RSU Cluster Deployment and Collaboration Storage of IoV Based Blockchain
Abstract
1. Introduction
- (1)
- A Blockchain-IoV network model based on RSU partition is proposed. By comprehensively considering the inter-cluster distance, intra-cluster distance, and network coverage, the model splits the Blockchain-based IoV into RSU partitions, manages the scale of the Blockchain, and improves the performance of consensus, storage, and transaction processing.
- (2)
- According to the above-mentioned model, we attempt to solve the data storage optimization problem of Blockchain-IoV. A mathematical model for optimized data storage from various nodes was proposed. The nodes store the data of BIoV in the local area to solve the storage bottleneck problem of Blockchain in IoV application scenarios.
- (3)
- This study adopted three algorithms, including a Genetic algorithm (GA), Particle swarm optimization (PSO), and Quantum genetic algorithm (QGA), to solve the collaborative storage optimization problem. The optimal allocation scheme of collaborative storage in the area is obtained by integrating query cost and average storage occupancy rate. Finally, the computational complexity and convergence of the three algorithms are compared by simulation experiments.
2. Related Works
2.1. The System Model of BIoV
2.2. RSU Cluster of IoV
2.3. Distributed Storage Technology of Blockchain
3. The Systematic Models
3.1. The System Model of CBIoV
- (1)
- BIoV device layer: consists of vehicles with On Board Units (OBU), and each cluster of vehicles is controlled by an RSU within its communication range. Vehicles form different clusters according to their driving directions and geographical locations. When a vehicle joins a cluster, RSU must control and complete vehicle safety authentication. It also needs to control the vehicle to create, join, exit the cluster, and maintain the vehicle cluster list. When a vehicle is moved from one RSU to the next RSU within a cluster, only the RSU-maintained vehicle cluster list is required for updating.
- (2)
- RSU Blockchain layer: To improve the scalability of BIoV, we designed the RSU partition algorithm to split the RSU nodes and select the cluster head. The cluster head is the FN function node of the RSU Blockchain layer, which is responsible for the network routing in the partition and provides the vehicle trust management function. Ordinary RSUs are UN nodes that can generate transaction data and regional consensus and allow devices to use regional Blockchain services and provide the function of storing blocks. The RSUs within a partition constitutes sharing the same distributed ledger. Information about data transactions is stored on the Blockchain to enable transparency Blockchain. The FN node RSU similarly shares the distributed ledger of the entire RSU Blockchain layer. When a vehicle moves from one cluster to another, it requests the new RSU to join the cluster, and the normal RSU authenticates the vehicle to the cluster head. After the cluster head succeeds, it initiates a response allowing it to join the cluster.
- (3)
- Blockchain service layer: It mainly realizes consensus, transaction management, block management, and security trust management, among partitions.
3.2. Mathematical Model of RSU Blockchain Layer
- (1)
- RSUs had the same computing and storage resources. We considered the power consumption in the communication process and the multipath attenuation channel in the communication process between RSUs.
- (2)
- The UN in each zone between default clusters generates transaction data, and the FN (cluster head node) decides whether to create blocks and then allocates block storage. The Blocks can be assigned to multiple nodes simultaneously in our allocation problem.
- (3)
- The Blockchain’s transfer rate of block data does not change. This study only considers power consumption in the transmission process.
3.2.1. Mathematical Model of Cluster
3.2.2. Mathematical Model for Intra-Cluster Collaborative Storage
4. Solution
4.1. The Solution of the RSU Cluster
| Algorithm 1: the improved-LEACH algorithm. |
| Input: n, w1, w2 = 1 − w1, E0 |
| Output: Coverage, Min F, CH |
| 1. Initializes parameters: 100100 randomly produces 100 nodes n = 100, w1 = 0.8 |
| 2. District Election phase: |
| for 1 do |
| Initialize: All nodes are normal nodes and cluster head node is randomly selected |
| if the nodes are ordinary nodes, and the intra-cluster distance matrix is used to obtain f1 |
| if the node is the cluster head node, and the weight parameter of the distance matrix between cluster and Coverage is used to obtain f2 |
| Jude Min F by the (4) |
| 3. Data transfer phase |
| for 1 do |
| the data is sent/received and the energy consumption Er is calculated according the (7) |
| if into the next round “District Election phase” |
4.2. Intra-Cluster Collaborative Storage Scheme
4.2.1. Intra-Cluster Collaborative Storage-Based GA (ICSGA)
| Algorithm 2: Intra-cluster Cooperative Storage algorithm based GA. |
| Input: m, n, N, gamma, M, Pm |
| Output: Xp, LC1, LC2, LC3, LC4 |
| 1. Initializes the 0-1 matrix of n*m of decision variable X |
| 2. generate the initial population randomly, checked the constraint conditions and discarded the unsatisfied constraints |
| 3. Enter the iterative process |
| 3.1 a single point crossover with two parents |
| 3.2 select replication, and check whether the new individuals meet the constraints, eliminate the new individuals that do not meet the constraints |
| 3.3 the variation probability Pm carries on the variation |
| 3.4 Update Z, F and Fitness |
| 4. Output optimal results |
4.2.2. Intra-Cluster Collaborative Storage-Based PSO (ICSPSOA)
| Algorithm 3: Intra-cluster Cooperative Storage algorithm based PSO. |
| Input: m, n, M, w_min = 0.1, w_max = 0.6, c1 = 2, c2 = 2 |
| Output: g_best, Min Fitness |
| 1. Initializes m, n, N, M, w_min, w_max, c1, c2, position, p_best, p_best, p_best_fit |
| 2. Enter the iterative process |
| 3.1 define w = w_max + (((w_min − w_max) ∗ (k − 1))/(K − 1)); |
| 3.2 calculate Fitness() and the position that did not meet the constraint conditions was eliminated if Fitness(i) < f(P best(i)), P_best(i) = position(i) if Fitness(i) < f(G best(i)), G_best(i)= position (i) |
| 3.3 update the and with (21), (22), (23) |
| 3. Output min Fitness and G_best |
4.2.3. Intra-Cluster Collaborative Storage-Based QGA (ICSQGA)
| Algorithm 4: Intra-cluster Cooperative Storage algorithm based QGA. |
| Input: m, n, N, M, gamma |
| Output: Xp, Min Fitness |
| 1. Initializes |0> and |1> of n ∗ m decision in chromosome |
| 2. Enter the iterative process (he end condition is the number of iterations) |
| 2.1 Observe chromosomes and convert quantum states into binary problem solutions |
| 2.2 According to the constraint function, repair chromosomes |
| 2.3 Evaluate the fitness function of the problem solution and select the best one from the contemporary population |
| 2.4 According to the quantum gate update, generation of the next generation of quantum state chromosomes |
| 2.5 Contemporary optimal and maintain optimal comparison, retain one of the best |
| 3. Output optimal results |
5. Simulation
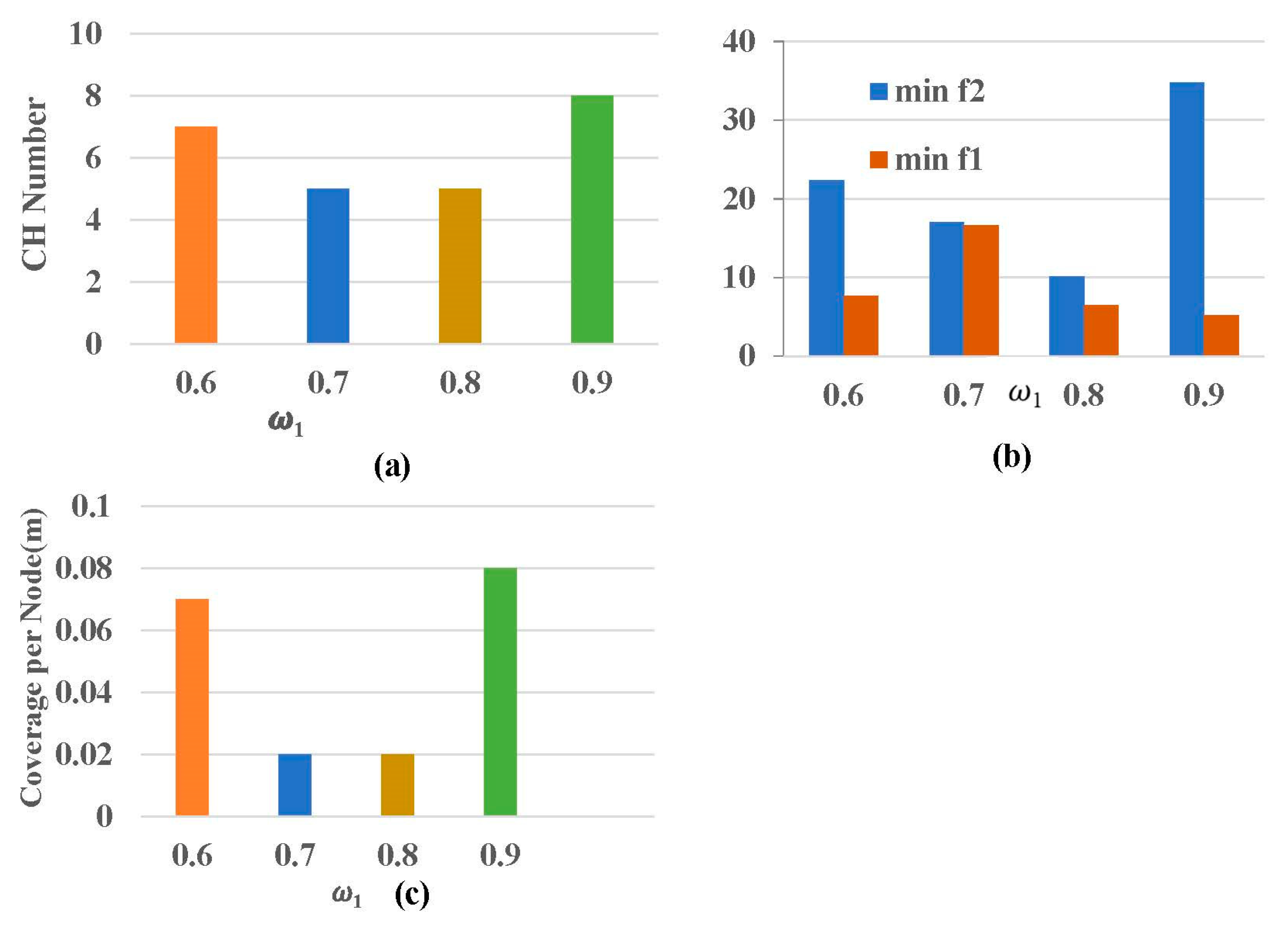
5.1. Analysis of Simulation Results of RSU Cluster
5.2. Analysis of Simulation Results of Intra-Cluster Collaborative Storage Solution
6. Summary and Prospect
Author Contributions
Funding
Conflicts of Interest
References
- Nakamoto, S.; Bitcoin, A. A peer-to-peer electronic cash system. Bitcoin 2008, 4, 2. Available online: https://bitcoin.org/bitcoin.pdf (accessed on 26 October 2022).
- Xie, J.; Tang, H.; Huang, T. A Survey of Blockchain Technology Applied to Smart Cities: Research Issues and Challenges. IEEE Commun. Surv. Tutor. 2019, 21, 2794–2830. [Google Scholar] [CrossRef]
- Fraga-Lamas, P.; Fernández-Caramés, T.M. A Review on Blockchain Technologies for an Advanced and Cyber-Resilient Automotive Industry. IEEE Access 2019, 7, 17578–17598. [Google Scholar] [CrossRef]
- Gao, L.; Wu, C.; Du, Z.; Yoshinaga, T.; Zhong, L.; Liu, F.; Ji, Y. Toward Efficient Blockchain for the Internet of Vehicles with Hierarchical Blockchain Resource Scheduling. Electronics 2022, 11, 832. [Google Scholar] [CrossRef]
- Yahaya, A.S.; Javaid, N.; Zeadally, S.; Farooq, H. Blockchain based optimized data storage with secure communication for Internet of Vehicles considering active, passive, and double spending attacks. Veh. Commun. 2022, 37, 100502. [Google Scholar] [CrossRef]
- Xu, L.; Ge, M.; Wu, W. Edge server deployment scheme of Blockchain in IoVs. IEEE Trans. Reliab. 2022, 71, 500–509. [Google Scholar] [CrossRef]
- Aissaoui, R.; Dhraief, A.; Belghith, A.; Menouar, H.; Mathkour, H.; Filali, F.; Abu-Dayya, A. HCBLS: A Hierarchical Cluster-Based Location Service in Urban Environment. Mob. Inf. Syst. 2015, 2015 Pt 2, 490191.1–490191.16. [Google Scholar] [CrossRef]
- Senouci, O.; Harous, S.; Aliouat, Z. A New Heuristic Clustering Algorithm Based on RSU for Internet of Vehicles. Arab. J. Sci. Eng. 2019, 44, 9735–9753. [Google Scholar] [CrossRef]
- Senouci, O.; Aliouat, Z.; Harous, S. DCA-DS: A Distributed Clustering Algorithm Based on Dominating Set for Internet of Vehicles. Wirel. Pers. Commun. 2020, 115, 401–413. [Google Scholar] [CrossRef]
- Wang, C.; Xin, L.; Fan, L.; Lu, H. A mobility clustering-based roadside units deployment for VANET. In Proceedings of the 16th Asia-Pacific Network Operations and Management Symposium, Hsinchu, Taiwan, 17–19 September 2014; IEEE: Manhattan, NY, USA, 2014. [Google Scholar]
- Khan, F.; Abbas, S.; Khan, S. An efficient and reliable core-assisted multicast routing protocol in mobile Ad-Hoc network. Int. J. Adv. Comput. Sci. Appl. 2016, 7, 231–242. [Google Scholar] [CrossRef][Green Version]
- Khan, F.; Khan, A.W.; Shah, K.; Qasim, I.; Habib, A. An algorithmic approach for core election in mobile ad-hoc network. J. Internet Technol. 2019, 20, 1099–1111. [Google Scholar]
- Khan, F.; Al-Atawi, A.A.; Alomari, A.; Alsirhani, A.; Alshahrani, M.M.; Khan, J.; Lee, Y. Development of a Model for Spoofing Attacks in Internet of Things. Mathematics 2022, 10, 3686. [Google Scholar] [CrossRef]
- Khan, F.; Khan, A.W.; Khan, S.; Qasim, I.; Habib, A. A secure core-assisted multicast routing protocol in mobile ad-hoc network. J. Internet Technol. 2020, 21, 375–383. [Google Scholar]
- Leekha, S. Book Review: Don Tapscott and Alex Tapscott, Blockchain Revolution: How the Technology Behind Bitcoin Is Changing Money, Business, and the World. FIIB Bus. Rev. 2018, 7, 275–276. [Google Scholar] [CrossRef]
- Blockchain Info. Available online: https://blockchain.info/home (accessed on 12 January 2022).
- Xu, Z.; Han, S.; Lei, C. CUB, a Consensus Unit-based Storage Scheme for Blockchain System. In Proceedings of the IEEE International Conference on Data Engineering, Paris, France, 16–19 April 2018; IEEE: Manhattan, NY, USA, 2018. [Google Scholar]
- Li, J.; Wu, J.; Chen, L. Block-Secure: Blockchain Based Scheme for Secure P2P Cloud Storage. Inf. Fences 2018, 465, 219–231. [Google Scholar] [CrossRef]
- Raman, R.K.; Varshney, L.R. Dynamic Distributed Storage for Scaling Blockchains. arXiv 2017, arXiv:1711.07617. [Google Scholar]
- Pajooh, H.; Rashid, M.; Alam, F.; Demidenko, S. Multi-Layer Blockchain-Based Security Architecture for Internet of Things. Sensors 2021, 21, 772. [Google Scholar] [CrossRef]
- Heinzelman, W.B.; Chandrakasan, A.P.; Balakrishnan, H. An application-specific protocol architecture for wireless microsensor networks. IEEE Trans. Wirel. Commun. 2002, 1, 660–670. [Google Scholar] [CrossRef]
- Zhou, J.H.; Feng, G.; Sun, Y. Intelligent Block Assignment for Blockchain Based Wireless IoT Systems. In Proceedings of the ICC 2020–2020 IEEE International Conference on Communications (ICC), Dublin, Ireland, 7–11 July 2020; IEEE: Manhattan, NY, USA, 2020. [Google Scholar]
- Zheng, M.; Salvatore, T. Precise algorithms to compute surface correlation functions of two-phase heterogeneous media and their applications. Phys. Rev. E 2018, 98, 013307. [Google Scholar]
- Williamson, D.P.; Shmoys, D.B. The Design of Approximation Algorithms; Cambridge University Press: New York, NY, USA, 2011; pp. 245–257. [Google Scholar]
- Resende, M.; Ribeir, C.C. Greedy randomized adaptive search procedures: Advances and applications. In Handbook of Metaheuristics; Springer: Boston, MA, USA, 2010; pp. 283–319. [Google Scholar]
- Gai, K.; Qiu, L.; Zhao, H.; Qiu, M. Cost-aware multimedia data allocation for heterogeneous memory using genetic algorithm in cloud computing. IEEE Trans. Cloud Comput. 2020, 8, 1212–1222. [Google Scholar] [CrossRef]
- Li, J.; Fu, J. Research on crowd-sensing task assignment based on fuzzy inference PSO algorithm. In ICSI; Springer: Belgrade, Serbia, 2020; Volume 12145, pp. 189–201. [Google Scholar]
- Yang, Q.; Wang, C.; Zhang, C. An efficient discrete particle swarm algorithm for task assignment problems. In Proceedings of the IEEE International Conference on Granular Computing, Nanchang, China, 17–19 August 2009; pp. 686–690. [Google Scholar]
- Grover, L.K. Quantum mechanics helps in searching for a needle in a haystack. Phys. Rev. Lett. 1997, 79, 325–328. [Google Scholar] [CrossRef]
- Han, K.H.; Kim, J.H. Genetic quantum algorithm and its application to combinatorial optimization problem. In Proceedings of the 2000 Congress on Evolutionary Computation, CEC00 (Cat. No.00TH8512), La Jolla, CA, USA, 16–19 July 2000; IEEE: Manhattan, NY, USA, 2002. [Google Scholar]
- Nehra, V.; Sharma, A.K.; Tripathi, R.K. I-DEEC: Improved DEEC for blanket coverage in heterogeneous wireless sensor networks. J. Ambient. Intell. Humaniz. Comput. 2020, 11, 3687–3698. [Google Scholar] [CrossRef]
- Qing, L.; Zhu, Q.; Wang, M. Design of distributed energy efficient clustering algorithm for heterogeneous wireless sensor networks. Comput. Commun. 2006, 29, 2230–2237. [Google Scholar] [CrossRef]














| Paper | Method | Strengths/Weakness |
|---|---|---|
| [8] | A heuristic clustering algorithm based on RSU | Considering only the transmission distance and the vehicle location, a heuristic algorithm is introduced |
| [9] | Distributed clustering algorithm for Internet of Vehicles based on DS | a greedy algorithm |
| [10] | Clustering based on traffic location grouping | The need to predict the traffic flow pattern increases the resource consumption |
| [11,12] | Based on battery capacity and position (maximum connectivity). | The mobility of nodes is considered, but security is not considered |
| This paper | Blockchain-based RSU partition model | Considering the inter-cluster distance, intra-cluster distance and network coverage, an optimization model was established to solve the partition problem, and the blockchain was introduced to ensure security |
| Paper | Method | Strengths/Weakness |
|---|---|---|
| [17] | Collaborative storage within the consensus unit | The wireless scenario is not considered. |
| [18] | Distributed cloud storage scheme | The introduction of a third party increases the delay of network data transmission and increases the risk of privacy leakage. |
| [19] | Coding-based distributed storage | The decoding recovery and maintenance of data increase the consumption. |
| This paper | Cooperative storage in RSU based on Blockchain | Considering the wired and wireless network environment, the cooperative sharing in the area ensures the security and privacy of data. |
| Symbol | Definition |
|---|---|
| Total energy loss from distance between cluster heads | |
| Loss of distance in cluster | |
| m | Total number of nodes in a cluster |
| CH | The total number of cluster head |
| Coverage | Network coverage of cluster heads |
| The energy consumption of the RSU nodes in the cluster | |
| Communication parameters for multipath fading | |
| Communication parameters in free space | |
| The total energy consumed by the network in a round |
| Symbol | Definition |
|---|---|
| The i-th block | |
| The size of block | |
| n | The number of blocks |
| m | Total number of nodes in a cluster |
| The j-th intra-zone node | |
| whether to assign value to | |
| Distance from j-th to m-th | |
| The node queries the access probability of within a period of time | |
| R () | The node stores a set of blocks |
| D () | The collection of distribution for the block |
| The storage limit of node |
| Algorithm | Computation Complexity |
|---|---|
| ICSGA | |
| ICSPSOA | |
| ICSQGA |
Publisher’s Note: MDPI stays neutral with regard to jurisdictional claims in published maps and institutional affiliations. |
© 2022 by the authors. Licensee MDPI, Basel, Switzerland. This article is an open access article distributed under the terms and conditions of the Creative Commons Attribution (CC BY) license (https://creativecommons.org/licenses/by/4.0/).
Share and Cite
Chen, C.; Quan, S. RSU Cluster Deployment and Collaboration Storage of IoV Based Blockchain. Sustainability 2022, 14, 16152. https://doi.org/10.3390/su142316152
Chen C, Quan S. RSU Cluster Deployment and Collaboration Storage of IoV Based Blockchain. Sustainability. 2022; 14(23):16152. https://doi.org/10.3390/su142316152
Chicago/Turabian StyleChen, Chen, and Shi Quan. 2022. "RSU Cluster Deployment and Collaboration Storage of IoV Based Blockchain" Sustainability 14, no. 23: 16152. https://doi.org/10.3390/su142316152
APA StyleChen, C., & Quan, S. (2022). RSU Cluster Deployment and Collaboration Storage of IoV Based Blockchain. Sustainability, 14(23), 16152. https://doi.org/10.3390/su142316152

