Green Cities for Environmental Citizenship: A Systematic Literature Review of Empirical Research from 31 Green Cities of the World
Abstract
1. Introduction
2. Theoretical Framework
2.1. The Concept of a “Green City”
2.2. Citizens’ Engagement in Green Cities
2.3. Environmental Citizenship (EC)
EC Competences-EC Actions-EEC Outcomes
3. Rationale and Research Questions
- RQ1: What are the main green policies adopted by green cities?
- RQ2: Which opportunities do green cities offer for citizens’ engagement?
- RQ3: How do green cities contribute to citizens’ EC?
- RQ4: How can green cities further support the development of citizens’ EC?
4. Methodology
4.1. Data Collection
4.2. Coding Schemes and Typologies
4.3. Data Analysis
5. Findings
5.1. Overview—General Characteristics of the Green Cities
5.2. Implemented Green Policies
5.3. Citizens’ Engagement in Green Cities
5.4. Education for Environmental Citizenship
5.4.1. EC Competences
5.4.2. EC Actions
5.4.3. EEC Outcomes
5.5. Interrelatedness among Implemented Green Policies, Citizens’ Engagement and Education for Environmental Citizenship
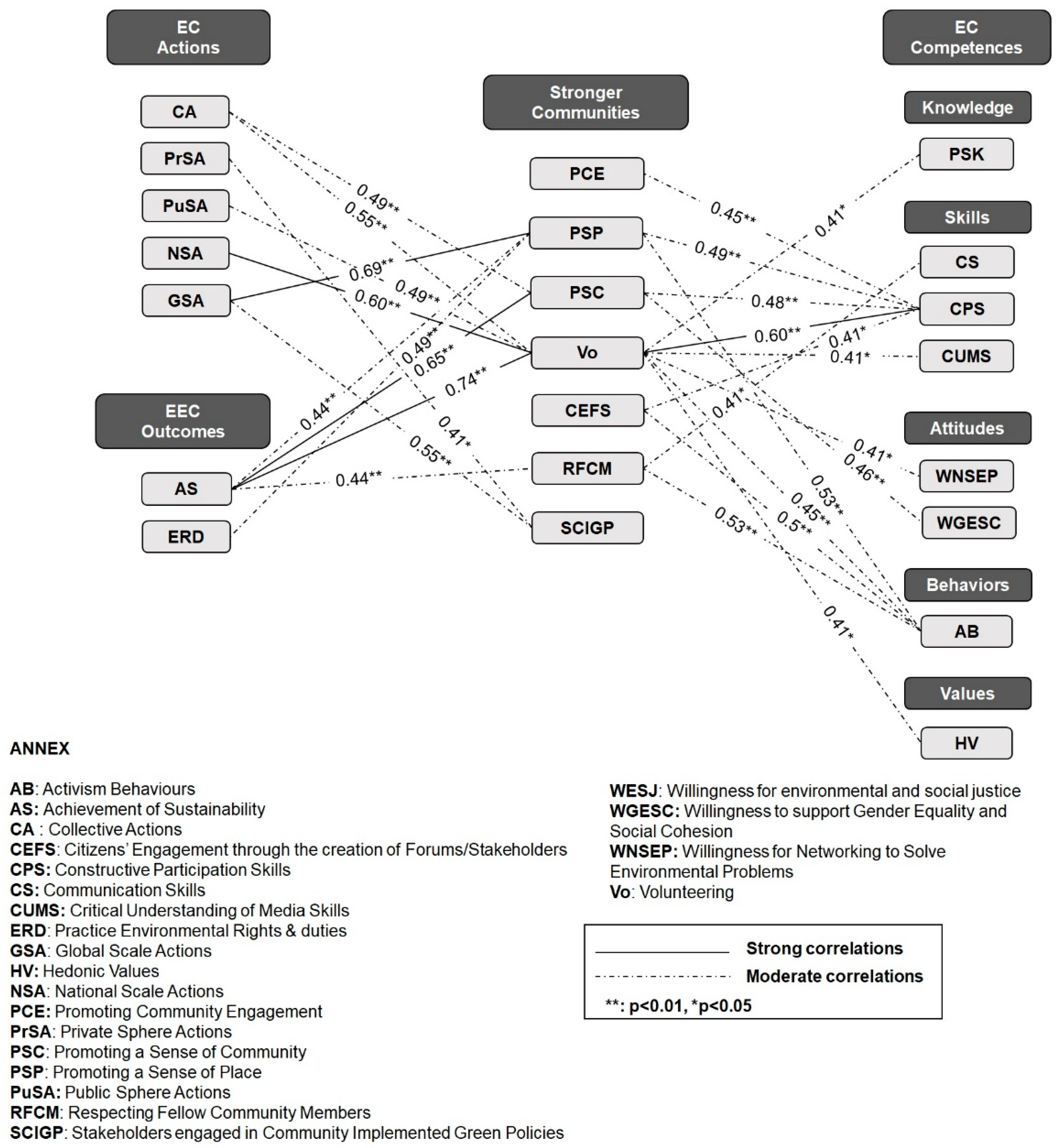
5.5.1. Bivariate Correlations
5.5.2. Keystone Components and Peripheral Components
6. Discussion
6.1. The Main Implemented Green Policies Adopted by the Green Cities (RQ1)
6.2. Opportunities for Citizens’ Engagement in Green Cities (RQ2)
6.3. Green Cities Contribute to Citizens’ Environmental Citizenship (RQ3)
6.4. Green Cities Support Citizens’ Environmental Citizenship through Their Engagement in Implemented Green Policies (RQ4)
7. Conclusions
8. Limitations
9. Future Directions
Supplementary Materials
Author Contributions
Funding
Institutional Review Board Statement
Informed Consent Statement
Data Availability Statement
Acknowledgments
Conflicts of Interest
Appendix A
- Anantharaman, M. (2014). Networked ecological citizenship, the new middle classes and the provisioning of sustainable waste management in Bangalore, India. Journal of Cleaner Production, 63, 173-183.
- Batterbury, S. (2003). Environmental activism and social networks: Campaigning for bicycles and alternative transport in West London. The Annals of the American Academy of Political and Social Science, 590(1), 150-169.
- Bibri, S. E. (2020). The eco-city and its core environmental dimension of sustainability: green energy technologies and their integration with data-driven smart solutions. Energy Informatics, 3(1), 1-26.
- Bigg, M., Brooks, I., Clayton, W., Darwen, J., Gough, G., Hyland, F., ... & Willmore, C. (2018). Bridging the gap: a case study of a partnership approach to skills development through student engagement in Bristol’s Green Capital year. Higher Education Pedagogies, 3(1), 417-428.
- Chettri, M. (2019). Making ‘Green Citizens’ in Ilam: Development and Transformation in East Nepal. South Asia: Journal of South Asian Studies, 42(5), 971-987.
- De Jong, M., Wang, D., & Yu, C. (2013). Exploring the relevance of the eco-city concept in China: the case of Shenzhen Sino-Dutch low carbon city. Journal of Urban Technology, 20(1), 95-113.
- Falanga, R., Verheij, J., & Bina, O. (2021). Green (er) cities and their citizens: insights from the participatory budget of Lisbon. Sustainability, 13(15), 8243.
- Freytag, T., Gössling, S., & Mössner, S. (2014). Living the green city: Freiburg’s Solarsiedlung between narratives and practices of sustainable urban development. Local Environment, 19(6), 644-659.
- Glaas, E., Hjerpe, M., Karlson, M., & Neset, T. S. (2020). Visualization for citizen participation: User perceptions on a mainstreamed online participatory tool and its usefulness for climate change planning. Sustainability, 12(2), 705.
- Hamman, P. (2019). Local governance of energy transition: sustainability, transactions and social ties. A case study in Northeast France. International Journal of Sustainable Development & World Ecology, 26(1), 1-10.
- Huang, H. T., & Glaser, R. (2021). Participatory Impetus for and Forms of Citizens’ Co-Owned Power Plants: Cases from Higashi-Ohmi, Japan. Energies, 14(7), 1843.
- Ito, H., & Igano, C. (2020). Place-based environmental education to promote eco-initiatives: the case of Yokohama, Japan. Regional Studies, Regional Science, 7(1), 292-308.
- McVey, D., Nash, R., & Stansbie, P. (2018). The motivations and experiences of community garden participants in Edinburgh, Scotland. Regional Studies, Regional Science, 5(1), 40-56.
- Mees, H. L. P., & Driessen, P. P. (2011). Adaptation to climate change in urban areas: Climate-greening London, Rotterdam, and Toronto. Climate law, 2(2), 251-280.
- Munkhsuld, E., Ochir, A., Koop, S., van Leeuwen, K., & Batbold, T. (2020). Application of the city blueprint approach in landlocked asian countries: A case study of Ulaanbaatar, Mongolia. Water, 12(1), 199.
- Olczak, B., Wilkosz-Mamcarczyk, M., & Sosnova, N. (2020). Identification and delimitation of areas in need of nature-based solutions. An approach based on the quality of space in the context of cultural heritage in Krakow.
- Ortiz-Moya, F. (2020). Green growth strategies in a shrinking city: Tackling urban revitalization through environmental justice in Kitakyushu City, Japan. Journal of Urban Affairs, 42(3), 312-332.
- Popova, Y., & Sproge, I. (2021). Decision-Making within Smart City: Waste Sorting. Sustainability, 13(19), 10586.
- Prasetiyo, W. H., Kamarudin, K. R., & Dewantara, J. A. (2019). Surabaya green and clean: Protecting urban environment through civic engagement community. Journal of Human Behavior in the Social Environment, 29(8), 997-1014.
- Sakina, F. P., Sumartono, S., & Nuh, M. (2018). Community Participation in Green City Action Plan (Study about Implementation of Green City Development Program in Tulungagung). Wacana Journal of Social and Humanity Studies, 21(3).
- Saldert, H. (2017). From ecocycle to sustainable growth: governing sustainability in Stockholm and Växjö. Urban Research & Practice, 10(4), 403-422.
- Stobbelaar, D. J., van der Knaap, W., & Spijker, J. (2021). Greening the city: How to get rid of garden pavement! The ‘steenbreek’program as a dutch example. Sustainability, 13(6), 3117.
- Szyja, P. (2019). Green Cities in Asia–case studies. Ekonomia i Środowisko-Economics and Environment, 69(2), 15-15.
- Wang, F., & Wang, K. (2017). Assessing the effect of eco-city practices on urban sustainability using an extended ecological footprint model: A case study in Xi’an, China. Sustainability, 9(9), 1591.
- Williams, J. (2012). Regulative, facilitative and strategic contributions of planning to achieving low carbon development. Planning Theory and Practice, 13(1), 109-169.
References
- Lehmann, S. What is Green Urbanism? Holistic Principles to Transform Cities for Sustainability. In Climate Change—Research and Technology for Adaptation and Mitigation; Blanco, J., Kheradmand, H., Eds.; IntechOpen: London, UK, 2010. [Google Scholar] [CrossRef]
- Romero, H.; Ihl, M.; Rivera, A.; Zalazar, P.; Azocar, P. Rapid urban growth, land-use changes and air pollution in Santiago, Chile. Atmos. Environ. 1999, 33, 4039–4047. [Google Scholar] [CrossRef]
- You, H. Impact of urbanization on pollution-related agricultural input intensity in Hubei, China. Ecol. Indic. 2016, 62, 249–258. [Google Scholar] [CrossRef]
- Chen, J.; Gao, J.; Chen, W. Urban land expansion and the transitional mechanisms in Nanjing, China. Habitat Int. 2016, 53, 274–283. [Google Scholar] [CrossRef]
- Prasetiyo, W.H.; Kamarudin, K.R.; Dewantara, J.A. Surabaya green and clean: Protecting urban environment through civic engagement community. J. Hum. Behav. Soc. Environ. 2019, 29, 997–1014. [Google Scholar] [CrossRef]
- Buijs, A.E.; Mattijssen, T.J.; van der Jagt, A.P.; Ambrose-Oji, B.; Andersson, E.; Elands, B.H.; Steen Møller, M. Active citizenship for urban green infrastructure: Fostering the diversity and dynamics of citizen contributions through mosaic governance. Curr. Opin. Environ. Sustain. 2016, 22, 1–6. [Google Scholar] [CrossRef]
- Lindfield, M.; Steinberg, F. Green Cities; Asian Development Bank: Manila, Philippines, 2012. [Google Scholar]
- Venkatesh, G. A critique of the European Green City Index. J. Environ. Plan. Manag. 2014, 57, 317–328. [Google Scholar] [CrossRef]
- Zain, A.F.M.; Pribadi, D.O.; Indraprahasta, G.S. Revisiting the Green City Concept in the Tropical and Global South Cities Context: The Case of Indonesia. Front. Environ. Sci. 2022, 10, 787204. Available online: https://www.frontiersin.org/article/10.3389/fenvs.2022.7872 (accessed on 15 March 2022). [CrossRef]
- Pace, R.; Churkina, G.; Rivera, M. How Green is a “Green City”? A Review of Existing Indicators and Approaches; IASS Working Paper; December 2016. [Google Scholar] [CrossRef]
- Jabbar, M.; Yusoff, M.M.; Shafie, A. Assessing the role of urban green spaces for human well-being: A systematic review. GeoJournal 2022, 87, 4405–4423. [Google Scholar] [CrossRef] [PubMed]
- Freytag, T.; Gössling, S.; Mössner, S. Living the green city: Freiburg’s Solarsiedlung between narratives and practices of sustainable urban development. Local Environ. 2014, 19, 644–659. [Google Scholar] [CrossRef]
- Elelman, R.; Feldman, D. The future of citizen engagement in cities-The council of citizen engagement in sustainable urban strategies (ConCensus). Futures 2018, 101, 80–91. [Google Scholar] [CrossRef]
- Berkes, F.; Ross, H. Community resilience: Toward an integrated approach. Soc. Nat. Resour. 2013, 26, 5–20. [Google Scholar] [CrossRef]
- Campagnaro, T.; Vecchiato, D.; Arnberger, A.; Celegato, R.; da Re, R.; Rizzetto, R.; Semenzato, P.; Sitzia, T.; Tempesta, T.; Cattaneo, D. General, stress relief and perceived safety preferences for green spaces in the historic city of Padua (Italy). Urban For. Urban Green. 2020, 52, 126695. [Google Scholar] [CrossRef]
- Krasny, M.E.; Tidball, K.G. Civic ecology: A pathway for Earth Stewardship in cities. Front. Ecol. Environ. 2012, 10, 267–273. [Google Scholar] [CrossRef] [PubMed]
- Schild, R. Fostering environmental citizenship: The motivations and outcomes of civic recreation. J. Environ. Plan. Manag. 2018, 61, 924–949. [Google Scholar] [CrossRef]
- Kronsell, A. Legitimacy for climate policies: Politics and participation in the Green City of Freiburg. Local Environ. 2013, 18, 965–982. [Google Scholar] [CrossRef]
- Roseland, M. Toward Sustainable Communities: Solutions for Citizens and Their Governments, 4th ed.; New Society Publishers: New York, NY, USA, 2012. [Google Scholar]
- Brilhante, O.; Klaas, J. Green city concept and a method to measure green city performance over time applied to fifty cities globally: Influence of GDP, population size and energy efficiency. Sustainability 2018, 10, 2031. [Google Scholar] [CrossRef]
- Kahn, M.E. Green Cities: Urban Growth and the Environment; Brookings Institution Press: Washington, DC, USA, 2006; Available online: http://www.jstor.org/stable/10.7864/j.ctt6wpfq3 (accessed on 15 March 2022).
- United Nations Environment Programme UNEP Annual Report 2011, UNEP Division of Communications and Public Information. 2012. Available online: http://www.unep.org/annualreport (accessed on 15 March 2022).
- Bibri, S.E. Advances in the Leading Paradigms of Urbanism and their Amalgamation Compact Cities, Eco–Cities, and Data–Driven Smart Cities, 1st ed.; Springer: Cham, Switzerland, 2020. [Google Scholar]
- Flynn, A.; Yu, L.; Feindt, P.; Chen, C. Eco-cities, governance and sustainable lifestyles: The case of the Sino-Singapore Tianjin Eco-City. Habitat Int. 2016, 53, 78–86. [Google Scholar] [CrossRef]
- van Dijk, M.P. Measuring eco cities, comparing European and Asian experiences: Rotterdam versus Beijing. Asia Eur. J. 2015, 13, 75–94. [Google Scholar] [CrossRef]
- Joss, S.; Tomozeiu, D.; Cowley, R. Eco-city indicators: Governance challenges. In Sustainable City VII; WIT Press: Rome, Italy, 2017; Volume 155. [Google Scholar] [CrossRef]
- Hu, S.; Chen, J. Place-based inter-generational communication on local climate improves adolescents’ perceptions and willingness to mitigate climate change. Clim. Chang. 2016, 138, 425–438. [Google Scholar] [CrossRef]
- Wamsler, C.; Alkan-Olsson, J.; Björn, H.; Falck, H.; Hanson, H.; Oskarsson, T.; Simonsson, E.; Zelmerlow, F. Beyond participation: When citizen engagement leads to undesirable outcomes for nature-based solutions and climate change adaptation. Clim. Chang. 2020, 158, 235–254. [Google Scholar] [CrossRef]
- Stamm, L. Civic Engagement in Higher Education: Concepts and Practices. J. Coll. Character 2009, 10, 4. [Google Scholar] [CrossRef]
- Barney, D. The morning after: Citizen engagement in technological society. Techné Res. Philos. Technol. 2006, 9, 23–31. [Google Scholar] [CrossRef]
- Adler, R.P.; Goggin, J. What Do We Mean By “Civic Engagement”? J. Transform. Educ. 2005, 3, 236–253. [Google Scholar] [CrossRef]
- Hadjichambis, A.C.; Paraskeva-Hadjichambi, D. Education for Environmental Citizenship: The Pedagogical Approach. In Con-Ceptualizing Environmental Citizenship for 21st Century Education; Hadjichambis, A.C., Reis, P., Paraskeva-Hadjichambi, D., Činčera, J., Boeve-de Pauw, J., Gericke, N., Knippels, M.-C., Eds.; Environmental Discourses in Science Education; Springer: Cham, Switzerland, 2020; Volume 4, pp. 237–261. [Google Scholar] [CrossRef]
- Moher, D.; Liberati, A.; Tetzlaff, J.; Altman, D.G. Preferred reporting items for systematic reviews and meta-analyses: The PRISMA statement. BMJ 2009, 339, b2535. [Google Scholar] [CrossRef] [PubMed]
- Han, J.; Kamber, M.; Pei, J. 10—Cluster Analysis: Basic Concepts and Methods. In Data Mining, 3rd ed.; Han, J., Kamber, M., Pei, J., Eds.; Morgan Kaufmann: Burlington, MA, USA, 2012; pp. 443–495. [Google Scholar] [CrossRef]
- Charmaz, K.; Belgrave, L.L. Thinking About Data with Grounded Theory. Qual. Inq. 2019, 25, 743–753. [Google Scholar] [CrossRef]
- Aronson, M.F.J.; Lepczyk, C.A.; Evans, K.L.; Goddard, M.A.; Lerman, S.B.; MacIvor, J.S.; Nilon, C.H.; Vargo, T. Biodiversity in the city: Key challenges for urban green space management. Front. Ecol. Environ. 2017, 15, 189–196. [Google Scholar] [CrossRef]
- Fisher, J.C.; Bicknell, J.E.; Irvine, K.N.; Hayes, W.M.; Fernandes, D.; Mistry, J.; Davies, Z.G. Bird diversity and psychological wellbeing: A comparison of green and coastal blue space in a neotropical city. Sci. Total Environ. 2021, 793, 148653. [Google Scholar] [CrossRef]
- Fisher, J.C.; Irvine, K.N.; Bicknell, J.E.; Hayes, W.M.; Fernandes, D.; Mistry, J.; Davies, Z.G. Perceived biodiversity, sound, naturalness and safety enhance the restorative quality and wellbeing benefits of green and blue space in a neotropical city. Sci. Total Environ. 2021, 755, 143095. [Google Scholar] [CrossRef]
- Houlden, V.; Jani, A.; Hong, A. Is biodiversity of greenspace important for human health and wellbeing? A bibliometric analysis and systematic literature review. Urban For. Urban Green. 2021, 66, 127385. [Google Scholar] [CrossRef]
- Christensen, T.B. Towards a circular economy in cities: Exploring local modes of governance in the transition towards a circular economy in construction and textile recycling. J. Clean. Prod. 2021, 305, 127058. [Google Scholar] [CrossRef]
- Pinto da Silva, F.; Brandão, F.; Sousa, B.M. Towards socially sustainable tourism in cities: Local community perceptions and development guidelines. Enl. Tour. A Pathmaking J. 2019, 9, 168–198. [Google Scholar] [CrossRef]
- Bherer, L.; Gauthier, M.; Simard, L. The Professionalization of Public Participation, 1st ed.; Routledge: New York, NY, USA, 2017. [Google Scholar]
- de Zúñiga, H.G.; Veenstra, A.; Vraga, E.; Shah, D. Digital Democracy: Reimagining Pathways to Political Participation. J. Inf. Technol. Politics 2010, 7, 36–51. [Google Scholar] [CrossRef]
- Adiyarta, K.; Napitupulu, D.; Syafrullah, M.; Mahdiana, D.; Rusdah, R. Analysis of smart city indicators based on prisma: Systematic review. IOP Conf. Ser. Mater. Sci. Eng. 2020, 725, 012113. [Google Scholar] [CrossRef]
- Adamou, A.; Georgiou, Y.; Paraskeva-Hadjichambi, D.; Hadjichambis, A.C. Environmental Citizen Science Initiatives as a Springboard towards the Education for Environmental Citizenship: A Systematic Literature Review of Empirical Research. Sustainability 2021, 13, 13692. [Google Scholar] [CrossRef]
- Bouman, T.; Steg, L.; Perlaviciute, G. From values to climate action. Curr. Opin. Psychol. 2021, 42, 102–107. [Google Scholar] [CrossRef]
- Curtin, N.; McGarty, C. Expanding on psychological theories of engagement to understand activism in context (s). J. Soc. Issues 2016, 72, 227–241. [Google Scholar] [CrossRef]
- Sinakou, E.; Donche, V.; Boeve-de Pauw, J.; van Petegem, P. Development and validation of a questionnaire on teachers’ instructional beliefs and practices in education for sustainable development. Environ. Educ. Res. 2021, 27, 1305–1328. [Google Scholar]
- Stern, P.C. Toward a Coherent Theory of Environmentally Significant Behavior. J. Soc. Issues 2000, 56, 407–424. [Google Scholar] [CrossRef]
- Dobson, A. Environmental citizenship: Towards sustainable development. Sustain. Dev. 2007, 15, 276–285. [Google Scholar] [CrossRef]
- Datta, R. Sustainability: Through cross-cultural community garden activities. Local Environ. 2019, 24, 762–776. [Google Scholar] [CrossRef]
- Sturiale, L.; Scuderi, A. The Evaluation of Green Investments in Urban Areas: A Proposal of an eco-social-green Model of the City. Sustainability 2018, 10, 4541. [Google Scholar] [CrossRef]
- Valencia Sáiz, A. Globalisation, Cosmopolitanism and Ecological Citizenship. Environ. Politics 2005, 14, 163–178. [Google Scholar] [CrossRef]
- Wilks, J. Child-friendly cities: A place for active citizenship in geographical and environmental education. Int. Res. Geogr. Environ. Educ. 2010, 19, 25–38. [Google Scholar] [CrossRef]
- Afzal, A.; Hussain, N. Impact of Community Service Learning on the Social Skills of Students. J. Educ. Educ. Dev. 2020, 7, 55–70. [Google Scholar] [CrossRef]
- Güntert, S.T.; Wehner, T.; Mieg, H.A. Volunteer Work as a Matter of Motivation. In Organizational, Motivational, and Cultural Contexts of Volunteering; SpringerBriefs in Psychology; Springer: Cham, Switzerland, 2022. [Google Scholar] [CrossRef]
- Gauthier, A.J.; Guertin, C.; Pelletier, L.G. Motivated to eat green or your greens? Comparing the role of motivation towards the environment and for eating regulation on ecological eating behaviours—A Self-Determination Theory perspective. Food Qual. Prefer. 2022, 99, 104570. [Google Scholar] [CrossRef]
- Pelletier, L.G.; Baxter, D.; Huta, V. Personal autonomy and environmental sustainability. In Human Autonomy in Cross-Cultural Context: Perspectives on the Psychology of Agency, Freedom, and Well-Being; Chirkov, V.I., Ryan, R.M., Sheldon, K.M., Eds.; Springer Science + Business Media: Berlin/Heidelberg, Germany, 2011; pp. 257–277. [Google Scholar] [CrossRef]
- Truelove, H.B.; Carrico, A.R.; Weber, E.U.; Raimi, K.T.; Vandenbergh, M.P. Positive and negative spillover of pro-environmental behavior: An integrative review and theoretical framework. Glob. Environ. Chang. 2014, 29, 127–138. [Google Scholar] [CrossRef]
- Combes Motel, P.; Choumert, J.; Minea, A.; Sterner, T. Explorations in the Environment-Development Dilemma. Environ. Resour. Econ. 2014, 57, 479–485. [Google Scholar] [CrossRef]
- Heldeweg, M.A.; Saintier, S. Renewable energy communities as ‘socio-legal institutions’: A normative frame for energy decentralization? Renew. Sustain. Energy Rev. 2020, 119, 109518. [Google Scholar] [CrossRef]
- Huang, H.T.; Glaser, R. Participatory impetus for and forms of citizens’ co-owned power plants: Cases from higashi-ohmi, Japan. Energies 2021, 14, 1843. [Google Scholar] [CrossRef]
- Rice, J.L.; Cohen, D.A.; Long, J.; Jurjevich, J.R. Contradictions of the Climate-Friendly City: New Perspectives on Eco-Gentrification and Housing Justice. Int. J. Urban Reg. Res. 2020, 44, 145–165. [Google Scholar] [CrossRef]
- Blake, J. Overcoming the ‘value-action gap’ in environmental policy: Tensions between national policy and local experience. Local Environment. Local Environ. 1999, 4, 257–278. [Google Scholar] [CrossRef]
- Hadjichambis, A.C. European Green Deal and Environmental Citizenship: Two Interrelated Concepts. In Proceedings of Environmental Sciences, 10–11 March 2022. [Google Scholar] [CrossRef]
- Mingers, J.; Leydesdorff, L. A review of theory and practice in scientometrics. Eur. J. Oper. Res. 2015, 246, 1–19. [Google Scholar] [CrossRef]
- Mongeon, P.; Paul-Hus, A. The journal coverage of Web of Science and Scopus: A comparative analysis. Scientometrics 2016, 106, 213–228. Available online: https://EconPapers.repec.org/RePEc:spr:scient:v:106:y:2016:i:1:d:10.1007_s11192-015-1765-5 (accessed on 15 March 2022). [CrossRef]















| Implemented Green Policies | N | % |
|---|---|---|
| Green Areas and Biodiversity (GAB) | n = 15 | 48.4% |
| Green Economy (GE) | n = 14 | 45.2% |
| Green Service Industry (GE-GSI) | n = 5 | 16.1% |
| Circular Economy (GE-CE) | n = 5 | 16.1% |
| Green Service Industry (e.g., green commerce) (GE-GSI) | n = 2 | 6.5% |
| Green Jobs (GE-GJ) | n = 2 | 6.5% |
| Goods Consumption (GE-GC) | n = 1 | 3.3% |
| Sustainable Energy Consumption (SEC) | n = 11 | 35.5% |
| Practices to tackle Climate Change (PCC) | n = 8 | 25.8% |
| Water Resources Management (WRM) | n = 8 | 25.8% |
| Sustainable Build Environment (SBE) | n = 7 | 22.5% |
| Solid Waste Management (SWM) | n = 7 | 22.5% |
| Sustainable Trafficking and Transportation (STT) | n = 7 | 22.5% |
| Sustainable Tourism (ST) | n = 5 | 16.1% |
| Ambient Air Quality (AAQ) | n = 5 | 16.1% |
| Liquid Waste Management (LWM) | n = 3 | 9.7% |
| Sustainable Food Systems (SFS) | n = 2 | 6.5% |
| Culture and the Environment (CE) | n = 1 | 3.3% |
| Quality of the Acoustic Environment (QAE) | n = 1 | 3.3% |
| Citizens’ Engagement in Green Cities | N | % |
|---|---|---|
| Environmental Governance | n = 28 | 90.3% |
| Partnership between the Public and the Private sector (PPP) | n = 20 | 64.5% |
| Citizens become aware due to Access to Open Data and Information (CAODI) | n = 13 | 41.9% |
| Stakeholders engaged in Environmental Governance (e.g., NGO’s) (SEG) | n = 9 | 26.59% |
| Citizens participated in Environmental Governance (CEG) | n = 7 | 22.5% |
| Agents of Change | n = 7 | 22.5% |
| Citizens participated in Environmental Governance via Social Media (CEGSM) | n = 4 | 12.9% |
| Citizens took part in Opinion Polls (COP) | n = 1 | 3.3% |
| Stronger Communities | n = 18 | 58% |
| Promoting Community Engagement (PCE) | n = 12 | 38.7% |
| Citizens’ Engagement through the creation of Forums/Stakeholders (CEFS) | n = 11 | 35.4% |
| Volunteering (Vo) | n = 5 | 16.1% |
| Promoting a Sense of Community (PSC) | n = 4 | 12.9% |
| Promoting a Sense of Place (PSP) | n = 2 | 6.4% |
| Respecting Fellow Community Members (RFCM) | n = 2 | 6.4% |
| Environmental Awarenessand Education | n = 18 | 58% |
| Increase Awareness of the local Environment (IALE) | n = 12 | 38.7% |
| Educational Programs for Citizens (EPC) | n = 8 | 25.8% |
| Enhance University Student Environmental Learning (EUSEL) | n = 6 | 19.3% |
| Continuous Environmental Learning (CEL) | n = 2 | 6.4% |
| Engagement with Science-Environmental Knowledge (ESEK) | n = 2 | 6.4% |
| Training for Stakeholders (TS) | n = 2 | 6.4% |
| Citizens’ Engagement Projects | n = 9 | 29% |
| Ecological projects in Neighborhoods (EPN) | n = 5 | 15.1% |
| City-Nature Hybrids-Urban Farming (CNH-UF) | n = 2 | 6.4% |
| Citizens Co-owned Power plants (CCPP) | n = 1 | 3.3% |
| Community Service Projects (CSP) | n = 1 | 3.3% |
| Ecological Projects in Households (EPH) | n = 1 | 3.3% |
| Motivation | n = 13 | 41.9% |
| Environmental Motivation (EnM) | n = 10 | 30.3% |
| Economic Motivation (EcM) | n = 10 | 30.3% |
| Social Motivation (SM) | n = 6 | 18.1% |
| Political Motivation (PM) | n = 0 | 0% |
| Type of Engagement in Civil Practice | n = 29 | 93.5% |
| Civic Engagement (CE) | n = 17 | 54.8% |
| Social Involvement (SI) | n = 13 | 41.9% |
| Activism (A) | n = 2 | 6.4% |
| Formal Political Participation (FPP) | n = 2 | 6.4% |
| Non-Participation (NP) | n = 2 | 6.4% |
| Patterns of Political Participation in Civic Life | n = 27 | 87.1% |
| Inform (Inf) | n = 11 | 35.4% |
| Consult (Con) | n = 16 | 51.6% |
| Involve (Inv) | n = 9 | 29% |
| Collaborate (Col) | n = 3 | 9.6% |
| Empower (Emp) | n = 5 | 16.1% |
| EC Competences | N | % |
|---|---|---|
| Knowledge | n = 20 | 64.5% |
| Environmental Systems Knowledge (ESK) | n = 17 | 54.8% |
| Action-Related Knowledge (ARK) | n = 8 | 25.8% |
| Skills | n = 13 | 41.9% |
| Communication Skills (CS) | n = 8 | 25.8% |
| Collaboration and Social Interaction Skills (CSIS) | n = 6 | 19.3% |
| Constructive Participation Skills (CPS) | n = 6 | 19.3% |
| Attitudes | n = 14 | 45.2% |
| Willingness to Act in Society as Agents of Change (WASAC) | n = 8 | 25.8% |
| Willingness for Collective Environmental Actions (WCEA) | n = 7 | 22.5% |
| Willingness to Eliminate New Environmental Problems (WENEP) | n = 6 | 19.3% |
| Willingness to Take Responsibility for the Environment (WTRE) | n = 5 | 16.1% |
| Willingness for Democratic Decision-Making (WDDM) | n = 4 | 12.1% |
| Willingness for Environmental and Social Justice (WESJ) | n = 4 | 12.1% |
| Willingness for Networking to Solve Environmental Problems (WNSEP) | n = 1 | 3.2% |
| Willingness for Intercultural Communication for the Environment (WICE) | n = 1 | 3.2% |
| Values | n = 9 | 29% |
| Biospheric Values (BV) | n = 9 | 29% |
| Altruistic Values (AV) | n = 2 | 6.4% |
| Behaviors | n = 21 | 67.7% |
| Private Sphere Behaviors (PSB) | n = 15 | 48.3% |
| Non-Activist Behaviors (NAB) | n = 10 | 32.6% |
| Activism Behaviors (AB) | n = 6 | 19.3% |
| EC Actions | N | % |
|---|---|---|
| EC actions per dimension | ||
| Individual Actions (IA) | n = 20 | 64.5% |
| Collective Actions (CA) | n = 10 | 32.6% |
| EC actions per sphere | ||
| Public Sphere Actions (PuSA) | n = 13 | 41.9% |
| Private Sphere Actions (PrSA) | n = 11 | 35.4% |
| EC actions per scale | ||
| Local Scale Actions (LSA) | n = 12 | 38.7% |
| National Scale Actions (NSA) | n = 3 | 9.6% |
| Global Scale Actions (GSA) | n = 1 | 3.2% |
| EEC Outcomes | N | % |
|---|---|---|
| Achievement of Critical and Active engagement and Civic Participation (CAE) | n = 12 | 38.7% |
| Solution of Environmental Problems (SEP) | n = 11 | 35.4% |
| Achievement of Sustainability (AS) | n = 9 | 29% |
| Practice of Environmental Rights and Duties (ERD) | n = 7 | 22.5% |
| Development of Healthy Relationship with Nature (HRN) | n = 6 | 19.3% |
| Promotion of Inter/Intra-Generational Justice (IGJ) | n = 6 | 19.3% |
Publisher’s Note: MDPI stays neutral with regard to jurisdictional claims in published maps and institutional affiliations. |
© 2022 by the authors. Licensee MDPI, Basel, Switzerland. This article is an open access article distributed under the terms and conditions of the Creative Commons Attribution (CC BY) license (https://creativecommons.org/licenses/by/4.0/).
Share and Cite
Hadjichambis, A.C.; Paraskeva-Hadjichambi, D.; Sinakou, E.; Adamou, A.; Georgiou, Y. Green Cities for Environmental Citizenship: A Systematic Literature Review of Empirical Research from 31 Green Cities of the World. Sustainability 2022, 14, 16223. https://doi.org/10.3390/su142316223
Hadjichambis AC, Paraskeva-Hadjichambi D, Sinakou E, Adamou A, Georgiou Y. Green Cities for Environmental Citizenship: A Systematic Literature Review of Empirical Research from 31 Green Cities of the World. Sustainability. 2022; 14(23):16223. https://doi.org/10.3390/su142316223
Chicago/Turabian StyleHadjichambis, Andreas Ch., Demetra Paraskeva-Hadjichambi, Eleni Sinakou, Anastasia Adamou, and Yiannis Georgiou. 2022. "Green Cities for Environmental Citizenship: A Systematic Literature Review of Empirical Research from 31 Green Cities of the World" Sustainability 14, no. 23: 16223. https://doi.org/10.3390/su142316223
APA StyleHadjichambis, A. C., Paraskeva-Hadjichambi, D., Sinakou, E., Adamou, A., & Georgiou, Y. (2022). Green Cities for Environmental Citizenship: A Systematic Literature Review of Empirical Research from 31 Green Cities of the World. Sustainability, 14(23), 16223. https://doi.org/10.3390/su142316223

