Evaluation of the Ground Settlement in an Urban Area Resulting from a Small Curvature Tunneling Construction
Abstract
:1. Introduction
2. Literature Review
3. Peck’s Equation for Ground Settlement
4. Numerical Modeling
4.1. Geology Used in Numerical Model
4.2. Tunnel Excavation
4.3. Excavation Load
4.4. Excavation Trajectory
5. Results and Discussions
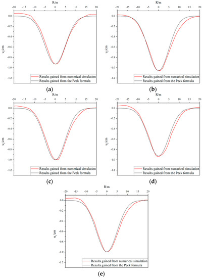
5.1. Comparison with the Results Gained from Peck’s Equation
5.2. Analysis of the Shape of the Settlement Curves
6. Conclusions
Author Contributions
Funding
Institutional Review Board Statement
Informed Consent Statement
Data Availability Statement
Conflicts of Interest
References
- Chen, X. Foreword. In Shield Tunnel Engineering; Wang, S., Fu, J., Zhang, C., Yang, J., Eds.; Elsevie: Amsterdam, The Netherlands, 2021; pp. xv–xvi. ISBN 978-0-12-823992-6. [Google Scholar]
- Yang, Y.; Zhou, B.; Xie, X.; Liu, C. Characteristics and Causes of Cracking and Damage of Shield Tunnel Segmented Lining in Construction Stage—A Case Study in Shanghai Soft Soil. Eur. J. Environ. Civ. Eng. 2018, 22, s213–s227. [Google Scholar] [CrossRef]
- Shi, C.; Wang, Z.; Gong, C.; Liu, J.; Peng, Z.; Cao, C. Prediction of the Additional Structural Response of Segmental Tunnel Linings Induced by Asymmetric Jack Thrusts. Tunn. Undergr. Space Technol. 2022, 124, 104471. [Google Scholar] [CrossRef]
- Deng, H.-S.; Fu, H.-L.; Yue, S.; Huang, Z.; Zhao, Y.-Y. Ground Loss Model for Analyzing Shield Tunneling-Induced Surface Settlement along Curve Sections. Tunn. Undergr. Space Technol. 2022, 119, 104250. [Google Scholar] [CrossRef]
- Peck, R.B. Deep Excavations and Tunneling in Soft Ground. In Proceedings of the 7th ICSMFE, Mexico City, Mexico, 29 August 1969; pp. 225–290. [Google Scholar]
- Islam, M.S.; Iskander, M. Twin Tunnelling Induced Ground Settlements: A Review. Tunn. Undergr. Space Technol. 2021, 110, 103614. [Google Scholar] [CrossRef]
- Li, Y.; Lin, J.; Yan, S.; Du, J. Modification of the Peck Formula for a Double-Track Shield Tunnel under Expressway Subgrade. Symmetry 2022, 14, 1904. [Google Scholar] [CrossRef]
- Gao, Y.; Liu, Y.; Tang, P.; Mi, C. Modification of Peck Formula to Predict Surface Settlement of Tunnel Construction in Water-Rich Sandy Cobble Strata and Its Program Implementation. Sustainability 2022, 14, 14545. [Google Scholar] [CrossRef]
- Zhang, Q.; Wu, K.; Cui, S.; Yu, Y.; Zhang, Z.; Zhao, J. Surface Settlement Induced by Subway Tunnel Construction Based on Modified Peck Formula. Geotech. Geol. Eng. 2019, 37, 2823–2835. [Google Scholar] [CrossRef]
- Loganathan, N.; Poulos, H.G. Analytical Prediction for Tunneling-Induced Ground Movements in Clays. J. Geotech. Geoenviron. Eng. 1998, 124, 846–856. [Google Scholar] [CrossRef]
- Zhang, D.-M.; Huang, Z.-K.; Li, Z.-L.; Zong, X.; Zhang, D.-M. Analytical Solution for the Response of an Existing Tunnel to a New Tunnel Excavation Underneath. Comput. Geotech. 2019, 108, 197–211. [Google Scholar] [CrossRef]
- Zeng, B.; Huang, D. Soil Deformation Induced by Double-O-Tube Shield Tunneling with Rolling Based on Stochastic Medium Theory. Tunn. Undergr. Space Technol. 2016, 60, 165–177. [Google Scholar] [CrossRef]
- Mooney, M.A.; Grasmick, J.; Kenneally, B.; Fang, Y. The Role of Slurry TBM Parameters on Ground Deformation: Field Results and Computational Modelling. Tunn. Undergr. Space Technol. 2016, 57, 257–264. [Google Scholar] [CrossRef]
- Zhu, H.; Zhang, Q.; Huang, B.; Zhang, L. A Constitutive Model Based on the Modified Generalized Three-Dimensional Hoek–Brown Strength Criterion. Int. J. Rock Mech. Min. Sci. 2017, 98, 78–87. [Google Scholar] [CrossRef]
- Zhang, K.; Lyu, H.-M.; Shen, S.-L.; Zhou, A.; Yin, Z.-Y. Evolutionary Hybrid Neural Network Approach to Predict Shield Tunneling-Induced Ground Settlements. Tunn. Undergr. Space Technol. 2020, 106, 103594. [Google Scholar] [CrossRef]
- Wang, J.; Feng, K.; Wang, Y.; Lin, G.; He, C. Soil Disturbance Induced by EPB Shield Tunnelling in Multilayered Ground with Soft Sand Lying on Hard Rock: A Model Test and DEM Study. Tunn. Undergr. Space Technol. 2022, 130, 104738. [Google Scholar] [CrossRef]
- Zhang, M.; Li, S.; Li, P. Numerical Analysis of Ground Displacement and Segmental Stress and Influence of Yaw Excavation Loadings for a Curved Shield Tunnel. Comput. Geotech. 2020, 118, 103325. [Google Scholar] [CrossRef]
- Fang, K.; Yang, Z.; Jiang, Y.; Sun, Z.; Wang, Z. Surface Subsidence Characteristics of Fully Overlapping Tunnels Constructed Using Tunnel Boring Machine in a Clay Stratum. Comput. Geotech. 2020, 125, 103679. [Google Scholar] [CrossRef]
- Hasanpour, R.; Rostami, J.; Thewes, M.; Schmitt, J. Parametric Study of the Impacts of Various Geological and Machine Parameters on Thrust Force Requirements for Operating a Single Shield TBM in Squeezing Ground. Tunn. Undergr. Space Technol. 2018, 73, 252–260. [Google Scholar] [CrossRef]
- Feng, X.; Wang, P.; Liu, S.; Wei, H.; Miao, Y.; Bu, S. Mechanism and Law Analysis on Ground Settlement Caused by Shield Excavation of Small-Radius Curved Tunnel. Rock Mech. Rock Eng. 2022, 55, 3473–3488. [Google Scholar] [CrossRef]
- Li, S.; Zhang, M.; Li, P. Analytical Solutions to Ground Settlement Induced by Ground Loss and Construction Loadings during Curved Shield Tunneling. J. Zhejiang Univ. Sci. A 2021, 22, 296–313. [Google Scholar] [CrossRef]
- Cai, W.; Zhu, H.; Liang, W. Three-Dimensional Stress Rotation and Control Mechanism of Deep Tunneling Incorporating Generalized Zhang–Zhu Strength-Based Forward Analysis. Eng. Geol. 2022, 308, 106806. [Google Scholar] [CrossRef]
- Pang, R.; Xu, B.; Zhou, Y.; Song, L. Seismic Time-History Response and System Reliability Analysis of Slopes Considering Uncertainty of Multi-Parameters and Earthquake Excitations. Comput. Geotech. 2021, 136, 104245. [Google Scholar] [CrossRef]
- Pang, R.; Zhou, Y.; Chen, G.; Jing, M.; Yang, D. Stochastic Mainshock–Aftershock Simulation and Its Applications in Dynamic Reliability of Structural Systems via DPIM. J. Eng. Mech. 2022, 149, 04022096. [Google Scholar] [CrossRef]
- Meng, F.; Chen, R.; Kang, X. Effects of Tunneling-Induced Soil Disturbance on the Post-Construction Settlement in Structured Soft Soils. Tunn. Undergr. Space Technol. 2018, 80, 53–63. [Google Scholar] [CrossRef]
- O’Reilly, M.P.; New, B.M. Settlements Above Tunnels in the United Kingdom—Their Magnitude and Prediction; Institution of Mining and Metallurgy: London, UK, 1982. [Google Scholar]
- Dias, D.; Kastner, R.; Maghazi, M. Three Dimensional Simulation of Slurry Shield Tunnelling. In Geotechnical Aspects of Underground Construction on Soft Ground; August Aimé Balkema: Rotterdam, The Netherlands, 2000; pp. 351–356. [Google Scholar]
- Nematollahi, M.; Molladavoodi, H.; Dias, D. Three-Dimensional Numerical Simulation of the Shiraz Subway Second Line—Influence of the Segmental Joints Geometry and of the Lagging Distance between Twin Tunnels’ Faces. Eur. J. Environ. Civ. Eng. 2020, 24, 1606–1622. [Google Scholar] [CrossRef]
- Hasanpour, R.; Rostami, J.; Ünver, B. 3D Finite Difference Model for Simulation of Double Shield TBM Tunneling in Squeezing Grounds. Tunn. Undergr. Space Technol. 2014, 40, 109–126. [Google Scholar] [CrossRef]
- Bentley PLAXIS 3D-Reference Manual 2022. Available online: https://communities.bentley.com/products/geotech-analysis/w/wiki/46137/manuals---plaxis (accessed on 28 November 2022).
- Jallow, A.; Ou, C.-Y.; Lim, A. Three-Dimensional Numerical Study of Long-Term Settlement Induced in Shield Tunneling. Tunn. Undergr. Space Technol. 2019, 88, 221–236. [Google Scholar] [CrossRef]
- Kasper, T.; Meschke, G. On the Influence of Face Pressure, Grouting Pressure and TBM Design in Soft Ground Tunnelling. Tunn. Undergr. Space Technol. 2006, 21, 160–171. [Google Scholar] [CrossRef]
- Burland, J.B.; Standing, J.R.; Jardine, F.M. Assessing the Risk of Building Damage Due to Tunnelling—Lessons From the Jubi-lee Line Extension, London. In Proceedings of the Fourteenth South-East Asian Geotechnical Conference, Hong Kong, 10–14 December 2001. [Google Scholar]









| Soil | Thickness (m) | Unit Weight (kN/m3) | Young’s Modulus (kN/m2) | Poisson’s Ratio | Cohesion (kN/m2) | Friction Angle (°) |
|---|---|---|---|---|---|---|
| Upper Sand | 2 | 20 | 0.3 | 1 | 31 | |
| Clay | 12 | 18 | 0.35 | 5 | 25 | |
| Stiff Sand | 6 | 20 | 0.3 | 1 | 31 |
| Method | Thickness (m) | Diameter of the Cylinder (m) | Length of TBM (m) | Unit Weight (kN/m2) |
|---|---|---|---|---|
| Shield | 0.17 | 8.5 | 9.0 | 247 |
| Condition | Tunnel Modeling Trajectory |
|---|---|
| Case I | 25 m straight line |
| Case II | 25 m straight line with 5° deflection |
| Case III | 25° of the shield tunnel |
| Case IV | 45° of the shield tunnel |
| Case V | 65° of the shield tunnel |
| Case VI | 85° of the shield tunnel |
| R (m) | ||
|---|---|---|
| Case I | 0.98 | 0 |
| Case II | 0.93 | 0.38 |
| Case III | 1.06 | 0.19 |
| Case IV | 1.00 | 0.48 |
| Case V | 0.93 | 0.09 |
| Case VI | 0.99 | 0.03 |
Publisher’s Note: MDPI stays neutral with regard to jurisdictional claims in published maps and institutional affiliations. |
© 2022 by the authors. Licensee MDPI, Basel, Switzerland. This article is an open access article distributed under the terms and conditions of the Creative Commons Attribution (CC BY) license (https://creativecommons.org/licenses/by/4.0/).
Share and Cite
Tang, L.; Zhou, Q.; Wang, S.; Yao, W.; Zhang, B.; Xiang, K.; Satyanaga, A.; Tao, J. Evaluation of the Ground Settlement in an Urban Area Resulting from a Small Curvature Tunneling Construction. Sustainability 2022, 14, 16230. https://doi.org/10.3390/su142316230
Tang L, Zhou Q, Wang S, Yao W, Zhang B, Xiang K, Satyanaga A, Tao J. Evaluation of the Ground Settlement in an Urban Area Resulting from a Small Curvature Tunneling Construction. Sustainability. 2022; 14(23):16230. https://doi.org/10.3390/su142316230
Chicago/Turabian StyleTang, Lixian, Qiang Zhou, Shoulong Wang, Wenjie Yao, Bowei Zhang, Ke Xiang, Alfrendo Satyanaga, and Jin Tao. 2022. "Evaluation of the Ground Settlement in an Urban Area Resulting from a Small Curvature Tunneling Construction" Sustainability 14, no. 23: 16230. https://doi.org/10.3390/su142316230
APA StyleTang, L., Zhou, Q., Wang, S., Yao, W., Zhang, B., Xiang, K., Satyanaga, A., & Tao, J. (2022). Evaluation of the Ground Settlement in an Urban Area Resulting from a Small Curvature Tunneling Construction. Sustainability, 14(23), 16230. https://doi.org/10.3390/su142316230

