Caesium-133 Accumulation by Freshwater Macrophytes: Partitioning of Translocated Ions and Enzyme Activity in Plants and Microorganisms
Abstract
1. Introduction
2. Materials and Methods
2.1. Plants, Chemicals, and Reagents
2.2. Experimental Setup
2.3. Physicochemical Characteristics of the Aquatic Phase
2.4. Element Analysis
2.5. Microbiological Analysis
2.6. Testing of Enzyme Activity in the Aquatic Phase and Crude Plant Extracts
2.6.1. Aquatic Phase
2.6.2. Plant Crude Extract
Preparation of the Plant Crude Extract
Protein Concentration
DOPA-MBTH Assay
Dehydrogenase Activity
Peroxidase Activity
The Folin–Ciocalteu Assay
Guaiacol Peroxidase Activity
2.7. Statistical Analysis
3. Results
3.1. Accumulation of Cs and Other Metals by Aquatic Plants
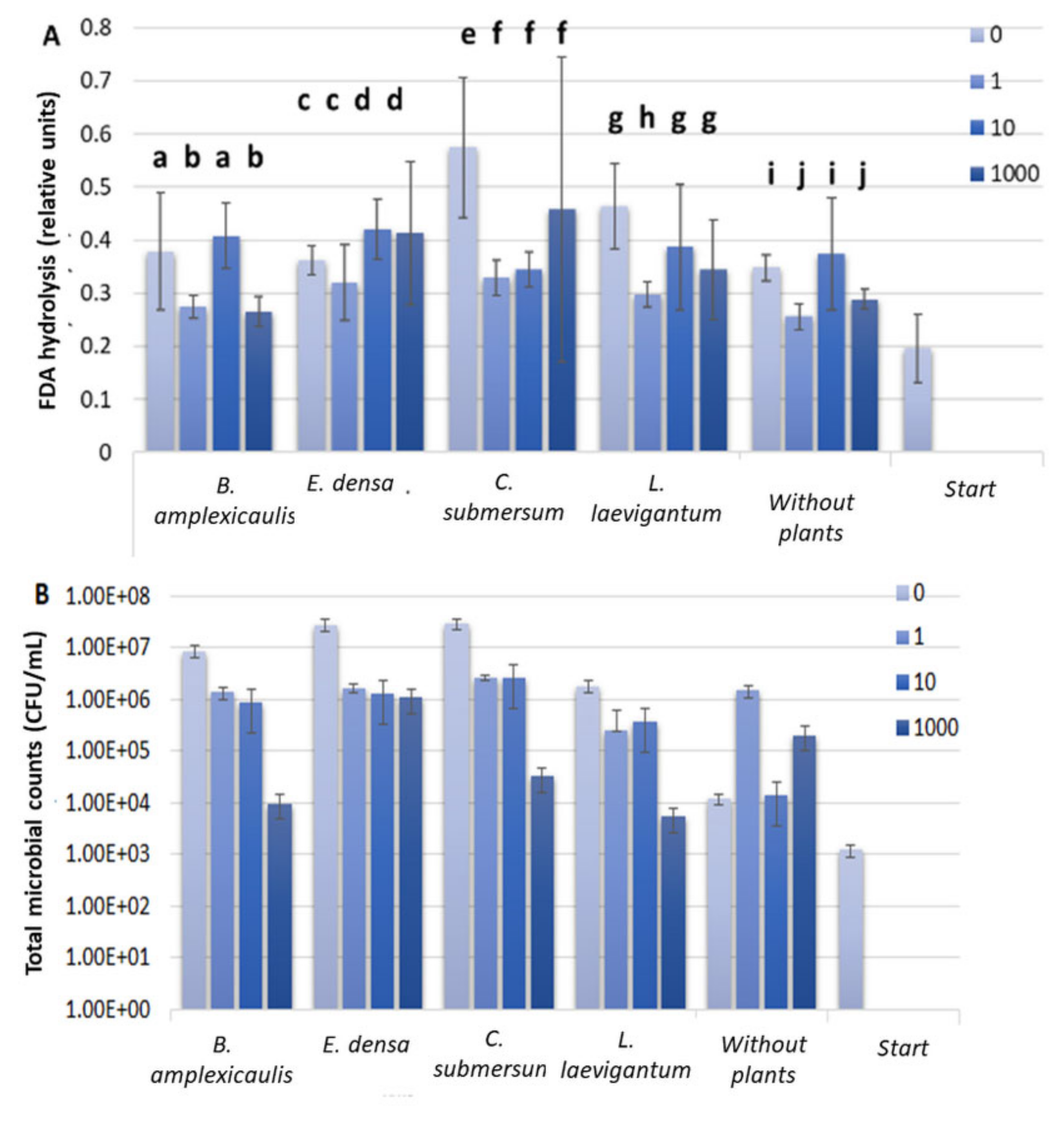
3.2. Microbial Abundance and Enzyme Activity in an Aquatic Phase Depending on the Cs Concentration
3.3. Changes in Enzyme Activity in Plant Crude Extract after Plant Incubation with Cs
3.4. Principal Component Analysis
4. Discussion
5. Conclusions
Supplementary Materials
Author Contributions
Funding
Institutional Review Board Statement
Informed Consent Statement
Data Availability Statement
Acknowledgments
Conflicts of Interest
References
- Kondo, M.; Maeda, H.; Goto, A.; Nakano, H.; Kiho, N.; Makino, T.; Sato, M.; Fujimura, S.; Eguchi, T.; Hachinohe, M.; et al. Exchangeable Cs/K ratio in soil is an index to estimate accumulation of radioactive and stable Cs in rice plant. Soil Sci. Plant Nutr. 2014, 61, 133–143. [Google Scholar] [CrossRef]
- Sawajiri, M.; Miyamoto, S.; Yamanouchi, K.; Wada, S.; Srimawong, P.; Nomura, Y.; Uchida, T. Drinking high-energy electrolytic water decreases internal radiation exposure caused by the Fukushima Daiichi Nuclear power plant disaster. Nucl. Technol. Radiat. Prot. 2016, 31, 173–178. [Google Scholar] [CrossRef]
- Shinano, T.; Watanabe, T.; Chu, Q.; Osaki, M.; Kobayashi, D.; Okouchi, T.; Matsunami, H.; Nagata, O.; Okazaki, K.; Nakamura, T. Varietal difference in radiocesium uptake and transfer from radiocesium deposited soils in the genus Amaranthus. Soil Sci. Plant Nutr. 2014, 60, 809–817. [Google Scholar] [CrossRef]
- Kang, D.-J.; Seo, Y.-J.; Ishii, Y. Distribution of cesium and cationic mineral elements in napiergrass. SN Appl. Sci. 2019, 1, 1665. [Google Scholar] [CrossRef]
- Nagakawa, Y.; Uemoto, M.; Kurosawa, T.; Shutoh, K.; Hasegawa, H.; Sakurai, N.; Harada, E. Comparison of radioactive and stable cesium uptake in aquatic macrophytes affected by the Fukushima Dai-ichi Nuclear Power Plant accident. J. Radioanal. Nucl. Chem. 2018, 319, 185–196. [Google Scholar] [CrossRef]
- Marčiulionienė, D.; Mazeika, J.; Paškauskas, R.; Jefanova, O. Specific patterns of 137Cs, 60Co, and 54Mn accumulation by macrophytes and bottom sediments. Zool. Ecol. 2014, 24, 168–176. [Google Scholar] [CrossRef]
- Krolak, E.; Golub, G.; Barczak, K. Caesium-137 and potassium-40 in selected oxbow lakes of the border Bug River more than 20 years after the Chernobyl accident. Water Int. 2012, 37, 75–85. [Google Scholar] [CrossRef]
- Pavlyutin, A.P.; Babitskii, B.A. Higher Aquatic Plants in a Lake Contaminated with Radionuclides: Composition, distribution, storage, and accumulation of Cesium-137. Hydrobiol. J. 1998, 34, 1–9. [Google Scholar] [CrossRef]
- Riekstina, D.; Berzins, J.; Krasta, T.; Kizane, G.; Rudzitis, J. Impact of the former Salaspils Nuclear Reactor on the surrounding territory. Latv. J. Phys. Tech. Sci. 2016, 53, 67–76. [Google Scholar] [CrossRef][Green Version]
- Ashraf, M.A.; Akib, S.; Maah, M.J.; Yusoff, I.; Balkhair, K. Cesium-137: Radio-chemistry, fate, and transport, remediation, and future concerns. Crit. Rev. Environ. Sci. Technol. 2014, 44, 1740–1793. [Google Scholar] [CrossRef]
- Avery, S. Fate of caesium in the environment: Distribution between the abiotic and biotic components of aquatic and terrestrial ecosystems. J. Environ. Radioact. 1996, 30, 139–171. [Google Scholar] [CrossRef]
- Pinder, J.E.; Hinton, T.; Whicker, F. Contrasting cesium dynamics in neighboring deep and shallow warm-water reservoirs. J. Environ. Radioact. 2010, 101, 659–669. [Google Scholar] [CrossRef] [PubMed]
- Jeong, H.; Miller, V.; Hinton, T.G.; Johnson, T.E.; Pinder, J.E. Model-based analyses of the cesium dynamics in the small mesotrophic reservoir, Pond 4. I. Estimating the inventories of and the fluxes among the pond’s major biotic components. J. Environ. Radioact. 2018, 189, 282–296. [Google Scholar] [CrossRef] [PubMed]
- Kowata, H.; Nagakawa, Y.; Sakurai, N.; Hokura, A.; Terada, Y.; Hasegawa, H.; Harada, E. Radiocesium accumulation in Egeria densa, a submerged plant – possible mechanism of cesium absorption. J. Anal. At. Spectrom. 2014, 29, 868–874. [Google Scholar] [CrossRef]
- Vacula, J.; Komínková, D.; Pecharová, E.; Doksanská, T.; Pechar, L. Uptake of 133Cs and 134Cs by Ceratophyllum demersum L. under field and greenhouse conditions. Sci. Total. Environ. 2020, 720, 137292. [Google Scholar] [CrossRef]
- Moogouei, R.; Chen, Y. Removal of cesium, lead, nitrate and sodium from wastewater using hydroponic constructed wetland. Int. J. Environ. Sci. Technol. 2020, 17, 3495–3502. [Google Scholar] [CrossRef]
- Sansone, U.; Belli, M.; Riccardi, M.; Alonzi, A.; Jeran, Z.; Radojko, J.; Smodis, B.; Montanari, M.; Cavolo, F. Adhesion of water-borne particulates on freshwater biota. Sci. Total Environ. 1998, 219, 21–28. [Google Scholar] [CrossRef]
- Burger, A.; Lichtscheidl, I. Stable and radioactive cesium: A review about distribution in the environment, uptake and translocation in plants, plant reactions and plants’ potential for bioremediation. Sci. Total Environ. 2018, 618, 1459–1485. [Google Scholar] [CrossRef] [PubMed]
- Du, Y.; Wu, Q.; Kong, D.; Shi, Y.; Huang, X.; Luo, D.; Chen, Z.; Xiao, T.; Leung, J.Y. Accumulation and translocation of heavy metals in water hyacinth: Maximising the use of green resources to remediate sites impacted by e-waste recycling activities. Ecol. Indic. 2020, 115, 106384. [Google Scholar] [CrossRef]
- Rai, U.; Sinha, S.; Tripathi, R.D.; Chandra, P. Wastewater treatability potential of some aquatic macrophytes: Removal of heavy metals. Ecol. Eng. 1995, 5, 5–12. [Google Scholar] [CrossRef]
- Abdussalam, A.K.; Ratheesh-Chandra, P. Bio-accumulation of heavy metals in Bacopa monnieri (L.) Pennell growing under different habitat. Int. J. Ecol. Dev. 2010, 15, 66–73. [Google Scholar]
- Kumar, N.; Bauddh, K.; Dwivedi, N.; Barman, S.C.; Singh, D.P. Accumulation of metals in selected macrophytes grown in mixture of drain water and tannery effluent and their phytoremediation potential. J. Environ. Biol. 2012, 33, 923–927. [Google Scholar] [PubMed]
- Gouder de Beauregard, A.C.; Mahy, G. Phytoremediation of heavy metals: The role of macrophytes in a stormwater basin. Int. J. Ecohydrol. Hydrobiol. 2002, 2, 1–4. [Google Scholar]
- Maleva, M.G.; Nekrasova, G.F.; Bezel, V.S. The response of hydrophytes to environmental pollution with heavy metals. Russ. J. Ecol. 2004, 35, 230–235. [Google Scholar] [CrossRef]
- Pasichnaya, Y.A.; Gorbatiuk, L.O.; Arsan, O.M.; Platonov, N.A.; Burmistrenko, S.P.; Godlevska, O.; Gopinath, A. Assessment of a possibility of the use of aquatic macrophytes for biomonitoring and phytoindication of the contamination of natural waters by heavy metals. Hydrobiol. J. 2020, 56, 81–89. [Google Scholar] [CrossRef]
- Arán, D.S.; Harguinteguy, C.A.; Fernandez-Cirelli, A.; Pignata, M.L. Phytoextraction of Pb, Cr, Ni, and Zn using the aquatic plant Limnobium laevigatum and its potential use in the treatment of wastewater. Environ. Sci. Pollut. Res. 2017, 24, 18295–18308. [Google Scholar] [CrossRef]
- Pamila, D.; Sivalingam, A.; Thirumarimurugan, M. Green revolution- phytoremediation of heavy metals from industrial effluent by water hyacinth. Eng. Technol. India 2016, 7, 56–64. [Google Scholar] [CrossRef]
- Thamkaew, G.; Sjöholm, I.; Galindo, F.G. A review of drying methods for improving the quality of dried herbs. Cri. Rev. Food Sci. Nutr. 2021, 61, 1763–1786. [Google Scholar] [CrossRef] [PubMed]
- Prabasiwi, D.S.; Murniasih, S.; Rozana, K. Transfer factor as indicator of heavy metal content in plants around adipala steam power plant. J. Physics: Conf. Ser. 2020, 1436, 012133. [Google Scholar] [CrossRef]
- Chen, W. The role of microbial activity in suppression of damping-off caused by Pythium ultimum. Phytopathology 1988, 78, 314–322. [Google Scholar] [CrossRef]
- Alici, E.H.; Arabaci, G. Determination of SOD, POD, PPO and CAT enzyme activities in Rumex obtusifolius L. Annu. Res. Rev. Biol. 2016, 11, 1–7. [Google Scholar] [CrossRef]
- Technical Bulletin. Available online: https://2020.igem.org/wiki/images/1/19/T--IIT_Roorkee--documents--WetLab_Protocols_Bradford.pdf (accessed on 1 December 2021).
- Winder, A.J. A stopped spectrophotometric assay for the dopa oxidase activity of tyrosinase. J. Biochem. Biophys. Methods 1994, 28, 173–183. [Google Scholar] [CrossRef]
- Camiña, F.; Trasar-Cepeda, C.; Gil-Sotres, F.; Leirós, C. Measurement of dehydrogenase activity in acid soils rich in organic matter. Soil Biol. Biochem. 1998, 30, 1005–1011. [Google Scholar] [CrossRef]
- Onsa, G.H.; Saari, N.; Selamat, J.; Bakar, J. Purification and characterization of membrane-bound peroxidases from Metroxylon sagu. Food Chem. 2004, 85, 365–376. [Google Scholar] [CrossRef]
- Singleton, V.L.; Orthofer, R.; Lamuela-Raventós, R.M. Analysis of total phenols and other oxidation substrates and antioxidants by means of Folin-Ciocalteu Reagent author links open overlay panel. Met. Enzymol. 1999, 299, 152–178. [Google Scholar]
- Erofeeva, E.A. Dependence of guaiacol peroxidase activity and lipid peroxidation rate in drooping birch (Betula pendula Roth) and tillet (Tilia cordata Mill) leaf on motor traffic pollution intensity. Dose-Response 2015, 13, 13. [Google Scholar] [CrossRef]
- Shevyakova, N.I.; Stetsenko, L.A.; Meshcheryakov, A.B.; Kuznetsov, V.V. The activity of the peroxidase system in the course of stress-induced CAM development. Russ. J. Plant Physiol. 2002, 49, 598–604. [Google Scholar] [CrossRef]
- Fontvieille, D.; Outaguerouine, A.; Thevenot, D. Fluorescein diacetate hydrolysis as a measure of microbial activity in aquatic systems: Application to activated sludges. Environ. Technol. 1992, 13, 531–540. [Google Scholar] [CrossRef]
- Haida, Z.; Hakiman, M. A comprehensive review on the determination of enzymatic assay and nonenzymatic antioxidant activities. Food Sci. Nutr. 2019, 7, 1555–1563. [Google Scholar] [CrossRef]
- Bach, C.E.; Warnock, D.D.; Van Horn, D.J.; Weintraub, M.; Sinsabaugh, R.L.; Allison, S.D.; German, D.P. Measuring phenol oxidase and peroxidase activities with pyrogallol, l-DOPA, and ABTS: Effect of assay conditions and soil type. Soil Biol. Biochem. 2013, 67, 183–191. [Google Scholar] [CrossRef]
- Shtangeeva, I.; Vīksna, A.; Bērtiņš, M.; Ryumin, A.; Grebnevs, V. Variations in the concentrations of macro- and trace elements in two grasses and in the rhizosphere soil during a day. Environ. Pollut. 2020, 262, 114265. [Google Scholar] [CrossRef] [PubMed]
- Sridhar, A.; Khader, P.A.; Ramasamy, T. Assessment of cobalt accumulation effect on growth and antioxidant responses in aquatic macrophyte Hydrilla verticillata (L.f.) Royle. Biology 2020, 75, 2001–2008. [Google Scholar] [CrossRef]
- Geng, N.; Wu, Y.; Zhang, M.; Tsang, D.; Rinklebe, J.; Xia, Y.; Lu, D.; Zhu, L.; Palansooriya, K.N.; Kim, K.-H.; et al. Bioaccumulation of potentially toxic elements by submerged plants and biofilms: A critical review. Environ. Int. 2019, 131, 105015. [Google Scholar] [CrossRef] [PubMed]
- Clemens, S.; Ma, J.F. Toxic heavy metal and metalloid accumulation in crop plants and foods. Annu. Rev. Plant Biol. 2016, 67, 489–512. [Google Scholar] [CrossRef] [PubMed]
- Wang, W.X. Chapter 4—Bioaccumulation and biomonitoring. In Marine Ecotoxicology; Blasco, J., Chapman, P., Campana, O., Hampel, M., Eds.; Elsevier: New York, NY, USA; London, UK, 2016; pp. 99–119. [Google Scholar]
- Ortiz-Oliveros, H.B.; Cruz, D.; Flores-Espinosa, R.M.; Santillán-Malaquías, I.; Zarazúa-Ortega, G.; Villalva, A. Evaluation of the bioaccumulation of heavy metals and 137Cs in succulent plants Echeveria elegans. Int. J. Environ. Sci. Technol. 2021, 1–14. [Google Scholar] [CrossRef]
- Shaw, G.; Bell, J. The kinetics of Caesium absorption by roots of winter wheat and the possible consequences for the derivation of soil-to-plant transfer factors for radiocaesium. J. Environ. Radioact. 1989, 10, 213–231. [Google Scholar] [CrossRef]
- Zhu, Y.; Smolders, E. Plant uptake of radiocaesium: A review of mechanisms, regulation and application. J. Exp. Bot. 2000, 51, 1635–1645. [Google Scholar] [CrossRef]
- Smolders, E.; Sweeck, L.; Merckx, R.; Cremers, A. Cationic interactions in radiocaesium uptake from solution by spinach. J. Environ. Radioact. 1997, 34, 161–170. [Google Scholar] [CrossRef]
- Rai, H.; Kawabata, M. The dynamics of radio-cesium in soils and mechanism of cesium uptake into higher plants: Newly elucidated mechanism of cesium uptakei into rice plants. Front. Plant Sci. 2020, 11, 528. [Google Scholar] [CrossRef]
- Muter, O.; Patmalnieks, A.; Rapoport, A. Interrelations of the yeast Candida utilis and Cr(VI): Metal reduction and its distribution in the cell and medium. Process. Biochem. 2001, 36, 963–970. [Google Scholar] [CrossRef]
- Piscart, C.; Genoel, R.; Doledec, S.; Chauvet, E.; Marmonier, P. Effects of intense agricultural practices on heterotrophic processes in streams. Environ. Pollut. 2009, 157, 1011–1018. [Google Scholar] [CrossRef] [PubMed]
- Perkins, J.; Gadd, G.M. Caesium toxicity, accumulation and intracellular localization in yeasts. Mycol. Res. 1993, 97, 717–724. [Google Scholar] [CrossRef]
- Maathuis, F.J. Physiological functions of mineral macronutrients. Curr. Opin. Plant Biol. 2009, 12, 250–258. [Google Scholar] [CrossRef] [PubMed]
- White, P.J.; Broadley, M.R. Mechanisms of caesium uptake by plants. New Phytol. 2000, 147, 241–256. [Google Scholar] [CrossRef]
- Carine, F.; Enrique, A.-G.; Stéven, C. Metal effects on phenol oxidase activities of soils. Ecotoxicol. Environ. Saf. 2009, 72, 108–114. [Google Scholar] [CrossRef] [PubMed]
- Atapaththu, K.S.S.; Rashid, H.; Asaeda, T. Growth and oxidative stress of brittlewort (Nitella pseudoflabellata) in response to cesium exposure. Bull. Environ. Contam. Toxicol. 2016, 96, 347–353. [Google Scholar] [CrossRef]
- Nayek, S.; Gupta, S.; Saha, R. Effects of metal stress on biochemical response of some aquatic macrophytes growing along an industrial waste discharge channel. J. Plant Interact. 2010, 5, 91–99. [Google Scholar] [CrossRef]
- Maleva, M.G.; Malec, P.; Prasad, M.N.V.; Strzałka, K. Kinetics of nickel bioaccumulation and its relevance to selected cellular processes in leaves of Elodea canadensis during short-term exposure. Protoplasma 2015, 253, 543–551. [Google Scholar] [CrossRef] [PubMed]
- Lavid, N.; Schwartz, A.; Lewinsohn, E.; Tel-Or, E. Phenols and phenol oxidases are involved in cadmium accumulation in the water plants Nymphoides peltata (Menyanthaceae) and Nymphaeae (Nymphaeaceae). Planta 2001, 214, 189–195. [Google Scholar] [CrossRef]





| Initial Cs Concentration (μM) | Plants | |||
|---|---|---|---|---|
| B. amplexicaulis | E. densa | C. submersum | L. laevigantum | |
| 1 | 0.09 | 0.00 | 0.05 | 0.06 |
| 10 | 0.09 | 0.05 | 0.09 | 0.04 |
| 1000 | 0.02 | 0.04 | 0.13 | 0.10 |
Publisher’s Note: MDPI stays neutral with regard to jurisdictional claims in published maps and institutional affiliations. |
© 2022 by the authors. Licensee MDPI, Basel, Switzerland. This article is an open access article distributed under the terms and conditions of the Creative Commons Attribution (CC BY) license (https://creativecommons.org/licenses/by/4.0/).
Share and Cite
Zorza, L.; Bertins, M.; Saleniece, K.; Kizane, G.; Grinbergs, A.; Eismonts, U.; Reinholds, I.; Viksna, A.; Muter, O. Caesium-133 Accumulation by Freshwater Macrophytes: Partitioning of Translocated Ions and Enzyme Activity in Plants and Microorganisms. Sustainability 2022, 14, 1132. https://doi.org/10.3390/su14031132
Zorza L, Bertins M, Saleniece K, Kizane G, Grinbergs A, Eismonts U, Reinholds I, Viksna A, Muter O. Caesium-133 Accumulation by Freshwater Macrophytes: Partitioning of Translocated Ions and Enzyme Activity in Plants and Microorganisms. Sustainability. 2022; 14(3):1132. https://doi.org/10.3390/su14031132
Chicago/Turabian StyleZorza, Laura, Maris Bertins, Kristine Saleniece, Gunta Kizane, Andrejs Grinbergs, Ugis Eismonts, Ingars Reinholds, Arturs Viksna, and Olga Muter. 2022. "Caesium-133 Accumulation by Freshwater Macrophytes: Partitioning of Translocated Ions and Enzyme Activity in Plants and Microorganisms" Sustainability 14, no. 3: 1132. https://doi.org/10.3390/su14031132
APA StyleZorza, L., Bertins, M., Saleniece, K., Kizane, G., Grinbergs, A., Eismonts, U., Reinholds, I., Viksna, A., & Muter, O. (2022). Caesium-133 Accumulation by Freshwater Macrophytes: Partitioning of Translocated Ions and Enzyme Activity in Plants and Microorganisms. Sustainability, 14(3), 1132. https://doi.org/10.3390/su14031132

