Longitudinal Predictors of Perceived Climate Change Importance and Worry among Italian Youths: A Machine Learning Approach
Abstract
1. Introduction
Despite the relevance of climate change for youth, the evidence concerning the predictors of perceived importance of climate change and worry among youth is scant. To address this research gap, in the present study we focus on the predictors of perceived importance of climate change and worry among youth.
1.1. What Predicts Climate Change Importance and Worry?
1.2. Potential Predictors of Climate Change Importance and Worry within the EU Context
1.3. Purpose of the Present Study
2. Materials and Methods
2.1. Procedure
2.2. The Context
2.3. Sample
2.4. Instrument
2.4.1. Dependent Variables
2.4.2. Independent Variables
2.5. Design
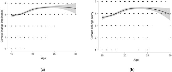
3. Results
4. Discussion
5. Conclusions
Author Contributions
Funding
Institutional Review Board Statement
Informed Consent Statement
Data Availability Statement
Conflicts of Interest
References
- IPCC. Climate Change 2014 Impacts, Adaptation, and Vulnerability Part B: Regional Aspects: Working Group ii Contribution to the Fifth Assessment Report of the Intergovernmental Panel on Climate Change; Cambridge University Press: Cambridge, UK; New York, NY, USA, 2014. [Google Scholar]
- Weber, E.U. What shapes perceptions of climate change? WIREs Clim. Change 2010, 1, 332–342. [Google Scholar] [CrossRef]
- IPCC. Climate Change 2022: Impacts, Adaptation, and Vulnerability. Contribution of Working Group II to the Sixth Assessment Report of the Intergovernmental Panel on Climate Change; Cambridge University Press: Cambridge, UK, 2022. [Google Scholar]
- Luís, S.; Vauclair, C.-M.; Lima, M.L. Raising awareness of climate change causes? Cross-national evidence for the normalization of societal risk perception of climate change. Environ. Sci. Policy 2018, 80, 74–81. [Google Scholar] [CrossRef]
- Hagen, B.; Middel, A.; Pijawka, D. European climate change perceptions: Public support for mitigation and adaptation policies. Environ. Policy Gov. 2016, 26, 170–183. [Google Scholar] [CrossRef]
- Harth, N.S. Affect, (group-based) emotions, and climate change action. Curr. Opin. Psychol. 2021, 42, 140–144. [Google Scholar] [CrossRef] [PubMed]
- Semenza, J.C.; Hall, D.E.; Wilson, D.J.; Bontempo, B.D.; Sailor, D.J.; George, L.A. Public perception of climate change: Voluntary mitigation and barriers to behavior change. Am. J. Prev. Med. 2008, 35, 479–487. [Google Scholar] [CrossRef] [PubMed]
- Whitmarsh, L.; O’Neill, S.; Lorenzoni, I. Public engagement with climate change: What do we know and where do we go from here? Int. J. Media Cult. Politics 2013, 9, 7–25. [Google Scholar] [CrossRef] [PubMed]
- Lee, K.; Gjersoe, N.; O’Neill, S.; Barnett, J. Youth perceptions of climate change: A narrative synthesis. WIREs Clim. Change 2020, 11, e641. [Google Scholar] [CrossRef]
- Han, H.; Ahn, S.W. Youth mobilization to stop global climate change: Narratives and impact. Sustainability 2020, 12, 4127. [Google Scholar] [CrossRef]
- Warren, M. Thousands of scientists are backing the kids striking for climate change. Nature 2019, 567, 291–292. [Google Scholar] [CrossRef] [PubMed]
- Fløttum, K.; Dahl, T.; Rivenes, V. Young Norwegians and their views on climate change and the future: Findings from a climate concerned and oil-rich nation. J. Youth Stud. 2016, 19, 1128–1143. [Google Scholar] [CrossRef]
- Spence, A.; Poortinga, W.; Pidgeon, N. The psychological distance of climate change. Risk Anal. 2012, 32, 957–972. [Google Scholar] [CrossRef]
- Akerlof, K.; Maibach, E.W.; Fitzgerald, D.; Cedeno, A.Y.; Neuman, A. Do people “personally experience” global warming, and if so how, and does it matter? Glob. Environ. Change 2013, 23, 81–91. [Google Scholar] [CrossRef]
- Hidalgo, M.C.; Pisano, I. Determinants of risk perception and willingness to tackle climate change. A pilot study. PsyEcology 2010, 1, 105–112. [Google Scholar] [CrossRef]
- Milfont, T.L. The interplay between knowledge, perceived efficacy, and concern about global warming and climate change: A one-year longitudinal study. Risk Anal. 2012, 32, 1003–1020. [Google Scholar] [CrossRef]
- Lo, A.Y.; Chow, A.T. The relationship between climate change concern and national wealth. Clim. Change 2015, 131, 335–348. [Google Scholar] [CrossRef]
- Malka, A.; Krosnick, J.A.; Langer, G. The association of knowledge with concern about global warming: Trusted information sources shape public thinking. Risk Anal. 2009, 29, 633–647. [Google Scholar] [CrossRef]
- Whitmarsh, L. Are flood victims more concerned about climate change than other people? The role of direct experience in risk perception and behavioural response. J. Risk Res. 2008, 11, 351–374. [Google Scholar] [CrossRef]
- Gregersen, T.; Doran, R.; Böhm, G.; Tvinnereim, E.; Poortinga, W. Political orientation moderates the relationship between climate change beliefs and worry about climate change. Front. Psychol. 2020, 11, 1573. [Google Scholar] [CrossRef]
- Poortinga, W.; Whitmarsh, L.; Steg, L.; Böhm, G.; Fisher, S. Climate change perceptions and their individual-level determinants: A cross-European analysis. Global Environ. Change 2019, 55, 25–35. [Google Scholar] [CrossRef]
- Ojala, M. Regulating worry, promoting hope: How do children, adolescents, and young adults cope with climate change? Int. J. Environ. Sci. Educ. 2013, 8, 537–561. [Google Scholar]
- McCright, A.M. The effects of gender on climate change knowledge and concern in the American public. Popul. Environ. 2010, 32, 66–87. [Google Scholar] [CrossRef]
- Leiserowitz, A. Climate change risk perception and policy preferences: The role of affect, imagery, and values. Clim. Change 2006, 77, 45–72. [Google Scholar] [CrossRef]
- Van der Linden, S. The social-psychological determinants of climate change risk perceptions: Towards a comprehensive model. J. Environ. Psychol. 2015, 41, 112–124. [Google Scholar] [CrossRef]
- Van der Linden, S. Determinants and measurement of climate change risk perception, worry, and concern. In The Oxford Encyclopedia of Climate Change Communication; Oxford University Press: Oxford, UK, 2017. [Google Scholar] [CrossRef]
- Sundblad, E.-L.; Biel, A.; Gärling, T. Cognitive and affective risk judgements related to climate change. J. Environ. Psychol. 2007, 27, 97–106. [Google Scholar] [CrossRef]
- Tranter, B.; Skrbis, Z. Political and social divisions over climate change among young Queenslanders. Environ. Plan. A Econ. Space 2014, 46, 1638–1651. [Google Scholar] [CrossRef]
- McCright, A.M.; Dunlap, R.E.; Marquart-Pyatt, S.T. Political ideology and views about climate change in the European Union. Env. Polit. 2016, 25, 338–358. [Google Scholar] [CrossRef]
- Milfont, T.L.; Milojev, P.; Greaves, L.M.; Sibley, C.G. Socio-structural and psychological foundations of climate change beliefs. N. Z. J. Psychol. 2015, 44, 17–30. [Google Scholar]
- Zhou, M. Public environmental skepticism: A cross-national and multilevel analysis. Int. Sociol. 2014, 30, 61–85. [Google Scholar] [CrossRef]
- Elias, T.; Dahmen, N.S.; Morrison, D.D.; Morrison, D.; Morris, D.L. Understanding climate change perceptions and attitudes across racial/ethnic groups. Howard J. Commun. 2019, 30, 38–56. [Google Scholar] [CrossRef]
- Schuldt, J.P.; Pearson, A.R. The role of race and ethnicity in climate change polarization: Evidence from a U.S. national survey experiment. Clim. Change 2016, 136, 495–505. [Google Scholar] [CrossRef]
- Etale, A.; Ammann, P.; Siegrist, M. The influence of socio-economic status on risk prioritisation. J. Risk Res. 2022, 25, 501–519. [Google Scholar] [CrossRef]
- Preston, J.L.; Shin, F. Opposing effects of spirituality and religious fundamentalism on environmental attitudes. J. Environ. Psychol. 2022, 80, 101772. [Google Scholar] [CrossRef]
- Morrison, M.; Duncan, R.; Parton, K. Religion does matter for climate change attitudes and behavior. PLoS ONE 2015, 10, e0134868. [Google Scholar] [CrossRef] [PubMed]
- Weckroth, M.; Ala-Mantila, S. Socioeconomic geography of climate change views in Europe. Glob. Environ. Change 2022, 72, 102453. [Google Scholar] [CrossRef]
- Di Paola, M.; Jamieson, D. Climate change and the challenges to democracy. Univ. Miami Law Rev. 2017, 72, 369–424. [Google Scholar]
- Stehr, N. An inconvenient democracy: Knowledge and climate change. Society 2013, 50, 55–60. [Google Scholar] [CrossRef]
- Burnell, P. Democracy, democratization and climate change: Complex relationships. Democratization 2012, 19, 813–842. [Google Scholar] [CrossRef]
- Niemeyer, S. Democracy and climate change: What can deliberative democracy contribute? Aust. J. Politics Hist. 2013, 59, 429–448. [Google Scholar] [CrossRef]
- Stevenson, H.; Dryzek, J.S. Democratizing Global Climate Governance; Cambridge University Press: Cambridge, UK, 2014. [Google Scholar]
- Lacelle-Webster, A.; Warren, M.E. Citizens’ assemblies and democracy. In Oxford Research Encyclopedia of Politics; Oxford University Press: Oxford, UK, 2021. [Google Scholar] [CrossRef]
- Barkan, S.E. Explaining public support for the environmental movement: A civic voluntarism model. Soc. Sci. Quart. 2004, 85, 913–937. [Google Scholar] [CrossRef]
- Lee, T.M.; Markowitz, E.M.; Howe, P.D.; Ko, C.-Y.; Leiserowitz, A.A. Predictors of public climate change awareness and risk perception around the world. Nat. Clim. Change 2015, 5, 1014–1020. [Google Scholar] [CrossRef]
- Prati, G.; Albanesi, C.; Pietrantoni, L. Social well-being and pro-environmental behavior: A cross-lagged panel design. Hum. Ecol. Rev. 2017, 23, 123–140. [Google Scholar] [CrossRef]
- Carlson, M.; Charlin, V.; Miller, N. Positive mood and helping behavior: A test of six hypotheses. J. Personal. Soc. Psychol. 1988, 55, 211–229. [Google Scholar] [CrossRef] [PubMed]
- Kaida, N.; Kaida, K. Pro-environmental behavior correlates with present and future subjective well-being. Environ. Dev. Sustain. 2016, 18, 111–127. [Google Scholar] [CrossRef]
- Heald, S. Climate silence, moral disengagement, and self-efficacy: How albert bandura’s theories inform our climate-change predicament. Environ. Sci. Policy Sustain. Dev. 2017, 59, 4–15. [Google Scholar] [CrossRef]
- Maltby, K.M.; Simpson, S.D.; Turner, R.A. Scepticism and perceived self-efficacy influence fishers’ low risk perceptions of climate change. Clim. Risk Manag. 2021, 31, 100267. [Google Scholar] [CrossRef]
- Bostrom, A.; Hayes, A.L.; Crosman, K.M. Efficacy, action, and support for reducing climate change risks. Risk Anal. 2019, 39, 805–828. [Google Scholar] [CrossRef] [PubMed]
- Bodor, Á.; Varjú, V.; Grünhut, Z. The effect of trust on the various dimensions of climate change attitudes. Sustainability 2020, 12, 10200. [Google Scholar] [CrossRef]
- Kácha, O.; Vintr, J.; Brick, C. Four Europes: Climate change beliefs and attitudes predict behavior and policy preferences using a latent class analysis on 23 countries. J. Environ. Psychol. 2022, 81, 101815. [Google Scholar] [CrossRef]
- Prati, G.; Pietrantoni, L.; Albanesi, C. Human values and beliefs and concern about climate change: A Bayesian longitudinal analysis. Qual. Quant. 2018, 52, 1613–1625. [Google Scholar] [CrossRef]
- Prati, G.; Milite, A.; Cicognani, E. International mobility and friendship relationships: Do they contribute to the development of a sense of global citizenship? Commun. Psychol. Glob. Perspect. 2021, 7, 145–159. [Google Scholar] [CrossRef]
- Batalha, L.; Reynolds, K.J. ASPIRing to mitigate climate change: Superordinate identity in global climate negotiations. Polit. Psychol. 2012, 33, 743–760. [Google Scholar] [CrossRef]
- Prati, G.; Cicognani, E.; Mazzoni, D. Cross-border friendships and collective European identity: A longitudinal study. Eur. Union Politics 2019, 20, 649–669. [Google Scholar] [CrossRef]
- Olausson, U. Towards a European identity? The news media and the case of climate change. Eur. J. Commun. 2010, 25, 138–152. [Google Scholar] [CrossRef]
- Eckersley, R. National identities, international roles, and the legitimation of climate leadership: Germany and Norway compared. Env. Polit. 2016, 25, 180–201. [Google Scholar] [CrossRef]
- Jordan, A.; Huitema, D.; Van Asselt, H.; Rayner, T.; Berkhout, F. (Eds.) Climate Change Policy in the European Union: Confronting the Dilemmas of Mitigation and Adaptation? Cambridge University Press: Cambridge, UK, 2010. [Google Scholar]
- European Council. European Council Meeting—Conclusions; European Council: Strasbourg, France, 2019. [Google Scholar]
- European Council. Council Adopts European Climate Law; European Council: Strasbourg, France, 2021. [Google Scholar]
- Kulin, J.; Sevä, I.J.; Dunlap, R.E. Nationalist ideology, rightwing populism, and public views about climate change in Europe. Env. Polit. 2021, 30, 1111–1134. [Google Scholar] [CrossRef]
- Bertolotti, M.; Catellani, P. Agreement with climate change policies: Framing the future and national versus supranational identity. Eur. J. Soc. Psychol. 2015, 45, 847–857. [Google Scholar] [CrossRef]
- Eger, M.A.; Valdez, S. From radical right to neo-nationalist. Eur. Political Sci. 2019, 18, 379–399. [Google Scholar] [CrossRef]
- Krange, O.; Kaltenborn, B.P.; Hultman, M. Cool dudes in Norway: Climate change denial among conservative Norwegian men. Environ. Sociol. 2019, 5, 1–11. [Google Scholar] [CrossRef]
- Beiser-McGrath, L.F.; Huber, R.A. Assessing the relative importance of psychological and demographic factors for predicting climate and environmental attitudes. Clim. Change 2018, 149, 335–347. [Google Scholar] [CrossRef]
- Hornsey, M.J.; Harris, E.A.; Bain, P.G.; Fielding, K.S. Meta-analyses of the determinants and outcomes of belief in climate change. Nat. Clim. Change 2016, 6, 622–626. [Google Scholar] [CrossRef]
- Tzankova, I.; Prati, G.; Cicognani, E. Profiles of citizenship orientations among youth. YOUNG 2021, 30, 57–79. [Google Scholar] [CrossRef]
- ISTAT. Studenti e Scuole dell’Istruzione Primaria e Secondaria in Italia [Students and Schools in Primary and Secondary Education in Italy]; Istituto Nazionale di Statistica: Rome, Italy, 2017. [Google Scholar]
- Ministry of Education University and Research. Portale dei Dati dell’Istruzione Superiore [Higher Education Data Portal]; Ministry of Education University and Research: Rome, Italy, 2017.
- Crocetti, E.; Schwartz, S.J.; Fermani, A.; Meeus, W. The utrecht-management of identity commitments scale (U-MICS): Italian validation and cross-national comparisons. Eur. J. Psychol. Assess. 2010, 26, 172–186. [Google Scholar] [CrossRef]
- Fiske, S.T.; Cuddy, A.J.C.; Glick, P.; Xu, J. A model of (often mixed) stereotype content: Competence and warmth respectively follow from perceived status and competition. J. Personal. Soc. Psychol. 2002, 82, 878–902. [Google Scholar] [CrossRef]
- Barrett, M.; Zani, B. (Eds.) . Political and Civic Engagement. Multidisciplinary Perspectives; Routledge: London, UK, 2015. [Google Scholar]
- Finkel, S.E.; Sigelman, L.; Humphries, S. Democratic values and political tolerance. In Measures of Political Attitudes; Robinson, J.P., Shaver, P.R., Wrightman, L.S., Eds.; Academic Press: San Diego, CA, USA, 1999; pp. 203–296. [Google Scholar]
- Funke, F. The dimensionality of right-wing authoritarianism: Lessons from the dilemma between theory and measurement. Polit. Psychol. 2005, 26, 195–218. [Google Scholar] [CrossRef]
- Davidov, E. Measurement equivalnece of nationalism and constructive patriotism in the ISSP: 34 countries in a comparative perspective. Political Anal. 2009, 17, 64–82. [Google Scholar] [CrossRef]
- Dahl, V.; Amnå, E.; Banaji, S.; Landberg, M.; Šerek, J.; Ribeiro, N.; Beilmann, M.; Pavlopoulos, V.; Zani, B. Apathy or alienation? Political passivity among youths across eight European union countries. Eur. J. Dev. Psychol. 2018, 15, 284–301. [Google Scholar] [CrossRef]
- Schwarzer, R.; Jerusalem, M. Generalized self-efficacy scale. In Measures in Health Psychology: A User’s Portfolio. Causal and Control Beliefs; Weinman, J., Wright, S., Johnston, M., Eds.; NFER-NELSON: Berkshire, UK, 1995; pp. 35–37. [Google Scholar]
- Albanesi, C.; Guarino, A.; Zani, B.; Cicognani, E.; Tzankova, I. Civic engagement in a changing world: Does it contribute to the development of global citizenship? TPM-Test. Psychom. Methodol. Appl. Psychol. 2019, 26, 495–511. [Google Scholar]
- Russo, S.; Stattin, H. Self-determination theory and the role of political interest in adolescents’ sociopolitical development. J. Appl. Dev. Psychol. 2017, 50, 71–78. [Google Scholar] [CrossRef]
- Fischer, A.; Kohr, H. Politisches Engagement [Political Engagement]. ZUMA Informationssystem. Elektronisches Handbuch Sozialwissenschaftlicher Erhebungsinstrumente (Version 6.00); Zentrum für Umfragen, Methoden und Analysen: Mannheim, Germany, 2002. [Google Scholar]
- Cicognani, E.; Mazzoni, D.; Albanesi, C.; Zani, B. Sense of community and empowerment among young people: Understanding pathways from civic participation to social well-being. VOLUNTAS Int. J. Volunt. Nonprofit Organ. 2015, 26, 24–44. [Google Scholar] [CrossRef]
- Keyes, C.L.M.; Wissing, M.; Potgieter, J.P.; Temane, M.; Kruger, A.; van Rooy, S. Evaluation of the mental health continuum-short form (MHC-SF) in Setswana-speaking South Africans. Clin. Psychol. Psychother. 2008, 15, 181–192. [Google Scholar] [CrossRef]
- Petrillo, G.; Capone, V.; Caso, D.; Keyes, C.L.M. The mental health continuum—Short form (MHC–SF) as a measure of well-being in the Italian context. Soc. Indic. Res. 2015, 121, 291–312. [Google Scholar] [CrossRef]
- Amnå, E.; Ekström, M.; Kerr, M.; Stattin, H. Codebook: The political Socialization Program; Örebro University: Youth & Society: Örebro, Sweden, 2010. [Google Scholar]
- Prati, G.; Mazzoni, D.; Guarino, A.; Albanesi, C.; Cicognani, E. Evaluation of an active citizenship intervention based on youth-led participatory action research. Health Educ. Behav. 2020, 47, 894–904. [Google Scholar] [CrossRef]
- Enchikova, E.; Neves, T.; Mejias, S.; Kalmus, V.; Cicognani, E.; Ferreira, P.D. Civic and political participation of European youth: Fair measurement in different cultural and social contexts. Front. Educ. 2019, 4, 16. [Google Scholar] [CrossRef]
- JASP Team. JASP, 0.16.3. 2022. [Google Scholar]
- Fichman, M.; Cummings, J.N. Multiple imputation for missing data: Making the most of what you know. Organ. Res. Methods 2003, 6, 282–308. [Google Scholar] [CrossRef]
- Cohen, J. Statistical Power Analysis for the Behavioral Sciences, 2nd ed.; Erlbaum: Hillsdale, NJ, USA, 1988. [Google Scholar]
- Yarkoni, T.; Westfall, J. Choosing prediction over explanation in psychology: Lessons from machine learning. Perspect. Psychol. Sci. 2017, 12, 1100–1122. [Google Scholar] [CrossRef] [PubMed]
- Negev, M.; Sagy, G.; Garb, Y.; Salzberg, A.; Tal, A. Evaluating the environmental literacy of Israeli elementary and high school students. J. Environ. Educ. 2008, 39, 3–20. [Google Scholar] [CrossRef]
- Olsson, D.; Gericke, N. The adolescent dip in students’ sustainability consciousness—Implications for education for sustainable development. J. Environ. Educ. 2016, 47, 35–51. [Google Scholar] [CrossRef]
- Uitto, A.; Juuti, K.; Lavonen, J.; Byman, R.; Meisalo, V. Secondary school students’ interests, attitudes and values concerning school science related to environmental issues in Finland. Environ. Educ. Res. 2011, 17, 167–186. [Google Scholar] [CrossRef]
- Uitto, A.; Saloranta, S. The relationship between secondary school students’ environmental and human values, attitudes, interests and motivations. Procedia-Soc. Behav. Sci. 2010, 9, 1866–1872. [Google Scholar] [CrossRef]
- Otto, S.; Evans, G.W.; Moon, M.J.; Kaiser, F.G. The development of children’s environmental attitude and behavior. Glob. Environ. Change 2019, 58, 101947. [Google Scholar] [CrossRef]
- Eisenberg, N.; Carlo, G.; Murphy, B.; Van Court, P. Prosocial development in late adolescence: A longitudinal study. Child Dev. 1995, 66, 1179–1197. [Google Scholar] [CrossRef] [PubMed]
- Ojala, M. Hope and climate change: The importance of hope for environmental engagement among young people. Environ. Educ. Res. 2012, 18, 625–642. [Google Scholar] [CrossRef]
- Stevenson, K.T.; Peterson, M.N.; Bondell, H.D.; Moore, S.E.; Carrier, S.J. Overcoming skepticism with education: Interacting influences of worldview and climate change knowledge on perceived climate change risk among adolescents. Clim. Change 2014, 126, 293–304. [Google Scholar] [CrossRef]
- Ojala, M. To trust or not to trust? Young people’s trust in climate change science and implications for climate change engagement. Child. Geogr. 2021, 19, 284–290. [Google Scholar] [CrossRef]
- Arnett, J.J. The psychology of globalization. Am. Psychol. 2002, 57, 774–783. [Google Scholar] [CrossRef]
- Albanesi, C.; Prati, G.; Guarino, A.; Cicognani, E. School citizenship education through YPAR: What works? A mixed-methods study in Italy. J. Adolesc. Res. 2021, 07435584211035564. [Google Scholar] [CrossRef]
- Lerner, R.M.; Steinberg, L. Handbook of Adolescent Psychology; Em Lerner, R.M., Steinberg, L., Eds.; John Wiley & Sons, Inc.: Hoboken, NJ, USA, 2009; pp. 524–558. [Google Scholar] [CrossRef]
- Corner, A.; Roberts, O.; Chiari, S.; Völler, S.; Mayrhuber, E.S.; Mandl, S.; Monson, K. How do young people engage with climate change? The role of knowledge, values, message framing, and trusted communicators. WIREs Clim. Change 2015, 6, 523–534. [Google Scholar] [CrossRef]
- Ojala, M. How do children, adolescents, and young adults relate to climate change? Implications for developmental psychology. Eur. J. Dev. Psychol. 2022, 1–15. [Google Scholar] [CrossRef]
- Collins, R. Keeping it in the family? Re-focusing household sustainability. Geoforum 2015, 60, 22–32. [Google Scholar] [CrossRef]
- Krettenauer, T.; Wang, W.; Jia, F.; Yao, Y. Connectedness with nature and the decline of pro-environmental behavior in adolescence: A comparison of Canada and China. J. Environ. Psychol. 2020, 71, 101348. [Google Scholar] [CrossRef]
- Burton, L.; Delvecchio, E.; Germani, A.; Mazzeschi, C. Individualism/collectivism and personality in Italian and American groups. Curr. Psychol. 2021, 40, 29–34. [Google Scholar] [CrossRef]
- Kvaløy, B.; Finseraas, H.; Listhaug, O. The publics’ concern for global warming: A cross-national study of 47 countries. J. Peace Res. 2012, 49, 11–22. [Google Scholar] [CrossRef]
- Lockwood, M. Right-wing populism and the climate change agenda: Exploring the linkages. Env. Polit. 2018, 27, 712–732. [Google Scholar] [CrossRef]
- Jeffries, E. Nationalist advance. Nat. Clim. Change 2017, 7, 469–471. [Google Scholar] [CrossRef]
- Conversi, D. The ultimate challenge: Nationalism and climate change. Natl. Pap. 2020, 48, 625–636. [Google Scholar] [CrossRef]
- Fernandes-Jesus, M.; Barnes, B.; Diniz, R.F. Communities reclaiming power and social justice in the face of climate change. Commun. Psychol. Glob. Perspect. 2020, 6, 1–21. [Google Scholar]
- Beine, M.; Parsons, C. Climatic factors as determinants of international migration. Scand. J. Econ. 2015, 117, 723–767. [Google Scholar] [CrossRef]
- Kelman, I. Imaginary numbers of climate change migrants? Soc. Sci. 2019, 8, 131. [Google Scholar] [CrossRef]
- Treen, K.M.d.I.; Williams, H.T.P.; O’Neill, S.J. Online misinformation about climate change. WIREs Clim. Change 2020, 11, e665. [Google Scholar] [CrossRef]
- Talpin, J.; Wojcik, S. Deliberating environmental policy issues: Comparing the learning potential of online and face-to-face discussions on climate change. Policy Internet 2010, 2, 61–93. [Google Scholar] [CrossRef]
- Cagle, L.E.; Herndl, C. Shades of denialism: Discovering possibilities for a more nuanced deliberation about climate change in online discussion forums. Commun. Des. Q. 2019, 7, 22–39. [Google Scholar] [CrossRef]
- Barr, S. Climate forums: Virtual discourses on climate change and the sustainable lifestyle. Area 2011, 43, 14–22. [Google Scholar] [CrossRef]
- Schäfer, M.S. Online communication on climate change and climate politics: A literature review. WIREs Clim. Change 2012, 3, 527–543. [Google Scholar] [CrossRef]
- Wielk, E.; Standlee, A. Fighting for their future: An exploratory study of online community building in the youth climate change movement. Qual. Sociol. Rev. 2021, 17, 22–37. [Google Scholar] [CrossRef]
- Kim, Y.; Russo, S.; Amnå, E. The longitudinal relation between online and offline political participation among youth at two different developmental stages. New Media Soc. 2016, 19, 899–917. [Google Scholar] [CrossRef]
- Arlt, D.; Hoppe, I.; Schmitt, J.B.; De Silva-Schmidt, F.; Brüggemann, M. Climate engagement in a digital age: Exploring the drivers of participation in climate discourse online in the context of COP21. Environ. Commun. 2018, 12, 84–98. [Google Scholar] [CrossRef]
- Roser-Renouf, C.; Maibach, E.W.; Leiserowitz, A.; Zhao, X. The genesis of climate change activism: From key beliefs to political action. Clim. Change 2014, 125, 163–178. [Google Scholar] [CrossRef]
- Carlton, S.J.; Jacobson, S.K. Climate change and coastal environmental risk perceptions in Florida. J. Environ. Manage. 2013, 130, 32–39. [Google Scholar] [CrossRef] [PubMed]
- Cologna, V.; Siegrist, M. The role of trust for climate change mitigation and adaptation behaviour: A meta-analysis. J. Environ. Psychol. 2020, 69, 101428. [Google Scholar] [CrossRef]
- Stefani, S.; Prati, G.; Tzankova, I.; Ricci, E.; Albanesi, C.; Cicognani, E. Gender differences in civic and political engagement and participation among Italian young people. Soc. Psychol. Bull. 2021, 16, 1–25. [Google Scholar] [CrossRef]
- Mavisakalyan, A.; Tarverdi, Y. Gender and climate change: Do female parliamentarians make difference? Europ. J. Polit. Econ. 2019, 56, 151–164. [Google Scholar] [CrossRef]

| Measure | Scale | Sample Items | Response Scale | Reliability (𝛼) |
|---|---|---|---|---|
| Demographics Age Gender Religiousness National/ethnic minority Economic situation | n.a. | “Does the money your household has cover everything your family needs?” | Years old Female/Male 1 = Not at all, 4 = Very Majority/Minority 1 = Not at all, 4 = Fully | n.a. |
| National/European identity | The Utrecht-Management of Identity Commitments Scale (U-MICS; [72] was used to measure three dimensions of national and European identity: commitment (3 items), exploration (3 items), reconsideration (3 items). | Commitment: “I feel strong ties toward Italy/Europe” Exploration: “I often think about what it means to be Italian/European” Reconsideration: “My feelings about Italy/Europe are changing” | 5-point Likert scale: 1 = strongly disagree, 5 = strongly agree | Country commitment: 0.84 Country exploration: 0.81 Country reconsideration: 0.70 EU commitment: 0.82 EU exploration: 0.84 EU reconsideration: 0.56 |
| Attitudes toward the country/EU | Five items measured the competence (2 items) and warmth (3 items) dimensions of the Stereotype Content Model [73] with reference to the country and the EU. | “How would you describe Italy/the European Union? Competent/Incompetent; Efficient/Inefficient; Warm/Cold; Friendly/Unfriendly; Welcoming/Unwelcoming” | 5-point semantic differential: 1 = Competent, 5 = Incompetent | Country Competence: 0.72 Country Warmth: 0.81 EU Competence: 0.58 EU Warmth: 0.69 |
| Tolerance toward migrants | Three items adapted from previous studies [74] measured tolerance toward migrants’ rights. | “Migrants should have the right to maintain their traditions and cultural heritage.” | 5-point Likert scale: 1 = strongly disagree, 5 = strongly agree | 0.70 |
| Tolerance toward refugees | Three items adapted from previous studies (ref) measured tolerance toward refugees’ rights. | “I feel that our government does not do enough to help refugees.” | 5-point Likert scale: 1 = strongly disagree, 5 = strongly agree | 0.72 |
| Antidemocratic attitudes | Three items adapted from Finkel, et al. [75] measured support for democracy, freedom of speech and expression. | “Instead of needing ‘civil rights and freedoms’ our country needs one thing only: law and order.” | 5-point Likert scale: 1 = strongly disagree, 5 = strongly agree | 0.65 |
| Authoritarianism | Three items adapted from Funke [76], measured support for the control of civil liberties. | “Instead of needing ‘civil rights and freedoms’ our country needs one thing only: law and order. “ | 5-point Likert scale: 1 = strongly disagree, 5 = strongly agree | 0.64 |
| Nationalism | Following previous research [77] three items measured nationalist attitudes. | “Generally speaking, Italy is a better country than most other countries.” | 5-point Likert scale: 1 = strongly disagree, 5 = strongly agree | 0.73 |
| Institutional and social trust | Three items derived from previous studies [78] measured trust in the European Union, the national government and in most people. | “I trust the European Union.” | 5-point Likert scale: 1 = strongly disagree, 5 = strongly agree | 0.58 |
| Self-efficacy | Five items from the Generalized Self-Efficacy Scale [79] were used to measure the belief that one can perform novel or difficult tasks, or cope with adversity. | “I can always solve difficult problems if I try hard enough.” | 5-point Likert scale: 1 = strongly disagree, 5 = strongly agree | 0.81 |
| Political efficacy | The following dimensions of political efficacy were measured: competence self-concept (2 items, [74,80], the belief about one’s own political competence and awareness; collective efficacy (2 items, [74]), the belief that one’s group can have political influence; internal political efficacy (3 items; [81]), the belief in being able competently to participate in political action. | Self-concept: “I feel that I have a pretty good understanding of important societal issues.” Collective efficacy: “I think that by working together, young people can change things for the better.” Internal political efficacy: “If I really tried, I could manage to actively work in organizations trying to solve problems in society.” | 5-point Likert scale: 1 = strongly disagree, 5 = strongly agree | Political self-concept: r = 0.61 Collective political efficacy: r = 0.57 Internal political efficacy: 0.82 |
| Political alienation | Four items adapted from Fischer and Kohr [82] measured sense of political powerlessness related to Italy and the EU | “People like me do not have opportunities to influence the decisions of the European Union/national parliament.” | 5-point Likert scale: 1 = strongly disagree, 5 = strongly agree | 0.84 |
| Personal empowerment | Two items adapted from previous studies [80,83], measured personal capacity to act politically. | “I am able to look for people, institutions and services that can help me to find solutions to my problems.” | 5-point Likert scale: 1 = strongly disagree, 5 = strongly agree | r = 0.44 |
| Social well-being | Four items from the Mental Health Continuum—Short Form [84,85] assessed perceived social wellbeing. | “During the past month, how often did you feel that… Our society is becoming a better place.” | 5-point Likert scale: 1 = strongly disagree, 5 = strongly agree | 0.68 |
| Political interest | Four items, adapted from previous studies [78,86], measured interest in politics, in societal issues, in European-related topics and in national politics. | “How interested are you in politics?” | 5-point Likert scale: 1 = strongly disagree, 5 = strongly agree | 0.89 |
| Civic and political participation | Civic and Political Participation Scale [87,88] was used, measuring four forms of participation: Political; Civic; Online; and Protest. Participants were asked to report their activities in the last 12 months. | Political participation: “Contacted a politician or public official (for example via e-mail)”; Civic participation: “Volunteered or worked for a social cause”; Online participation: “Discussed social or political issues on the internet” Protest participation: “Taken part in an occupation of a building or a public space”. | 5-point Likert scale: 1 = No, 5 = Very often | Political participation: 0.80 Civic participation: 0.70 Online participation: 0.84 Protest participation: 0.66 |
| Participation at EU level | 18 items adapted from the Civic and Political Participation Scale [85] measured participation related to the EU. | “Were any of the activities related to the EU? If yes, then please tick them.” | Yes/No | 0.80 |
| EU voting intentions | Ad hoc item measured the intention to vote in the next EU elections. | “Will you vote in the next European parliament elections?” | Yes/No/I don’t know | n.a. |
| W1 Correlates | Climate Change Importance (W2) | Climate Change Worry (W2) |
|---|---|---|
| Age | 0.310 ** | 0.286 ** |
| Gender (male) | −0.042 | −0.132 ** |
| Religiousness | −0.043 | 0.005 |
| National/ethnic minority | −0.027 | −0.043 |
| Place of living (countryside) | −0.100 ** | −0.104 ** |
| Household income level (higher income) | −0.076 ** | −0.043 |
| Participation at EU level | 0.111 ** | 0.105 ** |
| EU voting intentions | 0.211 ** | 0.246 ** |
| Online participation | 0.253 ** | 0.256 ** |
| Political participation | 0.091 ** | 0.099 ** |
| Civic participation | 0.182 ** | 0.212 ** |
| Protest participation | 0.028 | 0.027 |
| European commitment | 0.135 ** | 0.118 ** |
| National commitment | −0.004 | −0.034 |
| European exploration | 0.264 ** | 0.231 ** |
| National exploration | 0.214 ** | 0.192 ** |
| European reconsideration | 0.060 * | 0.037 |
| National reconsideration | 0.029 | 0.025 |
| EU—competence | −0.058 * | −0.078 ** |
| EU—warmth | 0.071 * | 0.052 |
| Country—warmth | −0.038 | −0.022 |
| Country—competence | 0.136 ** | 0.107 ** |
| Tolerance—refugees | 0.285 ** | 0.266 ** |
| Tolerance—immigrants | 0.275 ** | 0.261 ** |
| Antidemocratic attitudes | −0.182 ** | −0.183 ** |
| Authoritarianism | −0.182 ** | −0.183 ** |
| Nationalism | −0.144 ** | −0.158 ** |
| Political alienation | −0.052 | −0.043 |
| Self-efficacy | 0.085 ** | 0.084 ** |
| Personal empowerment | 0.072 ** | 0.075 ** |
| Political interest | 0.264 ** | 0.227 ** |
| Institutional and social trust | 0.106 ** | 0.080 ** |
| Social well-being | 0.053 | 0.010 |
| Self-concept (political efficacy) | 0.180 ** | 0.160 ** |
| Collective efficacy (political efficacy) | 0.225 ** | 0.179 ** |
| Internal political efficacy | 0.233 ** | 0.208 ** |
| Validation MSE | Test MSE | RMSE | R2 | ||
|---|---|---|---|---|---|
| Climate change importance | Gradient boosting | 0.809 | 0.986 | 0.993 | 0.153 |
| Random forest | 0.769 | 0.864 | 0.930 | 0.148 | |
| Climate change worry | Gradient boosting | 0.837 | 0.940 | 0.970 | 0.059 |
| Random forest | 0.916 | 0.831 | 0.912 | 0.194 |
| Outcome: Climate Change Importance | Outcome: Climate Change Worry | ||
|---|---|---|---|
| Age | 17.263 | Age | 16.775 |
| Tolerance toward refugees | 15.990 | Tolerance toward migrants | 15.187 |
| Tolerance toward migrants | 15.912 | Tolerance toward refugees | 13.925 |
| Online participation | 15.716 | Political interest | 12.832 |
| European exploration | 14.044 | Internal political efficacy | 12.600 |
| Political interest | 13.442 | Online participation | 12.258 |
| European reconsideration | 12.467 | European exploration | 11.763 |
| National exploration | 11.665 | National exploration | 11.31 |
| Internal political efficacy | 11.105 | Political alienation | 11.187 |
| European commitment | 10.242 | European commitment | 11.077 |
| Nationalism | 10.222 | Civic participation | 10.655 |
| Political alienation | 9.894 | European reconsideration | 10.067 |
| National commitment | 9.436 | Nationalism | 9.638 |
| EU warmth | 9.426 | Self-efficacy | 9.574 |
| Civic participation | 9.352 | National commitment | 9.455 |
| Social well-being | 9.185 | EU warmth | 9.364 |
| Self-efficacy | 9.038 | Social well-being | 9.126 |
| National reconsideration | 9.011 | Authoritarianism | 9.043 |
| Collective efficacy (political efficacy) | 8.963 | Anti-democratic attitudes | 8.995 |
| Authoritarianism | 8.582 | National reconsideration | 8.855 |
| Anti-democratic attitudes | 8.480 | Country competent | 8.475 |
| Education of mother/carer | 8.414 | Country warmth | 8.369 |
| Self-concept (political efficacy) | 8.361 | EU competent | 8.281 |
| Place of living | 8.334 | Personal empowerment | 8.118 |
| EU competent | 8.046 | Self-concept (political efficacy) | 7.997 |
| Country competent | 7.985 | Institutional and social trust | 7.722 |
| Education of father/carer | 7.631 | EU voting intentions | 7.504 |
| Country warmth | 7.504 | Place of living | 7.216 |
| Institutional and social trust | 7.271 | Collective efficacy (political efficacy) | 7.160 |
| Personal empowerment | 6.637 | Education of father/carer | 6.959 |
| Having a partner | 5.274 | Education of mother/carer | 6.361 |
| Religiousness | 4.800 | Having a partner | 5.191 |
| EU voting intentions | 3.876 | Protest participation | 4.597 |
| Political participation | 3.841 | Religiousness | 4.359 |
| Protest participation | 3.682 | Mother’s occupation status | 4.235 |
| Mother’s occupation status | 3.615 | Household income level | 3.684 |
| Household income level | 3.353 | Political participation | 2.867 |
| Father’s occupation status | 3.068 | Gender | 2.671 |
| Gender | 2.054 | Father’s occupation status | 2.426 |
| Living with one or both parents/carers | 2.033 | Participation at EU level | 2.132 |
| Having the citizenship | 1.717 | Having the citizenship | 2.129 |
| Participation at EU level | 1.651 | Living with one or both parents/carers | 1.751 |
| Living with friends/roommates | 1.567 | National/ethnic majority or minority | 1.477 |
| National/ethnic majority or minority | 0.948 | Living with friends/roommates | 1.196 |
| Other living arrangements | 0.387 | Living alone | 0.411 |
| Living with partner/spouse | 0.222 | Other living arrangements | 0.240 |
| Living alone | 0.221 | Living with partner/spouse | 0.158 |
Publisher’s Note: MDPI stays neutral with regard to jurisdictional claims in published maps and institutional affiliations. |
© 2022 by the authors. Licensee MDPI, Basel, Switzerland. This article is an open access article distributed under the terms and conditions of the Creative Commons Attribution (CC BY) license (https://creativecommons.org/licenses/by/4.0/).
Share and Cite
Prati, G.; Tzankova, I.; Albanesi, C.; Cicognani, E. Longitudinal Predictors of Perceived Climate Change Importance and Worry among Italian Youths: A Machine Learning Approach. Sustainability 2022, 14, 15716. https://doi.org/10.3390/su142315716
Prati G, Tzankova I, Albanesi C, Cicognani E. Longitudinal Predictors of Perceived Climate Change Importance and Worry among Italian Youths: A Machine Learning Approach. Sustainability. 2022; 14(23):15716. https://doi.org/10.3390/su142315716
Chicago/Turabian StylePrati, Gabriele, Iana Tzankova, Cinzia Albanesi, and Elvira Cicognani. 2022. "Longitudinal Predictors of Perceived Climate Change Importance and Worry among Italian Youths: A Machine Learning Approach" Sustainability 14, no. 23: 15716. https://doi.org/10.3390/su142315716
APA StylePrati, G., Tzankova, I., Albanesi, C., & Cicognani, E. (2022). Longitudinal Predictors of Perceived Climate Change Importance and Worry among Italian Youths: A Machine Learning Approach. Sustainability, 14(23), 15716. https://doi.org/10.3390/su142315716

