± 10.0 | 158.0 ± 40.0 | 18.2 ± 1.5 | 10.1 ± 0.8 | [85] |
| Republic of Yakutia | 10 | 316.6 ± 6.4 | 266.7 ± 6.5 | 137.2 ± 4.5 | 23.7 ± 0.5 | 14.9 ± 0.6 | 15.2 ± 1.6 | 3.0 ± 0.5 | [84,87,88,89,90,91,92] |
| Far East | 10 | 305.2 ± 15.0 | 194.4 ± 9.7 | 77.4 ± 3.9 | 24.5 ± 1.2 | 10.2 ± 0.5 | 2.9 ± 0.15 | 3.0 ± 0.5 | [93,94] |
| Finland | 30 | 318.0 ± 15.9 | 230.0 ± 11.5 | 95.0 ± 4.8 | 26.0 ± 1.3 | 8.1 ± 0.4 | 3.6 ± 0.2 | 3.0 ± 0.2 | [107,108,109] |
| Norway | 30 | 290.0 ± 14.5 | 189.0 ± 9.5 | 95.0 ± 4.8 | 33.0 ± 2.0 | 7.0 ± 1.3 | 2.9 ± 0.7 | 4.8 ± 1.6 | [74,95,96,97,98,99,100] |
| Canada | 158 | 451.8 ± 22.5 | 219.5 ± 11.0 | 49.7 ± 2.5 | 33.1 ± 1.7 | 5.0 ± 0.3 | 5.4 ± 0.3 | 3.5 ± 0.2 | [19,21,22,106] |
| Alaska, the USA | 30 | 320.0 ± 16.0 | 230.0 ± 11.5 | 52.0 ± 2.6 | 26.0 ± 1.3 | 5.0 ± 0.3 | 4.1 ± 0.2 | 2.1 ± 0.1 | [27,101,102,103,104,105] |
| Macro- and Microelements | Random-Effects Model, k | Estimate * | se | Z | p | CI Lower | CI Upper |
| Magnesium | 9 | 5.40 | 0.849 | 6.36 | <0.001 | 3.734 | 7.060 |
| Iron | 9 | 5.83 | 1.31 | 4.43 | <0.001 | 3.250 | 8.404 |
| Zinc | 9 | 0.51 | 0.149 | 3.45 | <0.001 | 0.22 | 0.804 |
| Calcium | 9 | −2.12 | 2.45 | −0.867 | 0.386 | −6.918 | 2.674 |
| Potassium | 10 | 24.3 | 25.4 | 0.96 | 0.34 | −25.45 | 73.99 |
| Sodium | 9 | 24.1 | 23.7 | 1.02 | 0.31 | −22.31 | 70.5 |
| Phosphorus | 9 | 14.5 | 19.0 | 0.76 | 0.45 | −22.7 | 51.7 |
| Heterogeneity Statistics | |||||||
| Macro- and Microelements | Tau | Tau² | I² | H² | df | Q | p |
| Magnesium | 2.419 | 5.8524 (SE = 3.259) | 92.17% | 12.776 | 8.000 | 66.719 | <0.001 |
| Iron | 3.832 | 14.686 (SE = 7.81) | 97.04% | 33.77 | 8.000 | 269.34 | <0.001 |
| Zinc | 0.44 | 0.194 (SE = 0.0995) | 97.67% | 42.98 | 8.000 | 429.42 | <0.001 |
| Calcium | 7.292 | 53.1782 (SE = 26.9478) | 99.3% | 142.905 | 8.000 | 488.351 | <0.001 |
| Potassium | 79.87 | 6378.95 (SE = 3034.51) | 99.44% | 178.16 | 9.000 | 1970.58 | <0.001 |
| Sodium | 71.00 | 5041.41 (SE = 2522.57) | 99.94% | 1779.06 | 8.000 | 8955.84 | <0.001 |
| Phosphorus | 56.8 | 3227.16 (SE = 1621.7) | 99.54% | 216.18 | 8.000 | 2146.4 | <0.001 |
| Macro- and Microelements | Test | |||
|---|---|---|---|---|
| Fail-Safe N | Egger’s Regression | |||
| Value | p | Value | p | |
| Magnesium | 1559.000 | <0 .001 | 2.221 | 0.026 |
| Iron | 1284.000 | <0 .001 | 3.33 | 0.001 |
| Zinc | 1689.000 | <0 .001 | −0.099 | 0.921 |
| Calcium | 226.0 | <0 .001 | −0.14 | 0.89 |
| Potassium | 735.0 | <0 .001 | −0.14 | 0.89 |
| Sodium | 735.0 | <0 .001 | −0.14 | 0.89 |
| Phosphorus | 225.0 | <0 .001 | 1.3 | 0.19 |
Publisher’s Note: MDPI stays neutral with regard to jurisdictional claims in published maps and institutional affiliations. |
© 2022 by the authors. Licensee MDPI, Basel, Switzerland. This article is an open access article distributed under the terms and conditions of the Creative Commons Attribution (CC BY) license (https://creativecommons.org/licenses/by/4.0/).
Share and Cite
Andronov, S.; Lobanov, A.; Bogdanova, E.; Popov, A.; Yuzhakov, A.; Shaduyko, O.; Raheem, D.; Kobelkova, I. The Relationships among Microelement Composition of Reindeer Meat (Rangifer tarandus) and Adaptation: A Systematic Review and Meta-Analysis. Sustainability 2022, 14, 1173. https://doi.org/10.3390/su14031173
Andronov S, Lobanov A, Bogdanova E, Popov A, Yuzhakov A, Shaduyko O, Raheem D, Kobelkova I. The Relationships among Microelement Composition of Reindeer Meat (Rangifer tarandus) and Adaptation: A Systematic Review and Meta-Analysis. Sustainability. 2022; 14(3):1173. https://doi.org/10.3390/su14031173
Chicago/Turabian StyleAndronov, Sergei, Andrey Lobanov, Elena Bogdanova, Andrei Popov, Alexander Yuzhakov, Olga Shaduyko, Dele Raheem, and Irina Kobelkova. 2022. "The Relationships among Microelement Composition of Reindeer Meat (Rangifer tarandus) and Adaptation: A Systematic Review and Meta-Analysis" Sustainability 14, no. 3: 1173. https://doi.org/10.3390/su14031173
APA StyleAndronov, S., Lobanov, A., Bogdanova, E., Popov, A., Yuzhakov, A., Shaduyko, O., Raheem, D., & Kobelkova, I. (2022). The Relationships among Microelement Composition of Reindeer Meat (Rangifer tarandus) and Adaptation: A Systematic Review and Meta-Analysis. Sustainability, 14(3), 1173. https://doi.org/10.3390/su14031173

